Metal Accumulation by Jatropha curcas L. Adult Plants Grown on Heavy Metal-Contaminated Soil
Abstract
1. Introduction
2. Results
2.1. Analysis of Soils at Days 0 and 90
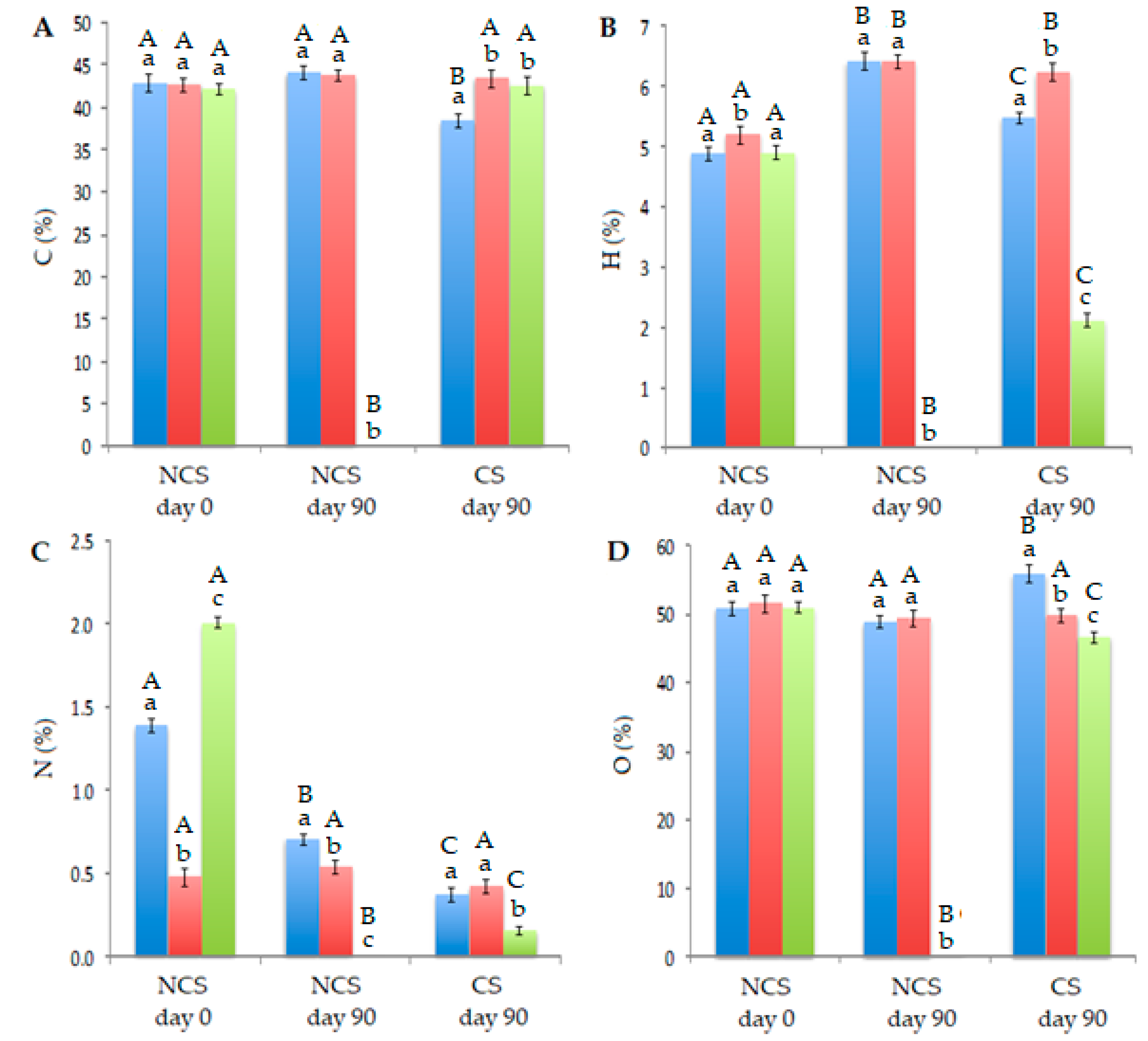
2.2. Analysis of the Plants Grown in NCS and CS at Days 0 and 90
3. Discussion
3.1. Evolution of pH in CS
3.2. Metal Content Reduction in Soils
3.3. Elemental Analysis of Plants
3.4. Translocation and Bioaccumulation Factors
3.5. Potential of J. curcas L. for Phytoremediation.
4. Materials and Methods
4.1. Soil Samples
4.2. Jatropha curcas L. Plants
4.3. Experimental Procedure
4.4. Plant and Soil Analysis
4.4.1. pH
4.4.2. Metal Content
4.4.3. Elemental Analysis
4.5. Translocation (TF) and Bioaccumulation (BAF) Factors
4.6. Statistical Analysis
Author Contributions
Funding
Acknowledgments
Conflicts of Interest
Abbreviations
| BAF | Bioaccumulation factor |
| BAFroot | Bioaccumulation factor in root |
| BAFaerial | Bioaccumulation factor in the aerial part of the plant |
| CS | Contaminated soil (peat and mining soil mixture) |
| ND | Not detected (under the detection limit) |
| NCS | Non-contaminated soil (peat moss) |
| TF | Translocation factor |
References
- Singh, R.; Gautam, N.; Mishra, A.; Gupta, R. Heavy metals and living systems: An overview. Indian J. Pharmacol. 2011, 43, 246–253. [Google Scholar] [CrossRef] [PubMed]
- Jiménez-Moraza, C.; Iglesias, N.; Palencia, I. Application of sugar foam to a pyrite-contaminated soil. Miner. Eng. 2006, 19, 399–406. [Google Scholar] [CrossRef]
- González-Chávez, M.D.C.A.; Carrillo-González, R. Tolerance of Chrysantemum maximum to heavy metals: The potential for its use in the revegetation of tailings heaps. J. Environ. Sci. (China) 2013, 25, 367–375. [Google Scholar] [CrossRef]
- Abhilash, P.C.; Powell, J.R.; Singh, H.B.; Singh, B.K. Plant-microbe interactions: Novel applications for exploitation in multipurpose remediation technologies. Trends Biotechnol. 2012, 30, 416–420. [Google Scholar] [CrossRef] [PubMed]
- Cobbett, C. Heavy metals and plants - Model systems and hyperaccumulators. New Phytol. 2003, 159, 289–293. [Google Scholar] [CrossRef]
- Jamil, S.; Abhilash, P.C.; Singh, N.; Sharma, P.N. Jatropha curcas: A potential crop for phytoremediation of coal fly ash. J. Hazard. Mater. 2009, 172, 269–275. [Google Scholar] [CrossRef] [PubMed]
- Pandey, V.C.; Singh, K.; Singh, J.S.; Kumar, A.; Singh, B.; Singh, R.P. Jatropha curcas: A potential biofuel plant for sustainable environmental development. Renew. Sustain. Energy Rev. 2012, 16, 2870–2883. [Google Scholar] [CrossRef]
- Chang, F.-C.; Ko, C.-H.; Tsai, M.-J.; Wang, Y.-N.; Chung, C.-Y. Phytoremediation of heavy metal contaminated soil by Jatropha curcas. Ecotoxicology 2014, 23, 1969–1978. [Google Scholar] [CrossRef] [PubMed]
- Marrugo-Negrete, J.; Durango-Hernández, J.; Pinedo-Hernández, J.; Olivero-Verbel, J.; Díez, S. Phytoremediation of mercury-contaminated soils by Jatropha curcas. Chemosphere 2015, 127, 58–63. [Google Scholar] [CrossRef] [PubMed]
- González-Chávez, M.D.C.A.; Carrillo-González, R.; Hernández Godínez, M.I.; Evangelista Lozano, S. Jatropha curcas and assisted phytoremediation of a mine tailing with biochar and a mycorrhizal fungus. Int. J. Phytoremediat. 2017, 19, 174–182. [Google Scholar] [CrossRef] [PubMed]
- Álvarez-Mateos, P.; Alés-Álvarez, F.-J.; García-Martín, J.F. Phytoremediation of highly contaminated mining soils by Jatropha curcas L. and production of catalytic carbons from the generated biomass. J. Environ. Manag. 2019, 231, 886–895. [Google Scholar] [CrossRef] [PubMed]
- Tripathi, R.D.; Srivastava, S.; Mishra, S.; Singh, N.; Tuli, R.; Gupta, D.K.; Maathuis, F.J.M. Arsenic hazards: Strategies for tolerance and remediation by plants. Trends Biotechnol. 2007, 25, 158–165. [Google Scholar] [CrossRef] [PubMed]
- Yadav, S.K.; Juwarkar, A.A.; Kumar, G.P.; Thawale, P.R.; Singh, S.K.; Chakrabarti, T. Bioaccumulation and phyto-translocation of arsenic, chromium and zinc by Jatropha curcas L.: Impact of dairy sludge and biofertilizer. Bioresour. Technol. 2009, 100, 4616–4622. [Google Scholar] [CrossRef] [PubMed]
- Wuana, R.A.; Okieimen, F.E.; Imborvungu, J.A. Removal of heavy metals from a contaminated soil using organic chelating acids. Int. J. Environ. Sci. Technol. 2010, 7, 485–496. [Google Scholar] [CrossRef]
- Singh, S.; Parihar, P.; Singh, R.; Singh, V.P.; Prasad, S.M. Heavy metal tolerance in plants: Role of transcriptomics, proteomics, metabolomics, and ionomics. Front. Plant Sci. 2016, 6, 1143. [Google Scholar] [CrossRef] [PubMed]
- Rascio, N. Metal Accumulation by Some Plants Growing on Zinc-Mine Deposits. Oikos 1977, 29, 250–253. [Google Scholar] [CrossRef]
- García-Martín, J.F.; Alés-Álvarez, F.J.; Torres-García, M.; Feng, C.-H.; Álvarez-Mateos, P. Production of Oxygenated Fuel Additives from Residual Glycerine Using Biocatalysts Obtained from Heavy-Metal-Contaminated Jatropha curcas L. Roots. Energies 2019, 12, 740. [Google Scholar] [CrossRef]
- García Martín, J.F.; Carrión Ruiz, J.; Torres García, M.; Feng, C.H.; Álvarez Mateos, P. Esterification of free fatty acids with glycerol within the biodiesel production framework. Processes 2019, 7, 832. [Google Scholar] [CrossRef]
- Álvarez-Mateos, P.; García-Martín, J.F.; Guerrero-Vacas, F.J.; Naranjo-Calderón, C.; Barrios, C.C.; Pérez Camino, M.D.C.; Barrios, C.C. Valorization of a high-acidity residual oil generated in the waste cooking oils recycling industries. Grasas Y Aceites 2019, 40, e335. [Google Scholar]









| Soil | Fe | Cr | Cu | Mn | Ni | Pb | Zn | As | Au | Sb |
|---|---|---|---|---|---|---|---|---|---|---|
| Mine | 31985.1 | 1.29 | 39.8 | 35.9 | ND | 39.2 | 19.7 | 23716.7 | 2.12 | 2.76 |
| σ | ± 564.8a | ± 0.34a | ± 6.3a | ± 4.0a | − | ± 12.1a | ± 3.2a | ± 465.3a | ± 0.23 | ± 0.46 |
| NCS | 7090.0 | 15.37 | 38.1 | 156.5 | 5.44 | 20.2 | 40.7 | 8.0 | ND | ND |
| σ | ± 204.5b | ± 3.21b | ± 3.0a | ± 17.0b | ± 0.98a | ± 7.0b | ± 16.0b | ± 1.3b | − | − |
| CS | 8331.2 | 13.41 | 38.7 | 59.6 | 1.14 | 22.6 | 41.5 | 4982.9 | ND | ND |
| σ | ± 265.3c | ± 1.42b | ± 4.8a | ± 9.2c | ± 0.36b | ± 7.0b | ± 15.9b | ± 165.9c | − | − |
| Metal | Concentration Decrease (%) | |
|---|---|---|
| NCS | CS | |
| Fe | 38a | 29a |
| Cr | 54a | 86b |
| Cu | 43a | 58b |
| Mn | 45a | 16b |
| Ni | 28a | 22a |
| Pb | 42a | 65b |
| Zn | 28a | 20a |
| As | NDa | 44b |
| Au | ND | ND |
| Sb | ND | ND |
| Soil | Day | Height (cm) | Stem Diameter (cm) | Branch Diameter (cm) |
|---|---|---|---|---|
| NCS | 0 | 221.8 ± 33.1a | 27.5 ± 1.3a | 17.3 ± 3.7a |
| NCS | 90 | 225.8 ± 22.6a | 26.8 ± 0.5a | 13.0 ± 1.8a |
| CS | 0 | 223.6 ± 25.1a | 26.8 ± 1.7a | 12.5 ± 1.3a |
| CS | 90 | 220.5 ± 21.1a | 26.8 ± 1.0a | 13.8 ± 3.0a |
© 2020 by the authors. Licensee MDPI, Basel, Switzerland. This article is an open access article distributed under the terms and conditions of the Creative Commons Attribution (CC BY) license (http://creativecommons.org/licenses/by/4.0/).
Share and Cite
García Martín, J.F.; González Caro, M.d.C.; López Barrera, M.d.C.; Torres García, M.; Barbin, D.; Álvarez Mateos, P. Metal Accumulation by Jatropha curcas L. Adult Plants Grown on Heavy Metal-Contaminated Soil. Plants 2020, 9, 418. https://doi.org/10.3390/plants9040418
García Martín JF, González Caro MdC, López Barrera MdC, Torres García M, Barbin D, Álvarez Mateos P. Metal Accumulation by Jatropha curcas L. Adult Plants Grown on Heavy Metal-Contaminated Soil. Plants. 2020; 9(4):418. https://doi.org/10.3390/plants9040418
Chicago/Turabian StyleGarcía Martín, Juan Francisco, María del Carmen González Caro, María del Carmen López Barrera, Miguel Torres García, Douglas Barbin, and Paloma Álvarez Mateos. 2020. "Metal Accumulation by Jatropha curcas L. Adult Plants Grown on Heavy Metal-Contaminated Soil" Plants 9, no. 4: 418. https://doi.org/10.3390/plants9040418
APA StyleGarcía Martín, J. F., González Caro, M. d. C., López Barrera, M. d. C., Torres García, M., Barbin, D., & Álvarez Mateos, P. (2020). Metal Accumulation by Jatropha curcas L. Adult Plants Grown on Heavy Metal-Contaminated Soil. Plants, 9(4), 418. https://doi.org/10.3390/plants9040418

