Effects of Light Quality and Photoperiod on Growth, Dry Matter Production and Yield of Ginger
Abstract
1. Introduction
2. Materials and Methods
2.1. Test Materials
2.2. Experimental Design
2.3. Measurement of Indicators
2.3.1. Morphological Indicators
2.3.2. Physical Production Characteristics
2.3.3. Yield and Composition
2.4. Data Analysis
3. Results and Analysis
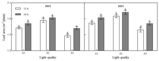
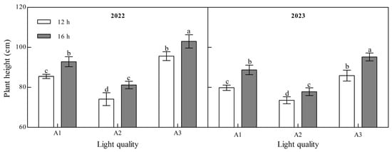
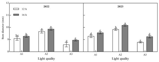
3.1. Effects of Light Quality and Photoperiod on Growth Characteristics of Ginger
3.2. Effects of Light Quality and Photoperiod on Dry Matter Production and Partitioning in Ginger
3.3. Effect of Light Quality and Photoperiod on Ginger Yield and Its Composition
4. Discussion
4.1. Effect of Light Quality and Photoperiod on Phenotypic Characteristics of Ginger
4.2. Effects of Light Quality and Photoperiod on Dry Matter Accumulation and Partitioning in Ginger
4.3. Relationships Between Phenotypic Characteristics, Dry Matter Accumulation, and Partitioning Characteristics and Yield of Ginger
5. Conclusions
Author Contributions
Funding
Data Availability Statement
Conflicts of Interest
Abbreviations
| Y | yield |
| PH | plant height |
| SD | stem diameter |
| TB | theoretical biomass |
| LA | leaf area |
| MS | maximum accumulation speed |
| AS | average accumulation speed |
| MTP | days to maximum accumulation rate |
| GAP | growth acceleration point |
| RIP | duration of rapid growth period |
| GRW | ginger rhizome weight |
| GSN | ginger rhizomes per plant |
| NOB | |
| number of branches | |
| LDR | leaf dry matter distribution ratio |
| SSDR | stem sheath dry matter distribution ratio |
| RDR | root dry matter distribution ratio |
| TDR | tuber dry matter distribution ratio |
| TDM | total dry matter |
Appendix A
| Factor | Plant Height | Stem Thick | Tiller Number | Leaf Area | Total Dry Matter | |||||
|---|---|---|---|---|---|---|---|---|---|---|
| P | F | P | F | P | F | P | F | P | F | |
| Y | 1 | 46.95 ** | 1 | 47.51 ** | 1 | 700.39 ** | 1 | 86.76 ** | 1 | 242.20 ** |
| Q | 2 | 192.43 ** | 2 | 267.68 ** | 2 | 827.03 ** | 2 | 181.18 ** | 2 | 61.93 ** |
| P | 1 | 94.26 ** | 1 | 76.62 ** | 1 | 263.47 ** | 1 | 80.81 ** | 1 | 92.95 ** |
| Y × Q | 2 | 6.70 ** | 2 | 0 | 2 | 7.62 * | 2 | 0.06 | 2 | 0.02 ** |
| Y × P | 1 | 0.02 | 1 | 2.44 | 1 | 16.91 ** | 1 | 0.19 | 1 | 0 |
| Q × P | 2 | 0.98 | 2 | 2.50 | 2 | 0.52 | 2 | 3.70 * | 2 | 0.33 |
| Y × Q × P | 1 | 46.95 | 2 | 0.06 | 2 | 1.50 | 2 | 0.53 | 2 | 0.32 |
References
- Krüger, S.; Bergin, A.; Morlock, G.E. Effect-directed analysis of ginger (Zingiber officinale) and its food products, and quantification of bioactive compounds via high-performance thin-layer chromatography and mass spectrometry. Food Chem. 2018, 243, 258–268. [Google Scholar] [CrossRef]
- Varakumar, S.; Umesh, K.V.; Singhal, R.S. Enhanced extraction of oleoresin from ginger (Zingiber officinale) rhizome powder using enzyme-assisted three phase partitioning. Food Chem. 2017, 216, 27–36. [Google Scholar] [CrossRef]
- Gagaoua, M.; Hoggas, N.; Hafid, K. Three phase partitioning of zingibain, a milk-clotting enzyme from zingiber officinale roscoe rhizomes. Int. J. Biol. Macromol. 2015, 73, 245–252. [Google Scholar] [CrossRef] [PubMed]
- Wu, J.L.; Wang, X.Y.; Wang, K.L.; Pang, S.C.; He, Z.Y.; Ni, Y.Y. Research progress on nutritional value and pharmacological action of ginger. Food Ind. 2019, 40, 237–240. [Google Scholar]
- Liu, J.; Zhang, Q.; Tao, T.; Wang, L.Y.; Sun, J.Y.; Wu, C.J.; Zou, W.J. Health benefits of spices in individuals with chemotherapeutic drug-induced cardiotoxicity. Curr. Opin. Pharmacol. 2022, 63, 102187. [Google Scholar] [CrossRef] [PubMed]
- Yu, L.S.; Bu, L.J.; Li, D.D.; Zhu, K.L.; Zhang, Y.X.; Wu, S.F.; Chang, L.Y.; Ding, X.T.; Jiang, Y.P. Effects of far-red light and ultraviolet light—A on growth, photosynthesis transcriptome, and metabolome of mint (Mentha haplocalyx Briq). Plants 2024, 13, 3495. [Google Scholar] [CrossRef]
- Park, Y.G.; Jeong, B.R. Shift in the light quality of night interruption affects flowering and morphogenesis of Petunia hybrida. Plants 2023, 12, 2049. [Google Scholar] [CrossRef]
- Liu, Y.; Wang, Q.; Abbas, F.; Zhou, Y.W.; He, J.J. Light regulation pf LocOP1 and its role in floral scent biosynthesis in lilium ‘siberia’. Plants 2023, 12, 2004. [Google Scholar] [CrossRef]
- Yao, N.; Liu, J.F.; Jiang, Z.P.; Chang, E.M.; Zhao, X.L.; Xie, R.; Wang, Q. Effects of photoperiod and light quality on seedling growth and chlorophyll fluorescence of kinetics of Quercus L. For. Res. 2022, 35, 11. [Google Scholar]
- Trivellini, A.; Toscano, S.; Romano, D.; Ferrante, A. The role of blue and red light in the orchestration of secondary metabolites, nutrient transport and plant quality. Plants 2023, 12, 2026. [Google Scholar] [CrossRef]
- Chen, X.; Zhang, X.J.; Tang, C.Z.; Zhou, Z.; Xia, M.; Liu, H.M. Response of early rice seedling growth and development to different wavelengths of blue light. Acta Agric. Nucleatae Sin. 2024, 38, 1814–1821. [Google Scholar]
- Chen, J.; Peng, J.; Wu, J. Effects of different LED qualities on tobacco growth and nutrient accumulation. Acta Tabacaria Sin. 2023, 54, 52–57. [Google Scholar]
- Li, Y. Effects of Different Light Quality on Growth and Anthocyanin Metabolism of Tomato Seedlings. Master’s Thesis, Ningxia University, Yinchuan, China, 2022. [Google Scholar]
- Liang, Y.; Hao, W.Q.; Shi, Y.; Wang, X.; Hou, L.; Zhang, Y. Effects of exogenous zinc on growth and quality of hydroponic lettuce under different light qualities. North. Hortic. 2021, 18, 7–13. [Google Scholar]
- Yu, X.H.; Wang, Q.B.; Zeng, W.L.; Yan, Y.; Hang, J.X.; Liang, Y.Y. Effects of light quality on the growth and quality of cabbage. Anhui Agric. Sci. Bull. 2017, 23, 49–52. [Google Scholar]
- Wang, L.; LI, X.E.; Huang, Y.; Wan, Z.J.; Li, X.; Kong, Q.S.; Bie, Z.L. Effects of adding different concentrations of paclobutrazol in substrates on growth of cabbage seedlings. J. Chang. Veg. 2015, 8, 27–30. [Google Scholar]
- Ren, M.F.; Mao, G.M.; Liu, S.Z.; Wang, W.Q.; Zhen, H.B.; Tang, Q.Y. Research progress on the effects of light quality on plant growth and development, photosynthesis, and carbon and nitrogen metabolism. Plant Physiol. J. 2023, 59, 1211–1228. [Google Scholar]
- Soffe, R.W.; Lenton, J.R.; Milford, G.F.J. Effects of photoperiod on some vegetable species. Ann. Appl. Biol. 2010, 85, 411–415. [Google Scholar] [CrossRef]
- Gao, Y.; Ma, H.P. Effects of different light quality combinations on photosynthesis and growth characteristics of zucchini seedlings. North. Hortic. 2021, 20, 42–47. [Google Scholar]
- Sun, T.Y.; Yu, X.H.; Jiang, X.M. Effect of different LED lights on fruit growth, development and quality of melon. J. Chang. Veg. 2017, 20, 72–75. [Google Scholar]
- Zhang, R.H.; Xu, K. Effects of shading light quality at seedling stage on the photosynthesis and growth of ginger. Chin. J. Appl. Ecol. 2008, 19, 499–504. [Google Scholar]
- Wu, J.L.; Pei, Y.; Xiao, C.G.; Yan, Y.G.; Wang, F.J.; Tang, X.F.; Cao, J.H. Green and efficient production technology of small yellow ginger. Vegetable 2023, 8, 75–77. [Google Scholar]
- Wu, L.H.; Quan, H.; Wu, L.N.; Zhang, X.; Ding, D.Y.; Feng, H.; Kandambot, H.M.; Liu, D.L.; Wang, B. Plastic mulching enhances maize yield and water productivity by improving root characteristics, green leaf area, and photosynthesis for different cultivars in dryland regions. Agric. Water Manag. 2024, 305, 109105. [Google Scholar] [CrossRef]
- Shi, P.J.; Men, X.Y.; Sandhu, H.S.; Chakraborty, A.; Li, B.L.; Ou-Yang, F.; Sun, Y.C.; Ge, F. The “general” ontogenetic growth model is inapplicable to crop growth. Ecol. Model. 2013, 266, 1–9. [Google Scholar] [CrossRef]
- Zhang, Y.; Yu, J.H.; Tang, Z.Q.; Yu, J.; Luo, S.L.; Wang, S.Y. Effects of inter-lighting supplementation at different times on tomato yield and quality in solar greenhouse. Jiangsu J. Agric. Sci. 2020, 30, 8. [Google Scholar]
- Zhang, J.W.; Meng, Q.B.; Ma, W.C.; Yang, K.L.; Wang, X.L.; Mu, Y.N.; Li, Q.Y. Effects of LED light on the growth and photosynthetic characteristics of pepper seedling. Zhongguo Gua-Cai 2021, 34, 5. [Google Scholar]
- Liu, W.K.; Zhang, Y.B.; Cha, L.Y. Effect of LED red and blue continuous lighting before harvest on growth and nutrient absorption of hydroponic lettuce cultivated under different nitrogen and light qualitie. Spectrosc. Spectr. Anal. 2020, 7, 2215–2221. [Google Scholar]
- Zhou, C.B.; Zhang, X.; Cui, Q.Q. Effects of supplementary light quality on growth and photosynthesis of pakchoi. Plant Physiol. J. 2017, 55, 1030–1038. [Google Scholar]
- Liu, X.X.; He, Z.X.; Li, Q.M.; Zha, X.B.S.; Qin, Y.M.; Li, C.Y.; Zhang, R.J. Effects of different LED light qualities on the growth and nutrient accumulation of Tetragonia tetragonoides (Pall.) Kuntze in a plant factory. J. South. Agric. 2024, 55, 520–530. [Google Scholar]
- Jiang, H.H.; Xie, L.L.; Xiao, W.; Xie, T.; Wang, X.; Wu, F.F. Effects of different lights on growth characteristics of pepper seedlings. Hunan Agric. Sci. 2023, 7, 40–45+49. [Google Scholar]
- Xie, C.J.; He, F.Y.; Liu, L.; Wei, Q.M.; Yang, M. Effects of light quality and photoperiod on growth and physiology of Michelia baillonii seedlings. Guihaia 2023, 43, 2362–2373. [Google Scholar]
- Xu, D.Q.; Gao, W.; Ruan, J. Effects of light quality on plant growth and development. Plant Physiol. J. 2015, 51, 1217–1234. [Google Scholar]
- Li, Z.C. Effects of Different Ratios of Red and Blue Light on Photosynthetic Characteristics and Dry Matter Accumulation in Soybean Leaves Under Shade. Master’s Thesis, Sichuan Agricultural University, Yaan, China, 2010. [Google Scholar]
- Gu, X.D.; Zhang, Z.D.; Lv, D.; Zhao, H.; Wang, L.; Che, B.; Cao, R.; Yan, K.L.; Zhang, H.B. Effects of photoperiod and light quality on the growth and chlorophyll fluorescence of Reaumuria soongorica seeddlings. Acta Agrestia Sin. 2023, 31, 1720–1727. [Google Scholar]
- Liu, H.L.; Jiang, Q.Q. Effects of led light quality on growth and development of tomato seedlings. North. Hortic. 2020, 18, 38–42. [Google Scholar]
- Shi, J.; Yang, X.M.; Wu, W.L.; Fan, S.F.; Li, W.L. Effects of different light quality on the growth and physiological characteristics of blueberry. North. Hortic. 2022, 6, 15–23. [Google Scholar]
- Zhang, R.J.; He, Z.Q.; Li, C.Y.; Mo, J.C.; Xie, Y.D. Effects of photoperiod on photosynthetic characteristics and quality of Tetragonia tetragonoides (Pall.) Kuntze in a plant factory. Chin. J. Appl. Environ. Biol. 2022, 28, 989–994. [Google Scholar]
- Wu, F.L.; Li, S.L.; Yang, M.; Pang, W.C.; Huang, J.J.; Li, Q.L.; Fan, R.Y. Effects of LED light qualities and photoperiods on growth and photosynthetic characteristics of Michelia gioii. Guihaia 2022, 42, 2167–2177. [Google Scholar]
- Meng, C.; Zhao, Y.; Yang, J.; Wang, X.R.; Liu, B.S.; Zhang, X.F. Effects of light quality on growth and chlorophyll fluorescence parameters of Gleditsia sinensis seedlings. Plant Physiol. J. 2022, 58, 1961–1972. [Google Scholar]
- Dong, X.; Ren, Y.; Chen, C.; Sun, G.; Zhou, Y.; Shi, Y.; Li, Q. Effects of exogenous strigolactone on growth, dry matter accumulation, and yield of tissue-cultured ginger. Plant Prod. Sci. 2023, 26, 225–235. [Google Scholar] [CrossRef]
- Li, X.; Xu, K.; Gong, B.; Cao, B.L.; Wang, Z.B. Multiple analysis of relationship of agronomic traits and yield formation in ginger. Sci. Agric. Sin. 2012, 45, 2431–2437. [Google Scholar]
- Chang, H.; Wang, Y.P.; Wang, D.; Zhang, F. Effects of light quality on microtuber induction of Solanum tuberosum. Chin. J. Appl. Ecol. 2009, 20, 1891–1895. [Google Scholar]









| Years | Treatments | TBY (g Plant−1) | Vmax/(g d−1) | Vaver/(g d−1) | Tmax/d | DRGP |
|---|---|---|---|---|---|---|
| 2022 | A1B1 | 293.85 e | 3.11 c | 1.42 c | 145.74 b | 62.14 b |
| A2B1 | 310.15 c | 3.24 b | 1.50 b | 147.08 a | 63.07 a | |
| A3B1 | 279.66 f | 3.03 d | 1.35 d | 144.24 c | 60.71 d | |
| Mean | 294.55 B | 3.13 B | 1.42 B | 145.69 B | 61.97 B | |
| A1B2 | 315.89 b | 3.27 b | 1.64 a | 145.85 b | 62.34 b | |
| A2B2 | 321.17 a | 3.43 a | 1.66 a | 147.11 a | 63.62 a | |
| A3B2 | 299.92 e | 3.17 c | 1.55 b | 145.64 b | 61.72 c | |
| Mean | 312.33 A | 3.29 A | 1.62 A | 146.20 A | 62.56 A | |
| 2023 | A1B1 | 370.74 c | 3.00 c | 1.79 d | 158.74 c | 81.32 c |
| A2B1 | 392.76 b | 3.11 b | 1.90 c | 161.12 b | 83.04 b | |
| A3B1 | 348.43 d | 2.84 d | 1.68 e | 156.52 d | 80.72 c | |
| Mean | 370.64 B | 2.99 B | 1.79 B | 158.79 B | 81.69 B | |
| A1B2 | 395.37 b | 3.10 b | 2.05 b | 160.09 b | 83.86 b | |
| A2B2 | 421.26 a | 3.24 a | 2.18 a | 163.06 a | 85.71 a | |
| A3B2 | 379.18 c | 3.01 c | 1.96 bc | 158.70 c | 83.04 b | |
| Mean | 398.61 A | 3.12 A | 2.07 A | 160.61 A | 84.20 A |
| Treatments | Ginger Rhizomes Per Plant | Ginger Rhizome Weight (g) | Yield (g Plant−1) | |||
|---|---|---|---|---|---|---|
| 2022 | 2023 | 2022 | 2023 | 2022 | 2023 | |
| A1B1 | 15.93 d | 16.70 c | 26.31 c | 27.73 d | 419.22 d | 439.74 cd |
| A2B1 | 17.78 b | 17.67 b | 28.59 b | 29.43 b | 455.06 b | 475.46 b |
| A3B1 | 13.96 f | 15.53 d | 25.06 d | 26.83 e | 383.17 f | 413.41 e |
| Mean | 15.89 B | 16.63 B | 26.65 B | 28.00 B | 419.15 B | 442.87 B |
| A1B2 | 16.82 c | 17.65 b | 27.69 b | 28.75 c | 438.95 c | 451.92 c |
| A2B2 | 18.61 a | 18.68 a | 29.70 a | 30.94 a | 472.89 a | 494.79 a |
| A3B2 | 15.15 e | 16.62 c | 26.55 c | 27.73 d | 402.11 e | 427.66 d |
| Mean | 16.86 A | 17.65 A | 27.98 A | 29.14 A | 437.54 A | 458.12 A |
| Source of variation | ||||||
| Light quality (L) | 203.97 ** | 170.71 ** | 83.34 ** | |||
| Photoperiod (P) | 73.54 ** | 77.58 ** | 50.34 ** | |||
| Year (Y) | 43.72 ** | 79.83 ** | 267.57 ** | |||
| L × P | 0.40 ns | 0.07 ns | 0.56 ns | |||
| L × Y | 14.70 ** | 0.80 ns | 1.82 ns | |||
| P × Y | 0.05 ns | 0.44 ns | 0.11 ns | |||
| L × P × Y | 0.12 ns | 1.10 ns | 0.31 ns | |||
Disclaimer/Publisher’s Note: The statements, opinions and data contained in all publications are solely those of the individual author(s) and contributor(s) and not of MDPI and/or the editor(s). MDPI and/or the editor(s) disclaim responsibility for any injury to people or property resulting from any ideas, methods, instructions or products referred to in the content. |
© 2025 by the authors. Licensee MDPI, Basel, Switzerland. This article is an open access article distributed under the terms and conditions of the Creative Commons Attribution (CC BY) license (https://creativecommons.org/licenses/by/4.0/).
Share and Cite
Zhang, H.; Li, X.; Han, T.; Huang, Q.; Liu, J.; Tian, A.; Liu, L.; Sun, G.; Dong, L.; Wang, H.; et al. Effects of Light Quality and Photoperiod on Growth, Dry Matter Production and Yield of Ginger. Plants 2025, 14, 953. https://doi.org/10.3390/plants14060953
Zhang H, Li X, Han T, Huang Q, Liu J, Tian A, Liu L, Sun G, Dong L, Wang H, et al. Effects of Light Quality and Photoperiod on Growth, Dry Matter Production and Yield of Ginger. Plants. 2025; 14(6):953. https://doi.org/10.3390/plants14060953
Chicago/Turabian StyleZhang, Haodan, Xingyue Li, Tao Han, Qin Huang, Junlan Liu, Ailin Tian, Linyu Liu, Guoqing Sun, Ling Dong, Hanyu Wang, and et al. 2025. "Effects of Light Quality and Photoperiod on Growth, Dry Matter Production and Yield of Ginger" Plants 14, no. 6: 953. https://doi.org/10.3390/plants14060953
APA StyleZhang, H., Li, X., Han, T., Huang, Q., Liu, J., Tian, A., Liu, L., Sun, G., Dong, L., Wang, H., Xie, X., Peng, S., Li, Q., & Li, H. (2025). Effects of Light Quality and Photoperiod on Growth, Dry Matter Production and Yield of Ginger. Plants, 14(6), 953. https://doi.org/10.3390/plants14060953
