Comparative Analysis of the Complete Chloroplast Genome of Mainland Aster spathulifolius and Other Aster Species
Abstract
1. Introduction
2. Results and Discussion
2.1. Features of the Cp Genome of Mainland A. Spathulifolius
2.1.1. General Structure and Gene Contents
2.1.2. Codon Usage and Prediction of RNA-Editing Sites
2.2. Comparative Analysis of the Cp Genomes in the Aster Genus
2.2.1. General Features of the Aster Cp Genomes
2.2.2. Cp Genome Sequence Conservation and Divergence
2.2.3. Gene-By-Gene Sequence Divergence
2.2.4. Contraction and Expansion of the IR Region
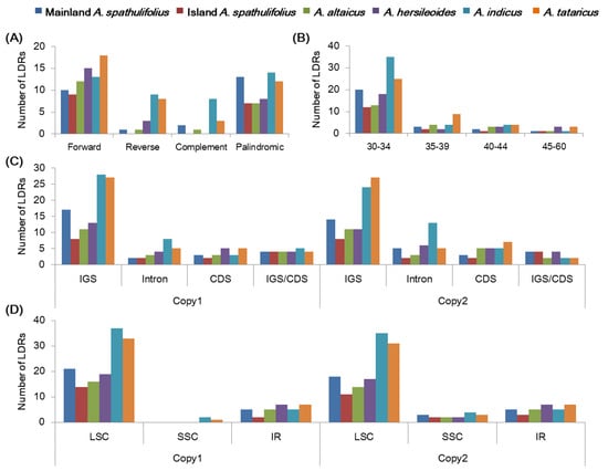
2.2.5. Repeat Sequence Analysis
2.2.6. Phylogenetic Studies
2.2.7. Positive Selected Analysis
3. Materials and Methods
3.1. Ethics Statement
3.2. Sample Collection and Sequencing
3.3. Cp Genome Assembly, Annotation, and Sequence Analysis
3.4. Comparative Genomic Analysis and Evaluation of highly Divergent Regions
3.5. Characterization of Repeat Sequences
3.6. Phylogenetic Analysis
3.7. Positive Selected Analysis
Supplementary Materials
Author Contributions
Funding
Conflicts of Interest
References
- Cho, I.J.; Choung, S.Y.; Hwang, Y.C.; Ahn, K.J.; Chung, H.Y.; Jeong, I.K. Aster spathulifolius Maxim extract reduces body weight and fat mass in obese humans. Nutr. Res. 2016, 36, 671–678. [Google Scholar] [CrossRef]
- Kim, S.J.; Choung, S.Y. Inhibitory effects of Aster spathulifolius extract on adipogenesis and lipid accumulation in 3T3-L1 preadipocytes. J. Pharm. Pharmacol. 2016, 68, 107–118. [Google Scholar] [CrossRef]
- Choi, K.S.; Park, S. The complete chloroplast genome sequence of Aster spathulifolius (Asteraceae); genomic features and relationship with Asteraceae. Gene 2015, 572, 214–221. [Google Scholar] [CrossRef]
- Maki, M.; Morita, H. Genetic diversity in island and mainland populations of Aster spathulifolius (Asteraceae). Int. J. Plant Sci. 1998, 159, 148–152. [Google Scholar] [CrossRef]
- Nguyen, H.T.T.; Choi, K.S.; Park, S. Genetic diversity and differentiation of a narrowly distributed and endemic species, Aster spathulifolius maxim (Asteraceae), revealed with inter simple sequence repeat markers. J. Korean Soc. Appl. Biol. Chem. 2013, 56, 255–262. [Google Scholar] [CrossRef]
- Petit, R.J.; Excoffier, L. Gene flow and species delimitation. Trends Ecol. Evol. 2009, 24, 386–393. [Google Scholar] [CrossRef] [PubMed]
- Asaf, S.; Waqas, M.; Khan, A.L.; Khan, M.A.; Kang, S.M.; Imran, Q.M.; Shahzad, R.; Bilal, S.; Yun, B.W.; Lee, I.J. The Complete Chloroplast Genome of Wild Rice (Oryza minuta) and Its Comparison to Related Species. Front. Plant Sci. 2017, 8, 304. [Google Scholar] [CrossRef] [PubMed]
- Menezes, A.P.A.; Resende-Moreira, L.C.; Buzatti, R.S.O.; Nazareno, A.G.; Carlsen, M.; Lobo, F.P.; Kalapothakis, E.; Lovato, M.B. Chloroplast genomes of Byrsonima species (Malpighiaceae): Comparative analysis and screening of high divergence sequences. Sci. Rep. 2018, 8, 2210. [Google Scholar] [CrossRef] [PubMed]
- Song, Y.; Chen, Y.; Lv, J.Z.; Xu, J.; Zhu, S.F.; Li, M.F. Comparative Chloroplast Genomes of Sorghum Species: Sequence Divergence and Phylogenetic Relationships. Biomed. Res. Int 2019, Artn 5046958. [Google Scholar] [CrossRef]
- Shen, X.F.; Guo, S.; Yin, Y.; Zhang, J.J.; Yin, X.M.; Liang, C.L.; Wang, Z.W.; Huang, B.F.; Liu, Y.H.; Xiao, S.M.; et al. Complete Chloroplast Genome Sequence and Phylogenetic Analysis of Aster tataricus. Molecules 2018, 23, 2426. [Google Scholar] [CrossRef]
- Li, W.P.; Yang, F.S.; Jivkova, T.; Yin, G.S. Phylogenetic relationships and generic delimitation of Eurasian Aster (Asteraceae: Astereae) inferred from ITS, ETS and trnL-F sequence data. Ann. Bot. 2012, 109, 1341–1357. [Google Scholar] [CrossRef] [PubMed]
- Geer, L.Y.; Marchler-Bauer, A.; Geer, R.C.; Han, L.; He, J.; He, S.; Liu, C.; Shi, W.; Bryant, S.H. The NCBI BioSystems database. Nucleic Acids Res. 2010, 38, D492–D496. [Google Scholar] [CrossRef] [PubMed]
- Nam, S.J.; Kim, J.-M.; Kim, Y.; Ku, J.-J.; Jung, S.-Y.; Lee, Y.-M.; Kim, S.-K.; Xi, H.; Song, J.-Y.; Park, J. The complete chloroplast genome of Korean endemic species, Cirsium rhinoceros (H.Lév. & vaniot) Nakai (Asteraceae). Mitochondrial DNA Part. B 2019, 4, 2351–2352. [Google Scholar] [CrossRef]
- Kikuchi, S.; Bedard, J.; Hirano, M.; Hirabayashi, Y.; Oishi, M.; Imai, M.; Takase, M.; Ide, T.; Nakai, M. Uncovering the Protein Translocon at the Chloroplast Inner Envelope Membrane. Science 2013, 339, 571–574. [Google Scholar] [CrossRef] [PubMed]
- Dong, W.P.; Xu, C.; Li, C.H.; Sun, J.H.; Zuo, Y.J.; Shi, S.; Cheng, T.; Guo, J.J.; Zhou, S.L. ycf1, the most promising plastid DNA barcode of land plants. Sci. Rep. 2015, 5. [Google Scholar] [CrossRef]
- Yang, Z.; Zhao, T.; Ma, Q.; Liang, L.; Wang, G. Comparative Genomics and Phylogenetic Analysis Revealed the Chloroplast Genome Variation and Interspecific Relationships of Corylus (Betulaceae) Species. Front. Plant Sci. 2018, 9, 927. [Google Scholar] [CrossRef]
- Small, I.D.; Schallenberg-Rüdinger, M.; Takenaka, M.; Mireau, H.; Ostersetzer-Biran, O. Plant organellar RNA editing: What 30 years of research has revealed. Plant J. 2020, 101, 1040–1056. [Google Scholar] [CrossRef]
- Raman, G.; Park, S. Analysis of the Complete Chloroplast Genome of a Medicinal Plant, Dianthus superbus var. longicalyncinus, from a Comparative Genomics Perspective. PLoS ONE 2015, 10, e0141329. [Google Scholar] [CrossRef]
- Raman, G.; Park, S.; Lee, E.M.; Park, S. Evidence of mitochondrial DNA in the chloroplast genome of Convallaria keiskei and its subsequent evolution in the Asparagales. Sci. Rep. 2019, 9, 5028. [Google Scholar] [CrossRef]
- Rawal, H.C.; Kumar, P.M.; Bera, B.; Singh, N.K.; Mondal, T.K. Decoding and analysis of organelle genomes of Indian tea (Camellia assamica) for phylogenetic confirmation. Genomics 2019. [Google Scholar] [CrossRef]
- Li, M.; Xia, L.; Zhang, Y.; Niu, G.; Li, M.; Wang, P.; Zhang, Y.; Sang, J.; Zou, D.; Hu, S.; et al. Plant editosome database: A curated database of RNA editosome in plants. Nucleic Acids Res. 2018, 47, D170–D174. [Google Scholar] [CrossRef] [PubMed]
- Sugiura, M.; Hirose, T.; Sugita, M. Evolution and mechanism of translation in chloroplasts. Annu. Rev. Genet. 1998, 32, 437–459. [Google Scholar] [CrossRef] [PubMed]
- Zandueta-Criado, A.; Bock, R. Surprising features of plastid ndhD transcripts: Addition of non-encoded nucleotides and polysome association of mRNAs with an unedited start codon. Nucleic Acids Res. 2004, 32, 542–550. [Google Scholar] [CrossRef] [PubMed]
- Doyle, J.J.; Davis, J.I.; Soreng, R.J.; Garvin, D.; Anderson, M.J. Chloroplast DNA Inversions and the Origin of the Grass Family (Poaceae). Proc. Natl. Acad. Sci. USA 1992, 89, 7722–7726. [Google Scholar] [CrossRef] [PubMed]
- Daniell, H.; Lin, C.S.; Yu, M.; Chang, W.J. Chloroplast genomes: Diversity, evolution, and applications in genetic engineering. Genome Biol. 2016, 17, 134. [Google Scholar] [CrossRef]
- Hao, D.C.; Chen, S.L.; Xiao, P.G.J.J.o.P.R. Molecular evolution and positive Darwinian selection of the chloroplast maturase matK. J. Plant Res. 2010, 123, 241–247. [Google Scholar] [CrossRef]
- Liu, X.; Chang, E.-M.; Liu, J.-F.; Huang, Y.-N.; Wang, Y.; Yao, N.; Jiang, Z.-P. Complete Chloroplast Genome Sequence and Phylogenetic Analysis of Quercus bawanglingensis Huang, Li et Xing, a Vulnerable Oak Tree in China. Forests 2019, 10, 587. [Google Scholar] [CrossRef]
- Van der Burgt, A.; Karimi Jashni, M.; Bahkali, A.H.; de Wit, P.J. Pseudogenization in pathogenic fungi with different host plants and lifestyles might reflect their evolutionary past. Mol. Plant Pathol. 2014, 15, 133–144. [Google Scholar] [CrossRef]
- Xie, J.; Chen, S.; Xu, W.; Zhao, Y.; Zhang, D. Origination and Function of Plant Pseudogenes. Plant Signal. Behav. 2019, 14, 1625698. [Google Scholar] [CrossRef]
- Mahmudi, O.; Sennblad, B.; Arvestad, L.; Nowick, K.; Lagergren, J. Gene-pseudogene evolution: A probabilistic approach. BMC Genom. 2015, 16 (Suppl. S10), S12. [Google Scholar] [CrossRef]
- Pauwels, M.; Vekemans, X.; Gode, C.; Frerot, H.; Castric, V.; Saumitou-Laprade, P. Nuclear and chloroplast DNA phylogeography reveals vicariance among European populations of the model species for the study of metal tolerance, Arabidopsis halleri (Brassicaceae). New Phytol. 2012, 193, 916–928. [Google Scholar] [CrossRef] [PubMed]
- Kurtz, S.; Choudhuri, J.V.; Ohlebusch, E.; Schleiermacher, C.; Stoye, J.; Giegerich, R. REPuter: The manifold applications of repeat analysis on a genomic scale. Nucleic Acids Res. 2001, 29, 4633–4642. [Google Scholar] [CrossRef] [PubMed]
- Kim, K.; Lee, S.C.; Lee, J.; Yu, Y.; Yang, K.; Choi, B.S.; Koh, H.J.; Waminal, N.E.; Choi, H.I.; Kim, N.H.; et al. Complete chloroplast and ribosomal sequences for 30 accessions elucidate evolution of Oryza AA genome species. Sci. Rep. 2015, 5, 15655. [Google Scholar] [CrossRef] [PubMed]
- Meng, D.; Xiaomei, Z.; Wenzhen, K.; Xu, Z. Detecting useful genetic markers and reconstructing the phylogeny of an important medicinal resource plant, Artemisia selengensis, based on chloroplast genomics. PLoS ONE 2019, 14, e0211340. [Google Scholar] [CrossRef] [PubMed]
- Shin, H.; Oh, S.-H.; Lim, Y.; Hyun, C.-W.; Cho, S.-H.; Kim, Y.-I.; Kim, Y.-D. Molecular evidence for hybrid origin of Aster chusanensis, an endemic species of Ulleungdo, Korea. J. Plant Biol. 2014, 57, 174–185. [Google Scholar] [CrossRef]
- Ohwi, J. Flora of Japan (rev. ed.); Shibundo: Tokyo, Japan, 1975. [Google Scholar]
- Lee, Y.N. New taxa on Korean flora (6). Korean J. Plant Taxon. 1998, 28, 25–39. [Google Scholar] [CrossRef]
- Yang, Z.; Dos Reis, M. Statistical properties of the branch-site test of positive selection. Mol. Biol. Evol. 2010, 28, 1217–1228. [Google Scholar] [CrossRef]
- Yang, Z.; Wong, W.S.; Nielsen, R. Bayes empirical Bayes inference of amino acid sites under positive selection. Mol. Biol. Evol. 2005, 22, 1107–1118. [Google Scholar] [CrossRef]
- Hu, S.; Sablok, G.; Wang, B.; Qu, D.; Barbaro, E.; Viola, R.; Li, M.; Varotto, C. Plastome organization and evolution of chloroplast genes in Cardamine species adapted to contrasting habitats. BMC Genom. 2015, 16, 306. [Google Scholar] [CrossRef]
- Shi, H.; Yang, M.; Mo, C.; Xie, W.; Liu, C.; Wu, B.; Ma, X. Complete chloroplast genomes of two Siraitia Merrill species: Comparative analysis, positive selection and novel molecular marker development. PLoS ONE 2019, 14, e0226865. [Google Scholar] [CrossRef]
- Salie, M.J.; Thelen, J. Regulation and structure of the heteromeric acetyl-CoA carboxylase. Biochim. Biophys. Acta -Mol. Cell Biol. Lipids 2016, 1861, 1207–1213. [Google Scholar] [CrossRef] [PubMed]
- Madoka, Y.; Tomizawa, K.-I.; Mizoi, J.; Nishida, I.; Nagano, Y.; Sasaki, Y. Chloroplast Transformation with Modified accD Operon Increases Acetyl-CoA Carboxylase and Causes Extension of Leaf Longevity and Increase in Seed Yield in Tobacco. Plant Cell Physiol. 2002, 43, 1518–1525. [Google Scholar] [CrossRef] [PubMed]
- Kode, V.; Mudd, E.A.; Iamtham, S.; Day, A. The tobacco plastid accD gene is essential and is required for leaf development. Plant J. 2005, 44, 237–244. [Google Scholar] [CrossRef]
- Weiss, H.; Friedrich, T.; Hofhaus, G.; Preis, D. The respiratory-chain NADH dehydrogenase (complex I) of mitochondria. In EJB Reviews 1991; Springer: Berlin, Germany, 1991; pp. 55–68. [Google Scholar]
- Peng, L.; Yamamoto, H.; Shikanai, T. Structure and biogenesis of the chloroplast NAD (P) H dehydrogenase complex. Biochim. Biophys. Acta -Bioenerg. 2011, 1807, 945–953. [Google Scholar] [CrossRef] [PubMed]
- Carbonell-Caballero, J.; Alonso, R.; Ibañez, V.; Terol, J.; Talon, M.; Dopazo, J. A Phylogenetic Analysis of 34 Chloroplast Genomes Elucidates the Relationships between Wild and Domestic Species within the Genus Citrus. Mol. Biol. Evol. 2015, 32, 2015–2035. [Google Scholar] [CrossRef]
- Kim, J.S.; Chung, T.Y.; King, G.J.; Jin, M.; Yang, T.-J.; Jin, Y.-M.; Kim, H.-I.; Park, B.-S. A sequence-tagged linkage map of Brassica rapa. Genetics 2006, 174, 29–39. [Google Scholar] [CrossRef]
- Bolger, A.M.; Lohse, M.; Usadel, B. Trimmomatic: A flexible trimmer for Illumina sequence data. Bioinformatics (Oxford, England) 2014, 30, 2114–2120. [Google Scholar] [CrossRef]
- Luo, R.; Liu, B.; Xie, Y.; Li, Z.; Huang, W.; Yuan, J.; He, G.; Chen, Y.; Pan, Q.; Liu, Y.; et al. SOAPdenovo2: An empirically improved memory-efficient short-read de novo assembler. Gigascience 2012, 1, 18. [Google Scholar] [CrossRef]
- Won, S.Y.; Jung, J.A.; Kim, J.S. The complete chloroplast genome of Chrysanthemum boreale (Asteraceae). Mitochondrial DNA B 2018, 3, 549–550. [Google Scholar] [CrossRef]
- Shi, L.; Chen, H.; Jiang, M.; Wang, L.; Wu, X.; Huang, L.; Liu, C. CPGAVAS2, an integrated plastome sequence annotator and analyzer. Nucleic Acids Res. 2019, 47, W65–W73. [Google Scholar] [CrossRef]
- Wyman, S.K.; Jansen, R.K.; Boore, J.L. Automatic annotation of organellar genomes with DOGMA. Bioinformatics 2004, 20, 3252–3255. [Google Scholar] [CrossRef] [PubMed]
- Schattner, P.; Brooks, A.N.; Lowe, T.M. The tRNAscan-SE, snoscan and snoGPS web servers for the detection of tRNAs and snoRNAs. Nucleic Acids Res. 2005, 33, W686–W689. [Google Scholar] [CrossRef] [PubMed]
- Lohse, M.; Drechsel, O.; Kahlau, S.; Bock, R. OrganellarGenomeDRAW--a suite of tools for generating physical maps of plastid and mitochondrial genomes and visualizing expression data sets. Nucleic Acids Res. 2013, 41, W575–W581. [Google Scholar] [CrossRef] [PubMed]
- Kumar, S.; Stecher, G.; Li, M.; Knyaz, C.; Tamura, K. MEGA X: Molecular Evolutionary Genetics Analysis across Computing Platforms. Mol. Biol. Evol. 2018, 35, 1547–1549. [Google Scholar] [CrossRef] [PubMed]
- Mower, J.P. The PREP suite: Predictive RNA editors for plant mitochondrial genes, chloroplast genes and user-defined alignments. Nucleic Acids Res. 2009, 37, W253–W259. [Google Scholar] [CrossRef] [PubMed]
- Wang, M.X.; Liu, H.; Ge, L.Q.; Xing, G.W.; Wang, M.; Song, W.N.; Nie, X.J. Identification and Analysis of RNA Editing Sites in the Chloroplast Transcripts of Aegilops tauschii L. Genes-Basel 2017, 8, 13. [Google Scholar] [CrossRef]
- Rozas, J.; Ferrer-Mata, A.; Sanchez-DelBarrio, J.C.; Guirao-Rico, S.; Librado, P.; Ramos-Onsins, S.E.; Sanchez-Gracia, A. DnaSP 6: DNA Sequence Polymorphism Analysis of Large Data Sets. Mol. Biol. Evol. 2017, 34, 3299–3302. [Google Scholar] [CrossRef]
- Grant, J.R.; Stothard, P. The CGView Server: A comparative genomics tool for circular genomes. Nucleic Acids Res. 2008, 36, W181–W184. [Google Scholar] [CrossRef]
- Frazer, K.A.; Pachter, L.; Poliakov, A.; Rubin, E.M.; Dubchak, I. VISTA: Computational tools for comparative genomics. Nucleic Acids Res. 2004, 32, W273–W279. [Google Scholar] [CrossRef]
- Beier, S.; Thiel, T.; Munch, T.; Scholz, U.; Mascher, M. MISA-web: A web server for microsatellite prediction. Bioinformatics 2017, 33, 2583–2585. [Google Scholar] [CrossRef]
- Sievers, F.; Wilm, A.; Dineen, D.; Gibson, T.J.; Karplus, K.; Li, W.; Lopez, R.; McWilliam, H.; Remmert, M.; Soding, J.; et al. Fast, scalable generation of high-quality protein multiple sequence alignments using Clustal Omega. Mol. Syst. Biol. 2011, 7, 539. [Google Scholar] [CrossRef] [PubMed]
- Yang, Z. PAML 4: Phylogenetic analysis by maximum likelihood. Mol. Biol. Evol. 2007, 24, 1586–1591. [Google Scholar] [CrossRef] [PubMed]
- Yang, Z.; Nielsen, R. Codon-substitution models for detecting molecular adaptation at individual sites along specific lineages. Mol. Biol. Evol. 2002, 19, 908–917. [Google Scholar] [CrossRef]
- Lan, Y.; Sun, J.; Tian, R.; Bartlett, D.H.; Li, R.; Wong, Y.H.; Zhang, W.; Qiu, J.W.; Xu, T.; He, L.S.J.M. Molecular adaptation in the world’s deepest-living animal: Insights from transcriptome sequencing of the hadal amphipod Hirondellea gigas. Mol. Ecol. 2017, 26, 3732–3743. [Google Scholar] [CrossRef] [PubMed]
- Waterhouse, A.M.; Procter, J.B.; Martin, D.M.; Clamp, M.; Barton, G. Jalview Version 2—A multiple sequence alignment editor and analysis workbench. Bioinformatics 2009, 25, 1189–1191. [Google Scholar] [CrossRef] [PubMed]










| Category | T/U (%) | C (%) | A (%) | G (%) | Length (bp) |
|---|---|---|---|---|---|
| Genome | 31.53 | 18.37 | 31.19 | 18.91 | 152,732 |
| LSC | 32.61 | 17.27 | 32.23 | 17.88 | 84,552 |
| SSC | 34.87 | 14.82 | 33.81 | 16.50 | 18,268 |
| IRa | 28.62 | 20.79 | 28.32 | 22.28 | 24,956 |
| IRb | 28.32 | 22.28 | 28.62 | 20.79 | 24,956 |
| tRNA genes | 25.00 | 23.56 | 22.09 | 29.35 | 2784 |
| rRNA genes | 18.79 | 23.63 | 26.04 | 31.54 | 9048 |
| Protein-coding genes | 31.45 | 17.72 | 30.53 | 20.31 | 78,654 |
| 1st position | 23.82 | 18.87 | 30.51 | 26.80 | 26,218 |
| 2nd position | 32.58 | 20.31 | 29.30 | 17.81 | 26,218 |
| 3rd position | 37.93 | 13.98 | 31.78 | 16.31 | 26,218 |
| Category | Group of Genes | Name of Genes |
|---|---|---|
| Self-replication | Large subunit of ribosomal proteins | rpl2 * (2x), 14, 16 *, 20, 22, 23(2x), 32, 33, 36 |
| Small subunit of ribosomal proteins | rps2, 3, 4, 7(2x), 8, 11, 12 ** (2x), 14, 15, 16 *, 18, 19 | |
| DNA dependent RNA polymerase | rpoA, B, C1 *, C2 | |
| rRNA genes | rrn16S(2x) , rrn23S(2x), rrn4.5S(2x), rrn5S(2x) | |
| tRNA genes | trnA-UGC * (2x), trnC-GCA, trnD-GUC, trnE-UUC, trnF-GAA, trnfM-CAU, trnG-GCC, trnG-UCC *, trnH-GUG, trnI-CAU(2x), trnI-GAU * (2x), trnK-UUU *, trnL-CAA(2x), trnL-UAA *, trnL-UAG, trnM-CAU, trnN-GUU(2x), trnP-UGG, trnQ-UUG, trnR-ACG(2x), trnR-UCU, trnS-GCU, trnS-GGA, trnS-UGA, trnT-GGU, trnT-UGU, trnV-GAC(2x), trnV-UAC *, trnW-CCA, trnY-GUA | |
| Photosynthesis | Photosystem I | psaA, B, C, I, J |
| Photosystem II | PsbA, B, C, D, E, F, H, I, J, K, L, M, N, T, Z | |
| NADH dehydrogenase | ndhA *, B * (2x), C, D, E, F, G, H, I, J, K | |
| Cytochrome b6/f complex | petA, B *, D *, G, L, N | |
| ATP synthase | atpA, B, E, F *, H, I | |
| Rubisco | rbcL | |
| Other genes | Translational initiation factor | infA |
| Maturase | matK | |
| Protease | clpP * | |
| Envelop membrane protein | cemA | |
| Subunit acetyl-CoA carboxylase | accD | |
| C-type cytochrome synthesis gene | ccsA | |
| Unknown | Conserved open reading frame | ycf1, 2(2x), 3 *, 4, 15(2x) |
| Amino Acid | Codon | No | RSCU | tRNA | Amino Acid | Codon | No | RSCU | tRNA |
|---|---|---|---|---|---|---|---|---|---|
| Phe | UUU | 983 | 1.31 | Thr | ACU | 529 | 1.61 | ||
| Phe | UUC | 516 | 0.69 | trnF-GAA | Thr | ACC | 238 | 0.73 | trnT-GGU |
| Leu | UUA | 865 | 1.84 | trnL-UAA | Thr | ACA | 406 | 1.24 | trnT-UGU |
| Leu | UUG | 588 | 1.25 | trnL-CAA | Thr | ACG | 138 | 0.42 | |
| Leu | CUU | 607 | 1.29 | Ala | GCU | 624 | 1.74 | ||
| Leu | CUC | 194 | 0.41 | Ala | GCC | 236 | 0.66 | ||
| Leu | CUA | 379 | 0.81 | trnL-UAG | Ala | GCA | 408 | 1.14 | trnA-UGC |
| Leu | CUG | 182 | 0.39 | Ala | GCG | 166 | 0.46 | ||
| Ile | AUU | 1074 | 1.47 | Tyr | UAU | 802 | 1.64 | ||
| Ile | AUC | 427 | 0.58 | trnI-GAU | Tyr | UAC | 177 | 0.36 | trnY-GUA |
| Ile | AUA | 689 | 0.94 | STOP | UAA | 51 | 1.76 | ||
| Met | AUG | 635 | 1.00 | trn(f)M-CAU | STOP | UAG | 21 | 0.72 | |
| Val | GUU | 511 | 1.46 | STOP | UGA | 15 | 0.52 | ||
| Val | GUC | 178 | 0.51 | trnV-GAC | His | CAU | 457 | 1.50 | |
| Val | GUA | 524 | 1.49 | trnV-UAC | His | CAC | 153 | 0.50 | trnH-GUG |
| Val | GUG | 191 | 0.54 | Gln | CAA | 727 | 1.53 | trnQ-UUG | |
| Ser | UCU | 590 | 1.77 | Gln | CAG | 221 | 0.47 | ||
| Ser | UCC | 311 | 0.93 | trnS-GGA | Asn | AAU | 973 | 1.53 | |
| Ser | UCA | 403 | 1.21 | trnS-UGA | Asn | AAC | 298 | 0.47 | trnN-GUU |
| Ser | UCG | 169 | 0.51 | Lys | AAA | 1034 | 1.48 | trnK-UUU | |
| Ser | AGU | 401 | 1.21 | Lys | AAG | 366 | 0.52 | ||
| Ser | AGC | 122 | 0.37 | trnS-GCU | Asp | GAU | 851 | 1.61 | |
| Arg | AGA | 495 | 1.87 | trnR-UCU | Asp | GAC | 209 | 0.39 | trnD-GUC |
| Arg | AGG | 174 | 0.66 | Glu | GAA | 990 | 1.48 | trnE-UUC | |
| Arg | CGU | 353 | 1.33 | trnR-ACG | Glu | GAG | 352 | 0.52 | |
| Arg | CGC | 109 | 0.41 | Cys | UGU | 207 | 1.41 | ||
| Arg | CGA | 346 | 1.31 | Cys | UGC | 86 | 0.59 | trnC-GCA | |
| Arg | CGG | 113 | 0.43 | Trp | UGG | 462 | 1.00 | trnW-CCA | |
| Pro | CCU | 409 | 1.48 | Gly | GGU | 574 | 1.29 | ||
| Pro | CCC | 211 | 0.76 | Gly | GGC | 199 | 0.45 | trnG-GCC | |
| Pro | CCA | 316 | 1.14 | trnP-UGG | Gly | GGA | 684 | 1.53 | trnG-UCC |
| Pro | CCG | 170 | 0.61 | Gly | GGG | 329 | 0.74 |
| Attributes | Mainland A. spathulifolius | Island A. spathulifolius | A. altaicus | A. hersileoides | A. indicus | A. tataricus |
|---|---|---|---|---|---|---|
| Size (bp) | 152,732 | 149,473 | 152,446 | 152,345 | 152,885 | 152,992 |
| GC content (%) | 37.2 | 37.7 | 37.3 | 37.3 | 37.0 | 37.3 |
| LSC size (bp) | 84,552 | 81,998 | 84,240 | 84,124 | 84,610 | 84,698 |
| SSC size (bp) | 18,268 | 17,973 | 18,196 | 18,243 | 18,269 | 18,250 |
| IR size (bp) | 24,956 | 24,751 | 25,005 | 24,989 | 25,003 | 25,022 |
| No. of genes | 114 | 114 | 114 | 114 | 114 | 114 |
| Protein-coding genes | 80 | 80 | 80 | 80 | 80 | 80 |
| tRNA genes | 30 | 30 | 30 | 30 | 30 | 30 |
| rRNA genes | 4 | 4 | 4 | 4 | 4 | 4 |
| Genes duplicated | 18 | 18 | 18 | 18 | 18 | 18 |
| Genes with intron | 17 | 17 | 17 | 17 | 17 | 17 |
| Pseudogene | 3 | 3 | 2 | 2 | 2 | 2 |
| Genes | Location | Mainland A. spathulifolius | Island A. spathulifolius | Aster altaicus | Aster hersileoides | Aster indicus | Aster tataricus | |
|---|---|---|---|---|---|---|---|---|
| atpF | LSC | 715 | 699 | 709 | 709 | 709 | 718 | |
| clpP | Intron1 Intron2 | LSC | 812 | 800 | 812 | 811 | 814 | 812 |
| 616 | 623 | 614 | 615 | 615 | 614 | |||
| ndhA | SSC | 1064 | 1105 | 1046 | 1077 | 1064 | 1055 | |
| ndhB | IR | 676 | 670 | 674 | 674 | 674 | 674 | |
| petB | LSC | 840 | 745 | 798 | 796 | 823 | 830 | |
| petD | LSC | 767 | 724 | 760 | 785 | 809 | 745 | |
| rpl16 | LSC | 1058 | 1017 | 1087 | 1053 | 1098 | 1144 | |
| rpl2 | IR | 671 | 671 | 671 | 671 | 671 | 671 | |
| rpoC1 | LSC | 742 | 721 | 743 | 742 | 742 | 743 | |
| rps12 | 535 | 535 | 535 | 535 | 535 | 535 | ||
| rps16 | LSC | 887 | 817 | 890 | 877 | 876 | 885 | |
| ycf3 | Intron1 Intron2 | LSC | 692 | 697 | 691 | 690 | 702 | 690 |
| 744 | 739 | 739 | 739 | 739 | 739 | |||
| trnA-UGC | IR | 820 | 820 | 819 | 820 | 820 | 820 | |
| trnG-UCC | LSC | 732 | 722 | 732 | 733 | 732 | 732 | |
| trnI_GAU | IR | 780 | 781 | 780 | 775 | 780 | 781 | |
| trnK-UUU | LSC | 2542 | 2502 | 2528 | 2538 | 2539 | 2535 | |
| trnL-UAA | LSC | 438 | 423 | 438 | 438 | 438 | 438 | |
| trnV-UAC | LSC | 573 | 573 | 573 | 573 | 573 | 573 |
© 2020 by the authors. Licensee MDPI, Basel, Switzerland. This article is an open access article distributed under the terms and conditions of the Creative Commons Attribution (CC BY) license (http://creativecommons.org/licenses/by/4.0/).
Share and Cite
Tyagi, S.; Jung, J.-A.; Kim, J.S.; Won, S.Y. Comparative Analysis of the Complete Chloroplast Genome of Mainland Aster spathulifolius and Other Aster Species. Plants 2020, 9, 568. https://doi.org/10.3390/plants9050568
Tyagi S, Jung J-A, Kim JS, Won SY. Comparative Analysis of the Complete Chloroplast Genome of Mainland Aster spathulifolius and Other Aster Species. Plants. 2020; 9(5):568. https://doi.org/10.3390/plants9050568
Chicago/Turabian StyleTyagi, Swati, Jae-A Jung, Jung Sun Kim, and So Youn Won. 2020. "Comparative Analysis of the Complete Chloroplast Genome of Mainland Aster spathulifolius and Other Aster Species" Plants 9, no. 5: 568. https://doi.org/10.3390/plants9050568
APA StyleTyagi, S., Jung, J.-A., Kim, J. S., & Won, S. Y. (2020). Comparative Analysis of the Complete Chloroplast Genome of Mainland Aster spathulifolius and Other Aster Species. Plants, 9(5), 568. https://doi.org/10.3390/plants9050568

