A Proposed Approach towards Quantifying the Resilience of Water Systems to the Potential Climate Change in the Lali Region, Southwest Iran
Abstract
1. Introduction
2. Materials and Methods
2.1. The Study Area
2.2. The Applied Approaches
2.2.1. Calculating the Climatic Variables and the Responses of Water Systems to Climate Change
Climate Change
The Taraz-Harkesh Stream and the Pali Alluvial Aquifer
The Bibitarkhoun Spring and the Limestone Wells
2.2.2. Statistical Criteria
2.2.3. Calculating the Resilience
3. Results
3.1. Climate Change Impact on the Study Area
3.2. Quantification of SPI, SSWDI and SGLDI
3.2.1. The SPI
3.2.2. The SSWDI of the Stream
3.2.3. The SGLDI of the Spring
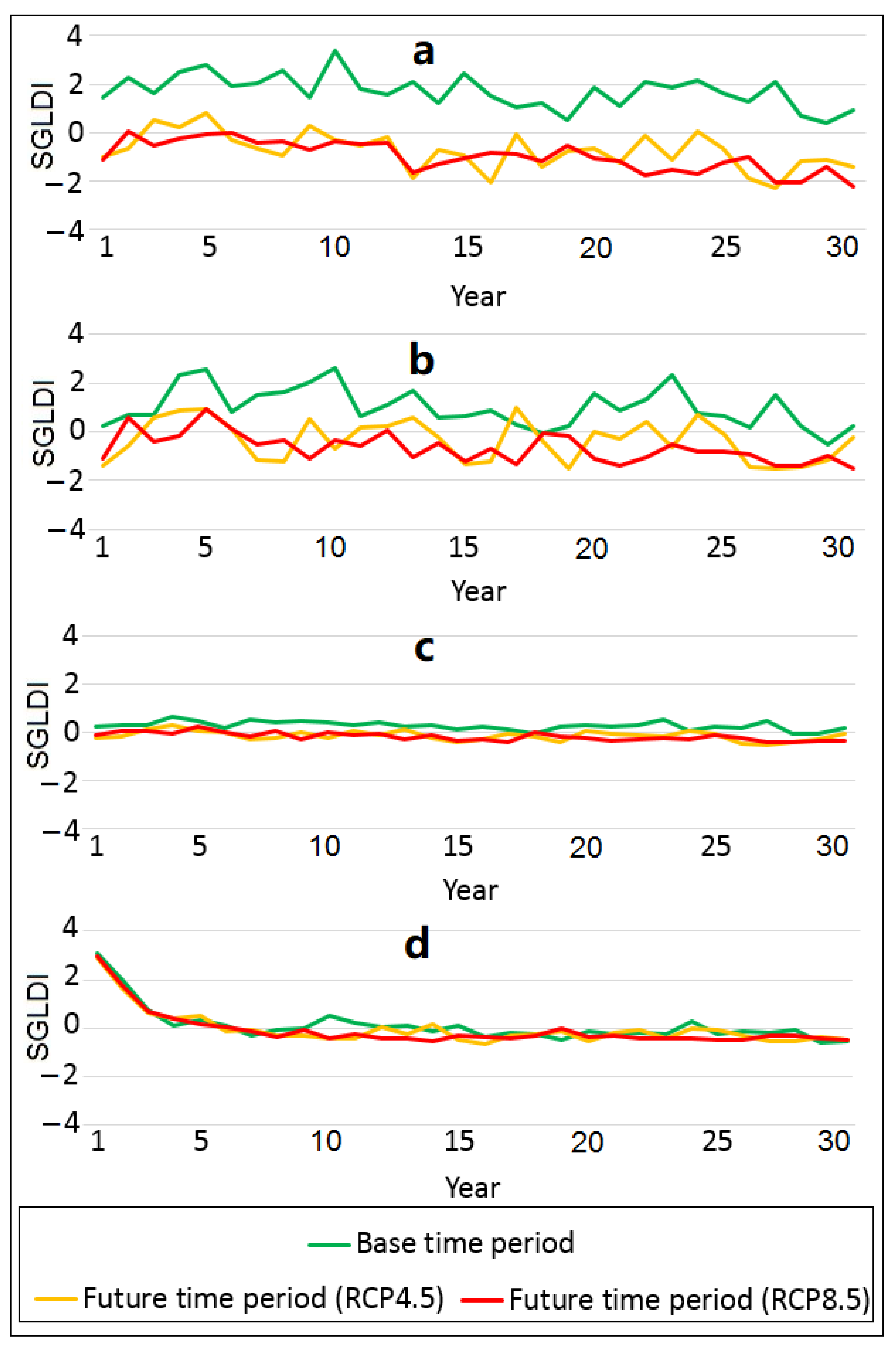
3.2.4. The SGLDI of the Karst Wells
3.2.5. The SGLDI of the Alluvial Aquifer
3.2.6. Comparison between the SPI, SSWDI and SGLDI Values
3.3. Quantification of the GRI and SWRI of Water Resources
4. Discussion
- 1-
- High resilience: if groundwater uniformly supplies the river’s base flow over time, it has high resilience. These aquifers contain large storage of groundwater.
- 2-
- Moderate resilience: if groundwater relatively variably provides the river’s base flow over time, it has moderate resilience. These aquifers contain moderate storage of groundwater.
- 3-
- Low resilience: if groundwater very variably feeds the river’s base flow over time through the springs, it has low resilience. These aquifers contain low storage of groundwater.
5. Advantages and Disadvantages of the Employed Methodology
6. Conclusions
Author Contributions
Funding
Data Availability Statement
Conflicts of Interest
References
- Shiklomanov, I.A. World freshwater resources. In Water in Crisis: A Guide to the World’s Fresh Water Resources; Gleick, P.H., Ed.; Oxford University Press: New York, NY, USA, 1993; pp. 13–24. [Google Scholar]
- Grönwall, J.; Oduro-Kwarteng, S. Groundwater as a strategic resource for improved resilience: A case study from peri urban Accra. Environ. Earth Sci. 2018, 77, 6. [Google Scholar] [CrossRef]
- Zeydalinejad, N.; Nassery, H.R.; A review on the climate-induced depletion of Iran’s aquifers. Stoch. Environ. Res. Risk. Assess. 2022. Available online: https://link.springer.com/article/10.1007/s00477-022-02278-z (accessed on 1 November 2019).
- Ghazi, B.; Jeihouni, E.; Kouzehgar, K.; Torabi Haghighi, A. Assessment of probable groundwater changes under representative concentration pathway (RCP) scenarios through the wavelet–GEP model. Environ. Earth Sci. 2021, 80, 446. [Google Scholar] [CrossRef]
- Ghazi, B.; Jeihouni, E.; Kisi, O.; Pham, Q.B.; Durin, B. Estimation of Tasuj aquifer response to main meteorological parameter variations under Shared Socioeconomic Pathways scenarios. Theor. Appl. Climatol. 2022, 149, 25–37. [Google Scholar] [CrossRef]
- Hashimoto, T.; Stedinger, J.R.; Loucks, D.P. Reliability, resiliency, and vulnerability criteria for water resource system performance evaluation. Water Resour. Res. 1982, 18, 14–20. [Google Scholar] [CrossRef]
- Holling, C.S. Resilience and stability of ecological systems. Annu. Rev. Ecol. Syst. 1973, 4, 1–23. [Google Scholar] [CrossRef]
- Roach, T.; Kapelan, Z.; Ledbetter, R. A resilience-based methodology for improved water resources adaptation planning under deep uncertainty with real world application. Water Resour. Manag. 2018, 32, 2013–2031. [Google Scholar] [CrossRef]
- Grey, D.; Sadoff, C. Sink or swim? water security for growth and development. Water Policy 2007, 9, 545–571. [Google Scholar] [CrossRef]
- Ait-Kadi, M.; Lincklaen-Arriens, W. Increasing Water Security: A Development Imperative; Global Water Partnership (GWP): Stockholm, Sweden, 2012. [Google Scholar]
- Foster, S.; MacDonald, A. The water security dialogue: Why it needs to be better informed about groundwater. Hydrogeol. J. 2014, 22, 1489–1492. [Google Scholar] [CrossRef]
- Vaz, A.C. Reliability in water resources planning. In Systems Analysis Applied to Water and Related Land Resources; Valadares Tavares, L., Evaristo Da Silva, J., Eds.; Pergamon Press: Tarrytown, NY, USA, 1986. [Google Scholar]
- Maier, H.R.; Lence, B.J.; Tolson, B.A.; Foschi, R.O. First-order reliability method for estimating reliability, vulnerability and resilience. Water Resour. Res. 2001, 37, 779–790. [Google Scholar] [CrossRef]
- Loucks, D.P. Quantifying trends in system sustainability. Hydrol. Sci. J. 1997, 42, 513–530. [Google Scholar] [CrossRef]
- Loucks, D.P.; Van Beek, E.; Stedinger, J.R.; Dijkman, J.P.; Villars, M.T. Water Resources Systems Planning and Management: An Introduction to Methods, Models and Applications; UNESCO: Paris, France, 2005. [Google Scholar]
- Kjeldsen, T.R.; Rosbjerg, D. A framework for assessing the sustainability of a water resources system. In Regional Management of Water Resources; Schumann, A., Ed.; IAHS Publication: Maastricht, The Netherlands, 2001; pp. 107–113. [Google Scholar]
- McMahon, T.A.; Adeloye, A.J.; Zhou, S.L. Understanding performance measures of reservoirs. J. Hydrol. 2006, 324, 359–382. [Google Scholar] [CrossRef]
- Moy, W.S.; Cohon, J.L.; ReVelle, C.S. A programming model for analysis of the reliability, resilience and vulnerability of a water supply reservoir. Water Resour. Res. 1986, 22, 489–498. [Google Scholar] [CrossRef]
- Mendoza, V.M.; Villanueva, E.E.; Adem, J. Vulnerability of basins and watersheds in Mexico to global climate change. Clim. Res. 1997, 9, 139–145. [Google Scholar] [CrossRef]
- Nelson, D. Adaptation and resilience: Responding to a changing climate. Wiley Interdiscip. Rev. Clim. Chang. 2011, 2, 113–120. [Google Scholar] [CrossRef]
- Barbieri, M.; Barberio, M.D.; Banzato, F.; Billi, A.; Boschetti, T.; Franchini, S.; Gori, F.; Petitta, M. Climate change and its effect on groundwater quality. Environ. Geochem. Health 2021, 1–12. [Google Scholar] [CrossRef]
- Barbieri, M.; Ricolfi, L.; Vitale, S.; Muteto, P.V.; Nigro, A.; Sappa, G. Assessment of groundwater quality in the buffer zone of Limpopo National Park, Gaza Province, Southern Mozambique. Environ. Sci. Pollut. Res. 2019, 26, 62–77. [Google Scholar] [CrossRef]
- Ricolfi, L.; Barbieri, M.; Muteto, P.V.; Nigro, A.; Sappa, G.; Vitale, S. Potential toxic elements in groundwater and their health risk assessment in drinking water of Limpopo National Park, Gaza Province, Southern Mozambique. Environ. Geochem. Health 2020, 42, 2733–2745. [Google Scholar] [CrossRef]
- Hera-Portillo, A.D.L.; Lopez-Gutierrez, J.; Zorrilla-Miras, P.; Mayor, B.; Lopez-Gunn, E. The ecosystem resilience concept applied to hydrogeological systems: A general approach. Water 2020, 12, 1824. [Google Scholar] [CrossRef]
- Sharma, U.C.; Sharma, V. Groundwater sustainability indicators for the Brahmaputra basin in the northeastern region of India. In Sustainability of Groundwater Resources and Its Indicators; Webb, B., Ed.; IAHS Press: Foz do Iguacu, Brazil, 2006; pp. 43–50. [Google Scholar]
- Shrestha, S.; Neupanea, S.; Mohanasundarama, S.; Pandey, V.P. Mapping groundwater resiliency under climate change scenarios: A case study of Kathmandu Valley, Nepal. Environ. Res. 2020, 183, 109149. [Google Scholar] [CrossRef]
- Steijn, T.V.; Verhagen, F.; Hunink, J. Quantifying groundwater resilience in Noord-Brabant, the Netherlands. Geophys. Res. Abstr. 2018, 20, 8448. [Google Scholar]
- Kumar, N.; Sinha, J.; Madramootoo, C.A.; Goyal, M.K. Quantifying groundwater sensitivity and resilience over peninsular India. Hydrol. Process. 2020, 34, 5327–5339. [Google Scholar] [CrossRef]
- UN World Water Assessment Program (WWAP). Water for People-Water for Life; UNESCO Publication: Barcelona, Spain, 2003. [Google Scholar]
- Richey, A.S.; Thomas, B.F.; Lo, M.H.; Famiglietti, J.S.; Swenson, S.; Rodell, M. Uncertainty in global groundwater storage estimates in a Total Groundwater Stress framework. Water Resour. Res. 2015, 51, 5198–5216. [Google Scholar] [CrossRef] [PubMed]
- Katic, P.; Grafton, R.Q. Optimal groundwater extraction under uncertainty: Resilience versus economic payoffs. J. Hydrol. 2011, 406, 215–224. [Google Scholar] [CrossRef]
- Herrera-Franco, G.; Carrion-Mero, P.; Aguilar-Aguilar, M.; Morante-Carballo, F.; Jaya-Montalvo, M.; Morillo Balsera, M.C. Groundwater Resilience Assessment in a Communal Coastal Aquifer System. The Case of Manglaralto in Santa Elena, Ecuador. Sustainability 2020, 12, 8290. [Google Scholar] [CrossRef]
- Hund, S.V.; Allen, D.M.; Morillas, L.; Johnson, M.S. Groundwater recharge indicator as tool for decision makers to increase socio-hydrological resilience to seasonal drought. J. Hydrol. 2018, 563, 1119–1134. [Google Scholar] [CrossRef]
- Peters, E.; van Lanen, H.A.J.; Torfs, P.J.J.F.; Bier, G. Drought in groundwater- drought distribution and performance indicators. J. Hydrol. 2005, 306, 302–317. [Google Scholar] [CrossRef]
- Peterson, T.J.; Argent, R.M.; Western, A.W.; Chiew, F.H.S. Multiple stable states in hydrological models: An ecohydrological investigation. Water Resour. Res. 2009, 45, W03406. [Google Scholar] [CrossRef]
- Peterson, T.J.; Western, A.W. Multiple hydrological attractors under stochastic daily forcing: Can multiple attractors exist? Water Resour. Res. 2014, 50, 2993–3009. [Google Scholar] [CrossRef]
- Peterson, T.; Western, A.; Argent, R. Analytical methods for ecosystem resilience: A hydrological investigation. Water Resour. Res. 2012, 48, 1–16. [Google Scholar] [CrossRef]
- MacDonald, A.M.; Bonsor, H.C.; Calow, R.C.; Taylor, R.G.; Lapworth, D.J.; Maurice, L.; Tucker, J.; O Dochartaigh, B.E. Groundwater Resilience to Climate Change in Africa, Open Report OR/11/031; British Geological Survey: Nottingham, UK, 2011. [Google Scholar]
- MacDonald, A.M.; Bonsor, H.C.; Taylor, R.G.; Shamsudduha, M.; Burgess, W.G.; Ahmed, K.M.; Mukherjee, A.; Zahid, A.; Lapworth, D.; Krishan, G.; et al. Groundwater Resources in the Indo-Gangetic Basin: Resilience to Climate Change and Abstraction; British Geological Survey: Nottingham, UK, 2015. [Google Scholar]
- Davidson, P. Aquifer Dynamics and Resilience Review, MDC Technical Report No: 12-001; Marlborough District Council: Marlborough, UK, 2012. [Google Scholar]
- Lapworth, D.J.; MacDonald, A.M.; Tijani, M.N.; Darling, W.G.; Gooddy, D.C.; Bonsor, H.C.; Araguás-Araguás, L.J. Residence times of shallow groundwater in West Africa: Implications for hydrogeology and resilience to future changes in climate. Hydrogeol. J. 2013, 21, 673–686. [Google Scholar] [CrossRef]
- Richey, A.S. Stress and Resilience in the World’s Largest Aquifer Systems: A GRACE-Based Methodology. Ph.D. Dissertation, University of California, Los Angeles, CA, USA, 2014. [Google Scholar]
- Alraggad, M.; Johnsen-Harris, B.; Shdaifat, A.; Abugazleh, M.K.; Hamaideh, A. Groundwater resilience to climate change in the eastern Dead Sea basin- Jordan. Sci. Res. Essays 2017, 12, 24–41. [Google Scholar]
- Kamali, A.; Niksokhan, M.H. Multi-objective optimization for sustainable groundwater management by developing of coupled quantity-quality simulation-optimization model. J. Hydroinform. 2017, 19, 973–992. [Google Scholar] [CrossRef]
- Thomas, B.F. Sustainability indices to evaluate groundwater adaptive management: A case study in California (USA) for the Sustainable Groundwater Management Act. Hydrogeol. J. 2019, 27, 239–248. [Google Scholar] [CrossRef]
- Thomas, B.F.; Caineta, J.; Nanteza, J. Global assessment of groundwater sustainability based on storage anomalies. Geophys. Res. Lett. 2017, 44, 445–455. [Google Scholar] [CrossRef]
- Al-Amin, S.; Berglund, E.Z.; Mahinthakumar, G.; Larson, K.L. Assessing the effects of water restrictions on socio-hydrologic resilience for shared groundwater systems. J. Hydrol. 2018, 566, 872–885. [Google Scholar] [CrossRef]
- Chinnasamy, P.; Maheshwari, B.; Prathapar, S.A. Adaptation of standardised precipitation index for understanding water table fluctuations and groundwater resilience in hard-rock areas of India. Environ. Earth Sci. 2018, 77, 562. [Google Scholar] [CrossRef]
- Fuchs, E.H.; Carroll, K.C.; King, J.P. Quantifying groundwater resilience through conjunctive use for irrigated agriculture in a constrained aquifer system. J. Hydrol. 2018, 565, 747–759. [Google Scholar] [CrossRef]
- Wurl, J.; Gámez, A.E.; Ivanova, A.; Lamadrid, M.A.I.; Morales, P.H. Socio-hydrological resilience of an arid aquifer system, subject to changing climate and inadequate agricultural management: A case study from the Valley of Santo Domingo, Mexico. J. Hydrol. 2018, 559, 486–498. [Google Scholar] [CrossRef]
- Niyazi, B.A.; Ahmed, M.; Masoud, M.Z.; Rashed, M.A.; Basahi, J.M. Sustainable and resilient management scenarios for groundwater resources of the Red Sea coastal aquifers. Sci. Total Environ. 2019, 690, 1310–1320. [Google Scholar] [CrossRef]
- Zeydalinejad, N.; Nassery, H.R.; Alijani, F.; Shakiba, A. Forecasting the resilience of Bibitarkhoun karst spring, southwest Iran, to the future climate change. Model. Earth Syst. Environ. 2020, 6, 2359–2375. [Google Scholar] [CrossRef]
- Nassery, H.R.; Zeydalinejad, N.; Alijani, F. Speculation on the resilience of karst aquifers using geophysical and GIS-based approaches (a case study of Iran). Acta Geophys. 2021, 69, 2393–2415. [Google Scholar] [CrossRef]
- Zeydalinejad, N.; Nassery, H.R.; Shakiba, A.; Alijani, F. Prediction of the karstic spring flow rates under climate change by climatic variables based on the artificial neural network: A case study of Iran. Environ. Monit. Assess. 2020, 192, 375. [Google Scholar] [CrossRef] [PubMed]
- Nassery, H.R.; Zeydalinejad, N.; Alijani, F.; Shakiba, A. A proposed modelling towards the potential impacts of climate change on a semi-arid, small-scaled aquifer: A case study of Iran. Environ. Monit. Assess. 2021, 193, 182. [Google Scholar] [CrossRef] [PubMed]
- Mazi, K.; Koussis, A.D.; Destouni, G. Intensively exploited Mediterranean aquifers: Resilience to seawater intrusion and proximity to critical thresholds. Hydrol. Earth Syst. Sci. 2014, 18, 1663–1677. [Google Scholar] [CrossRef]
- Zhang, Y.; Wang, Y.; Chen, Y.; Liang, F.; Liu, H. Assessment of future flash flood inundations in coastal regions under climate change scenarios-A case study of Hadahe River basin in northeastern China. Sci. Total Environ. 2019, 693, 133550. [Google Scholar] [CrossRef]
- Sajjad, H.; Ghaffar, A. Observed, simulated and projected extreme climate indices over Pakistan in changing climate. Theor. Appl. Climatol. 2018, 137, 255–281. [Google Scholar] [CrossRef]
- Sahany, S.; Mishra, S.K.; Salunke, P. Historical simulations and climate change projections over India by NCAR CCSM4: CMIP5 vs. NEX-GDDP. Theor. Appl. Climatol. 2018, 135, 1423–1433. [Google Scholar] [CrossRef]
- Cao, F.; Gao, T. Effect of climate change on the centennial drought over China using high-resolution NASA-NEX downscaled climate ensemble data. Theor. Appl. Climatol. 2019, 138, 1189–1202. [Google Scholar] [CrossRef]
- Thrasher, B.; Maurer, E.P.; McKellar, C.; Duffy, P.B. Technical note: Bias correcting climate model simulated daily temperature extremes with quantile mapping. Hydrol. Earth Syst. Sci. 2012, 16, 3309–3314. [Google Scholar] [CrossRef]
- Wood, A.W.; Leung, L.R.; Sridhar, V.; Lettenmaier, D.P. Hydrologic implications of dynamical and statistical approaches to downscaling climate model outputs. Clim. Chang. 2004, 62, 189–216. [Google Scholar] [CrossRef]
- Wood, A.W.; Maurer, E.P.; Kumar, A.; Lettenmaier, D.P. Long-range experimental hydrologic forecasting for the eastern United States. J. Geophys. Res. 2002, 107, 4429. [Google Scholar] [CrossRef]
- Stackhouse, P.W.; Gupta, S.K.; Cox, S.J.; Mikowitz, J.C.; Zhang, T.; Chiacchio, M. 12-year surface radiation budget data set. GEWEX News 2004, 14, 10–12. [Google Scholar]
- Maurer, E.P.; Hidalgo, H.G. Utility of daily vs. monthly large-scale climate data: An intercomparison of two statistical downscaling methods. Hydrol. Earth Syst. Sci. 2008, 12, 551–563. [Google Scholar] [CrossRef]
- Bokhari, S.A.A.; Ahmad, B.; Ali, J.; Ahmad, S.; Mushtaq, H.; Rasul, G. Future climate change projections of the Kabul River Basin using a multi model ensemble of high resolution statistically downscaled data. Earth Syst. Environ. 2018, 2, 477–497. [Google Scholar] [CrossRef]
- Jain, S.; Salunke, P.; Mishra, S.K.; Sahany, S.; Choudhary, N. Advantage of NEX-GDDP over CMIP5 and CORDEX Data: Indian Summer Monsoon. Atmos. Res. 2019, 228, 152–160. [Google Scholar] [CrossRef]
- Singh, V.; Jain, S.K.; Singh, P.K. Inter-comparisons and applicability of CMIP5 GCMs, RCMs and statistically downscaled NEX-GDDP based precipitation in India. Sci. Total Environ. 2019, 697, 134163. [Google Scholar] [CrossRef]
- Zeydalinejad, N.; Nassery, H.R.; Shakiba, A.; Alijani, F. The evaluations of NEX-GDDP and Marksim downscaled datasets over Lali region, southwest Iran. J. Earth Space Phys. 2021, 46, 213–230. [Google Scholar] [CrossRef]
- Zeydalinejad, N.; Nassery, H.R.; Shakiba, A.; Alijani, F. Simulation of Taraz-Harkesh river’s fow, Khouzestan Province, under climate change with NEX-GDDP data set and IHACRES rainfall-runoff model. J. Meteorol. Atmos. Sci. 2019, 2, 162–178. (In Persian) [Google Scholar]
- Roushangar, K.; Alizadeh, F.; Nourani, V. Improving capability of conceptual modeling of watershed rainfall–runoff using hybrid wavelet-extreme learning machine approach. J. Hydroinform. 2018, 20, 69–87. (In Persian) [Google Scholar] [CrossRef]
- Zeydalinejad, N.; Nassery, H.R.; Shakiba, A.; Alijani, F. Simulation of karst aquifer water level under climate change in Lali region, Khouzestan Province, SW Iran. Nivar 2020, 44, 97–109. (In Persian) [Google Scholar] [CrossRef]
- McKee, T.B.; Doesken, N.J.; Kleist, J. The Relationship of Drought Frequency and Duration to Time Scales. In Proceedings of the 8th Conference on Applied Climatology, American Meteorological Society, Boston, MA, USA, 17–22 January 1993. [Google Scholar]
- Edwards, D.C.; McKee, T.B. Characteristics of 20th Century Drought in the United States at Multiple Time Scales; Colorado State University: Fort Collins, CO, USA, 1997. [Google Scholar]
- WMO. Standardized Precipitation Index-User Guide; World Meteorological Organization: Geneva, Switzerland, 2012. [Google Scholar]
- Vasiliades, L.; Loukas, A.; Liberis, N. A water balance derived drought index for Pinios river basin, Greece. Water Resour. Manag. 2011, 25, 1087–1101. [Google Scholar] [CrossRef]
- Shukla, S.; Wood, A.W. Use of a standardized runoff index for characterizing hydrologic drought. Geophys. Res. Lett. 2008, 35, 1–7. [Google Scholar] [CrossRef]
- Angelidis, P.; Maris, F.; Kotsovinos, N.; Hrissanthou, V. Computation of drought index SPI with alternative distribution functions. Water Resour. Manag. 2012, 26, 2453–2473. [Google Scholar] [CrossRef]
- Tigkas, D.; Vangelis, H.; Tsakiris, G. DrinC: A software for drought analysis based on drought indices. Earth Sci. Inform. 2015, 8, 697–709. [Google Scholar] [CrossRef]
- Bartosova, J. Logarithmic-normal model of income distribution in the Czech Republic. Austrian J. Stat. 2006, 35, 215–222. [Google Scholar]
- Bilkova, D. Lognormal distribution and using L-moment method for estimating its parameters. Int. J. Math. Models Methods Appl. Sci. 2012, 6, 30–44. [Google Scholar]
- Guenang, G.M.; Kamga, F.M. Computation of the Standardized Precipitation Index (SPI) and its use to assess drought occurrences in Cameroon over recent decades. J. Appl. Meteorol. Climatol. 2014, 53, 2310–2324. [Google Scholar] [CrossRef]
- IPCC. Climate Change 2013: The Physical Science Basis: Contribution of Working Group I to the Fifth Assessment Report of the Intergovernmental Panel on Climate Change; Cambridge University Press: Cambridge, UK; New York, NY, USA, 2013.
- Jiménez-Cisneros, B.E.; Oki, T.; Arnell, N.W.; Benito, G.; Cogley, J.G.; Döll, P. Freshwater resources. In Climate Change 2014: Impacts, Adaptation, and Vulnerability, Part A: Global and Sectoral Aspects: Contribution of Working Group II to the Fifth Assessment Report of the Intergovernmental Panel on Climate Change; Field, C.B., Barros, V.R., Dokken, D.J., Dokken, D.J., Mach, K.J., Mastrandrea, M.D., Bilir, T.E., Chatterjee, M., Ebi, K.L., Estrada, Y.O., et al., Eds.; Cambridge University Press: Cambridge, UK; New York, NY, USA, 2014; pp. 229–269. [Google Scholar]
- Calow, R.C.; MacDonald, A.M.; Nicol, A.L.; Robins, N.S. Groundwater security and drought in Africa: Linking availability, access, and demand. Groundwater 2010, 48, 246–256. [Google Scholar] [CrossRef]
- Calow, R.C.; Robins, N.S.; MacDonald, A.M.; Macdonald, D.M.J.; Gibbs, B.R.; Orpen, W.R.G.; Mtembezeka, P.; Andrews, A.J.; Appiah, S.O. Groundwater management in drought prone areas of Africa. Int. J. Water Resour. Dev. 1997, 13, 241–261. [Google Scholar] [CrossRef]
- Mendicino, G.; Senatore, A.; Versace, P. A Groundwater Resource Index (GRI) for drought monitoring and forecasting in a mediterranean climate. J. Hydrol. 2008, 357, 282–302. [Google Scholar] [CrossRef]
- Kwon, H.J.; Kim, S.J. Assessment of distributed hydrological drought based on hydrological unit map using SWSI drought index in South Korea. J. Korean Soc. Civ. Eng. 2010, 14, 923–929. [Google Scholar] [CrossRef]
- Bloomfield, J.P.; Marchant, B.P. Analysis of groundwater drought building on the standardised precipitation index approach. Hydrol. Earth Syst. Sci. 2013, 17, 4769–4787. [Google Scholar] [CrossRef]
- Li, B.; Rodell, M. Evaluation of a model-based groundwater drought indicator in the conterminous U.S. J. Hydrol. 2014, 526, 78–88. [Google Scholar] [CrossRef]
- Kumar, R.; Musuuza, J.; Teuling, A.; Samaniego, L.; Loon, A.V.; Broek, J.T.; Barthel, R.; Mai, J.; Attinger, S. The performance of the Standardized Precipitation Index as a groundwater drought indicator. Geophys. Res. Lett. 2015, 17, EGU2015-6387-1. [Google Scholar]
- Kumar, R.; Musuuza, J.L.; Loon, A.F.V.; Teuling, A.J.; Barthel, R.; Broek, J.T.; Mai, J.; Samaniego, L.; Attinger, S. Multiscale evaluation of the Standardized Precipitation Index as a groundwater drought indicator. Hydrol. Earth Syst. Sci. 2016, 20, 1117–1131. [Google Scholar] [CrossRef]
- Goodarzi, M.; Abedi-Koupai, J.; Heidarpour, M.; Safavi, H.R. Development of a new drought index for groundwater and its application in sustainable groundwater extraction. J. Water Resour. Plann. Manag. 2016, 142, 04016032. [Google Scholar] [CrossRef]
- Liu, B.; Zhou, X.; Li, W.; Lu, C.; Shu, L. Spatiotemporal characteristics of groundwater drought and its response to meteorological drought in Jiangsu Province, China. Water 2016, 8, 480. [Google Scholar] [CrossRef]
- Chu, H.J. Drought detection of regional nonparametric standardized groundwater index. Water Resour. Manag. 2018, 32, 3119–3134. [Google Scholar] [CrossRef]
- Al Adaileh, H.; Al Qinna, M.; Barta, K.; Al-Karablieh, E.; Rakonczai, J.; Alobeiaat, A. A drought adaptation management system for groundwater resources based on combined drought index and vulnerability analysis. Earth Syst. Environ. 2019, 3, 445–461. [Google Scholar] [CrossRef]
- Matteo, L.D.; Valigi, D.; Cambi, C. Climatic characterization and response of water resources to climate change in limestone areas: Considerations on the importance of geological Setting. J. Hydrol. Eng. 2013, 18, 773–779. [Google Scholar] [CrossRef]







| SPI | Climate Type |
|---|---|
| >2 | Extremely wet |
| 1.5–1.99 | Very wet |
| 1–1.49 | Relatively wet |
| −0.9–0.9 | Normal |
| −1.49–−1 | Relatively dry |
| −1.99–−1.5 | Very dry |
| <−2 | Extremely dry |
| Variable | The Base Time Period | The Future Time Period (RCP4.5) | The Future Time Period (RCP8.5) |
|---|---|---|---|
| Minimum temperature (°C) | 14.18 | 15.98 | 16.31 |
| Maximum temperature (°C) | 29.62 | 31.65 | 31.94 |
| Precipitation (mm/y) | 343.9 | 328.8 | 323.9 |
| Discharge rate of the Taraz-Harkesh stream (L/s) | 340 | 304.2 | 295.6 |
| Discharge rate of the Bibitarkhoun spring (m3/s) | 2.3 | 2.3 | 2.3 |
| Groundwater level of W1 (m) | 482.3 | 478.06 | 477.62 |
| Groundwater level of W2 (m) | 434.21 | 431.07 | 430.34 |
| Groundwater level of W3 (m) | 416.84 | 416.53 | 416.50 |
| Groundwater level of the Pali aquifer (m) | 454.3 | 453.9 | 453.8 |
| Year | Precipitation | Taraz-Harkesh Stream | Bibitarkhoun Spring | ||||||
|---|---|---|---|---|---|---|---|---|---|
| Base (Future) | Base | Future | Base | Future | Base | Future | |||
| RCP4.5 | RCP8.5 | RCP4.5 | RCP8.5 | RCP4.5 | RCP8.5 | ||||
| 1961 (2021) | 1.07 | 0.08 | 0.51 | −1.92 | −2.82 | −2.17 | −1.71 | −0.51 | 0.81 |
| 1962 (2022) | 0.05 | 0.27 | 0.63 | 0.16 | 0.25 | 0.63 | −1.16 | −0.46 | 1.61 |
| 1963 (2023) | −0.56 | 1.07 | 0.15 | −0.23 | 0.67 | −0.59 | −0.47 | 0.11 | −1.53 |
| 1964 (2024) | 1.53 | 1.36 | −0.04 | 0.61 | 0.19 | −0.30 | −1.06 | 0.82 | −0.99 |
| 1965 (2025) | 2.28 | 0.52 | 0.73 | 2.65 | 1.77 | 0.74 | 1.77 | −0.08 | −0.27 |
| 1966 (2026) | −0.52 | 0.56 | 0.25 | 0.62 | 0.43 | 0.67 | −0.11 | 0.02 | 1.21 |
| 1967 (2027) | 0.69 | −1.66 | −0.55 | 0.26 | −1.42 | 0.14 | 0.44 | 0.06 | −0.60 |
| 1968 (2028) | 1.23 | −1.02 | 0.38 | 1.13 | −1.29 | −0.27 | −0.59 | 0.01 | 0.42 |
| 1969 (2029) | 2.92 | 0.27 | −1.31 | 1.87 | 0.88 | −0.51 | 1.89 | 0.62 | 1.18 |
| 1970 (2030) | 1.84 | −0.51 | −0.23 | 2.13 | −0.27 | −0.57 | 3.38 | −1.11 | −0.83 |
| 1971 (2031) | 0.32 | 1.45 | −0.55 | 0.52 | 0.42 | 0 | −0.38 | −1.17 | 2.06 |
| 1972 (2032) | 0.96 | −0.14 | −0.35 | 0.66 | 0.69 | −0.05 | −0.25 | −0.57 | 0.59 |
| 1973 (2033) | 0.99 | 1.58 | −0.74 | 1.69 | 0.66 | −0.08 | 2.8 | 1.14 | −0.10 |
| 1974 (2034) | 0.33 | −0.95 | 0.46 | −0.57 | 0.78 | 0.24 | −1.54 | −1.07 | −0.77 |
| 1975 (2035) | −0.75 | −1.65 | −1.12 | 0.41 | −0.63 | −1.03 | 0.3 | −0.30 | −0.43 |
| 1976 (2036) | 0.27 | −0.80 | −0.18 | −0.01 | −2.06 | 0.28 | 0.37 | −1.59 | 0.37 |
| 1977 (2037) | 0.09 | 1.44 | −0.12 | 0.43 | 1.6 | −0.34 | −0.35 | −0.50 | 0.02 |
| 1978 (2038) | −1.29 | −0.37 | 0.83 | −0.45 | −0.97 | 0.14 | −0.61 | 0.37 | 1.12 |
| 1979 (2039) | −0.07 | −1.81 | −0.33 | −1.20 | −0.77 | 0.61 | −1.63 | −0.65 | −0.16 |
| 1980 (2040) | 0.75 | 0.44 | −0.77 | 1.15 | −0.20 | −0.89 | 0.66 | −1.20 | −1.44 |
| 1981 (2041) | 0.71 | 0.43 | −0.73 | 0.88 | −0.08 | −0.33 | 0.57 | 0.96 | −1.64 |
| 1982 (2042) | 0.5 | 0.32 | −0.84 | 0.9 | 1.51 | −0.63 | 0.23 | 0.59 | 0.49 |
| 1983 (2043) | 2.77 | 0.39 | −0.79 | 2.03 | −0.72 | −0.80 | 2.34 | 0.48 | 0.61 |
| 1984 (2044) | −0.38 | 1.13 | −1.07 | 0.73 | 1.24 | −0.83 | −0.64 | 0.52 | −0.30 |
| 1985 (2045) | 0.21 | −0.62 | −0.11 | 0 | 0.16 | 0.25 | −0.38 | 0.85 | −0.97 |
| 1986 (2046) | −0.27 | −2.16 | −0.06 | −0.06 | −1.45 | −0.35 | −1.50 | 1.34 | −0.10 |
| 1987 (2047) | 1.05 | −1.37 | −0.50 | 0.81 | −1.36 | −0.57 | −1.80 | 0.4 | −0.72 |
| 1988 (2048) | −1.60 | −1.04 | −0.84 | 0.2 | −1.73 | −0.31 | 0.35 | −0.28 | −0.22 |
| 1989 (2049) | −1.69 | −1.00 | −0.55 | −1.78 | −0.85 | −0.19 | −0.34 | 0.38 | −0.15 |
| 1990 (2050) | −0.34 | −0.28 | −1.15 | −0.47 | −0.07 | −0.62 | 0.27 | 0.89 | −0.20 |
| Average | 0.44 | −0.14 | −0.30 | 0.44 | −0.18 | −0.26 | 0.03 | 0 | −0.03 |
| Year | Pali | W1 | W2 | W3 | ||||||||
|---|---|---|---|---|---|---|---|---|---|---|---|---|
| Base (Future) | Base | Pali | Base | Future | Base | Future | Base | Future | ||||
| RCP4.5 | RCP8.5 | RCP4.5 | RCP8.5 | RCP4.5 | RCP8.5 | RCP4.5 | RCP8.5 | |||||
| 1961 (2021) | 3.11 | 2.9 | 2.95 | 1.47 | −1.00 | −1.13 | 0.24 | −1.38 | −1.09 | 0.27 | −0.20 | −0.08 |
| 1962 (2022) | 1.95 | 1.64 | 1.72 | 2.25 | −0.63 | 0.03 | 0.7 | −0.60 | 0.56 | 0.31 | −0.13 | 0.07 |
| 1963 (2023) | 0.74 | 0.64 | 0.71 | 1.64 | 0.5 | −0.52 | 0.7 | 0.58 | −0.41 | 0.31 | 0.13 | 0.07 |
| 1964 (2024) | 0.13 | 0.38 | 0.41 | 2.53 | 0.21 | −0.25 | 2.34 | 0.88 | −0.16 | 0.65 | 0.31 | −0.04 |
| 1965 (2025) | 0.32 | 0.51 | 0.14 | 2.78 | 0.83 | −0.10 | 2.58 | 0.93 | 0.92 | 0.47 | 0.06 | 0.24 |
| 1966 (2026) | 0.11 | −0.14 | 0.02 | 1.92 | −0.30 | −0.02 | 0.83 | 0.09 | 0.12 | 0.17 | 0.03 | −0.01 |
| 1967 (2027) | −0.30 | −0.05 | −0.15 | 2.04 | −0.65 | −0.44 | 1.5 | −1.18 | −0.54 | 0.55 | −0.29 | −0.18 |
| 1968 (2028) | −0.06 | −0.30 | −0.35 | 2.55 | −0.92 | −0.35 | 1.64 | −1.25 | −0.32 | 0.41 | −0.25 | 0.07 |
| 1969 (2029) | 0.01 | −0.31 | −0.09 | 1.48 | 0.29 | −0.69 | 2.04 | 0.51 | −1.10 | 0.47 | 0.02 | −0.30 |
| 1970 (2030) | 0.51 | −0.42 | −0.42 | 3.36 | −0.33 | −0.38 | 2.65 | −0.70 | −0.34 | 0.45 | −0.19 | 0 |
| 1971 (2031) | 0.24 | −0.40 | −0.27 | 1.79 | −0.54 | −0.50 | 0.66 | 0.19 | −0.59 | 0.32 | 0.06 | −0.12 |
| 1972 (2032) | 0.04 | 0.07 | −0.42 | 1.58 | −0.16 | −0.41 | 1.09 | 0.26 | 0.05 | 0.42 | −0.08 | −0.04 |
| 1973 (2033) | 0.11 | −0.26 | −0.41 | 2.12 | −1.87 | −1.63 | 1.67 | 0.56 | −1.02 | 0.25 | 0.12 | −0.25 |
| 1974 (2034) | −0.14 | 0.16 | −0.52 | 1.24 | −0.74 | −1.30 | 0.57 | −0.26 | −0.44 | 0.31 | −0.20 | −0.10 |
| 1975 (2035) | 0.1 | −0.47 | −0.28 | 2.41 | −0.96 | −1.09 | 0.63 | −1.32 | −1.21 | 0.14 | −0.38 | −0.33 |
| 1976 (2036) | −0.36 | −0.65 | −0.36 | 1.5 | −2.05 | −0.85 | 0.87 | −1.24 | −0.72 | 0.25 | −0.28 | −0.27 |
| 1977 (2037) | −0.18 | −0.30 | −0.42 | 1.01 | −0.06 | −0.88 | 0.27 | 1 | −1.33 | 0.12 | −0.02 | −0.41 |
| 1978 (2038) | −0.26 | −0.24 | −0.28 | 1.19 | −1.40 | −1.21 | −0.08 | −0.42 | −0.04 | −0.04 | −0.16 | 0.03 |
| 1979 (2039) | −0.50 | −0.11 | −0.01 | 0.51 | −0.78 | −0.52 | 0.24 | −1.52 | −0.17 | 0.25 | −0.38 | −0.18 |
| 1980 (2040) | −0.15 | −0.51 | −0.35 | 1.89 | −0.68 | −1.05 | 1.56 | −0.01 | −1.08 | 0.32 | 0.08 | −0.25 |
| 1981 (2041) | −0.24 | −0.21 | −0.31 | 1.12 | −1.22 | −1.20 | 0.86 | −0.30 | −1.38 | 0.23 | −0.05 | −0.36 |
| 1982 (2042) | −0.19 | −0.06 | −0.41 | 2.12 | −0.15 | −1.75 | 1.35 | 0.41 | −1.07 | 0.29 | −0.10 | −0.26 |
| 1983 (2043) | −0.23 | −0.42 | −0.44 | 1.88 | −1.10 | −1.53 | 2.35 | −0.64 | −0.52 | 0.57 | −0.16 | −0.24 |
| 1984 (2044) | 0.26 | −0.01 | −0.41 | 2.16 | 0.07 | −1.70 | 0.75 | 0.68 | −0.81 | 0.11 | 0.08 | −0.27 |
| 1985 (2045) | −0.23 | −0.05 | −0.47 | 1.65 | −0.64 | −1.22 | 0.63 | −0.11 | −0.83 | 0.23 | −0.05 | −0.11 |
| 1986 (2046) | −0.11 | −0.32 | −0.46 | 1.26 | −1.88 | −1.02 | 0.16 | −1.46 | −0.91 | 0.18 | −0.46 | −0.19 |
| 1987 (2047) | −0.21 | −0.56 | −0.29 | 2.11 | −2.27 | −2.03 | 1.52 | −1.53 | −1.41 | 0.51 | −0.51 | −0.41 |
| 1988 (2048) | −0.06 | −0.54 | −0.28 | 0.68 | −1.20 | −2.04 | 0.26 | −1.45 | −1.39 | −0.01 | −0.40 | −0.37 |
| 1989 (2049) | −0.62 | −0.39 | −0.44 | 0.39 | −1.14 | −1.39 | −0.49 | −1.16 | −0.96 | −0.05 | −0.25 | −0.32 |
| 1990 (2050) | −0.54 | −0.47 | −0.46 | 0.94 | −1.40 | −2.23 | 0.25 | −0.21 | −1.50 | 0.2 | −0.06 | −0.32 |
| Average | 0.11 | −0.03 | −0.08 | 1.72 | −0.74 | −0.98 | 1.01 | −0.35 | −0.66 | 0.29 | −0.12 | −0.16 |
| Approach | Time Period | Pali Aquifer | W3 | Taraz-Harkesh Stream | W2 | Bibitarkhoun Spring | W1 |
|---|---|---|---|---|---|---|---|
| Method 1 | Base | 1 | 1 | 0.75 | 1 | 0.5 | 1 |
| Future (RCP4.5) | 1 | 1 | 0.44 | 0.36 | 0.375 | 0.16 | |
| Future (RCP8.5) | 1 | 1 | 1 | 0.14 | 0.4 | 0.11 | |
| Average | 1 | 1 | 0.73 | 0.5 | 0.425 | 0.42 | |
| Method 2 | Base | 1 | 1 | 1 | 1 | 0.5 | 1 |
| Future (RCP4.5) | 1 | 1 | 0.33 | 0.25 | 0.5 | 0.2 | |
| Future (RCP8.5) | 1 | 1 | 1 | 0.33 | 0.5 | 0.09 | |
| Average | 1 | 1 | 0.78 | 0.53 | 0.5 | 0.43 | |
| Method 3 | Base | 1 | 1 | 0.9 | 1 | 0.77 | 1 |
| Future (RCP4.5) | 1 | 1 | 0.77 | 0.67 | 0.83 | 0.63 | |
| Future (RCP8.5) | 1 | 1 | 0.93 | 0.63 | 0.9 | 0.47 | |
| Average | 1 | 1 | 0.87 | 0.77 | 0.83 | 0.7 | |
| Average (Base) | 1 | 1 | 0.88 | 1 | 0.59 | 1 | |
| Average (future (RCP4.5)) | 1 | 1 | 0.51 | 0.43 | 0.57 | 0.33 | |
| Average (future (RCP8.5)) | 1 | 1 | 0.98 | 0.37 | 0.6 | 0.22 | |
| Total average | 1 | 1 | 0.79 | 0.6 | 0.59 | 0.52 | |
Publisher’s Note: MDPI stays neutral with regard to jurisdictional claims in published maps and institutional affiliations. |
© 2022 by the authors. Licensee MDPI, Basel, Switzerland. This article is an open access article distributed under the terms and conditions of the Creative Commons Attribution (CC BY) license (https://creativecommons.org/licenses/by/4.0/).
Share and Cite
Zeydalinejad, N.; Nassery, H.R.; Alijani, F.; Shakiba, A.; Ghazi, B. A Proposed Approach towards Quantifying the Resilience of Water Systems to the Potential Climate Change in the Lali Region, Southwest Iran. Climate 2022, 10, 182. https://doi.org/10.3390/cli10110182
Zeydalinejad N, Nassery HR, Alijani F, Shakiba A, Ghazi B. A Proposed Approach towards Quantifying the Resilience of Water Systems to the Potential Climate Change in the Lali Region, Southwest Iran. Climate. 2022; 10(11):182. https://doi.org/10.3390/cli10110182
Chicago/Turabian StyleZeydalinejad, Nejat, Hamid Reza Nassery, Farshad Alijani, Alireza Shakiba, and Babak Ghazi. 2022. "A Proposed Approach towards Quantifying the Resilience of Water Systems to the Potential Climate Change in the Lali Region, Southwest Iran" Climate 10, no. 11: 182. https://doi.org/10.3390/cli10110182
APA StyleZeydalinejad, N., Nassery, H. R., Alijani, F., Shakiba, A., & Ghazi, B. (2022). A Proposed Approach towards Quantifying the Resilience of Water Systems to the Potential Climate Change in the Lali Region, Southwest Iran. Climate, 10(11), 182. https://doi.org/10.3390/cli10110182

