Effects of Nitrogen Application Rate on Nitrogen Uptake and Utilization in Waxy Sorghum Under Waxy Sorghum–Soybean Intercropping Systems
Abstract
1. Introduction
2. Materials and Methods
2.1. Experimental Site and Materials
2.2. Experimental Design and Crop Management
2.3. Measurements and Calculations
2.3.1. Measurements of Dry Matter Accumulation
2.3.2. Determinations of Nitrogen Accumulation and Transportation
2.3.3. Measurements of Nitrogen Metabolism Physiology
2.3.4. Determinations of Yield, Yield Components, and Land Equivalent Ratio (LER)
2.3.5. Calculations of Nitrogen Use Efficiency
2.4. Statistical Analysis
3. Results
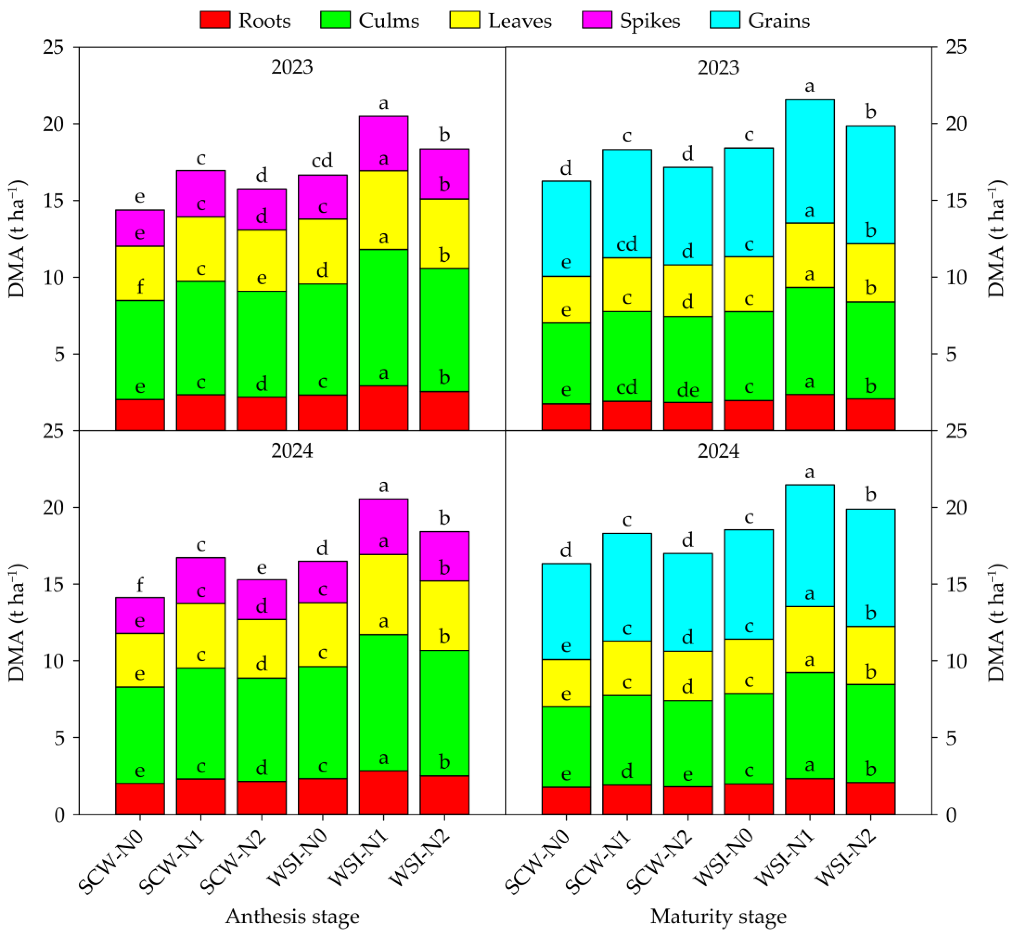
3.1. DMA
3.2. Nitrogen Accumulation and Transportation
3.3. Nitrogen Metabolism Physiology
3.4. Yield, Yield Components, and LER
3.5. Nitrogen Use Efficiency
3.6. PLS-PM Analysis
4. Discussion
5. Conclusions
Supplementary Materials
Author Contributions
Funding
Data Availability Statement
Conflicts of Interest
References
- Cowden, R.J.; Shah, A.N.; Lehmann, L.M.; Kiær, L.P.; Henriksen, C.B.; Ghaley, B.B. Nitrogen fertilizer effects on pea-barley intercrop productivity compared to sole crops in Denmark. Sustainability 2020, 12, 9335. [Google Scholar] [CrossRef]
- Yahaya, S.M.; Mahmud, A.A.; Abdullahi, M.; Haruna, A. Recent advances in the chemistry of nitrogen, phosphorus and potassium as fertilizers in soil: A review. Pedosphere 2023, 33, 385–406. [Google Scholar] [CrossRef]
- Anas, M.; Liao, F.; Verma, K.K.; Sarwar, M.A.; Mahmood, A.; Chen, Z.L.; Li, Q.; Zeng, X.P.; Liu, Y.; Li, Y.R. Fate of nitrogen in agriculture and environment: Agronomic, eco-physiological and molecular approaches to improve nitrogen use efficiency. Bilo. Res. 2020, 53, 47. [Google Scholar] [CrossRef] [PubMed]
- Ostmeyer, T.J.; Bahuguna, R.N.; Kirkham, M.B.; Bean, S.; Jagadish, S.V.K. Enhancing sorghum yield through efficient use of nitrogen—Challenges and opportunities. Front. Plant Sci. 2022, 13, 845443. [Google Scholar] [CrossRef] [PubMed]
- Ashraf, M.; Shahzad, S.M.; Imtiaz, M.; Rizwan, M.S. Salinity effects on nitrogen metabolism in plants—Focusing on the activities of nitrogen metabolizing enzymes: A review. J. Plant Nutr. 2018, 41, 1065–1081. [Google Scholar] [CrossRef]
- Tegeder, M.; Masclaux-Daubresse, C. Source and sink mechanisms of nitrogen transport and use. New Phytol. 2018, 217, 35–53. [Google Scholar] [CrossRef]
- Grzyb, A.; Wolna-Maruwka, A.; Niewiadomska, A. The significance of microbial transformation of nitrogen compounds in the light of integrated crop management. Agronomy 2021, 11, 1415. [Google Scholar] [CrossRef]
- Masclaux-Daubresse, C.; Daniel-Vedele, F.; Dechorgnat, J.; Chardon, F.; Gaufichon, L.; Suzuki, A. Nitrogen uptake, assimilation and remobilization in plants: Challenges for sustainable and productive agriculture. Ann. Bot. 2010, 105, 1141–1157. [Google Scholar] [CrossRef]
- Wijerathna-Yapa, A.; Pathirana, R. Sustainable agro-food systems for addressing climate change and food security. Agriculture 2022, 12, 1554. [Google Scholar] [CrossRef]
- Crews, T.E.; Peoples, M.B. Legume versus fertilizer sources of nitrogen: Ecological tradeoffs and human needs. Agric. Ecosyst. Environ. 2004, 102, 279–297. [Google Scholar] [CrossRef]
- Ghafoor, I.; Habib-ur-Rahman, M.; Ali, M.; Afzal, M.; Ahmed, W.; Gaiser, T.; Ghaffar, A. Slow-release nitrogen fertilizers enhance growth, yield, NUE in wheat crop and reduce nitrogen losses under an arid environment. Environ. Sci. Pollut. Res. 2021, 28, 43528–43543. [Google Scholar] [CrossRef] [PubMed]
- Nasar, J.; Wang, G.Y.; Ahmad, S.; Muhammad, I.; Zeeshan, M.; Gitari, H.; Adnan, M.; Fahad, S.; Khalid, M.H.B.; Zhou, X.B.; et al. Nitrogen fertilization coupled with iron foliar application improves the photosynthetic characteristics, photosynthetic nitrogen use efficiency, and the related enzymes of maize crops under different planting patterns. Front. Plant Sci. 2022, 13, 988055. [Google Scholar] [CrossRef] [PubMed]
- Mehrabi, F.; Sepaskhah, A.R.; Ahmadi, S.H. Winter wheat root distribution with irrigation, planting methods, and nitrogen application. Nutr. Cycl. Agroecosyst. 2021, 119, 231–245. [Google Scholar] [CrossRef]
- Kim, G.W.; Lim, J.Y.; Bhuiyan, M.S.I.; Das, S.; Khan, M.I.; Kim, P.J. Investigating the arable land that is the main contributor to global warming between paddy and upland vegetable crops under excessive nitrogen fertilization. J. Clean. Prod. 2022, 346, 131197. [Google Scholar] [CrossRef]
- Govindasamy, P.; Muthusamy, S.K.; Bagavathiannan, M.; Mowrer, J.; Jagannadham, P.T.K.; Maity, A.; Halli, H.M.; Sujayananad, G.K.; Vadivel, R.; Das, D.K.; et al. Nitrogen use efficiency—A key to enhance crop productivity under a changing climate. Front. Plant Sci. 2023, 14, 1121073. [Google Scholar] [CrossRef]
- Azam, M.F.; Bayar, J.; Iqbal, B.; Ahmad, U.; Okla, M.K.; Ali, N.; Alaraidh, I.A.; AbdElgawad, H.; Jalal, A. Planting pattern and nitrogen management strategies: Positive effect on yield and quality attributes of Triticum aestivum L. crop. BMC Plant Biol. 2024, 24, 845. [Google Scholar] [CrossRef]
- Adebayo, A.K.; Anjorin, F.B.; Olanipekun, S.O.; Aluko, O.A.; Adewumi, A.D. Performances of maize grown as intercrop with cowpea under different planting patterns. J. Appl. Sci. Environ. Manag. 2024, 28, 2033–2040. [Google Scholar] [CrossRef]
- Nasar, J.; Ahmad, M.; Gitari, H.; Tang, L.; Chen, Y.; Zhou, X.B. Maize/soybean intercropping increases nutrient uptake, crop yield and modifies soil physio-chemical characteristics and enzymatic activities in the subtropical humid region based in Southwest China. BMC Plant Biol. 2024, 24, 434. [Google Scholar] [CrossRef]
- Nurgi, N.; Tana, T.; Dechassa, N.; Tesso, B.; Alemayehu, Y. Effect of spatial arrangement of faba bean variety intercropping with maize on yield and yield components of the crops. Heliyon 2023, 9, e16751. [Google Scholar] [CrossRef]
- Kebede, E. Contribution, utilization, and improvement of legumes-driven biological nitrogen fixation in agricultural systems. Front. Sustain. Food Syst. 2021, 5, 767998. [Google Scholar] [CrossRef]
- Landschoot, S.; Claeys, V.; Wambacq, E.; Dewitte, K.; Haesaert, G.; Latré, J. Cereal-legume intercropping: Which partners are preferred in Northwestern Europe? Agronomy 2024, 14, 1551. [Google Scholar] [CrossRef]
- Suárez, J.C.; Anzola, J.A.; Contreras, A.T.; Salas, D.L.; Vanegas, J.I.; Urban, M.O.; Beebe, S.E.; Rao, I.M. Photosynthetic and grain yield responses to intercropping of two common bean lines with maize under two types of fertilizer applications in the colombian amazon region. Sci. Hortic. 2022, 301, 111108. [Google Scholar] [CrossRef]
- Bouras, F.Z.; Hadjout, S.; Haddad, B.; Malek, A.; Aitmoumene, S.; Gueboub, F.; Metrah, L.; Zemmouri, B.; Kherif, O.; Rebouh, N.Y.; et al. The effect of nitrogen supply on water and nitrogen use efficiency by wheat-chickpea intercropping system under rain-fed mediterranean conditions. Agriculture 2023, 13, 338. [Google Scholar] [CrossRef]
- Mariotti, M.; Masoni, A.; Ercoli, L.; Arduini, I. Nitrogen leaching and residual effect of barley/field bean intercropping. Plant Soil Environ. 2015, 61, 60–65. [Google Scholar] [CrossRef]
- Raseduzzaman, M.; Dong, W.X.; Gaudel, G.; Aluoch, S.O.; Timilsina, A.; Li, X.X.; Hu, C.S. Maize-soybean intercropping reduces greenhouse gas emissions from the fertilized soil in the North China Plain. J. Soils Sediments 2024, 24, 3115–3131. [Google Scholar] [CrossRef]
- Shao, Z.Q.; Zheng, C.C.; Postma, J.A.; Lu, W.L.; Gao, Q.; Gao, Y.Z.; Zhang, J.J. Nitrogen acquisition, fixation and transfer in maize/alfalfa intercrops are increased through root contact and morphological responses to interspecies competition. J. Integr. Agric. 2021, 20, 2240–2254. [Google Scholar] [CrossRef]
- Salinas-Roco, S.; Morales-González, A.; Espinoza, S.; Pérez-Díaz, R.; Carrasco, B.; del Pozo, A.; Cabeza, R.A. N2 fixation, N transfer, and land equivalent ratio (LER) in grain legume-wheat intercropping: Impact of N supply and plant density. Plants 2024, 13, 991. [Google Scholar] [CrossRef]
- Liu, C.J.; Gong, X.W.; Zhao, G.; Htet, M.N.S.; Jia, Z.Y.; Yan, Z.K.; Liu, L.L.; Zhai, Q.H.; Huang, T.; Deng, X.P.; et al. Liquor flavour is associated with the physicochemical property and microbial diversity of fermented grains in waxy and non-waxy sorghum (Sorghum bicolor) during fermentation. Front. Microbiol. 2021, 21, 618458. [Google Scholar] [CrossRef]
- Wang, C.; Zhou, L.B.; Zhang, G.B.; Gao, J.; Peng, F.L.; Zhang, C.L.; Xu, Y.; Zhang, L.Y.; Shao, M.B. Responses of photosynthetic characteristics and dry matter formation in waxy sorghum to row ratio configurations in waxy sorghum-soybean intercropping systems. Field Crops Res. 2021, 263, 108077. [Google Scholar] [CrossRef]
- Wang, C.; Zhou, L.B.; Gao, J.; Zhang, G.B.; Peng, F.L.; Zhang, C.L.; Zhao, Q.; Peng, Q.; Shao, M.B. Changes in nutrient accumulation and transportation of waxy sorghum in waxy sorghum-soybean intercropping systems under different row ratio configurations. Front. Plant Sci. 2022, 13, 921860. [Google Scholar] [CrossRef]
- Shao, M.B.; Wang, C.; Zhou, L.B.; Peng, F.L.; Zhang, G.B.; Gao, J.; Chen, S.Y.; Zhao, Q. Rhizosphere soil properties of waxy sorghum under different row ratio configurations in waxy sorghum-soybean intercropping systems. PLoS ONE 2023, 18, e0288076. [Google Scholar] [CrossRef] [PubMed]
- Antille, D.L.; Moody, P.W. Nitrogen use efficiency indicators for the Australian cotton, grains, sugar, dairy and horticulture industries. Environ. Sustain. Ind. 2021, 10, 100099. [Google Scholar] [CrossRef]
- Coêlho, E.d.S.; Souza, A.R.E.d.; Lins, H.A.; Santos, M.G.d.; Freitas Souza, M.d.; Tartaglia, F.d.L.; de Oliveira, A.K.S.; Lopes, W.d.A.R.; Silveira, L.M.; Mendonça, V.; et al. Efficiency of nitrogen use in sunflower. Plants 2022, 11, 2390. [Google Scholar] [CrossRef]
- Zheng, Y.T.; Chen, H.; Yang, G.T.; Wang, R.D.; Farhan, H.; Li, C.; Liang, C.; Shen, K.Q.; Wang, X.C.; Hu, Y.G. Combined effect of nitrogen and phosphorous fertiliser on nitrogen absorption and utilisation in rice. Plant Soil Environ. 2023, 69, 25–37. [Google Scholar] [CrossRef]
- The, S.V.; Snyder, R.; Tegeder, M. Targeting nitrogen metabolism and transport processes to improve plant nitrogen use efficiency. Front. Plant Sci. 2021, 11, 628366. [Google Scholar] [CrossRef]
- Hauggaard-Nielsen, H.; Gooding, M.; Ambus, P.; Corre-Hellou, G.; Crozat, Y.; Dahlmann, C.; Dibet, A.; von Fragstein, P.; Pristeri, A.; Monti, M.; et al. Pea-barley intercropping for efficient symbiotic N2-fixation, soil N acquisition and use of other nutrients in European organic cropping systems. Field Crops Res. 2009, 113, 64–71. [Google Scholar] [CrossRef]
- Ramirez-Garcia, J.; Martens, H.J.; Quemada, M.; Thorup-Kristensen, K. Intercropping effect on root growth and nitrogen uptake at different nitrogen levels. J. Plant Ecol. 2015, 8, 380–389. [Google Scholar] [CrossRef]
- Nasar, J.; Shao, Z.Q.; Arshad, A.; Gbolayori, J.F.; Liu, S.R.; Li, C.L.; Khan, M.Z.; Khan, T.; Banda, J.S.K.; Zhou, X.; et al. The effect of maize-alfalfa intercropping on the physiological characteristics, nitrogen uptake and yield of maize. Plant Biol. 2020, 6, 1140–1149. [Google Scholar] [CrossRef] [PubMed]
- Ahmed, A.; Aftab, S.; Hussain, S.; Cheema, H.N.; Liu, W.G.; Yang, F.; Yang, W.Y. Nutrient accumulation and distribution assessment in response to potassium application under maize-soybean intercropping system. Agronomy 2020, 10, 725. [Google Scholar] [CrossRef]
- Wang, C.; Peng, F.L.; Chen, S.Y.; Zhao, Q.; Gao, J.; Zhang, G.B.; Zhou, L.B.; Shao, M.B. Nitrogen fertilizer fate and plant nitrogen uptake characteristics in waxy sorghum-soybean intercropping system. Field Crops Res. 2025, 326, 109862. [Google Scholar] [CrossRef]
- Abunyewa, A.A.; Ferguson, R.B.; Wortmann, C.S.; Mason, S.C. Grain sorghum nitrogen use as affected by planting practice and nitrogen rate. J. Soil Sci. Plant Nutr. 2017, 17, 155–166. [Google Scholar] [CrossRef]
- Nasar, J.; Zhao, C.J.; Khan, R.; Gul, H.; Gitari, H.; Shao, Z.Q.; Abbas, G.; Haider, I.; Iqbal, Z.; Ahmed, W.; et al. Maize-soybean intercropping at optimal N fertilization increases the N uptake, N yield and N use efficiency of maize crop by regulating the N assimilatory enzymes. Front. Plant Sci. 2023, 13, 1077948. [Google Scholar] [CrossRef]
- Suryapani, S.; Umar, S.; Malik, A.A.; Ahmad, A. Symbiotic nitrogen fixation by lentil improves biochemical characteristics and yield of intercropped wheat under low fertilizer input. J. Crop Improv. 2013, 27, 53–66. [Google Scholar] [CrossRef]
- Liu, Z.Y.; Zhu, Y.A.; Dong, Y.; Tang, L.; Zheng, Y.; Xiao, J.X. Interspecies interaction for nitrogen use efficiency via up-regulated glutamine and glutamate synthase under wheat-faba bean intercropping. Field Crops Res. 2021, 274, 108324. [Google Scholar] [CrossRef]
- Dang, K.; Gong, X.W.; Chen, G.H.; Zhao, G.; Liu, L.; Wang, H.L.; Yang, P.; Feng, B.L. Nitrogen accumulation, metabolism, and yield of proso millet in proso millet-mung bean intercropping systems. Acta Agron. Sin. 2019, 45, 1880–1890. (In Chinese) [Google Scholar]
- Rehman, M.; Yang, M.; Fahad, S.; Saleem, M.H.; Liu, L.J.; Liu, F.H.; Deng, G. Morpho-physiological traits, antioxidant capacity, and nitrogen metabolism in ramie under nitrogen fertilizer. Agron. J. 2020, 112, 2988–2997. [Google Scholar] [CrossRef]
- Gitari, H.I.; Karanja, N.N.; Gachene, C.K.K.; Kamau, S.; Sharma, K.; Schulte-Geldermann, E. Nitrogen and phosphorous uptake by potato (Solanum tuberosum L.) and their use efficiency under potato-legume intercropping systems. Field Crops Res. 2018, 222, 78–84. [Google Scholar] [CrossRef]
- Kherif, O.; Seghouani, M.; Zemmouri, B.; Bouhenache, A.; Keskes, M.I.; Yacer-Nazih, R.; Ouaret, W.; Latati, M. Understanding the response of wheat-chickpea intercropping to nitrogen fertilization using agro-ecological competitive indices under contrasting pedoclimatic conditions. Agronomy 2021, 11, 1225. [Google Scholar] [CrossRef]
- Salama, H.S.A.; Nawar, A.I.; Khalil, H.E. Intercropping pattern and N fertilizer schedule affect the performance of additively intercropped maize and forage cowpea in the mediterranean region. Agronomy 2022, 12, 107. [Google Scholar] [CrossRef]
- Ding, Y.Q.; Xu, J.X.; Wang, C.; Zhou, L.B.; Zhang, G.B.; Zhao, Q.; Shao, M.B.; Zhang, L.Y. QTL mapping of grain traits related to brewing in sorghum based on super-GBS technology. J. Nucl. Agric. Sci. 2023, 37, 241–250. (In Chinese) [Google Scholar]






| Treatment | Waxy Sorghum | Soybean | ||||
|---|---|---|---|---|---|---|
| N (kg ha−1) | P2O5 (kg ha−1) | K2O (kg ha−1) | N (kg ha−1) | P2O5 (kg ha−1) | K2O (kg ha−1) | |
| SCW-N0 | 0 | 100 | 300 | / | / | / |
| SCW-N1 | 200 | 100 | 300 | / | / | / |
| SCW-N2 | 400 | 100 | 300 | / | / | / |
| SCS-N0 | / | / | / | 0 | 60 | 40 |
| SCS-N1 | / | / | / | 60 | 60 | 40 |
| SCS-N2 | / | / | / | 120 | 60 | 40 |
| WSI-N0 | 0 | 110 | 330 | 0 | 18 | 12 |
| WSI-N1 | 220 | 110 | 330 | 18 | 18 | 12 |
| WSI-N2 | 440 | 110 | 330 | 36 | 18 | 12 |
| Year | Treatment | Anthesis Stage | Maturity Stage | ||||||
|---|---|---|---|---|---|---|---|---|---|
| Roots | Culms | Leaves | Spikes | Roots | Culms | Leaves | Grains | ||
| 2023 | SCW-N0 | 5.39 e | 4.06 e | 21.37 f | 14.45 e | 3.99 f | 2.56 f | 19.80 e | 12.89 d |
| SCW-N1 | 7.23 b | 6.52 b | 26.48 b | 16.30 c | 5.10 c | 3.89 c | 24.43 b | 14.60 bc | |
| SCW-N2 | 6.48 c | 5.61 c | 23.74 d | 16.00 c | 4.63 d | 3.52 d | 22.14 c | 14.22 c | |
| WSI-N0 | 6.01 d | 4.95 d | 22.53 e | 15.08 d | 4.25 e | 3.11 e | 20.81 d | 13.22 d | |
| WSI-N1 | 7.94 a | 7.36 a | 28.12 a | 19.11 a | 5.47 a | 4.33 a | 25.22 a | 15.60 a | |
| WSI-N2 | 7.65 a | 6.71 b | 25.39 c | 16.94 b | 5.31 b | 4.04 b | 22.58 c | 15.10 ab | |
| Source of variation | |||||||||
| P | *** | *** | *** | *** | *** | *** | *** | *** | |
| N | *** | *** | *** | *** | *** | *** | *** | *** | |
| P × N | * | ns | ns | *** | ** | ns | ns | ns | |
| 2024 | SCW-N0 | 5.25 e | 3.98 f | 21.04 f | 14.24 f | 4.02 e | 2.49 f | 19.20 f | 12.48 f |
| SCW-N1 | 7.24 b | 6.23 c | 25.99 b | 16.52 c | 5.04 b | 3.74 c | 23.61 b | 14.48 c | |
| SCW-N2 | 6.42 c | 5.57 d | 23.55 d | 15.74 d | 4.60 c | 3.42 d | 21.45 d | 13.94 d | |
| WSI-N0 | 6.07 d | 4.84 e | 22.19 e | 15.18 e | 4.35 d | 2.99 e | 20.24 e | 13.42 e | |
| WSI-N1 | 7.93 a | 7.14 a | 28.25 a | 19.27 a | 5.53 a | 4.17 a | 25.27 a | 15.70 a | |
| WSI-N2 | 7.28 b | 6.54 b | 25.25 c | 16.79 b | 5.13 b | 3.95 b | 22.52 c | 14.92 b | |
| Source of variation | |||||||||
| P | *** | *** | *** | *** | *** | *** | *** | *** | |
| N | *** | *** | *** | *** | *** | *** | *** | *** | |
| P × N | ns | ns | * | *** | ns | ns | ** | ns | |
| Year | Treatment | NTA (kg ha−1) | NTR (%) | GCRNT (%) | ||||||
|---|---|---|---|---|---|---|---|---|---|---|
| Roots | Culms | Leaves | Roots | Culms | Leaves | Roots | Culms | Leaves | ||
| 2023 | SCW-N0 | 4.06 e | 12.77 e | 15.21 e | 36.74 e | 48.72 b | 20.15 c | 5.09 e | 16.01 d | 19.10 c |
| SCW-N1 | 7.22 c | 25.51 c | 25.77 bc | 42.59 bc | 52.85 a | 23.19 abc | 7.02 bc | 24.84 b | 25.13 b | |
| SCW-N2 | 5.73 d | 18.97 d | 20.27 de | 40.29 d | 48.99 b | 21.40 c | 6.34 cd | 20.99 c | 22.42 bc | |
| WSI-N0 | 5.70 d | 17.80 d | 21.06 cd | 40.59 cd | 49.70 b | 22.07 bc | 6.09 d | 19.00 c | 22.51 bc | |
| WSI-N1 | 10.41 a | 35.16 a | 38.16 a | 44.72 a | 53.82 a | 26.50 a | 8.29 a | 27.98 a | 30.36 a | |
| WSI-N2 | 8.57 b | 28.25 b | 29.79 b | 43.71 ab | 52.49 a | 25.83 ab | 7.41 ab | 24.39 b | 25.72 ab | |
| Source of variation | ||||||||||
| P | *** | *** | *** | *** | * | ** | *** | *** | * | |
| N | *** | *** | *** | *** | ** | * | *** | *** | ** | |
| P × N | * | * | ns | ns | ns | ns | ns | ns | ns | |
| 2024 | SCW-N0 | 3.49 d | 11.91 e | 14.65 d | 32.94 d | 47.65 d | 19.95 d | 4.47 d | 15.26 f | 18.73 d |
| SCW-N1 | 7.06 b | 23.18 c | 26.25 b | 42.18 ab | 51.46 bc | 23.88 abc | 6.96 ab | 22.82 c | 25.87 b | |
| SCW-N2 | 5.54 c | 18.30 d | 20.51 c | 40.04 bc | 48.82 d | 22.86 bcd | 6.24 bc | 20.61 d | 23.09 bc | |
| WSI-N0 | 5.58 c | 17.68 d | 20.36 c | 39.35 c | 50.07 cd | 22.07 cd | 5.83 c | 18.50 e | 21.30 cd | |
| WSI-N1 | 9.62 a | 34.45 a | 39.19 a | 42.71 a | 54.46 a | 26.52 a | 7.72 a | 27.65 a | 31.44 a | |
| WSI-N2 | 7.63 b | 28.20 b | 28.97 b | 41.74 abc | 52.74 ab | 25.36 ab | 6.69 b | 24.74 b | 25.41 b | |
| Source of variation | ||||||||||
| P | *** | *** | *** | ** | *** | * | ** | *** | ** | |
| N | *** | *** | *** | *** | ** | ** | *** | *** | *** | |
| P × N | ns | *** | * | ** | ns | ns | ns | ns | ns | |
| Year | Treatment | Grain Yield (kg ha−1) | Yield Components of Waxy Sorghum | LER | ||
|---|---|---|---|---|---|---|
| Waxy Sorghum | Soybean | Grain Weight per Spike (g) | 1000-Grain Weight (g) | |||
| 2023 | SCW-N0 | 4783.15 f | / | 55.11 d | 17.87 d | / |
| SCW-N1 | 5282.64 c | / | 61.04 b | 22.37 ab | / | |
| SCW-N2 | 4889.87 e | / | 58.67 bc | 21.33 b | / | |
| SCS-N0 | / | 2153.88 c | / | / | / | |
| SCS-N1 | / | 2365.72 a | / | / | / | |
| SCS-N2 | / | 2236.85 b | / | / | / | |
| WSI-N0 | 5168.47 d | 397.06 f | 57.79 cd | 19.06 c | 1.26 b | |
| WSI-N1 | 6020.66 a | 635.74 d | 65.22 a | 23.14 a | 1.41 a | |
| WSI-N2 | 5750.85 b | 477.49 e | 61.83 b | 21.98 b | 1.39 a | |
| Source of variation | ||||||
| P | *** | *** | ** | ** | / | |
| N | *** | *** | *** | *** | / | |
| P × N | *** | ns | ns | ns | / | |
| 2024 | SCW-N0 | 4798.97 d | / | 54.39 d | 17.75 e | / |
| SCW-N1 | 5217.08 c | / | 60.95 b | 22.50 ab | / | |
| SCW-N2 | 4922.65 d | / | 58.58 c | 21.10 cd | / | |
| SCS-N0 | / | 2173.09 c | / | / | / | |
| SCS-N1 | / | 2487.91 a | / | / | / | |
| SCS-N2 | / | 2305.15 b | / | / | / | |
| WSI-N0 | 5181.41 c | 417.73 e | 56.90 c | 19.85 d | 1.27 c | |
| WSI-N1 | 6159.81 a | 633.52 d | 64.51 a | 23.18 a | 1.44 a | |
| WSI-N2 | 5797.41 b | 476.32 e | 61.49 b | 21.84 bc | 1.38 b | |
| Source of variation | ||||||
| P | *** | *** | *** | ** | / | |
| N | *** | *** | *** | *** | / | |
| P × N | *** | ns | ns | ns | / | |
| Year | Treatment | NUE (kg kg−1) | NAE (kg kg−1) | NAPE (%) | NRE (%) | NPFP (kg kg−1) | NCR (%) |
|---|---|---|---|---|---|---|---|
| 2023 | SCW-N1 | 1.05 b | 2.50 b | 11.55 b | 28.71 b | 26.41 b | 9.45 b |
| SCW-N2 | 0.46 d | 0.27 d | 2.64 d | 7.73 c | 12.22 d | 2.18 c | |
| WSI-N1 | 1.19 a | 3.87 a | 14.55 a | 34.39 a | 27.37 a | 14.15 a | |
| WSI-N2 | 0.52 c | 1.32 c | 5.04 c | 9.26 c | 13.07 c | 10.13 b | |
| Source of variation | |||||||
| P | *** | *** | ** | ** | *** | *** | |
| N | *** | *** | *** | *** | *** | *** | |
| P × N | ** | ns | ns | * | ns | ** | |
| 2024 | SCW-N1 | 1.04 b | 2.09 b | 11.75 a | 28.52 b | 26.09 b | 8.01 b |
| SCW-N2 | 0.44 d | 0.31 c | 2.66 c | 6.78 d | 12.31 c | 2.51 c | |
| WSI-N1 | 1.19 a | 4.45 a | 13.19 a | 34.96 a | 28.00 a | 15.83 a | |
| WSI-N2 | 0.51 c | 1.40 b | 4.17 b | 8.93 c | 13.18 c | 10.62 b | |
| Source of variation | |||||||
| P | *** | *** | * | *** | ** | *** | |
| N | *** | *** | *** | *** | *** | *** | |
| P × N | *** | ns | ns | ** | ns | ns | |
Disclaimer/Publisher’s Note: The statements, opinions and data contained in all publications are solely those of the individual author(s) and contributor(s) and not of MDPI and/or the editor(s). MDPI and/or the editor(s) disclaim responsibility for any injury to people or property resulting from any ideas, methods, instructions or products referred to in the content. |
© 2025 by the authors. Licensee MDPI, Basel, Switzerland. This article is an open access article distributed under the terms and conditions of the Creative Commons Attribution (CC BY) license (https://creativecommons.org/licenses/by/4.0/).
Share and Cite
Wang, C.; Chen, S.; Peng, F.; Zhao, Q.; Gao, J.; Zhou, L.; Zhang, G.; Shao, M. Effects of Nitrogen Application Rate on Nitrogen Uptake and Utilization in Waxy Sorghum Under Waxy Sorghum–Soybean Intercropping Systems. Plants 2025, 14, 1384. https://doi.org/10.3390/plants14091384
Wang C, Chen S, Peng F, Zhao Q, Gao J, Zhou L, Zhang G, Shao M. Effects of Nitrogen Application Rate on Nitrogen Uptake and Utilization in Waxy Sorghum Under Waxy Sorghum–Soybean Intercropping Systems. Plants. 2025; 14(9):1384. https://doi.org/10.3390/plants14091384
Chicago/Turabian StyleWang, Can, Siyu Chen, Fangli Peng, Qiang Zhao, Jie Gao, Lingbo Zhou, Guobing Zhang, and Mingbo Shao. 2025. "Effects of Nitrogen Application Rate on Nitrogen Uptake and Utilization in Waxy Sorghum Under Waxy Sorghum–Soybean Intercropping Systems" Plants 14, no. 9: 1384. https://doi.org/10.3390/plants14091384
APA StyleWang, C., Chen, S., Peng, F., Zhao, Q., Gao, J., Zhou, L., Zhang, G., & Shao, M. (2025). Effects of Nitrogen Application Rate on Nitrogen Uptake and Utilization in Waxy Sorghum Under Waxy Sorghum–Soybean Intercropping Systems. Plants, 14(9), 1384. https://doi.org/10.3390/plants14091384
