Abstract
This paper deals with the evaluation of the combustion intensity of coal particles on the basis of measurement data (UV radiation) from a scanning point photodiode. UV radiation is measured using a custom UV scanner at different distances from the burner in the vertical combustion chamber. The designed scanner uses a sensitive silicon carbide (SiC) photodiode, and its dynamical properties are investigated in the present work. Subsequently, experiments are performed for coal particles at different combustion temperatures and at different measuring locations of the scanner. The measurement data are processed in the frequency domain using the proposed algorithm, and two indicators for evaluating the combustion intensity are proposed. The obtained results show that the proposed indicators provide unequivocal information about the combustion intensity as a function of the combustion temperature.
1. Introduction
Although the share of renewable energy resources in the production of electric energy is increasing every year, in many countries, electricity is still predominantly produced from the burning of fossil fuels like coal or natural gas. To ensure the safe and efficient operation of pulverized coal-fired boilers, it is essential to provide reliable instruments and methods for monitoring the combustion intensity and flame stability. Monitoring combustion processes is also crucial when designing control strategies aimed at reducing the NOx content in exhaust gases [1,2].
Pulverized coal is usually fired in an oxygen-rich environment, and the combustion of coal particles can be divided into two consecutive stages: devolatilization and char oxidation. During the devolatilization process, light gases and radicals are released, which is then followed by the ignition and combustion of the volatiles. The presence of radicals is responsible for the chemiluminescence phenomenon, leading to spontaneous light emission at a wavelength corresponding to the UV range [3,4,5]. The pyrolysis reactions occur with different frequencies; thus, their effect on the emitted UV radiation can be visible in the frequency spectrum of the observed flame. Therefore, the combustion process, especially at the ignition phase, can be monitored using optical sensors based on radiation detection [6,7,8,9,10]. At higher combustion temperatures, more radicals are released; therefore, higher UV levels are expected. Thus, combustion intensity and flame stability can be monitored by measuring UV radiation [11,12].
Most commercially available optical sensors only provide information on whether or not the flame is extinguished, and their purchase cost is usually high. In contrast, custom-made sensors can provide raw data that can be further processed and analyzed to evaluate the flame state and combustion intensity. Among the many different types of optical sensors, silicon carbide (SiC) photodiodes have attracted significant attention as they ensure almost perfect visible blindness, very low dark current, very high sensitivity, high temperature endurance, and fast response rates [13]. For these reasons, SiC photodiodes are commonly used in monitoring combustion processes [10,14,15,16,17]. Spectrometer-based devices are also used [18,19,20], but their practical applications can be limited by high costs.
Apart from the measuring device, a crucial element is an algorithm for processing the raw data to obtain unequivocal results on the flame state, flicker frequency, or combustion intensity [21,22,23,24]. One of the most important features of the flame is its oscillatory characteristics, which result from irregularities in the burnt fuel or firing conditions [25,26,27]. As shown in [4,23,28], measurement data from the optical sensors include constant and frequency components, each characterizing a specific property of the flame. For example, the constant components depend on the flame size and the brightness of the flame surroundings, while the alternating components depend on the flame shape or energy transitions within the flame [29,30]. Therefore, analyzing the measurement data in the frequency domain may provide more information on the combustion process [31]. More advanced algorithms that are based on neural networks (NN) and support vector machine (SVM) or random forest (RF) techniques are also used, and they can be very effective [18]. However, these algorithms can be quite complex and time consuming, which can be difficult to overcome in practical applications, especially during the calibration procedure.
Finding a proper location for the optical sensor is another crucial aspect to consider. In practice, measuring the whole flame is not always possible, as industrial boilers have a limited number of portholes for mounting the sensor. In many previous works, it has been shown that optical sensors should be aimed at the root of the flame [10,32,33]. This is because the chemiluminescence phenomenon is mainly concentrated around the flame root [34]. However, the effect of different sensor positions on the measured chemiluminescence intensity has also been studied [35].
In this paper, we propose a method for evaluating the combustion intensity of a pulverized coal based on measurement data from a single measurement point. The proposed method can be easily implemented in practice, and it requires only a single UV sensor. Moreover, a low-cost optical UV-based device is designed, and its efficiency is studied experimentally. The rest of the paper is organized as follows: The next section presents a short review of the works related to chemiluminescence measurement. The purpose of the review is to highlight the importance of measuring chemiluminescence, as well as the information that can be obtained from observing this phenomenon. The laboratory setup and the designed UV scanner are described in Section 3. The experimental results and the proposed method for processing the measurement data are shown and discussed in Section 4. Finally, the concluding remarks are given in Section 5.
2. Related Work
Spectroscopic techniques are popular in flame diagnostics due to their simplicity and minimally invasive method of measurement. Chemiluminescence is emitted from excited OH, CN, CH, and C2 radicals and varies in the wavelengths emitted [5]. UV-A, UV-B, UV-C sensors are available, the choice of which depends on the wavelengths measured [15,17,36]. Chemiluminescence measurement has become frequently used in combustion diagnostics, allowing for the assessment of flame structure, strain rate, equivalence ratio, and heat release rate, which are most relevant to the present work [37]. Moreover, due to the different wavelengths, it is possible to distinguish excited radicals and infer from them the properties of the fuel and the possibility of emissions [18]. Therefore, the main goal of our work is to study the intensity of combustion by observing the radiation of free OH radicals. An overview of the related papers is provided in Table 1.
Table 1.
Summary of papers related to the chemiluminescence measurement.
OH* chemiluminescence was found to be related to the heat release rate [37] for a methane–air mixture. This result is not universal irrespective of the fuel used; it is only a relationship has been shown, but no specific indicator has been proposed. Accurate measurement of UV energy is difficult due to fouling in the measurement path; hence, the use of frequency analysis methods is advisable. In [18], the usefulness of integrating the spectral intensity to detect the type of biomass, which is characterized by its calorific value and combustion intensity, was confirmed. This inspired a study of the spectral spectrum of the UV signal recorded during the combustion of coal samples in air. Hence, this study proposes indicators to relate the frequency spectrum of the measured UV signal to the combustion intensity of the coal dust–air mixture. Also, one of the main goals of our work is to find the optimal position for the UV sensor to unambiguously evaluate the combustion intensity.
3. Experimental Setup and Instrumentation
3.1. Combustion Chamber
The experiments were carried out in a vertical combustion chamber (Figure 1 and Figure 2). The construction of the device enables the combustion of solid fuels in the form of a dust cloud. The combustion processes are studied based on observations of the flame behavior and its stability and ignition point, which depend on the operating parameters.
Figure 1.
Diagram of the stand for testing the ignition and combustion processes of pulverized coal particles.
Figure 2.
Drop-furnace setup at the Institute Energetics.
The combustion chamber (1) shown in Figure 1 and Figure 2 is a 1.5 m long drop tube with an internal diameter of 0.1 m, and it is made up of cylindrical heating elements (2). These elements ensure a constant temperature along the internal walls of the chamber. The combustion temperature is measured using thermocouples (3). The stand ensures almost perfect homogeneous conditions for fuel samples in the whole combustion chamber. Precise and even dosing of weighed portions of the pulverized fuel, with an accuracy of ±4%, is ensured by using a pneumatic feeder (4). The fuel is fed to the combustion chamber in the primary air stream through a thermally insulated water-cooled probe, which is a miniature dust-stream burner (5) with an internal diameter of the outlet nozzle of 12 mm. The temperature of the cooling water is stabilized to ensure constant thermal conditions for the fuel and to prevent its ignition inside the water-cooled probe. At the same time, the thermal insulation of the probe prevents the cooling of secondary air, which is the main oxidant stream. In order to maintain an even temperature distribution in the combustion chamber, and in particular in its initial section, the secondary air stream flows through the electric heater (6). The secondary air heater provides a gas stream at the inlet of the chamber at a temperature equal to the temperature of its walls. The maximum operating temperature of the chamber can be set to up to 1200 °C. In order to stabilize the flow rate of secondary air, a stabilizing insert (7) is placed at the inlet to the combustion chamber. The test stand is supplied with air from a compressor, and the primary and secondary air flows are controlled by means of precise electronic mass flow controllers (8). A sight glass in the form of a quartz tube (9) is installed along the entire combustion chamber. The combustion chamber outlet (10) is connected to the exhaust gas system, ensuring constant negative pressure in the combustion chamber. The measurement and control systems are connected to the data acquisition system. Additionally, the combustion process can be recorded in the visible light spectrum using a fast camera.
The fuel used to carry out the research is hard coal from the Polish Janina mine. The choice of this fuel was dictated by good knowledge of its properties and stable characteristics [49,50,51]. In order to perform the experimental tests, a sieved fraction of coal with grain sizes between 64 and 90 µm is used. The tests are carried out at the following combustion temperatures: 700, 800, 900, and 1000 °C. This temperature range largely coincides with the typical temperature range found in industrial coal-fired boilers. The lower range (temperature about 700 °C) corresponds to the ignition temperature of char in carbon particles, while at around 1000 °C, both processes (volatilization and char combustion) are close to the end [52]. Thus, the chosen range of 700–1000 °C allows us to analyze all the most important phenomena occurring during combustion. The main operating parameters of the test stand are presented in Table 2.
Table 2.
Experimental conditions in the combustion chamber.
In each experiment, primary and secondary air flow rates (Table 2) are kept constant. Although the temperature in the combustion chamber is homogenous, air velocity profiles may vary depending on the temperature and the distance from the burner. The effect of temperature on the air velocity in the chamber has been determined numerically using CFD (computational fluid dynamics) techniques in the ANSYS-Fluent 15.0 software. A two-dimensional model of the combustion chamber was built and parametrized according to [53]. The simulated velocity profiles with a specified region of interest (ROI) are shown in Figure 3. The ROI is compared with images captured every 20 ms by the high-speed camera located at the distance of 0.1–0.55 m from the burner (Figure 1). The selected range covers the most important parts of the flame, and Figure 4 shows the air velocities obtained numerically for different combustion temperatures.
Figure 3.
Velocity profiles of the air in the combustion chamber and the captured images of the flame corresponding to the ROI.
Figure 4.
Air velocity profiles obtained numerically for different combustion temperatures in the specified ROI.
It should be noted that the image analysis in the visible spectrum is not sufficient for a complete description of the ignition process and correct estimation of the temperature, but the visual data can be complemented with the data from the UV analysis. The RGB images from the high-speed camera are converted into luminance EY′ according to the ITU-R BT.601-7 standard [54]:
where ER′, EG′, and EB′ are components corresponding to the RGB channels.
EY′ = 0.299ER′ + 0.587EG′ + 0.114EB′
Then, the luminance is normalized and scaled using the cubic interpolation method. Finally, using the velocity profiles (Figure 4), it is possible to calculate the residence times of the coal particles at different distances from the burner. The residence times were calculated by integrating the reciprocals of the average velocity of air for specified distances (Figure 4). The obtained results are portrayed in Figure 5 in the form of luminance maps for the ROI at different combustion temperatures. The numerical results also show that the measured signals have a spatiotemporal character; thus, it is not possible to specify a representative location of an optical sensor to gather complete information on the combustion process and its intensity. As can be noticed, the residence time of coal particles is smaller for higher combustion temperatures. However, a visual image that allows the flame to be observed over a wide range of ROIs is not sufficient to assess the combustion process. Due to these reasons, further analysis was based on UV radiation measurements in the range corresponding to the UV-C spectrum (200 to 280 nm). Observations made in this range allow us to characterize devolatilization processes for a specific fuel. This requires the UV scanner to be positioned at a single optimum measuring point that provides unambiguous information about the combustion process.
Figure 5.
VIS luminance maps for different combustion temperatures.
3.2. UV-C Scanner Design
UV radiation can be measured using industrial devices, but in most cases, they provide information only on the existence of the flame and perform simple frequency analysis of UV signals. Also, they do not provide raw signals from the flame detector that could be used in an analysis of ignition processes. For these reasons, we designed a custom UV flame scanner, as shown in Figure 6. Although the device does not contain any moving parts like traditional optical scanners, the term “scanner” refers to the way the device continuously monitors the flame for specific optical signals, like the UV radiation in our case.
Figure 6.
The UV scanner in aluminum housing with threaded connectors.
The chassis of the scanner is made of aluminum with a threaded connector (1¼”) to fix the scanner to the sight glass and Whitworth thread to attach the scanner to a tripod. The UV scanner uses a SiC sensor due to its high sensitivity, good spectral properties, insensitivity to visible and infrared light, and resistance to high temperatures. In this study, UV-TIAMO sensors from Roithner Lasertechnik (Vienna, Austria) are used. These sensors can detect UV-B and UV-C radiation (wavelengths between 215 nm and 365 nm) and include a transimpedance amplifier that produces an output voltage in the range between 0 and 5 V.
The UV-TIAMO sensors differ in their sensitivity, dynamical responses, and housing (with a diffuser or lens). In our case, two sensors were selected: UV-TIAMO-BL, with a lens and measurement range to 18 nW/cm2, and UV-TIAMO, which has a diffuser and measurement range of up to 18 µW/cm2. The measuring device includes the sensor, an amplifier with adjustable voltage gain (×1, ×10, or ×100), a voltage-to-current converter with 4–20 mA output, and a Pt100 temperature sensor with a transmitter. The structure of the UV device is shown in Figure 7.
Figure 7.
Schematic of the UV scanner.
Preliminary tests of the UV scanner were performed by fixing it at one end of a tube. At the other end of the tube, a UV diode was mounted to generate the test signals. Then, by using the oscilloscope, it was possible to measure the responses (voltage) of the UV scanner to step-wise or sinusoidal radiation from the UV diode. The voltage obtained for different frequencies were normalized to the voltage obtained for a minimum frequency and shown in Figure 8.
Figure 8.
Bode magnitude plots for two different UV sensors.
It can be noticed that the less sensitive sensor (UV-TIAMO) has a wider bandwidth (up to about 4 Hz) in comparison with the more sensitive sensor (UV-TIAMO-BL), for which a 3 dB bandwidth is obtained for frequencies below 2 Hz. The obtained parameters are presented in Table 3.
Table 3.
Comparison of dynamical parameters of the UV sensors.
While rise times are consistent with the values provided by the manufacturer, the cutoff frequencies are much lower than those declared in the datasheet, but these are still sufficient as the most important spectral components of observed flames occur in the range of up to 2 Hz. Due to the higher sensitivity of UV-TIAMO-BL, it was decided to use this sensor in the scanner design and analysis of combustion processes. Technical parameters of the designed UV sensor are summarized in Table 4.
Table 4.
Technical parameters of the UV scanner.
The measured UV signals are sampled with a frequency fs = 10.9091 Hz. This sampling frequency is sufficient to reconstruct the measured signals. For a single combustion experiment, the scanner is fixed at a specified position. In order to measure the radiation along the whole cylindrical chamber, the combustion process is repeated for different positions of the scanner under the same experimental conditions. In this way, it is possible to gather spatiotemporal data of the flame intensity and UV radiation.
4. Results and Discussion
A series of experiments was carried out on the test bench for different combustion temperatures (range 700–1000 °C) and different positions of the UV scanner from the burner (range 0–0.6 m). Figure 9 explains what is meant by the distance L from the burner and shows three exemplary positions of the scanner at 0.15, 0.25, and 0.30 m with respect to the burner. The exact values of the parameters of the experiments are shown in Table 2. During each experiment, UV signals were recorded for preset time intervals not exceeding one minute.
Figure 9.
Positioning of the UV scanner at different distances from the burner.
In turn, Figure 10 shows exemplary time signals recorded by the UV scanner for eleven different distances from the burner (in the range 0.15 m–0.6 m) and for a combustion temperature of 700 °C. The measured signals are expressed in pW/cm2, and they represent the instantaneous power density in the flame area observed by the scanner. The measurements shown in Figure 10 were repeated for temperatures of 800, 900, and 1000 °C. All the obtained results were averaged, and these are shown in Figure 11 in the form of the spatiotemporal distribution of UV radiation corresponding to the results shown in Figure 5 for different combustion temperatures.
Figure 10.
Measured signals from the UV sensor obtained at 700 °C at eleven different distances (in the range 0.15–0.6 m) from the burner.
Figure 11.
UV maps for different combustion temperatures.
Coherent regions that can be observed in Figure 11 only confirm that the combustion experiments were carried out under the same conditions. As the temperature increases, the combustion process becomes more rapid, but the spatial distribution of UV-C along the cylindrical chamber is ambiguous. In practice, the combustion process cannot be easily observed in its whole area by using a single UV sensor. Measuring the flame intensity or radiation in only a single location may not be sufficient to analyze the intensity of the whole combustion process. Hence, it was necessary to develop a method that allowed us to obtain more information on the combustion process based on measurement data from a single location of the UV scanner.
Knowing that the combustion intensity can be related to the amount of radicals released and, thus, the emitted UV radiation, we assumed that the combustion intensity can be determined from the analysis of UV signals. The following figures of merit can be considered: 1—maximum value of the UV distribution along the test chamber (FM1); 2—mean value (or area) of the UV distribution along the test chamber (FM2); and 3—location of the maximum value of the UV distribution along the test chamber (FM3). In this paper, we considered the possibility of using a single UV scanner to measure the intensity of the combustion process in relation to these three indicators.
Figure 12 presents the distributions of the mean UV radiation as a function of the combustion temperature. The measurements made at each distance from the burner were replicated under the same physical conditions and averaged. It can be noticed that the maximum values in the UV distribution (FM1) increase monotonically with the combustion temperature. The same rule applies to mean values (areas) in the UV curves (FM2)—the lowest value was obtained at 700 °C and the highest at 1000 °C. This monotonicity was not preserved for the locations of the maxima (FM3). This means that measuring UV radiation at a single location, as in our case, does not guarantee that the combustion intensity can be evaluated in an unequivocal manner. Moreover, at some distances from the burner (e.g., 0.1 m and 0.4 m) the measured UV radiation is comparable, while at a distance of around 0.2 m, one may wrongly infer that the combustion intensity at 800 °C is higher than the intensity at 900 °C. In turn, at around a 0.3 m distance from the burner, one may wrongly infer that the combustion intensity at 900 °C is higher than the intensity at 1000 °C. Only when the sensor’s position is at about 0.26 m from the burner is the measured UV radiation is strictly proportional to the combustion temperature and, thus, to the combustion intensity. However, the region of unambiguous temperature dependence (UTD) is very narrow and therefore very difficult to locate (Figure 12).
Figure 12.
Mean UV radiation measured at different distances from the burner and at different combustion temperatures; UTD—unambiguous temperature-dependence region.
Additionally, the variability in UV radiation measurements at different distances highlights the complexity of accurately assessing combustion intensity. For instance, at 0.1 m from the burner, the UV radiation values for 800 °C and 900 °C are nearly identical, making it challenging to distinguish between the two temperatures based solely on UV readings. Similarly, at 0.4 m, the UV radiation at 900 °C and 1000 °C shows a minimal difference, further complicating the evaluation process. This variability underscores the importance of precise sensor placement to obtain reliable data.
Furthermore, the narrow UTD region at around 0.26 m suggests that even slight deviations in sensor positioning can lead to significant errors in interpreting combustion intensity. This sensitivity necessitates meticulous calibration and validation of the measurement setup to ensure accuracy. The findings indicate that while UV radiation can be a useful indicator of combustion temperature, careful consideration of the measurement conditions and sensor placement is required to avoid misleading conclusions.
In conclusion, the study demonstrates that UV radiation measurements, while valuable, are subject to limitations based on sensor positioning and its distance from the burner. The monotonic increase in maximum and mean UV values with temperature provides a general trend, but the non-monotonic behavior of maxima locations (FM3) indicates the need for a comprehensive analysis. Accurate combustion intensity evaluation demands a nuanced approach that takes into account the specific measurement context and potential sources of error.
In turn, the results presented in Figure 12 mainly depend on the constant component in the UV signal, which is dominant in comparison with its alternating components. Since the dynamical nature of the flame is oscillatory [23], the constant components can mask the information contained in the alternating components. Therefore, further analysis was performed in the frequency domain without taking into account the constant components.
By using fast Fourier transform (FFT) with the Hanning window, the frequency spectra were calculated for the measured time–domain UV signals. For N = 512 samples and a sampling frequency fs = 10.9091 Hz, the resulting spectra had a resolution of 0.021 Hz. As the true bandwidth of the UV scanner is 1.97 Hz (Table 3), the analysis was performed within a range between fmin = 0.3 and fmax = 1.9 Hz. Figure 13 shows the magnitude spectra S(f) obtained for different combustion temperatures and different locations of the UV scanner. The magnitude spectra were normalized by dividing their values by the highest value obtained at 1000 °C. For better visualization of the differences, the scale of the z-axis is logarithmic, and the zero value corresponds to the maximum value of the normalized magnitude spectrum S(f).
Figure 13.
Normalized magnitude spectra for different combustion temperatures.
It can be seen that as the temperature increases, the intensity of the spectrum also increases, and the location of the spectrum maximum shifts toward the burner.
As the spectra are difficult to interpret, two global indicators in frequency domain are proposed:
- Maximum of the magnitude spectrum:
- Area under the magnitude spectrum:where f—frequency in Hz; fmin, fmax—lower and upper frequency ranges; and S(f)—magnitude spectrum from a single UV sensor location at a specified combustion temperature.
The MoS and the AoS are analogous to the previously mentioned figures of merit, FM1 and FM2, but they are calculated in the frequency domain without the low-frequency components. The MoS and the AoS are calculated for each scanner’s location and combustion temperature and shown in Figure 14 and Figure 15, respectively.
Figure 14.
Maximum of magnitude spectra (MoS indicator) plot based on the UV sensor’s position and the combustion temperature.
Figure 15.
Area under spectra (AoS indicator) plot based on the UV sensor’s position and the combustion temperature.
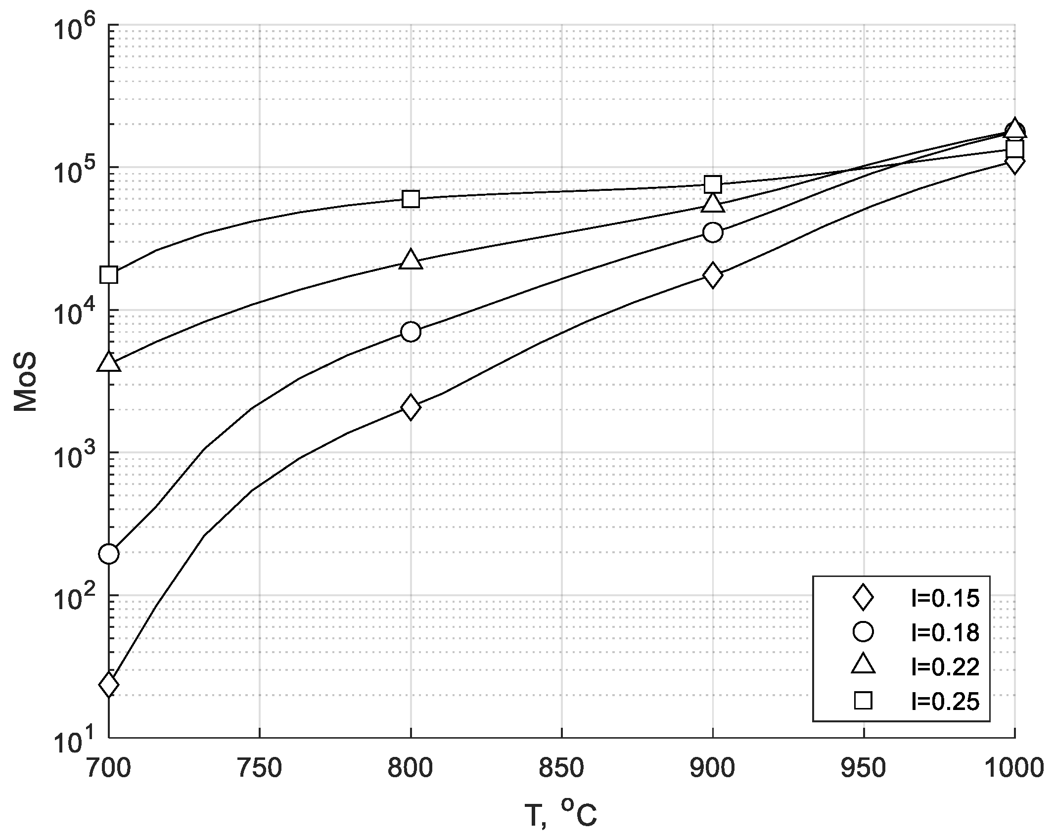
The analysis of the proposed indicators (Figure 14 and Figure 15) leads to similar conclusions. The maximum in the AoS (or MoS) distribution at 800 °C is shifted to the right and is very close to the maximum in the AoS (or MoS) distribution at 900 °C. In both cases, the UTD region is much wider than that shown in Figure 12. At a distance of 0.1 m to 0.25 m, unambiguous information on the combustion temperature, and thus the combustion intensity, can be obtained. This region is close to the root of the flame and, therefore, rich in free radicals. It seems that more precise measurements of the UV radiation at distances close to the burner outlet (L < 0.1 m) can extend the UTD range to the left. The analysis of the proposed indicators in the UTD range allows us to express the MoS and AoS as functions of the combustion temperature (Figure 16 and Figure 17). As these are monotonical functions of the combustion temperature, it is possible to measure the temperature of combustion by using a calibrated UV scanner.
Figure 16.
Unambiguous maximum of magnitude spectra (MoS indicator) characteristics for four different UV sensor locations in the UTD range.
Figure 17.
Unambiguous area under spectra (AoS indicator) characteristics for four different UV sensor locations in the UTD range.
Finally, the proposed approach can be summarized as shown in the flowchart in Figure 18. After recording the UV signals, FFT is applied, and the magnitude spectrum S(f) is obtained. Then, the proposed indicators can be calculated.
Figure 18.
Flowchart for the calculation of MoS and AoS indicators.
After applying the above algorithm, the measured UV signals from a single measurement point provide unequivocal data on the combustion intensity and its dependence on the combustion temperature. The results obtained further validate that the intensity of combustion rises with the temperature of combustion and that the UV scanner should be pointed toward the flame’s root, since this is the area where the greatest concentration of free radicals is anticipated.
5. Conclusions
The experimental results have shown that choosing the proper location of the sensor is very crucial. It was also demonstrated that the proposed indicators (AoS—area under magnitude spectra and MoS—maximum of magnitude spectra) allow for the evaluation of combustion intensity based on UV measurements from a single measurement point. Despite their disparate definitions, they provide equivalent information on the combustion intensity and, thus, to some extent, the flame stability. The experimental results obtained for different locations of the UV scanner have shown that the scanner should be aimed at a region located close the root of the flame, as the highest concentration of radicals is expected in this region. Furthermore, the results are consistent with other findings that have been reported and examined by previous researchers [10,32,33,55]. As the experiments were performed at different combustion temperatures, it was possible to show the effect of combustion temperature on the combustion intensity. Moreover, the region of unequivocal temperature dependence (UTD) was significantly increased in comparison with the UTD region obtained for raw UV signals.
As the performed experiments were conducted in a laboratory scale setup that ensured strictly specified combustion conditions (e.g., constant temperature), it is not possible to directly apply the proposed method to industrial-scale boilers. Hence, our future work will focus on adapting the proposed method to the analysis of combustion intensity in industrial pulverized coal-fired boilers.
Author Contributions
Conceptualization, D.C. and K.S.; methodology, W.I.; software, K.S., A.M., W.I., P.S. and P.G.; validation, W.I. and P.S.; formal analysis, K.S. and W.I.; investigation, K.S., A.M., P.B. and B.G.; resources, K.S. and A.M.; data curation, K.S. and J.A.J.S.; writing—original draft preparation, D.C., W.I. and P.S.; writing—review and editing, W.I. and P.S.; visualization, D.C., W.I. and P.S.; supervision, D.C. and K.S.; project administration, D.C.; funding acquisition, D.C. All authors have read and agreed to the published version of the manuscript.
Funding
This research was partially supported by the project “Development and implementation of innovative technology intensification of the combustion of solid fuels” co-financed by the Polish National Centre for Research and Development and a national program—R&D works and commercialization of R&D—Regional Scientific and Research Agendas/2017 (contract no. POIR.04.01.02-00.068/17-00). This work was also partially supported by the Polish Ministry of Science and Higher Education funding for the statutory activities of Silesian University of Technology in 2024 (D.C., K.S., W.I., P.S., P.G.).
Data Availability Statement
Dataset available on request from the authors.
Acknowledgments
The authors thank the anonymous reviewers and academic editors for their comments.
Conflicts of Interest
The authors declare no conflicts of interest.
References
- Skalska, K.; Miller, J.S.; Ledakowicz, S. Trends in NOx abatement: A review. Sci. Total Environ. 2010, 408, 3976–3989. [Google Scholar] [CrossRef] [PubMed]
- Qin, L.; Lu, G.; Hossain, M.M.; Morris, A.; Yan, Y. A flame imaging-based online deep learning model for predicting NOx emissions from an oxy-biomass combustion process. IEEE Trans. Instrum. Meas. 2021, 71, 1–11. [Google Scholar] [CrossRef]
- Weidmann, M.; Verbaere, V.; Boutin, G.; Honoré, D.; Grathwohl, S.; Goddard, G.; Gobin, C.; Dieter, H.; Kneer, R.; Scheffknecht, G. Detailed investigation of flameless oxidation of pulverized coal at pilot-scale (230 kWth). Appl. Therm. Eng. 2015, 74, 96–101. [Google Scholar] [CrossRef]
- Xia, Y.; Zhang, J.; Tang, C.; Pan, W. Research and application of online monitoring of coal and biomass co-combustion and biomass combustion characteristics based on combustion flame. J. Energy Inst. 2023, 108, 101191. [Google Scholar] [CrossRef]
- Huang, W.; Wu, Y.; Feng, L.; Zhang, H. Ignition characteristics of the high-velocity pulverized coal jet in MILD combustion mode: Experiments and prediction improvements. Fuel 2024, 360, 130619. [Google Scholar] [CrossRef]
- Xu, L.; Yan, Y. A new flame monitor with triple photovoltaic cells. IEEE Trans. Instrum. Meas. 2006, 55, 1416–1421. [Google Scholar] [CrossRef]
- Guyot, D.; Guethe, F.; Schuermans, B.; Lacarelle, A.; Paschereit, C.O. CH*/OH* chemiluminescence response of an atmospheric premixed flame under varying operating conditions. In Proceedings of the Turbo Expo: Power for Land, Sea, and Air, Glasgow, UK, 14–18 June 2010. [Google Scholar]
- Hees, J.; Zabrodiec, D.; Massmeyer, A.; Habermehl, M.; Kneer, R. Experimental investigation and comparison of pulverized coal combustion in CO2/O2− and N2/O2− atmospheres. Flow Turbul. Combust. 2016, 96, 417–431. [Google Scholar] [CrossRef]
- De Giorgi, M.G.; Sciolti, A.; Campilongo, S.; Ficarella, A. Flame structure and chemiluminescence emissions of inverse diffusion flames under sinusoidally driven plasma discharges. Energies 2017, 10, 334. [Google Scholar] [CrossRef]
- Zhong, Y.; Zhang, T.; Zhang, Y.; Cheng, T. Flame temperature and heat release rate sensor for active combustion control. Measurement 2022, 202, 111762. [Google Scholar] [CrossRef]
- Muruganandam, T.M.; Nair, S.; Scarborough, D.; Neumeier, Y.; Jagoda, J.; Lieuwen, T.; Seitzman, J.; Zinn, B. Active control of lean blowout for turbine engine combustors. J. Propuls. Power 2005, 21, 807–814. [Google Scholar] [CrossRef]
- De Giorgi, M.G.; Sciolti, A.; Campilongo, S.; Ficarella, A. Image processing for the characterization of flame stability in a non-premixed liquid fuel burner near lean blowout. Aerosp. Sci. Technol. 2016, 49, 41–51. [Google Scholar] [CrossRef]
- Gaur, A.; Singh, A.; Kumar, A.; Kulkarni, K.S.; Lala, S.; Kapoor, K.; Srivastava, V.; Kumar, A.; Mukhopadhyay, S.C. Fire sensing technologies: A review. IEEE Sens. J. 2019, 19, 3191–3202. [Google Scholar] [CrossRef]
- Brown, D.M.; Fedison, J.B.; Hibshman, J.R.; Kretchmer, J.W.; Lombardo, L.; Matocha, K.S.; Sandvik, P.M. Silicon carbide photodiode sensor for combustion control. IEEE Sens. J. 2005, 5, 983–988. [Google Scholar] [CrossRef]
- Bedard, M.J.; Fuller, T.L.; Sardeshmukh, S.; Anderson, W.E. Chemiluminescence as a diagnostic in studying combustion instability in a practical combustor. Combust. Flame 2020, 213, 211–225. [Google Scholar] [CrossRef]
- Naderi, N.; Moghaddam, M. Ultra-sensitive UV sensors based on porous silicon carbide thin films on silicon substrate. Ceram. Int. 2020, 46, 13821–13826. [Google Scholar] [CrossRef]
- Chen, D.; Li, J.; Li, X.; Guo, Y.; Huang, H.; Kobayashi, N. Experimental studies on the OH∗ chemiluminescence and structure characteristics in NH3/H2 and NH3/cracked gas swirl flames. Int. J. Hydrogen Energy 2024, 52, 1370–1379. [Google Scholar] [CrossRef]
- Ge, H.; Li, X.; Li, Y.; Lu, G.; Yan, Y. Biomass fuel identification using flame spectroscopy and tree model algorithms. Combust. Sci. Technol. 2021, 193, 1055–1072. [Google Scholar] [CrossRef]
- Xie, F.; Song, X.; Ding, L.; Su, W.; Lv, P.; Yang, J.; Ryzhkov, A.; Yu, G. Study on the reactions and alkali metals radiation characteristics from different coal ranks of a single coal particle flame. Fuel 2023, 336, 127148. [Google Scholar] [CrossRef]
- Wei, J.; Li, J.; Xu, D.; Zhang, S.; Vuthaluru, H.; Kontchouo, F.M.B.; Huang, A.; Song, X. Ignition characteristics and alkali metal release behaviors of single-particle coal in O2/CO2 or O2/N2 atmospheres using optical diagnostic technology. J. Energy Inst. 2023, 111, 101395. [Google Scholar] [CrossRef]
- Xu, L.; Yan, Y. An improved algorithm for the measurement of flame oscillation frequency. IEEE Trans. Instrum. Meas. 2007, 56, 2087–2093. [Google Scholar] [CrossRef]
- Wójcik, W. Application of fibre-optic flame monitoring systems to diagnostics of combustion process in power boilers. Bull. Pol. Acad. Sci. 2008, 56, 177–195. [Google Scholar]
- Moguel, O.F.; Szuhánszki, J.; Clements, A.G.; Ingham, D.B.; Ma, L.; Pourkashanian, M. Oscillating coal and biomass flames: A spectral and digital imaging approach for air and oxyfuel conditions. Fuel Process. Technol. 2018, 173, 243–252. [Google Scholar] [CrossRef]
- Qian, C.; Yang, Y.; Zhu, Z.; Hu, K.; Hassan, H.; Krikunova, A.; Wang, G. A comprehensive investigation on flame flickering characteristics of premixed conical flame at different inclination angles. Combust. Flame 2024, 269, 113644. [Google Scholar] [CrossRef]
- Lu, G.; Yan, Y.; Colechin, M.; Hill, R. Monitoring of oscillatory characteristics of pulverized coal flames through image processing and spectral analysis. IEEE Trans. Instrum. Meas. 2006, 55, 226–231. [Google Scholar] [CrossRef]
- González-Cencerrado, A.; Peña, B.; Gil, A. Coal flame characterization by means of digital image processing in a semi-industrial scale PF swirl burner. Appl. Energy 2012, 94, 375–384. [Google Scholar] [CrossRef]
- Xu, W.; Yan, Y.; Huang, X.; Hu, Y. Quantitative measurement of the stability of a pulverized coal fired flame through digital image processing and statistical analysis. Measurement 2023, 206, 112328. [Google Scholar] [CrossRef]
- Huang, Y.; Yan, Y.; Lu, G.; Reed, A. On-line flicker measurement of gaseous flames by image processing and spectral analysis. Meas. Sci. Technol. 1999, 10, 726. [Google Scholar] [CrossRef]
- Jones, A.R. Flame failure detection and modern boilers. J. Phys. E Sci. Instr. 1988, 21, 921. [Google Scholar] [CrossRef]
- Tan, C.; Xu, L.; Li, X.; Yan, Y. Independent component analysis–based fuel type identification for coal-fired power plants. Combust. Sci. Technol. 2012, 184, 277–292. [Google Scholar] [CrossRef]
- Ballester, J.; García-Armingol, T. Diagnostic techniques for the monitoring and control of practical flames. Prog. Energ. Combust. Sci. 2010, 36, 375–411. [Google Scholar] [CrossRef]
- Xu, L.; Cheng, Y.; Yin, R.; Zhang, Q. Comparative study of regression modeling methods for online coal calorific value prediction from flame radiation features. Fuel 2015, 142, 164–172. [Google Scholar] [CrossRef]
- Hasti, V.R.; Navarkar, A.; Gore, J.P. A data-driven approach using machine learning for early detection of the lean blowout. Energy AI 2021, 5, 100099. [Google Scholar] [CrossRef]
- Xie, F.; Zhou, Y.; Song, X.; Bai, Y.; Wu, R.; Yao, M.; Yu, G. Investigation of OH∗ chemiluminescence with lift-off characteristic in methane-oxygen inverse diffusion flame. Int. J. Hydrogen Energy 2021, 46, 1461–1472. [Google Scholar] [CrossRef]
- Hidegh, G.T.; Pizág, B.; Urbin, Á.; Rácz, E.; Józsa, V. Flame emission spectroscopy analysis of distributed liquid fuel combustion. Fuel 2023, 353, 129193. [Google Scholar] [CrossRef]
- Rogalski, A.; Bielecki, Z.; Mikołajczyk, J.; Wojtas, J. Ultraviolet photodetectors: From photocathodes to low-dimensional solids. Sensors 2023, 23, 4452. [Google Scholar] [CrossRef]
- He, L.; Guo, Q.; Gong, Y.; Wang, F.; Yu, G. Investigation of OH* chemiluminescence and heat release in laminar methane–oxygen co-flow diffusion flames. Combust. Flame 2019, 201, 12–22. [Google Scholar] [CrossRef]
- Escudero, F.; Fuentes, A.; Demarco, R.; Consalvi, J.L.; Liu, F.; Elicer-Cortés, J.C.; Fernandez-Pello, C. Effects of oxygen index on soot production and temperature in an ethylene inverse diffusion flame. Exp. Therm. Fluid Sci. 2016, 73, 101–108. [Google Scholar] [CrossRef]
- Hardalupas, Y.L.; Orain, M. Local measurements of the time-dependent heat release rate and equivalence ratio using chemiluminescent emission from a flame. Combust. Flame 2004, 139, 188–207. [Google Scholar] [CrossRef]
- Panoutsos, C.S.; Hardalupas, Y.; Taylor, A.M.K.P. Numerical evaluation of equivalence ratio measurement using OH∗ and CH∗ chemiluminescence in premixed and non-premixed methane–air flames. Combust. Flame 2009, 156, 273–291. [Google Scholar] [CrossRef]
- Kathrotia, T.; Riedel, U.; Warnatz, J. A numerical study on the relation of OH*, CH*, and C2* chemiluminescence and heat release in premixed methane flames. In Proceedings of the European Combustion Meeting, Vienna, Austria, 17 April 2009; Volume 2009. [Google Scholar]
- Kathrotia, T.; Riedel, U.; Seipel, A.; Moshammer, K.; Brockhinke, A. Experimental and numerical study of chemiluminescent species in low-pressure flames. Appl. Phys. B 2012, 107, 571–584. [Google Scholar] [CrossRef]
- Haber, L.C.; Vandsburger, U.; Saunders, W.R.; Khanna, V.K. An examination of the relationship between chemiluminescent light emissions and heat release rate under non-adiabatic conditions. In Turbo Expo: Power for Land, Sea, and Air; American Society of Mechanical Engineer: Munich, Germany, 2000; Volume 78552, p. V002T02A041. [Google Scholar]
- Guiberti, T.F.; Durox, D.; Schuller, T. Flame chemiluminescence from CO2-and N2-diluted laminar CH4/air premixed flames. Combust. Flame 2017, 181, 110–122. [Google Scholar] [CrossRef]
- Quintino, F.M.; Trindade, T.P.; Fernandes, E.C. Biogas combustion: Chemiluminescence fingerprint. Fuel 2018, 231, 328–340. [Google Scholar] [CrossRef]
- Guiberti, T.F.; Shohdy, N.N.; Cardona, S.; Zhu, X.; Selle, L.; Lapeyre, C.J. Chemiluminescence-and machine learning-based monitoring of premixed ammonia-methane-air flames. Appl. Energy Combust. Sci. 2023, 16, 100212. [Google Scholar] [CrossRef]
- Mashruk, S.; Zhu, X.; Roberts, W.L.; Guiberti, T.F.; Valera-Medina, A. Chemiluminescent footprint of premixed ammonia-methane-air swirling flames. Proc. Combust. Inst. 2023, 39, 1415–1423. [Google Scholar] [CrossRef]
- Weng, W.; Aldén, M.; Li, Z. Visible chemiluminescence of ammonia premixed flames and its application for flame diagnostics. Proc. Combust. Inst. 2023, 39, 4327–4334. [Google Scholar] [CrossRef]
- Iwaszenko, S. Using Mathematica software for coal gasification simulations–Selected kinetic model application. J. Sustain. Min. 2015, 14, 21–29. [Google Scholar] [CrossRef]
- Zubek, K.; Czerski, G.; Porada, S. The influence of catalytic additives on kinetics of coal gasification process. E3S Web Conf. 2017, 14, 02012. [Google Scholar] [CrossRef]
- Arora, A.; Pawlak-Kruczek, H.; Baranowski, M.; Dębowski, M.; Krochmalny, K.; Niedźwiecki, Ł.; Mularski, J. Examination of combustion process of hard coal and predried lignite blends. Pollut. Res. 2019, 38, S145–S151. [Google Scholar]
- Yuan, Y.; Gao, H.; Shi, Z.; Sun, X.; Xiao, P.; Xu, S.; Li, S. Theoretical Analyses on Isolated Particle Ignition of Coal and Biomass. In Clean Coal and Sustainable Energy, Proceedings of the 9th International Symposium on Coal Combustion, Qingdao, China, 21–24 July 2019; Springer: Singapore, 2022; pp. 373–384. [Google Scholar]
- Jovanovic, R.; Milewska, A.; Swiatkowski, B.; Goanta, A.; Spliethoff, H. Sensitivity analysis of different devolatilisation models on predicting ignition point position during pulverized coal combustion in O2/N2 and O2/CO2 atmospheres. Fuel 2012, 101, 23–37. [Google Scholar] [CrossRef]
- Series, B.T. ITU-R BT.601-7; Studio Encoding Parameters of Digital Television for Standard 4:3 and Wide-Screen 16:9 Aspect Ratios. International Telecommunication Union, Radiocommunication Sector: Geneva, Switzerland, 2011.
- Parameswaran, T.; Hughes, R.; Gogolek, P.; Hughes, P. Gasification temperature measurement with flame emission spectroscopy. Fuel 2014, 134, 579–587. [Google Scholar] [CrossRef]
Disclaimer/Publisher’s Note: The statements, opinions and data contained in all publications are solely those of the individual author(s) and contributor(s) and not of MDPI and/or the editor(s). MDPI and/or the editor(s) disclaim responsibility for any injury to people or property resulting from any ideas, methods, instructions or products referred to in the content. |
© 2024 by the authors. Licensee MDPI, Basel, Switzerland. This article is an open access article distributed under the terms and conditions of the Creative Commons Attribution (CC BY) license (https://creativecommons.org/licenses/by/4.0/).