The Leaf Wettability of Various Potato Cultivars
Abstract
1. Introduction
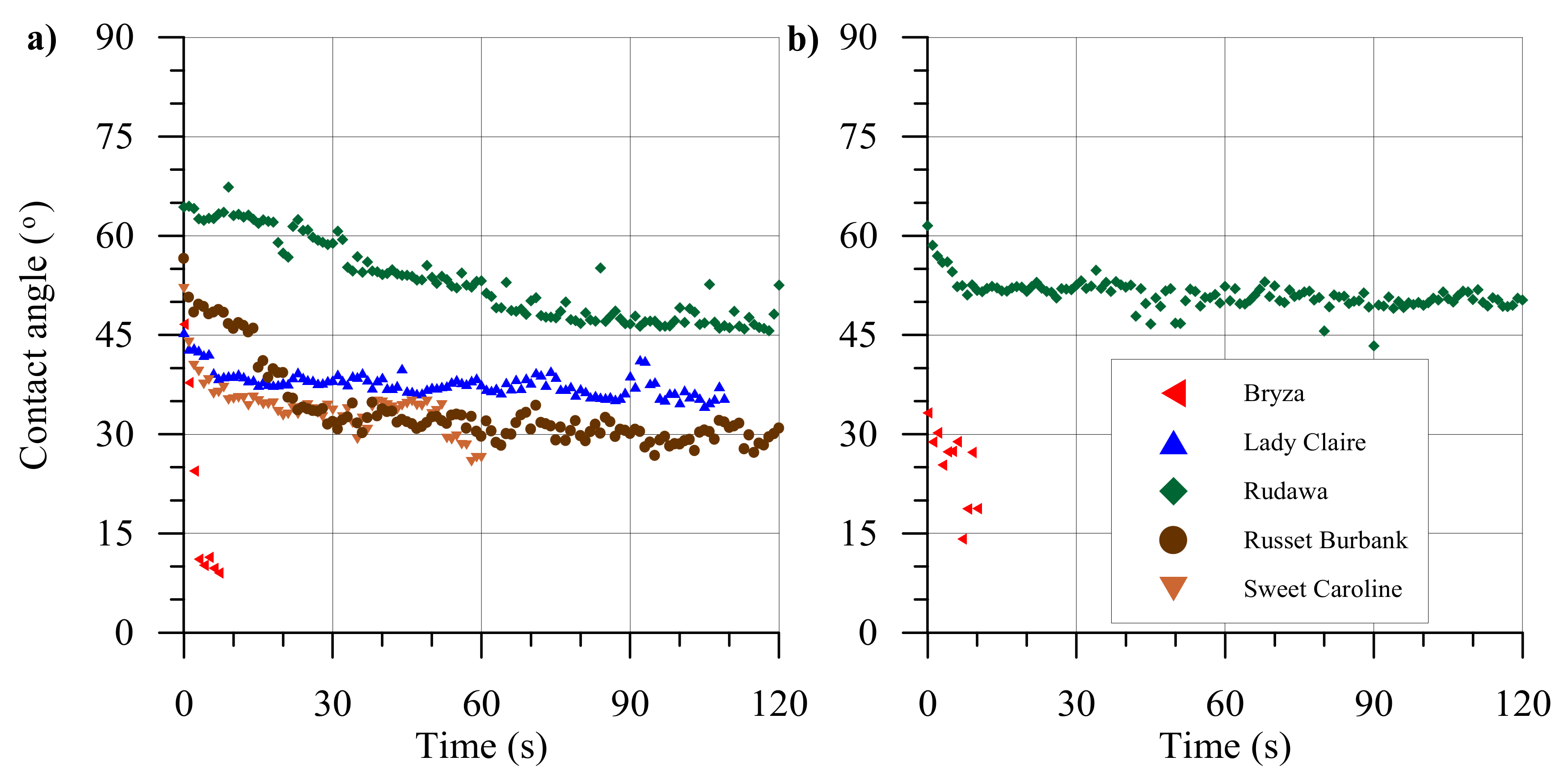
2. Results
2.1. Contact Angle Measurements
2.2. Microscopic Leaf Analysis
3. Discussion
4. Materials and Methods
4.1. Contact Angle
4.2. Morphological Leaf Analysis
5. Conclusions
Author Contributions
Funding

Conflicts of Interest
References
- Food and Agriculture Organization of the United Nations. FAOSTAT Statistical Database; FAO: Rome, Italy, 1997. [Google Scholar]
- Ati, A.S.; Iyada, A.D.; Najim, S.M. Water use efficiency of potato (Solanum tuberosum L.) under different irrigation methods and potassium fertilizer rates. Ann. Agric. Sci. 2012, 57, 99–103. [Google Scholar] [CrossRef]
- Shepherd, T.; Griffiths, D.W. The effects of stress on plant cuticular waxes. New Phytol. 2006, 171, 469–499. [Google Scholar] [CrossRef] [PubMed]
- Holloway, P.J. The effects of superficial wax on leaf wettability. Ann. Appl. Biol. 1969, 63, 145–153. [Google Scholar] [CrossRef]
- Kim, K.S.; Park, S.H.; Jenks, M.A. Changes in leaf cuticular waxes of sesame (Sesamum indicum L.) plants exposed to water deficit. J. Plant Physiol. 2007, 164, 1134–1143. [Google Scholar] [CrossRef] [PubMed]
- Kosma, D.K.; Bourdenx, B.; Bernard, A.; Parsons, E.P.; Lü, S.; Joubès, J.; Jenks, M.A. The impact of water deficiency on leaf cuticle lipids of Arabidopsis. Plant Physiol. 2009, 151, 1918–1929. [Google Scholar] [CrossRef]
- Gückel, W.; Synnatschke, G. Techniques for measuring the wetting of leaf surfaces. Pestic. Sci. 1975, 6, 595–603. [Google Scholar] [CrossRef]
- Holder, C.D. Leaf water repellency of species in Guatemala and Colorado (USA) and its significance to forest hydrology studies. J. Hydrol. 2007, 336, 147–154. [Google Scholar] [CrossRef]
- Papierowska, E.; Szporak-Wasilewska, S.; Szewińska, J.; Szatyłowicz, J.; Debaene, G.; Utratna, M. Contact angle measurements and water drop behavior on leaf surface for several deciduous shrub and tree species from a temperate zone. Trees 2018, 32, 1253–1266. [Google Scholar] [CrossRef]
- Kardel, F.; Wuyts, K.; Babanezhad, M.; Wuytack, T.; Adriaenssens, S.; Samson, R. Tree leaf wettability as passive bio-indicator of urban habitat quality. Environ. Exp. Bot. 2012, 75, 277–285. [Google Scholar] [CrossRef]
- Klamerus-Iwan, A.; Błońska, E.; Lasota, J.; Waligórski, P.; Kalandyk, A. Seasonal variability of leaf water capacity and wettability under the influence of pollution in different city zones. Atmos. Pollut. Res. 2018, 9, 455–463. [Google Scholar] [CrossRef]
- Liu, F.; Jensen, C.R.; Shahanzari, A.; Andersen, M.N.; Jacobsen, S.-E. ABA regulated stomatal control and photosynthetic water use efficiency of potato (Solanum tuberosum L.) during progressive soil drying. Plant Sci. 2005, 168, 831–836. [Google Scholar] [CrossRef]
- Gerhards, M.; Rock, G.; Schlerf, M.; Udelhoven, T. Water stress detection in potato plants using leaf temperature, emissivity, and reflectance. Int. J. Appl. Earth Obs. Geoinf. 2016, 53, 27–39. [Google Scholar] [CrossRef]
- Paredes, P.; D’Agostino, D.; Assif, M.; Todorovic, M.; Pereira, L.S. Assessing potato transpiration, yield and water productivity under various water regimes and planting dates using the FAO dual K c approach. Agric. Water Manag. 2018, 195, 11–24. [Google Scholar] [CrossRef]
- Schittenhelm, S.; Sourell, H.; Löpmeier, F.-J. Drought resistance of potato cultivars with contrasting canopy architecture. Eur. J. Agron. 2006, 24, 193–202. [Google Scholar] [CrossRef]
- Qin, J.; Bian, C.; Liu, J.; Zhang, J.; Jin, L. An efficient greenhouse method to screen potato genotypes for drought tolerance. Sci. Hortic. 2019, 253, 61–69. [Google Scholar] [CrossRef]
- Van Loon, C.D. The effect of water stress on potato growth, development, and yield. Am. Potato J. 1981, 58, 51–69. [Google Scholar] [CrossRef]
- Holder, C.D. Effects of leaf hydrophobicity and water droplet retention on canopy storage capacity. Ecohydrol 2013, 6, 483–490. [Google Scholar] [CrossRef]
- Rosado, B.H.P.; Holder, C.D. The significance of leaf water repellency in ecohydrological research: A review. Ecohydrol 2013, 6, 150–161. [Google Scholar] [CrossRef]
- Bradley, D.J.; Gilbert, G.S.; Parker, I.M. Susceptibility of clover species to fungal infection: The interaction of leaf surface traits and environment. Am. J. Bot. 2003, 90, 857–864. [Google Scholar] [CrossRef]
- Nelson, S.C. Late Blight of Tomato (Phytophthora Infestans). Available online: https://www.ctahr.hawaii.edu/oc/freepubs/pdf/PD-45.pdf (accessed on 10 February 2020).
- Moorman, G.; Gwinn, K.D. Cultural control of plant diseases. In Plant Pathology; Trigiano, R.N., Windham, M.T., Windham, A.S., Eds.; Taylor & Francis Group: Boca Raton, FL, USA, 2008. [Google Scholar]
- Sharma, P.; Saikia, M.K.; Nath, B.C. A review on management of late blight of potato through host resistance and chemical fungicides. Trends Biosci. 2015, 8, 4459–4466. [Google Scholar]
- Papierowska, E.; Mazur, R.; Stańczyk, T.; Beczek, M.; Szewińska, J.; Sochan, A.; Ryżak, M.; Szatyłowicz, J.; Bieganowski, A. Influence of leaf surface wettability on the drop splash phenomenon. Agric. For. Meteorol. 2019, 279, 107762. [Google Scholar] [CrossRef]
- Fitt, B.D.L.; Lapwood, D.H.; Dance, S.J. Dispersal of Erwinia carotovora subsp. atroseptica in splash droplets. Potato Res. 1983, 26, 123–131. [Google Scholar] [CrossRef]
- Shujie, W.; Hujun, W.; Chun, L.; Xiangmei, Z.; Hui, H.; Yajun, Z. Adsorption characteristics of droplets applied on non-smooth leaf surface of typical crops. Int. J. Agric. Biol. Eng. 2016, 9, 35–41. [Google Scholar]
- Stefaniak, E.S. Charakterystyka Odmian Ziemniaka Jadalnego i Skrobiowego. Available online: http://odr.pl/wp-content/uploads/2016/08/2015_ziemniak.pdf (accessed on 10 February 2020).
- Wang, H.; Shi, H.; Wang, Y. The wetting of leaf surfaces and its ecological significances. In Wetting and Wettability; Aliofkhazraei, M., Ed.; IntechOpen: Rijeka, Croatia, 2015. [Google Scholar]
- Cho, K.-S.; Kwon, M.; Cho, J.-H.; Im, J.-S.; Park, Y.-E.; Hong, S.-Y.; Hwang, I.-T.; Kang, J.-H. Characterization of trichome morphology and aphid resistance in cultivated and wild species of potato. Hortic. Environ. Biotechnol. 2017, 58, 450–457. [Google Scholar] [CrossRef]
- Luckwill, L.C. The Genus Lycopersicon: An Historical, Biological, and Taxonomic Survery of the Wild and Cultivated Tomatoes. Available online: https://polskiziemniak.pl/charakterystyka-odmian-skrobiowych/ (accessed on 10 February 2020).
- Kang, J.-H.; Shi, F.; Jones, A.D.; Marks, M.D.; Howe, G.A. Distortion of trichome morphology by the hairless mutation of tomato affects leaf surface chemistry. J. Exp. Bot. 2010, 61, 1053–1064. [Google Scholar] [CrossRef]
- Van Schie, C.C.N.; Haring, M.A.; Schuurink, R.C. Tomato linalool synthase is induced in trichomes by jasmonic acid. Plant Mol. Biol. 2007, 64, 251–263. [Google Scholar] [CrossRef]
- Schilmiller, A.; Shi, F.; Kim, J.; Charbonneau, A.L.; Holmes, D.; Jones, A.D.; Last, R.L. Mass spectrometry screening reveals widespread diversity in trichome specialized metabolites of tomato chromosomal substitution lines. Plant J. 2010, 62, 391–403. [Google Scholar] [CrossRef]
- Gang, D.R.; Wang, J.; Dudareva, N.; Nam, K.H.; Simon, J.E.; Lewinsohn, E.; Pichersky, E. An investigation of the storage and biosynthesis of Phenylpropenes in Sweet Basil. Plant Physiol. 2001, 125, 539–555. [Google Scholar] [CrossRef]
- Fridman, E.; Wang, J.; Iijima, Y.; Froehlich, J.E.; Gang, D.R.; Ohlrogge, J.; Pichersky, E. Metabolic, genomic, and biochemical analyses of glandular trichomes from the wild tomato species Lycopersicon hirsutum identify a key enzyme in the biosynthesis of methylketones. Plant Cell 2005, 17, 1252–1267. [Google Scholar] [CrossRef]
- Gutiérrez-Alcalá, G.; Gotor, C.; Meyer, A.J.; Fricker, M.; Vega, J.M.; Romero, L.C. Glutathione biosynthesis in Arabidopsis trichome cells. Proc. Natl. Acad. Sci. USA 2000, 97, 11108–11113. [Google Scholar] [CrossRef] [PubMed]
- Kang, J.-H.; McRoberts, J.; Shi, F.; Moreno, J.E.; Jones, A.D.; Howe, G.A. The flavonoid biosynthetic enzyme chalcone isomerase modulates terpenoid production in glandular trichomes of tomato. Plant Physiol. 2014, 164, 1161–1174. [Google Scholar] [CrossRef]
- Kennedy, G.G. Tomato, pests, parasitoids, and predators: Tritrophic interactions involving the genus Lycopersicon. Annu. Rev. Entomol. 2003, 48, 51–72. [Google Scholar] [CrossRef]
- Traw, M.B.; Bergelson, J. Interactive effects of jasmonic acid, salicylic acid, and gibberellin on induction of trichomes in Arabidopsis. Plant Physiol. 2003, 133, 1367–1375. [Google Scholar] [CrossRef] [PubMed]
- Glazebrook, J. Genes controlling expression of defense responses in Arabidopsis—2001 status. Curr. Opin. Plant Biol. 2001, 4, 301–308. [Google Scholar] [CrossRef]
- Thomma, B.P.; Penninckx, I.A.; Cammue, B.P.; Broekaert, W.F. The complexity of disease signaling in Arabidopsis. Curr. Opin. Immunol. 2001, 13, 63–68. [Google Scholar] [CrossRef]
- Kunkel, B.N.; Brooks, D.M. Cross talk between signaling pathways in pathogen defense. Curr. Opin. Plant Biol. 2002, 5, 325–331. [Google Scholar] [CrossRef]
- Seo, H.S.; Song, J.T.; Cheong, J.-J.; Lee, Y.-H.; Lee, Y.-W.; Hwang, I.; Lee, J.S.; Choi, Y.D. Jasmonic acid carboxyl methyltransferase: A key enzyme for jasmonate-regulated plant responses. Proc. Natl. Acad. Sci. USA 2001, 98, 4788–4793. [Google Scholar] [CrossRef]
- Staswick, P.E.; Tiryaki, I.; Rowe, M.L. Jasmonate response locus JAR1 and several related Arabidopsis genes encode enzymes of the firefly luciferase superfamily that show activity on jasmonic, salicylic, and indole-3-acetic acids in an assay for adenylation. Plant Cell 2002, 14, 1405–1415. [Google Scholar] [CrossRef]
- Boughton, A.J.; Hoover, K.; Felton, G.W. Methyl jasmonate application induces increased densities of glandular trichomes on tomato, Lycopersicon esculentum. J. Chem. Ecol. 2005, 31, 2211–2216. [Google Scholar] [CrossRef]
- Agrawal, A.A. Induced responses to herbivory in wild radish: Effects on several herbivores and plant fitness. Ecology 1999, 80, 1713–1723. [Google Scholar] [CrossRef]
- Horgan, F.G.; Quiring, D.T.; Lagnaoui, A.; Pelletier, Y. Effects of altitude of origin on trichome-mediated anti-herbivore resistance in wild Andean potatoes. Flora 2009, 204, 49–62. [Google Scholar] [CrossRef]
- Kessler, A.; Baldwin, I.T. Plant Responses to insect herbivory: The emerging molecular analysis. Annu. Rev. Plant Biol. 2002, 53, 299–328. [Google Scholar] [CrossRef] [PubMed]
- Hare, J.D.; Walling, L.L. Constitutive and Jasmonate-Inducible Traits of Datura wrightii. J. Chem. Ecol. 2006, 32, 29–47. [Google Scholar] [CrossRef] [PubMed]
- Laue, G.; Preston, C.A.; Baldwin, I.T. Fast track to the trichome: Induction of N-acyl nornicotines precedes nicotine induction in Nicotiana repanda. Planta 2000, 210, 510–514. [Google Scholar] [CrossRef] [PubMed]
- Szafranek, B.M.; Synak, E.E. Cuticular waxes from potato (Solanum tuberosum) leaves. Phytochemistry 2006, 67, 80–90. [Google Scholar] [CrossRef]
- Leca, A.; Rouby, F.; Saudreau, M.; Lacointe, A. Apple leaf wettability variability as a function of genotype and apple scab susceptibility. Sci. Hortic. 2020, 260, 108890. [Google Scholar] [CrossRef]




| Potato Cultivar | DAin | SDin | DAin | SDin | DA | SD | DA | SD |
|---|---|---|---|---|---|---|---|---|
| Year of research | 2018 | 2019 | 2018 | 2019 | ||||
| Bryza | 0.085 | 0.112 | 0.123 | 0.110 | 0.086 | 0.091 | 0.138 | 0.110 |
| Lady Claire | 0.089 | 0.065 | - | - | 0.176 | 0.142 | - | - |
| Rudawa | 0.112 | 0.068 | 0.030 | 0.029 | 0.218 | 0.189 | 0.142 | 0.119 |
| Russet Burbank | 0.131 | 0.062 | - | - | 0.276 | 0.164 | - | - |
| Sweet Caroline | 0.098 | 0.158 | - | - | 0.145 | 0.147 | - | - |
| Cultivar | Breeder/Country | Resistance to P. Infestans * | Foliage Cover | Time of Maturity | Use |
|---|---|---|---|---|---|
| Bryza | Pomorsko-Mazurska Hodowla Ziemniaka sp. z o.o., PL | medium | good | semi-late | table |
| Lady Claire | C. Meijer B.V., NL | very low to low | good to dense | early | table |
| Rudawa | Hodowla Ziemniaka Zamarte sp. z o.o. - Grupa IHAR, PL | medium to high | good | late | starch |
| Russet Burbank | GB Seed Industry, USA | low to medium | good to dense | very late | table |
| Sweet Caroline | Under registration medium | NA | NA | NA | NA |
© 2020 by the authors. Licensee MDPI, Basel, Switzerland. This article is an open access article distributed under the terms and conditions of the Creative Commons Attribution (CC BY) license (http://creativecommons.org/licenses/by/4.0/).
Share and Cite
Papierowska, E.; Szatyłowicz, J.; Samborski, S.; Szewińska, J.; Różańska, E. The Leaf Wettability of Various Potato Cultivars. Plants 2020, 9, 504. https://doi.org/10.3390/plants9040504
Papierowska E, Szatyłowicz J, Samborski S, Szewińska J, Różańska E. The Leaf Wettability of Various Potato Cultivars. Plants. 2020; 9(4):504. https://doi.org/10.3390/plants9040504
Chicago/Turabian StylePapierowska, Ewa, Jan Szatyłowicz, Stanisław Samborski, Joanna Szewińska, and Elżbieta Różańska. 2020. "The Leaf Wettability of Various Potato Cultivars" Plants 9, no. 4: 504. https://doi.org/10.3390/plants9040504
APA StylePapierowska, E., Szatyłowicz, J., Samborski, S., Szewińska, J., & Różańska, E. (2020). The Leaf Wettability of Various Potato Cultivars. Plants, 9(4), 504. https://doi.org/10.3390/plants9040504

