Identification and Expression Analysis of Gretchen Hagen 3 (GH3) in Kiwifruit (Actinidia chinensis) During Postharvest Process
Abstract
1. Introduction
2. Results
2.1. Identification and Phylogenetic Analysis of AcGH3 Family Genes in Kiwifruit
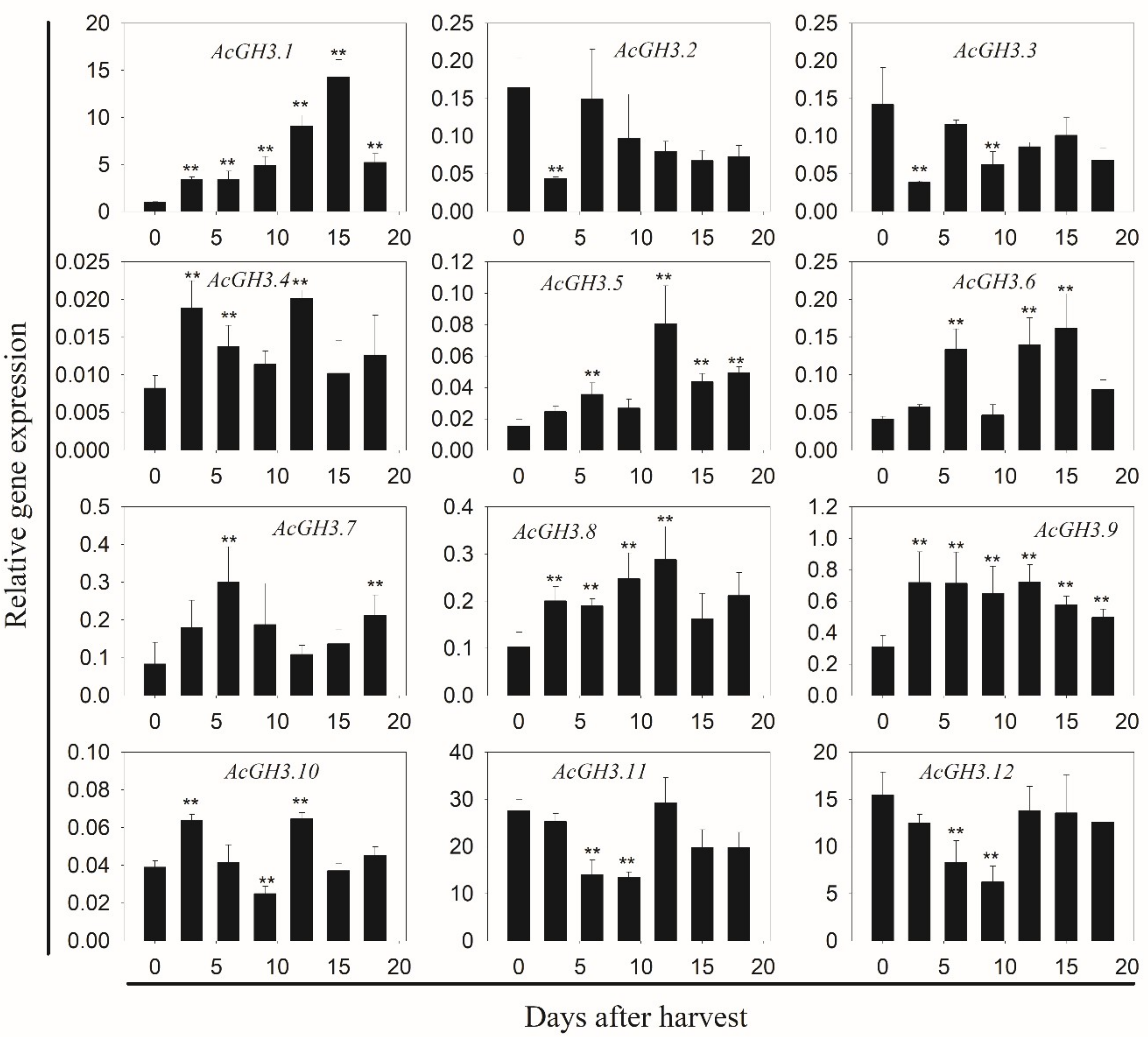
2.2. Expression Analysis of AcGH3 Gene Family
2.3. Downregulation of the AcGH3.1 Gene Alter Fruit Maturation
2.4. Analysis of Cis-Acting Elements of AcGH3.1 Gene Promoter
3. Discussion
4. Materials and Methods
4.1. Plant Materials and Treatments
4.2. Identification of the GH3 Gene from Kiwifruit Genome and Phylogenetic Analysis
4.3. RNA Extraction and qRT-PCR
4.4. AcGH3.1-Silenced Kiwifruit
4.5. Cis-Elements Analysis
4.6. Promoter Activity Assay
Supplementary Materials
Author Contributions
Funding
Conflicts of Interest
References
- Kumar, R.; Khurana, A.; Sharma, A.K. Role of plant hormones and their interplay in development and ripening of fleshy fruits. J. Exp. Bot. 2014, 65, 4561–4575. [Google Scholar] [CrossRef] [PubMed]
- Chen, K.; Fang, L.; Zhang, S.; Sross, G. Role of abscisic acid and indole-3-acetic acid in kiwifruit ripening. Acta Hortic. Sin. 1999, 26, 81–86. [Google Scholar]
- Delker, C.; Raschke, A.; Quint, M. Auxin dynamics: The dazzling complexity of a small molecule’s message. Planta 2008, 227, 929–941. [Google Scholar] [CrossRef] [PubMed]
- Woodward, A.W.; Bartel, B. Auxin: Regulation, action, and interaction. Ann. Bot. 2005, 95, 707–735. [Google Scholar] [CrossRef]
- Staswick, P.E.; Serban, B.; Rowe, M.; Tiryaki, I.; Maldonado, M.T.; Maldonado, M.C.; Suza, W. Characterization of an Arabidopsis enzyme family that conjugates amino acids to indole-3-acetic acid. Plant Cell 2005, 17, 616–627. [Google Scholar] [CrossRef]
- Boettcher, C.; Boss, P.K.; Davies, C. Acyl substrate preferences of an IAA-amido synthetase account for variations in grape (Vitis vinifera L.) berry ripening caused by different auxinic compounds indicating the importance of auxin conjugation in plant development. J. Exp. Bot. 2011, 62, 4267–4280. [Google Scholar] [CrossRef]
- Yue, P.; Wang, Y.; Bu, H.; Li, X.; Yuan, H.; Wang, A. Ethylene promotes IAA reduction through PuERFs-activated PuGH3.1 during fruit ripening in pear (Pyrus ussuriensis). Postharvest Biol. Technol. 2019, 157, 110955. [Google Scholar] [CrossRef]
- Hagen, G.; Kleinschmidt, A.; Guilfoyle, T. Auxin-regulated gene-expression in intact soybean hypocotyl and excised hypocotyl sections. Planta 1984, 162, 147–153. [Google Scholar] [CrossRef]
- Domingo, C.; Andres, F.; Tharreau, D.; Iglesias, D.J.; Talon, M. Constitutive expression of OsGH3.1 reduces auxin content and enhances defense response and resistance to a fungal pathogen in rice. Mol. Plant 2009, 22, 201–210. [Google Scholar]
- Ludwig-Mueller, J. Auxin conjugates: Their role for plant development and in the evolution of land plants. J. Exp. Bot. 2011, 62, 1757–1773. [Google Scholar] [CrossRef]
- Staswick, P. Plant hormone conjugation. Plant Signal. Behav. 2009, 4, 757–759. [Google Scholar] [CrossRef] [PubMed]
- Okrent, R.A.; Wildermuth, M.C. Evolutionary history of the GH3 family of acyl adenylases in rosids. Plant Mol. Biol. 2011, 76, 489–505. [Google Scholar] [CrossRef] [PubMed]
- Terol, J.; Domingo, C.; Talon, M. The GH3 family in plants: Genome wide analysis in rice and evolutionary history based on EST analysis. Gene 2006, 371, 279–290. [Google Scholar] [CrossRef] [PubMed]
- Wang, S.; Bai, Y.; Shen, C.; Wu, Y.; Zhang, S.; Jiang, D.; Guilfoyle, T.J.; Chen, M.; Qi, Y. Auxin-related gene families in abiotic stress response in Sorghum bicolor. Funct. Integr. Genomics 2010, 10, 533–546. [Google Scholar] [CrossRef] [PubMed]
- Boettcher, C.; Keyzers, R.A.; Boss, P.K.; Davies, C. Sequestration of auxin by the indole-3-acetic acid-amido synthetase GH3-1 in grape berry (Vitis vinifera L.) and the proposed role of auxin conjugation during ripening. J. Exp. Bot. 2010, 61, 3615–3625. [Google Scholar] [CrossRef] [PubMed]
- Kuang, J.; Zhang, Y.; Chen, J.; Chen, Q.; Jiang, Y.; Lin, H.; Xu, S.; Lu, W. Two GH3 genes from longan are differentially regulated during fruit growth and development. Gene 2011, 485, 1–6. [Google Scholar] [CrossRef] [PubMed]
- Liu, K.D.; Kang, B.C.; Jiang, H.; Moore, S.L.; Li, H.X.; Watkins, C.B.; Setter, T.L.; Jahn, M.M. A GH3-like gene, CcGH3, isolated from Capsicum chinense L. fruit is regulated by auxin and ethylene. Plant Mol. Biol. 2005, 58, 447–464. [Google Scholar] [CrossRef]
- Kumar, R.; Agarwal, P.; Tyagi, A.K.; Sharma, A.K. Genome-wide investigation and expression analysis suggest diverse roles of auxin-responsive GH3 genes during development and response to different stimuli in tomato (Solanum lycopersicum). Mol. Genet. Genomics 2012, 287, 221–235. [Google Scholar] [CrossRef]
- Panu, A.; Manohar, J.; Konstantin, A.; Delphine, B.; Gabor, C.; Edouard, d.C.; Séverine, D.; Volker, F.; Arnaud, F.; Elisabeth, G.; et al. ExPASy: SIB bioinformatics resource portal. Nucleic Acids Res. 2012, 40, E597–W603. [Google Scholar]
- Jain, M.; Kaur, N.; Tyagi, A.K.; Khurana, J.P. The auxin-responsive GH3 gene family in rice (Oryza sativa). Funct. Integr. Genomics 2006, 6, 36–46. [Google Scholar] [CrossRef]
- Liu, K.; Wang, J.; Li, H.; Zhong, J.; Feng, S.; Pan, Y.; Yuan, C. Identification, expression and iaa-amide synthetase activity analysis of Gretchen Hagen 3 in Papaya fruit (Carica papaya L.) during postharvest process. Front. Plant Sci. 2016, 7, 1555. [Google Scholar] [CrossRef] [PubMed]
- Xie, R.; Pang, S.; Ma, Y.; Deng, L.; He, S.; Yi, S.; Lv, Q.; Zheng, Y. The ARF, AUX/IAA and GH3 gene families in citrus: Genome-wide identification and expression analysis during fruitlet drop from abscission zone A. Mol. Genet. Genomics 2015, 290, 2089–2105. [Google Scholar] [CrossRef] [PubMed]
- Rahul, K.; Tyagi, A.K.; Sharma, A.K. Genome-wide analysis of auxin response factor (ARF) gene family from tomato and analysis of their role in flower and fruit development. Mol. Genet. Genomics 2011, 285, 245–260. [Google Scholar]
- Khan, S.; Stone, J.M. Arabidopsis thaliana GH3.9 in auxin and jasmonate cross talk. Plant Signal. Behav. 2007, 2, 483–485. [Google Scholar] [CrossRef] [PubMed]
- Tomoyuki, T.; Miki, N.; Akie, I.; Katsushi, M.; Minami, M. DFL2, a new member of the Arabidopsis GH3 gene family, is involved in red light-specific hypocotyl elongation. Plant Cell Physiol. 2003, 44, 1071–1080. [Google Scholar]
- Nakazawa, M.; Yabe, N.; Ichikawa, T.; Yamamoto, Y.Y.; Yoshizumi, T.; Hasunuma, K.; Matsui, M. DFL1, an auxin-responsive GH3 gene homologue, negatively regulates shoot cell elongation and lateral root formation, and positively regulates the light response of hypocotyl length. Plant J. 2001, 25, 213–221. [Google Scholar] [CrossRef]
- Tomoyuki, T.; Miki, N.; Akie, I.; Mika, K.; Takanari, I.; Naoki, T.; Hiroaki, S.; Katsushi, M.; Minami, M. ydk1-D, an auxin-responsive GH3 mutant that is involved in hypocotyl and root elongation. Plant J. 2010, 37, 471–483. [Google Scholar]
- Ding, X.; Cao, Y.; Huang, L.; Zhao, J.; Xu, C.; Li, X.; Wang, S. Activation of the indole-3-acetic acid-amido synthetase GH3-8 suppresses expansin expression and promotes salicylate- and jasmonate-independent basal immunity in rice. Plant Cell 2008, 20, 228–240. [Google Scholar] [CrossRef]
- Zhang, S.; Li, C.; Cao, J.; Zhang, Y.; Zhang, S.; Xia, Y.; Sun, D.; Sun, Y. Altered architecture and enhanced drought tolerance in rice via the down-regulation of indole-3-acetic acid by TLD1/OsGH3.13 activation. Plant Physiol. 2009, 151, 1889–1901. [Google Scholar] [CrossRef]
- Wang, R.; Li, M.; Wu, X.; Wang, J. The Gene Structure and Expression Level Changes of the GH3 Gene Family in Brassica napus Relative to Its Diploid Ancestors. Genes 2019, 10, 58. [Google Scholar] [CrossRef]
- Deytieux-Belleau, C.; Gagne, S.; L’Hyvernay, A.; Doneche, B.; Geny, L. Possible roles of both abscisic acid and indol-acetic acid in controlling grape berry ripening process. J. Int. Sci. Vigne Vin 2007, 41, 141–148. [Google Scholar] [CrossRef]
- Zhang, X.R.; Luo, G.G.; Wang, R.H.; Wang, J.; Himelrick, D.G. Growth and developmental responses of seeded and seedless grape berries to shoot girdling. J. Am. Soc. Hortic. Sci. 2003, 128, 316–323. [Google Scholar] [CrossRef]
- Zeng, W.; Pan, L.; Niu, L.; Lu, Z.; Cui, G.; Wang, Z. Bioinformatics Analysis and Expression of the Nectarine Indole-3-aceticacid- amido Synthase(GH3)Gene Family During Fruit Development. Acta Hortic. Sin. 2015, 42, 833–842. [Google Scholar]
- Jagadeeswaran, G.; Raina, S.; Acharya, B.R.; Maqbool, S.B.; Mosher, S.L.; Appel, H.M.; Schultz, J.C.; Klessig, D.F.; Raina, R. Arabidopsis GH3-LIKE DEFENSE GENE 1 is required for accumulation of salicylic acid, activation of defense responses and resistance to pseudomonas syringae. Plant J. 2007, 51, 234–246. [Google Scholar] [CrossRef]
- Zhang, Z.; Qun, L.; Zhimiao, L.; Staswick, P.E.; Muyang, W.; Ying, Z.; Zuhua, H. Dual regulation role of GH3.5 in salicylic acid and auxin signaling during Arabidopsis-pseudomonas syringae interaction. Plant Physiol. 2007, 145, 450–464. [Google Scholar] [CrossRef]
- Ulmasov, T.; Liu, Z.B.; Hagen, G.; Guilfoyle, T.J. Composite structure of auxin response elements. Plant Cell 1995, 7, 1611–1623. [Google Scholar]
- Nobuta, K.; Okrent, R.A.; Stoutemyer, M.; Rodibaugh, N.; Kempema, L.; Wildermuth, M.C.; Innes, R.W. The GH3 acyl adenylase family member PBS3 regulates salicylic acid-dependent defense responses in Arabidopsis. Plant Physiol. 2007, 144, 1144–1156. [Google Scholar] [CrossRef]
- Park, J.E.; Park, J.Y.; Kim, Y.S.; Staswick, P.E.; Jeon, J.; Yun, J.; Kim, S.Y.; Kim, J.; Lee, Y.H.; Park, C.M. GH3-mediated auxin homeostasis links growth regulation with stress adaptation response in Arabidopsis. J. Biol. Chem. 2007, 282, 10036–10046. [Google Scholar] [CrossRef]
- Minglin, L.; Zhang, Y.X.; Chai, T.Y. Identification of genes up-regulated in response to Cd exposure, in Brassica juncea L. Gene 2005, 363, 151–158. [Google Scholar] [CrossRef]
- Heinekamp, T.; Strathmann, A.; Kuhlmann, M.; Froissard, M.; Muller, A.; Perrot-Rechenmann, C.; Droge-Laser, W. The tobacco bZIP transcription factor BZI-1 binds the GH3 promoter in vivo and modulates auxin-induced transcription. Plant J. 2004, 38, 298–309. [Google Scholar] [CrossRef]
- Seo, P.J.; Park, C. Auxin homeostasis during lateral root development under drought condition. Plant Signal. Behav. 2009, 4, 1002–1004. [Google Scholar] [CrossRef] [PubMed]
- Tian, C.; Muto, H.; Higuchi, K.; Matamura, T.; Tatematsu, K.; Koshiba, T.; Yamamoto, K.T. Disruption and overexpression of auxin response factor 8 gene of Arabidopsis affect hypocotyl elongation and root growth habit, indicating its possible involvement in auxin homeostasis in light condition. Plant J. 2004, 40, 333–343. [Google Scholar] [CrossRef] [PubMed]
- Li, T.; Jiang, Z.; Zhang, L.; Tan, D.; Wei, Y.; Yuan, H.; Li, T.; Wang, A. Apple (Malus domestica) MdERF2 negatively affects ethylene biosynthesis during fruit ripening by suppressing MdACS1 transcription. Plant J. 2016, 88, 735–748. [Google Scholar] [CrossRef] [PubMed]
- Mou, W.; Li, D.; Luo, Z.; Li, L.; Mao, L.; Ying, T. SlAREB1 transcriptional activation of NOR is involved in abscisic acid-modulated ethylene biosynthesis during tomato fruit ripening. Plant Sci. 2018, 276, 239–249. [Google Scholar] [CrossRef] [PubMed]
- Sagar, M.; Chervin, C.; Mila, I.; Hao, Y.; Roustan, J.; Benichou, M.; Gibon, Y.; Biais, B.; Maury, P.; Latche, A.; et al. SlARF4, an Auxin Response Factor Involved in the Control of Sugar Metabolism during Tomato Fruit Development. Plant Physiol. 2013, 161, 1362–1374. [Google Scholar] [CrossRef]
- Zhang, Y.; Chen, K.S.; Zhang, S.L.; Ferguson, I. The role of salicylic acid in postharvest ripening of kiwifruit. Postharvest Biol. Technol. 2003, 28, 67–74. [Google Scholar] [CrossRef]
- Kumar, S.; Stecher, G.; Tamura, K. MEGA7: Molecular evolutionary genetics analysis version 7.0 for bigger datasets. Mol. Biol. Evol. 2016, 33, 1870–1874. [Google Scholar] [CrossRef]
- Xia, Y.; Chen, T.; Qin, G.; Li, B.; Tian, S. Synergistic action of antioxidative systems contributes to the alleviation of senescence in kiwifruit. Postharvest Biol. Technol. 2016, 111, 15–24. [Google Scholar] [CrossRef]
- Lescot, M.; Déhais, P.; Thijs, G.; Marchal, K.; Moreau, Y.; Van de Peer, Y.; Rouzé, P.; Rombauts, S. PlantCARE, a database of plant cis-acting regulatory elements and a portal to tools for in silico analysis of promoter sequences. Nucleic Acids Res. 2002, 30, 325–327. [Google Scholar] [CrossRef]
- Jefferson, R.A.; Kavanagh, T.A.; Bevan, M.W. GUS fusions—Beta-glucuronidase as a sensitive and versatile gene fusion marker in higher-plants. EMBO J. 1987, 6, 3901–3907. [Google Scholar] [CrossRef]





| Gene a | ID | ORF Length (bp) | Chr b | Position b | Strand | Deduced Polypeptide c (kDa) | ||
|---|---|---|---|---|---|---|---|---|
| AA | MW | Pi | ||||||
| AcGH3.1 | Achn117881 | 1437 | 27 | 6,340,994–6,342,430 | + | 478 | 54.29 | 5.48 |
| AcGH3.2 | Achn240911 | 1527 | 7 | 2,318,980–2,321,424 | + | 508 | 56.91 | 8.53 |
| AcGH3.3 | Achn261851 | 1500 | 10 | 3,736,109–3,738,789 | − | 499 | 56.03 | 7.50 |
| AcGH3.4 | Achn012711 | 1527 | 9 | 2,415,851–2,418,681 | − | 508 | 57.30 | 5.28 |
| AcGH3.5 | Achn333181 | 2163 | 23 | 7,342,673–7,356,855 | + | 720 | 81.26 | 5.71 |
| AcGH3.6 | Achn176981 | 1863 | 17 | 3,869,893-3,871,972 | − | 620 | 69.52 | 6.62 |
| AcGH3.7 | Achn379371 | 1728 | Unknow | 99,724,717–99,726,790 | + | 575 | 64.92 | 6.76 |
| AcGH3.8 | Achn169831 | 1812 | 6 | 131,509–134,022 | + | 603 | 68.24 | 5.34 |
| AcGH3.9 | Achn357511 | 1647 | 28 | 1,764,301–1,768,366 | + | 548 | 61.83 | 5.50 |
| AcGH3.10 | Achn042951 | 1584 | 23 | 12,408,214–12,411,765 | + | 527 | 59.88 | 5.38 |
| AcGH3.11 | Achn275921 | 1731 | 11 | 16,628,138–16,631,890 | + | 576 | 64.91 | 5.93 |
| AcGH3.12 | Achn283101 | 1743 | 8 | 7,649,263–7,652,985 | – | 580 | 65.40 | 5.50 |
| Protein | AcGH3.1 | AcGH3.2 | AcGH3.3 | AcGH3.4 | AcGH3.5 | AcGH3.6 | AcGH3.7 | AcGH3.8 | AcGH3.9 | AcGH3.10 | AcGH3.11 | AcGH3.12 |
|---|---|---|---|---|---|---|---|---|---|---|---|---|
| AcGH3.1 | 100 | |||||||||||
| AcGH3.2 | 52.8 | 100 | ||||||||||
| AcGH3.3 | 52.1 | 93.5 | 100 | |||||||||
| AcGH3.4 | 54.7 | 62.7 | 62.1 | 100 | ||||||||
| AcGH3.5 | 39.3 | 46.5 | 46.5 | 41.3 | 100 | |||||||
| AcGH3.6 | 49.9 | 56.5 | 56.1 | 51.3 | 63.5 | 100 | ||||||
| AcGH3.7 | 49.4 | 69.8 | 59.3 | 52.6 | 64.3 | 90.2 | 100 | |||||
| AcGH3.8 | 42.8 | 41.4 | 41.0 | 41.4 | 42.1 | 52.1 | 50.6 | 100 | ||||
| AcGH3.9 | 47.1 | 38.0 | 40.3 | 39.6 | 35.9 | 48.3 | 44.9 | 50.7 | 100 | |||
| AcGH3.10 | 21.2 | 20.5 | 20.5 | 21.3 | 23.9 | 27.2 | 26.3 | 27.8 | 25.7 | 100 | ||
| AcGH3.11 | 31.3 | 30.3 | 31.0 | 32.3 | 29.0 | 36.3 | 35.3 | 36.7 | 34.5 | 43.9 | 100 | |
| AcGH3.12 | 30.9 | 30.1 | 30.6 | 31.7 | 28.5 | 35.6 | 34.0 | 36.9 | 34.7 | 45.1 | 93.2 | 100 |
| Cis-Element | Sequence | Function of Site | Copies |
|---|---|---|---|
| ABRE | ACGTG | Abscisic acid-responsive element | 3 |
| G-Box | CACGTT | Light-responsive element | 3 |
| ERE | ATTTTAAA | ERF (ethylene response factor) binding site | 4 |
| TCA-element | CCATCTTTTT | Salicylic acid-responsive element | 1 |
| TGA-element | AACGAC | Auxin-responsive element | 1 |
| MBS 1 | CAACTG | Drought-inducibility | 1 |
© 2019 by the authors. Licensee MDPI, Basel, Switzerland. This article is an open access article distributed under the terms and conditions of the Creative Commons Attribution (CC BY) license (http://creativecommons.org/licenses/by/4.0/).
Share and Cite
Gan, Z.; Fei, L.; Shan, N.; Fu, Y.; Chen, J. Identification and Expression Analysis of Gretchen Hagen 3 (GH3) in Kiwifruit (Actinidia chinensis) During Postharvest Process. Plants 2019, 8, 473. https://doi.org/10.3390/plants8110473
Gan Z, Fei L, Shan N, Fu Y, Chen J. Identification and Expression Analysis of Gretchen Hagen 3 (GH3) in Kiwifruit (Actinidia chinensis) During Postharvest Process. Plants. 2019; 8(11):473. https://doi.org/10.3390/plants8110473
Chicago/Turabian StyleGan, Zengyu, Liuying Fei, Nan Shan, Yongqi Fu, and Jinyin Chen. 2019. "Identification and Expression Analysis of Gretchen Hagen 3 (GH3) in Kiwifruit (Actinidia chinensis) During Postharvest Process" Plants 8, no. 11: 473. https://doi.org/10.3390/plants8110473
APA StyleGan, Z., Fei, L., Shan, N., Fu, Y., & Chen, J. (2019). Identification and Expression Analysis of Gretchen Hagen 3 (GH3) in Kiwifruit (Actinidia chinensis) During Postharvest Process. Plants, 8(11), 473. https://doi.org/10.3390/plants8110473

