Differential Expression of Maize and Teosinte microRNAs under Submergence, Drought, and Alternated Stress
Abstract
1. Introduction
2. Results
2.1. Physiological Response of Maize and Teosinte to Submergence and Drought
2.2. Overall Analysis of Small RNA Sequencing Data
2.3. Global Changes in Expression of miRNA Sequences in Response to Stress
2.4. Redundancy of miRNA Reads Annotated to miRBASE and Grouping of Representative Sequences
2.5. Search for Novel miRNAs
2.6. Analysis of miRNAs Responsive to Submergence and Drought in Maize and Teosinte
2.7. Analysis of miRNAs Responsive to Alternated Stress in Teosinte
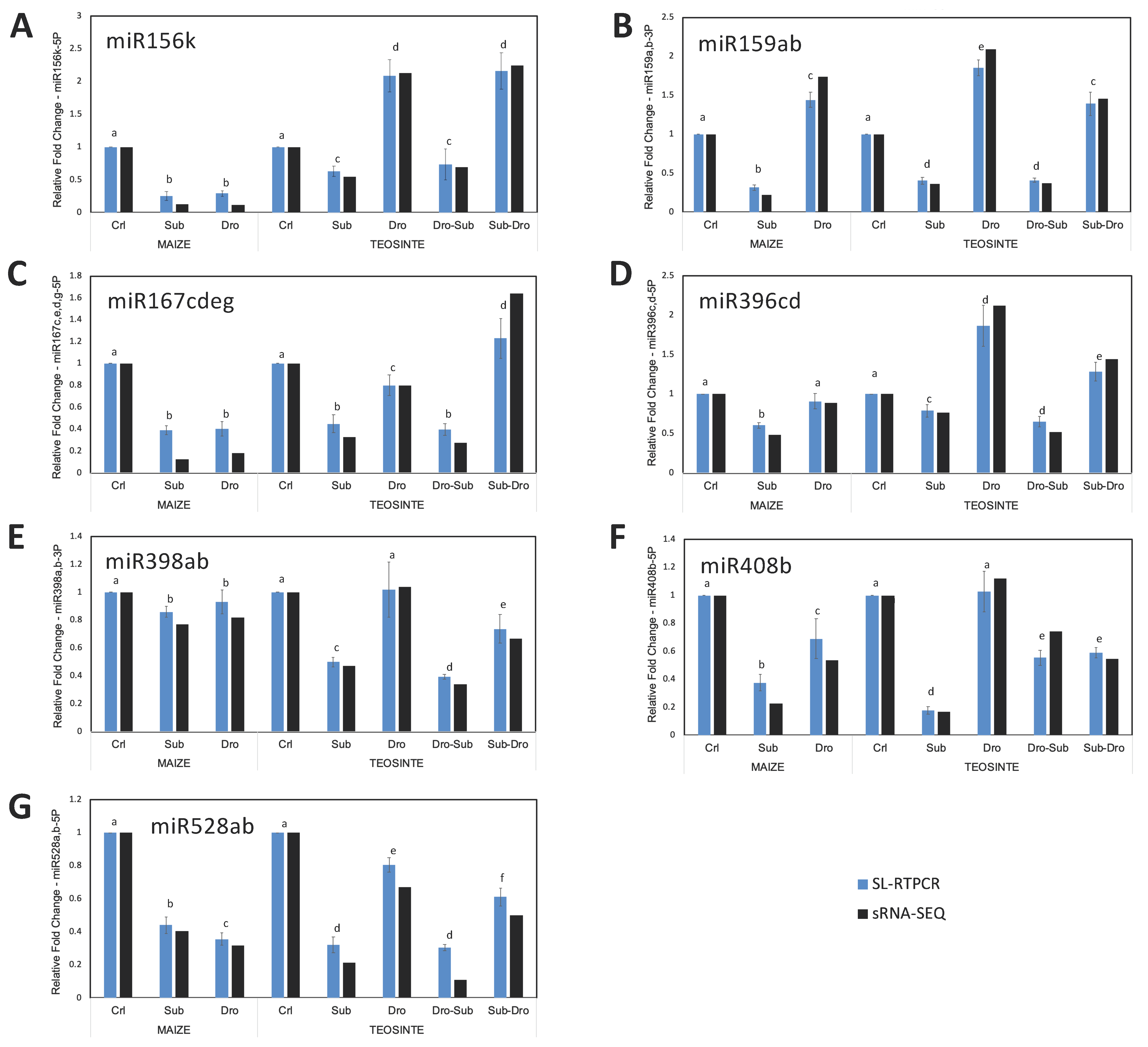
2.8. Assessment and Validation of miRNA Expression by Quantitative RT-PCR
2.9. Other Small RNAs
3. Discussion
3.1. Transcriptional Regulation
3.2. Antioxidant Activity
3.3. Comparison of miRNA Expression in Maize and Teosinte
3.4. Effects of Alternated Stress on Teosinte
4. Materials and Methods
4.1. Plant Materials
4.2. Growth Conditions and Treatments
4.3. Assessment of Physiological and Morphological Effects of Stress in Maize and Teosinte
4.4. Total RNA Extraction and Construction of Small RNA Libraries
4.5. Bioinformatics Analysis of Small RNA Libraries
4.6. Assessment of miRNA Differential Expression by Quantitative RT-PCR (qRT-PCR)
4.7. Prediction of Target Genes
Supplementary Materials
Author Contributions
Funding
Acknowledgments
Conflicts of Interest
References
- He, X.; Pan, M.; Wei, Z.; Wood, E.F.; Sheffield, J. A Global Drought and Flood Catalogue from 1950 to 2016. Bull. Am. Meteorol. Soc. 2020, 101, E508–E535. [Google Scholar] [CrossRef]
- Lesk, C.; Rowhani, P.; Ramankutty, N. Influence of Extreme Weather Disasters on Global Crop Production. Nature 2016, 529, 84–87. [Google Scholar] [CrossRef]
- Nguyen, L.T.T.; Osanai, Y.; Anderson, I.C.; Bange, M.P.; Tissue, D.T.; Singh, B.K. Flooding and Prolonged Drought Have Differential Legacy Impacts on Soil Nitrogen Cycling, Microbial Communities and Plant Productivity. Plant Soil 2018, 431, 371–387. [Google Scholar] [CrossRef]
- Voesenek, L.A.C.J.; Bailey-Serres, J. Flood Adaptive Traits and Processes: An Overview. New Phytol. 2015, 206, 57–73. [Google Scholar] [CrossRef] [PubMed]
- Fukao, T.; Barrera-Figueroa, B.E.; Juntawong, P.; Peña-Castro, J.M. Submergence and Waterlogging Stress in Plants: A Review Highlighting Research Opportunities and Understudied Aspects. Front. Plant Sci. 2019, 10, 340. [Google Scholar] [CrossRef] [PubMed]
- Loreti, E.; Valeri, M.C.; Novi, G.; Perata, P. Gene Regulation and Survival under Hypoxia Requires Starch Availability and Metabolism. Plant Physiol. 2018, 176, 1286–1298. [Google Scholar] [CrossRef] [PubMed]
- Bailey-Serres, J.; Lee, S.C.; Brinton, E. Waterproofing Crops: Effective Flooding Survival Strategies. Plant Physiol. 2012, 160, 1698–1709. [Google Scholar] [CrossRef]
- Osakabe, Y.; Osakabe, K.; Shinozaki, K.; Tran, L.-S.P. Response of Plants to Water Stress. Front. Plant Sci. 2014, 5. [Google Scholar] [CrossRef]
- Fukao, T.; Yeung, E.; Bailey-Serres, J. The Submergence Tolerance Regulator SUB1A Mediates Crosstalk between Submergence and Drought Tolerance in Rice. Plant Cell 2011, 23, 412–427. [Google Scholar] [CrossRef]
- Liang, S.; Xiong, W.; Yin, C.; Xie, X.; Jin, Y.; Zhang, S.; Yang, B.; Ye, G.; Chen, S.; Luan, W. Overexpression of OsARD1 Improves Submergence, Drought, and Salt Tolerances of Seedling Through the Enhancement of Ethylene Synthesis in Rice. Front. Plant Sci. 2019, 10, 1088. [Google Scholar] [CrossRef] [PubMed]
- Bin Rahman, A.N.M.R.; Zhang, J. Flood and Drought Tolerance in Rice: Opposite but May Coexist. Food Energy Secur. 2016, 5, 76–88. [Google Scholar] [CrossRef]
- Amissah, L.; Mohren, G.M.J.; Kyereh, B.; Agyeman, V.K.; Poorter, L. Rainfall Seasonality and Drought Performance Shape the Distribution of Tropical Tree Species in Ghana. Ecol. Evol. 2018, 8, 8582–8597. [Google Scholar] [CrossRef] [PubMed]
- He, X.; Sheffield, J. Lagged Compound Occurrence of Droughts and Pluvials Globally over the Past Seven Decades. Geophys. Res. Lett. 2020. [Google Scholar] [CrossRef]
- Kim, W.; Iizumi, T.; Nishimori, M. Global Patterns of Crop Production Losses Associated with Droughts from 1983 to 2009. J. Appl. Meteorol. Climatol. 2019, 58, 1233–1244. [Google Scholar] [CrossRef]
- Li, Y.; Guan, K.; Schnitkey, G.D.; DeLucia, E.; Peng, B. Excessive Rainfall Leads to Maize Yield Loss of a Comparable Magnitude to Extreme Drought in the United States. Glob. Chang. Biol. 2019, 25, 2325–2337. [Google Scholar] [CrossRef]
- González, J.D.J.S.; Corral, J.A.R.; García, G.M.; Ojeda, G.R.; Larios, L.D.L.C.; Holland, J.B.; Medrano, R.M.; Romero, G.E.G. Ecogeography of Teosinte. PLoS ONE 2018, 13, e0192676. [Google Scholar] [CrossRef]
- Matsuoka, Y.; Vigouroux, Y.; Goodman, M.M.; Sanchez, G.J.; Buckler, E.; Doebley, J. A Single Domestication for Maize Shown by Multilocus Microsatellite Genotyping. Proc. Natl. Acad. Sci. USA 2002, 99, 6080–6084. [Google Scholar] [CrossRef]
- Hufford, M.B.; Xu, X.; van Heerwaarden, J.; Pyhäjärvi, T.; Chia, J.-M.; Cartwright, R.A.; Elshire, R.J.; Glaubitz, J.C.; Guill, K.E.; Kaeppler, S.M.; et al. Comparative Population Genomics of Maize Domestication and Improvement. Nat. Genet. 2012, 44, 808–811. [Google Scholar] [CrossRef]
- Liu, J.; Fernie, A.R.; Yan, J. The Past, Present, and Future of Maize Improvement: Domestication, Genomics, and Functional Genomic Routes toward Crop Enhancement. Plant Commun. 2020, 1, 100010. [Google Scholar] [CrossRef]
- Mano, Y.; Omori, F. Breeding for Flooding Tolerant Maize Using “Teosinte” as a Germplasm Resource. Plant Roots 2007, 1, 17–21. [Google Scholar] [CrossRef]
- Shriram, V.; Kumar, V.; Devarumath, R.M.; Khare, T.S.; Wani, S.H. MicroRNAs As Potential Targets for Abiotic Stress Tolerance in Plants. Front. Plant Sci. 2016, 7, 817. [Google Scholar] [CrossRef] [PubMed]
- Song, X.; Li, Y.; Cao, X.; Qi, Y. MicroRNAs and Their Regulatory Roles in Plant–Environment Interactions. Annu. Rev. Plant Biol. 2019, 70, 489–525. [Google Scholar] [CrossRef] [PubMed]
- Moldovan, D.; Spriggs, A.; Yang, J.; Pogson, B.J.; Dennis, E.S.; Wilson, I.W. Hypoxia-Responsive MicroRNAs and Trans-Acting Small Interfering RNAs in Arabidopsis. J. Exp. Bot. 2010, 61, 165–177. [Google Scholar] [CrossRef] [PubMed]
- Pegler, J.; Oultram, J.; Grof, C.; Eamens, A. Profiling the Abiotic Stress Responsive MicroRNA Landscape of Arabidopsis Thaliana. Plants 2019, 8, 58. [Google Scholar] [CrossRef]
- Jeong, D.-H.; Schmidt, S.A.; Rymarquis, L.A.; Park, S.; Ganssmann, M.; German, M.A.; Accerbi, M.; Zhai, J.; Fahlgren, N.; Fox, S.E.; et al. Parallel Analysis of RNA Ends Enhances Global Investigation of MicroRNAs and Target RNAs of Brachypodium Distachyon. Genome Biol. 2013, 14, R145. [Google Scholar] [CrossRef]
- Bertolini, E.; Verelst, W.; Horner, D.S.; Gianfranceschi, L.; Piccolo, V.; Inzé, D.; Pè, M.E.; Mica, E. Addressing the Role of MicroRNAs in Reprogramming Leaf Growth during Drought Stress in Brachypodium Distachyon. Mol. Plant 2013, 6, 423–443. [Google Scholar] [CrossRef]
- Barrera-Figueroa, B.E.; Gao, L.; Wu, Z.; Zhou, X.; Zhu, J.; Jin, H.; Liu, R.; Zhu, J.-K. High Throughput Sequencing Reveals Novel and Abiotic Stress-Regulated MicroRNAs in the Inflorescences of Rice. BMC Plant Biol. 2012, 12, 132. [Google Scholar] [CrossRef]
- Jin, Q.; Xu, Y.; Mattson, N.; Li, X.; Wang, B.; Zhang, X.; Jiang, H.; Liu, X.; Wang, Y.; Yao, D. Identification of Submergence-Responsive MicroRNAs and Their Targets Reveals Complex MiRNA-Mediated Regulatory Networks in Lotus (Nelumbo Nucifera Gaertn). Front. Plant Sci. 2017, 8. [Google Scholar] [CrossRef] [PubMed]
- Liu, X.; Zhang, X.; Sun, B.; Hao, L.; Liu, C.; Zhang, D.; Tang, H.; Li, C.; Li, Y.; Shi, Y.; et al. Genome-Wide Identification and Comparative Analysis of Drought-Related MicroRNAs in Two Maize Inbred Lines with Contrasting Drought Tolerance by Deep Sequencing. PLoS ONE 2019, 14, e0219176. [Google Scholar] [CrossRef] [PubMed]
- Liu, Z.; Kumari, S.; Zhang, L.; Zheng, Y.; Ware, D. Characterization of MiRNAs in Response to Short-Term Waterlogging in Three Inbred Lines of Zea Mays. PLoS ONE 2012, 7, e39786. [Google Scholar] [CrossRef]
- Kozomara, A.; Birgaoanu, M.; Griffiths-Jones, S. MiRBase: From MicroRNA Sequences to Function. Nucleic Acids Res. 2019, 47, D155–D162. [Google Scholar] [CrossRef] [PubMed]
- Li, J.; Fu, F.; An, M.; Zhou, S.; She, Y.; Li, W. Differential Expression of MicroRNAs in Response to Drought Stress in Maize. J. Integr. Agric. 2013, 12, 1414–1422. [Google Scholar] [CrossRef]
- Seeve, C.M.; Sunkar, R.; Zheng, Y.; Liu, L.; Liu, Z.; McMullen, M.; Nelson, S.; Sharp, R.E.; Oliver, M.J. Water-Deficit Responsive MicroRNAs in the Primary Root Growth Zone of Maize. BMC Plant Biol. 2019, 19, 447. [Google Scholar] [CrossRef]
- Zhang, Z.; Wei, L.; Zou, X.; Tao, Y.; Liu, Z.; Zheng, Y. Submergence-Responsive MicroRNAs Are Potentially Involved in the Regulation of Morphological and Metabolic Adaptations in Maize Root Cells. Ann. Bot. 2008, 102, 509–519. [Google Scholar] [CrossRef] [PubMed]
- Zhai, L.; Liu, Z.; Zou, X.; Jiang, Y.; Qiu, F.; Zheng, Y.; Zhang, Z. Genome-Wide Identification and Analysis of MicroRNA Responding to Long-Term Waterlogging in Crown Roots of Maize Seedlings. Physiol. Plant. 2013, 147, 181–193. [Google Scholar] [CrossRef]
- Axtell, M.J.; Meyers, B.C. Revisiting Criteria for Plant MicroRNA Annotation in the Era of Big Data. Plant Cell 2018, 30, 272–284. [Google Scholar] [CrossRef]
- Meng, X.; Li, L.; Narsai, R.; De Clercq, I.; Whelan, J.; Berkowitz, O. Mitochondrial Signalling Is Critical for Acclimation and Adaptation to Flooding in Arabidopsis Thaliana. Plant J. 2020, 103, 227–247. [Google Scholar] [CrossRef]
- Mommer, L.; Pons, T.L.; Wolters-Arts, M.; Venema, J.H.; Visser, E.J.W. Submergence-Induced Morphological, Anatomical, and Biochemical Responses in a Terrestrial Species Affect Gas Diffusion Resistance and Photosynthetic Performance. Plant Physiol. 2005, 139, 497–508. [Google Scholar] [CrossRef]
- Schmidt, R.R.; Weits, D.A.; Feulner, C.F.J.; van Dongen, J.T. Oxygen Sensing and Integrative Stress Signaling in Plants. Plant Physiol. 2018, 176, 1131–1142. [Google Scholar] [CrossRef]
- Hou, Y.; Jiang, F.; Zheng, X.; Wu, Z. Identification and Analysis of Oxygen Responsive MicroRNAs in the Root of Wild Tomato (S. Habrochaites). BMC Plant Biol. 2019, 19, 100. [Google Scholar] [CrossRef]
- Voesenek, L.A.C.J. Interactions Between Plant Hormones Regulate Submergence-Induced Shoot Elongation in the Flooding-Tolerant Dicot Rumex Palustris. Ann. Bot. 2003, 91, 205–211. [Google Scholar] [CrossRef]
- Chuck, G.S.; Tobias, C.; Sun, L.; Kraemer, F.; Li, C.; Dibble, D.; Arora, R.; Bragg, J.N.; Vogel, J.P.; Singh, S.; et al. Overexpression of the Maize Corngrass1 MicroRNA Prevents Flowering, Improves Digestibility, and Increases Starch Content of Switchgrass. Proc. Natl. Acad. Sci. USA 2011, 108, 17550–17555. [Google Scholar] [CrossRef] [PubMed]
- Mao, H.-D.; Yu, L.-J.; Li, Z.-J.; Yan, Y.; Han, R.; Liu, H.; Ma, M. Genome-Wide Analysis of the SPL Family Transcription Factors and Their Responses to Abiotic Stresses in Maize. Plant Gene 2016, 6, 1–12. [Google Scholar] [CrossRef]
- Wu, G. Temporal Regulation of Shoot Development in Arabidopsis Thaliana by MiR156 and Its Target SPL3. Development 2006, 133, 3539–3547. [Google Scholar] [CrossRef]
- Guo, H.-S.; Xie, Q.; Fei, J.-F.; Chua, N.-H. MicroRNA Directs MRNA Cleavage of the Transcription Factor NAC1 to Downregulate Auxin Signals for Arabidopsis Lateral Root Development. Plant Cell 2005, 17, 1376–1386. [Google Scholar] [CrossRef] [PubMed]
- Zhang, J.; Long, Y.; Xue, M.; Xiao, X.; Pei, X. Identification of MicroRNAs in Response to Drought in Common Wild Rice (Oryza Rufipogon Griff.) Shoots and Roots. PLoS ONE 2017, 12, e0170330. [Google Scholar] [CrossRef] [PubMed]
- Singh, A.; Roy, S.; Singh, S.; Das, S.S.; Gautam, V.; Yadav, S.; Kumar, A.; Singh, A.; Samantha, S.; Sarkar, A.K. Phytohormonal Crosstalk Modulates the Expression of MiR166/165s, Target Class III HD-ZIPs, and KANADI Genes during Root Growth in Arabidopsis Thaliana. Sci. Rep. 2017, 7, 3408. [Google Scholar] [CrossRef] [PubMed]
- Li, S.-B.; Xie, Z.-Z.; Hu, C.-G.; Zhang, J.-Z. A Review of Auxin Response Factors (ARFs) in Plants. Front. Plant Sci. 2016, 7. [Google Scholar] [CrossRef]
- Li, W.-X.; Oono, Y.; Zhu, J.; He, X.-J.; Wu, J.-M.; Iida, K.; Lu, X.-Y.; Cui, X.; Jin, H.; Zhu, J.-K. The Arabidopsis NFYA5 Transcription Factor Is Regulated Transcriptionally and Posttranscriptionally to Promote Drought Resistance. Plant Cell 2008, 20, 2238–2251. [Google Scholar] [CrossRef]
- Luan, M.; Xu, M.; Lu, Y.; Zhang, Q.; Zhang, L.; Zhang, C.; Fan, Y.; Lang, Z.; Wang, L. Family-Wide Survey of MiR169s and NF-YAs and Their Expression Profiles Response to Abiotic Stress in Maize Roots. PLoS ONE 2014, 9, e91369. [Google Scholar] [CrossRef]
- Xu, M.Y.; Zhang, L.; Li, W.W.; Hu, X.L.; Wang, M.-B.; Fan, Y.L.; Zhang, C.Y.; Wang, L. Stress-Induced Early Flowering Is Mediated by MiR169 in Arabidopsis Thaliana. J. Exp. Bot. 2014, 65, 89–101. [Google Scholar] [CrossRef]
- Sorin, C.; Declerck, M.; Christ, A.; Blein, T.; Ma, L.; Lelandais-Brière, C.; Njo, M.F.; Beeckman, T.; Crespi, M.; Hartmann, C. A MiR169 Isoform Regulates Specific NF-YA Targets and Root Architecture in Arabidopsis. New Phytol. 2014, 202, 1197–1211. [Google Scholar] [CrossRef]
- Zhou, M.; Luo, H. Role of MicroRNA319 in Creeping Bentgrass Salinity and Drought Stress Response. Plant Signal. Behav. 2014, 9, e28700. [Google Scholar] [CrossRef]
- Wang, L.; Gu, X.; Xu, D.; Wang, W.; Wang, H.; Zeng, M.; Chang, Z.; Huang, H.; Cui, X. MiR396-Targeted AtGRF Transcription Factors Are Required for Coordination of Cell Division and Differentiation during Leaf Development in Arabidopsis. J. Exp. Bot. 2011, 62, 761–773. [Google Scholar] [CrossRef] [PubMed]
- Beltramino, M.; Ercoli, M.F.; Debernardi, J.M.; Goldy, C.; Rojas, A.M.L.; Nota, F.; Alvarez, M.E.; Vercruyssen, L.; Inzé, D.; Palatnik, J.F.; et al. Robust Increase of Leaf Size by Arabidopsis Thaliana GRF3-like Transcription Factors under Different Growth Conditions. Sci. Rep. 2018, 8, 13447. [Google Scholar] [CrossRef] [PubMed]
- Gocal, G.F.W.; Sheldon, C.C.; Gubler, F.; Moritz, T.; Bagnall, D.J.; MacMillan, C.P.; Li, S.F.; Parish, R.W.; Dennis, E.S.; Weigel, D.; et al. GAMYB-like Genes, Flowering, and Gibberellin Signaling in Arabidopsis. Plant Physiol. 2001, 127, 1682–1693. [Google Scholar] [CrossRef]
- Rivera-Contreras, I.K.; Zamora-Hernández, T.; Huerta-Heredia, A.A.; Capataz-Tafur, J.; Barrera-Figueroa, B.E.; Juntawong, P.; Peña-Castro, J.M. Transcriptomic Analysis of Submergence-Tolerant and Sensitive Brachypodium Distachyon Ecotypes Reveals Oxidative Stress as a Major Tolerance Factor. Sci. Rep. 2016, 6, 27686. [Google Scholar] [CrossRef]
- Sunkar, R.; Kapoor, A.; Zhu, J.-K. Posttranscriptional Induction of Two Cu/Zn Superoxide Dismutase Genes in Arabidopsis Is Mediated by Downregulation of MiR398 and Important for Oxidative Stress Tolerance. Plant Cell 2006, 18, 2051–2065. [Google Scholar] [CrossRef] [PubMed]
- De la Rosa, C.; Covarrubias, A.A.; Reyes, J.L. A Dicistronic Precursor Encoding MiR398 and the Legume-Specific MiR2119 Coregulates CSD1 and ADH1 MRNAs in Response to Water Deficit: MiR398 and MiR2119 Co-Regulate CSD1 and ADH1 MRNAs. Plant Cell Environ. 2019, 42, 133–144. [Google Scholar] [CrossRef]
- Loreti, E.; Betti, F.; Ladera-Carmona, M.J.; Fontana, F.; Novi, G.; Valeri, M.C.; Perata, P. ARGONAUTE1 and ARGONAUTE4 Regulate Gene Expression and Hypoxia Tolerance. Plant Physiol. 2020, 182, 287–300. [Google Scholar] [CrossRef]
- Gong, S.; Ding, Y.; Huang, S.; Zhu, C. Identification of MiRNAs and Their Target Genes Associated with Sweet Corn Seed Vigor by Combined Small RNA and Degradome Sequencing. J. Agric. Food Chem. 2015, 63, 5485–5491. [Google Scholar] [CrossRef]
- Abdel-Ghany, S.E.; Pilon, M. MicroRNA-Mediated Systemic Down-Regulation of Copper Protein Expression in Response to Low Copper Availability in Arabidopsis. J. Biol. Chem. 2008, 283, 15932–15945. [Google Scholar] [CrossRef]
- Sun, Q.; Liu, X.; Yang, J.; Liu, W.; Du, Q.; Wang, H.; Fu, C.; Li, W.-X. MicroRNA528 Affects Lodging Resistance of Maize by Regulating Lignin Biosynthesis under Nitrogen-Luxury Conditions. Mol. Plant 2018, 11, 806–814. [Google Scholar] [CrossRef]
- Zhang, H.; Zhao, X.; Li, J.; Cai, H.; Deng, X.W.; Li, L. MicroRNA408 Is Critical for the HY5-SPL7 Gene Network That Mediates the Coordinated Response to Light and Copper. Plant Cell 2014, 26, 4933–4953. [Google Scholar] [CrossRef]
- Zhao, X.Y.; Hong, P.; Wu, J.Y.; Chen, X.B.; Ye, X.G.; Pan, Y.Y.; Wang, J.; Zhang, X.S. The Tae-MiR408-Mediated Control of TaTOC1 Genes Transcription Is Required for the Regulation of Heading Time in Wheat. Plant Physiol. 2016, 170, 1578–1594. [Google Scholar] [CrossRef] [PubMed]
- Yang, R.; Li, P.; Mei, H.; Wang, D.; Sun, J.; Yang, C.; Hao, L.; Cao, S.; Chu, C.; Hu, S.; et al. Fine-Tuning of MiR528 Accumulation Modulates Flowering Time in Rice. Mol. Plant 2019, 12, 1103–1113. [Google Scholar] [CrossRef]
- Zhang, L.; Chia, J.-M.; Kumari, S.; Stein, J.C.; Liu, Z.; Narechania, A.; Maher, C.A.; Guill, K.; McMullen, M.D.; Ware, D. A Genome-Wide Characterization of MicroRNA Genes in Maize. PLoS Genet. 2009, 5, e1000716. [Google Scholar] [CrossRef] [PubMed]
- Yeung, E.; Bailey-Serres, J.; Sasidharan, R. After The Deluge: Plant Revival Post-Flooding. Trends Plant. Sci. 2019, 24, 443–454. [Google Scholar] [CrossRef] [PubMed]
- Barrs, H.; Weatherley, P. A Re-Examination of the Relative Turgidity Technique for Estimating Water Deficits in Leaves. Aust. J. Biol. Sci. 1962, 15, 413. [Google Scholar] [CrossRef]
- Liu, Y.; Tang, B.; Zheng, Y.; Ma, K.; Xu, S.; Qiu, F. Screening Methods for Waterlogging Tolerance at Maize (Zea mays L.) Seedling Stage. Agric. Sci. China 2010, 9, 362–369. [Google Scholar] [CrossRef]
- Portwood, J.L.; Woodhouse, M.R.; Cannon, E.K.; Gardiner, J.M.; Harper, L.C.; Schaeffer, M.L.; Walsh, J.R.; Sen, T.Z.; Cho, K.T.; Schott, D.A.; et al. MaizeGDB 2018: The Maize Multi-Genome Genetics and Genomics Database. Nucleic Acids Res. 2019, 47, D1146–D1154. [Google Scholar] [CrossRef]
- Chen, C. Real-Time Quantification of MicroRNAs by Stem-Loop RT-PCR. Nucleic Acids Res. 2005, 33, e179. [Google Scholar] [CrossRef]
- Jung, U.; Jiang, X.; Kaufmann, S.H.E.; Patzel, V. A Universal TaqMan-Based RT-PCR Protocol for Cost-Efficient Detection of Small Noncoding RNA. RNA 2013, 19, 1864–1873. [Google Scholar] [CrossRef] [PubMed]
- Livak, K.J.; Schmittgen, T.D. Analysis of Relative Gene Expression Data Using Real-Time Quantitative PCR and the 2−ΔΔCT Method. Methods 2001, 25, 402–408. [Google Scholar] [CrossRef]
- Dai, X.; Zhuang, Z.; Zhao, P.X. PsRNATarget: A Plant Small RNA Target Analysis Server (2017 Release). Nucleic Acids Res. 2018, 46, W49–W54. [Google Scholar] [CrossRef] [PubMed]
- Fei, Y.; Wang, R.; Li, H.; Liu, S.; Zhang, H.; Huang, J. DPMIND: Degradome-Based Plant MiRNA–Target Interaction and Network Database. Bioinformatics 2018, 34, 1618–1620. [Google Scholar] [CrossRef] [PubMed]





| Maize | Teosinte | |||||||
|---|---|---|---|---|---|---|---|---|
| Control | Submerg | Drought | Control | Submerg | Drought | Drought-Submerg | Submerg-Drought | |
| Raw | 16,139,354 | 26,621,448 | 31,642,210 | 20,672,413 | 28,656,756 | 29,063,588 | 17,997,037 | 46,522,229 |
| Clean | 14,897,058 | 24,568,439 | 29,744,161 | 18,955,892 | 26,296,921 | 26,960,313 | 15,760,258 | 41,915,673 |
| Maize | 14,870,947 | 24,488,359 | 29,696,341 | 18,927,434 | 26,217,672 | 26,912,777 | 15,727,757 | 41,761,974 |
| 99.82% | 99.67% | 99.84% | 99.85% | 99.70% | 99.82% | 99.79% | 99.63% | |
| mt | 87,401 | 106,625 | 134,420 | 114,741 | 73,980 | 105,999 | 106,451 | 145,709 |
| 0.59% | 0.43% | 0.45% | 0.61% | 0.28% | 0.39% | 0.68% | 0.35% | |
| cp | 182,414 | 452,301 | 459,718 | 475,121 | 444,434 | 835,675 | 973,949 | 1,289,213 |
| 1.22% | 1.84% | 1.55% | 2.51% | 1.69% | 3.10% | 6.18% | 3.08% | |
| mRNA | 195,418 | 258,447 | 342,833 | 207,230 | 202,191 | 256,739 | 238,774 | 309,551 |
| 1.31% | 1.05% | 1.15% | 1.09% | 0.77% | 0.95% | 1.52% | 0.74% | |
| rRNA | 288,257 | 601,629 | 778,148 | 687,038 | 591,868 | 588,819 | 1,056,243 | 1,240,514 |
| 1.94% | 2.45% | 2.62% | 3.62% | 2.25% | 2.18% | 6.71% | 2.97% | |
| tRNA | 103,451 | 161,288 | 200,294 | 569,294 | 480,975 | 553,939 | 953,794 | 1,426,872 |
| 0.70% | 0.66% | 0.67% | 3.00% | 1.83% | 2.05% | 6.06% | 3.41% | |
| snRNA | 516,999 | 838,151 | 1,071,157 | 576,299 | 868,349 | 890,657 | 421,404 | 1,220,748 |
| 3.47% | 3.42% | 3.60% | 3.04% | 3.31% | 3.30% | 2.67% | 2.92% | |
| snoRNA | 105,518 | 168,088 | 228,389 | 141,006 | 174,443 | 190,297 | 111,528 | 256,675 |
| 0.70% | 68.00% | 0.77% | 0.74% | 0.66% | 0.70% | 0.70% | 0.61% | |
| lncRNA | 258,027 | 416,896 | 519,449 | 362,527 | 530,505 | 528,963 | 231,375 | 719,402 |
| 1.73% | 1.70% | 1.74% | 1.91% | 2.02% | 1.96% | 1.47% | 1.72% | |
| repeats | 2,219,656 | 3,623,199 | 4,820,455 | 5,064,798 | 5,305,481 | 5,343,314 | 4,734,879 | 9,267,896 |
| 14.92% | 14.79% | 16.23% | 26.75% | 20.23% | 19.85% | 30% | 22.19% | |
| Maize | 397,473 | 248,193 | 774,680 | 180,091 | 98,923 | 310,478 | 47,836 | 350,678 |
| miRNAs | 2.67% | 1.01% | 2.60% | 0.95% | 0.38% | 1.15% | 0.30% | 0.84% |
| Other | 24,837 | 21,526 | 39,108 | 6498 | 5862 | 7393 | 6470 | 13,887 |
| miRNAs | 0.17% | 0.09% | 0.13% | 0.03% | 0.02% | 0.03% | 0.04% | 0.03% |
| miRNA Name | Fold Change (FC) 1 | |||
|---|---|---|---|---|
| Maize | Teosinte | |||
| Submergence | Drought | Submergence | Drought | |
| miR156k | −2.94 | −2.99 | −0.86 | 1.09 |
| miR159ab | −2.17 | 0.80 | −1.46 | 1.06 |
| miR164e | −4.24 | −1.49 | −0.29 | 1.20 |
| miR166bd | −4.39 | −3.79 | −2.77 | −1.49 |
| miR167cdeg | −2.99 | −2.48 | −1.62 | −0.33 |
| miR169cr | −3.13 | −0.95 | −1.05 | 0.11 |
| miR319b | −0.75 | 0.80 | −0.66 | 2.17 |
| miR396cd | −1.04 | −0.17 | −0.39 | 1.08 |
| miR398ab | −0.38 | −0.29 | −1.09 | 0.05 |
| miR398b | −2.83 | −0.94 | −0.69 | 0.29 |
| miR408 | −1.34 | −0.51 | −1.78 | −1.76 |
| miR408b | −2.14 | −0.89 | −2.57 | 0.17 |
| miR528ab | −1.30 | −1.65 | −2.22 | −0.57 |
| Constitutive | ||||
| miR166c | 0.00 | −0.01 | −0.21 | −0.19 |
| miRNA Name | Fold Change (FC) 1 | |||
|---|---|---|---|---|
| Submergence | Drought | Drought-Submergence | Submergence-Drought | |
| miR156k | −0.86 | 1.09 | −0.54 | 1.17 |
| miR159ab | −1.46 | 1.06 | −1.43 | 0.55 |
| miR164e | −0.29 | 1.20 | 0.06 | 1.09 |
| miR166bd | −2.77 | −1.49 | −1.95 | −0.77 |
| miR167cdeg | −1.62 | −0.33 | −1.87 | 0.71 |
| miR169cr | −1.05 | 0.11 | −1.60 | 0.11 |
| miR319b | −0.66 | 2.17 | −0.41 | 0.16 |
| miR396cd | −0.39 | 1.08 | −0.94 | 0.53 |
| miR398ab | −1.09 | 0.05 | −1.56 | −0.58 |
| miR398b | −0.69 | 0.29 | −1.92 | −0.57 |
| miR408 | −1.78 | −1.76 | −0.88 | 0.55 |
| miR408b | −2.57 | 0.17 | −0.43 | −0.87 |
| miR528ab | −2.22 | −0.57 | −3.16 | −0.99 |
| Constitutive | ||||
| miR166c | −0.21 | −0.19 | −0.27 | −0.19 |
Publisher’s Note: MDPI stays neutral with regard to jurisdictional claims in published maps and institutional affiliations. |
© 2020 by the authors. Licensee MDPI, Basel, Switzerland. This article is an open access article distributed under the terms and conditions of the Creative Commons Attribution (CC BY) license (http://creativecommons.org/licenses/by/4.0/).
Share and Cite
Sepúlveda-García, E.B.; Pulido-Barajas, J.F.; Huerta-Heredia, A.A.; Peña-Castro, J.M.; Liu, R.; Barrera-Figueroa, B.E. Differential Expression of Maize and Teosinte microRNAs under Submergence, Drought, and Alternated Stress. Plants 2020, 9, 1367. https://doi.org/10.3390/plants9101367
Sepúlveda-García EB, Pulido-Barajas JF, Huerta-Heredia AA, Peña-Castro JM, Liu R, Barrera-Figueroa BE. Differential Expression of Maize and Teosinte microRNAs under Submergence, Drought, and Alternated Stress. Plants. 2020; 9(10):1367. https://doi.org/10.3390/plants9101367
Chicago/Turabian StyleSepúlveda-García, Edgar Baldemar, José Francisco Pulido-Barajas, Ariana Arlene Huerta-Heredia, Julián Mario Peña-Castro, Renyi Liu, and Blanca Estela Barrera-Figueroa. 2020. "Differential Expression of Maize and Teosinte microRNAs under Submergence, Drought, and Alternated Stress" Plants 9, no. 10: 1367. https://doi.org/10.3390/plants9101367
APA StyleSepúlveda-García, E. B., Pulido-Barajas, J. F., Huerta-Heredia, A. A., Peña-Castro, J. M., Liu, R., & Barrera-Figueroa, B. E. (2020). Differential Expression of Maize and Teosinte microRNAs under Submergence, Drought, and Alternated Stress. Plants, 9(10), 1367. https://doi.org/10.3390/plants9101367

