Tomato Biostimulation with Nanochitosan–Iodine Complexes: Enhancing Antioxidant Metabolism
Abstract
1. Introduction
2. Results
2.1. Total Protein
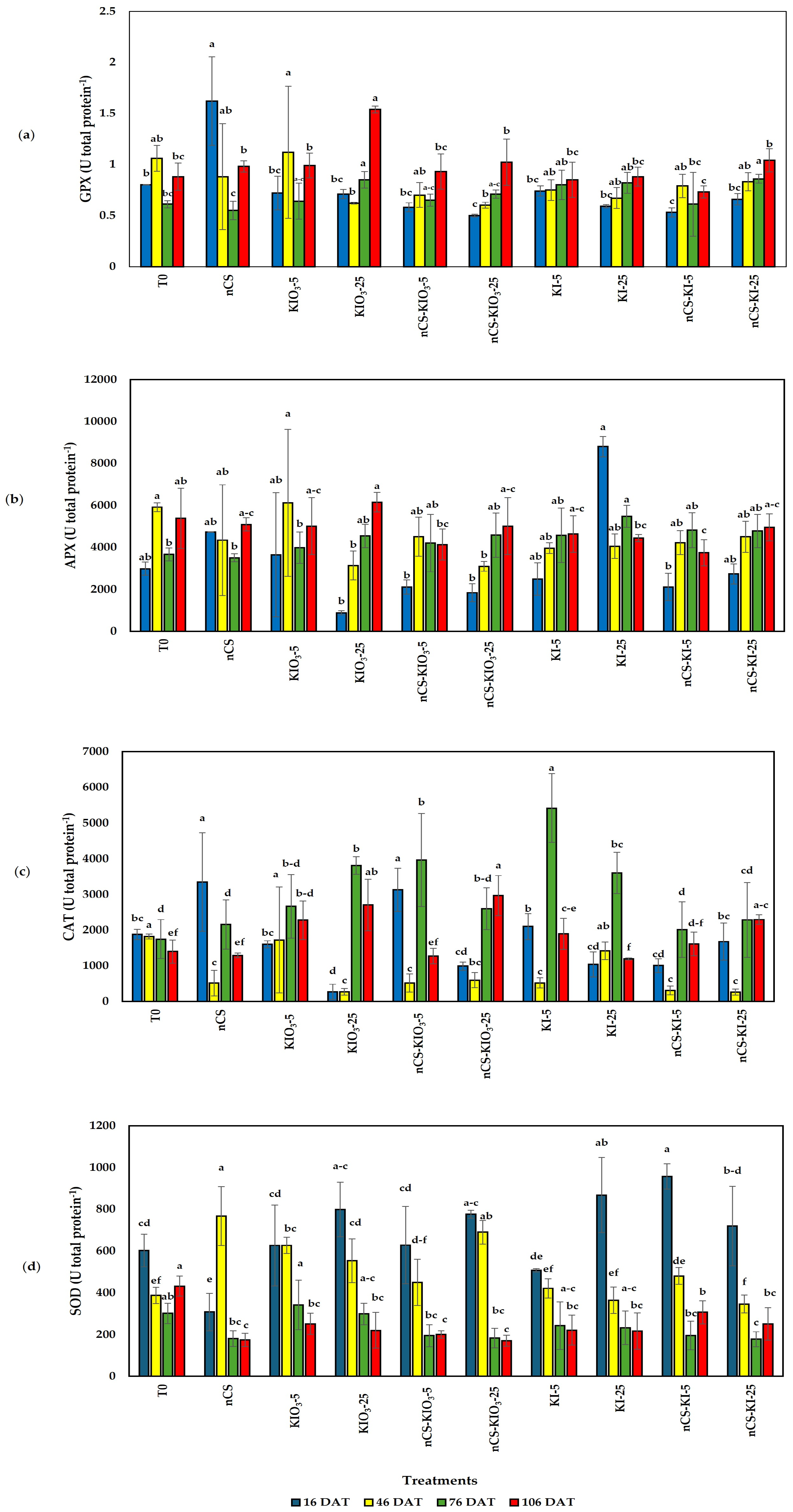
2.2. Antioxidant Enzymatic Activity
2.3. Photosynthetic Pigments and Total Chlorophyll
2.4. Gene Expression
2.5. Mineral Content
2.6. Iodine Content
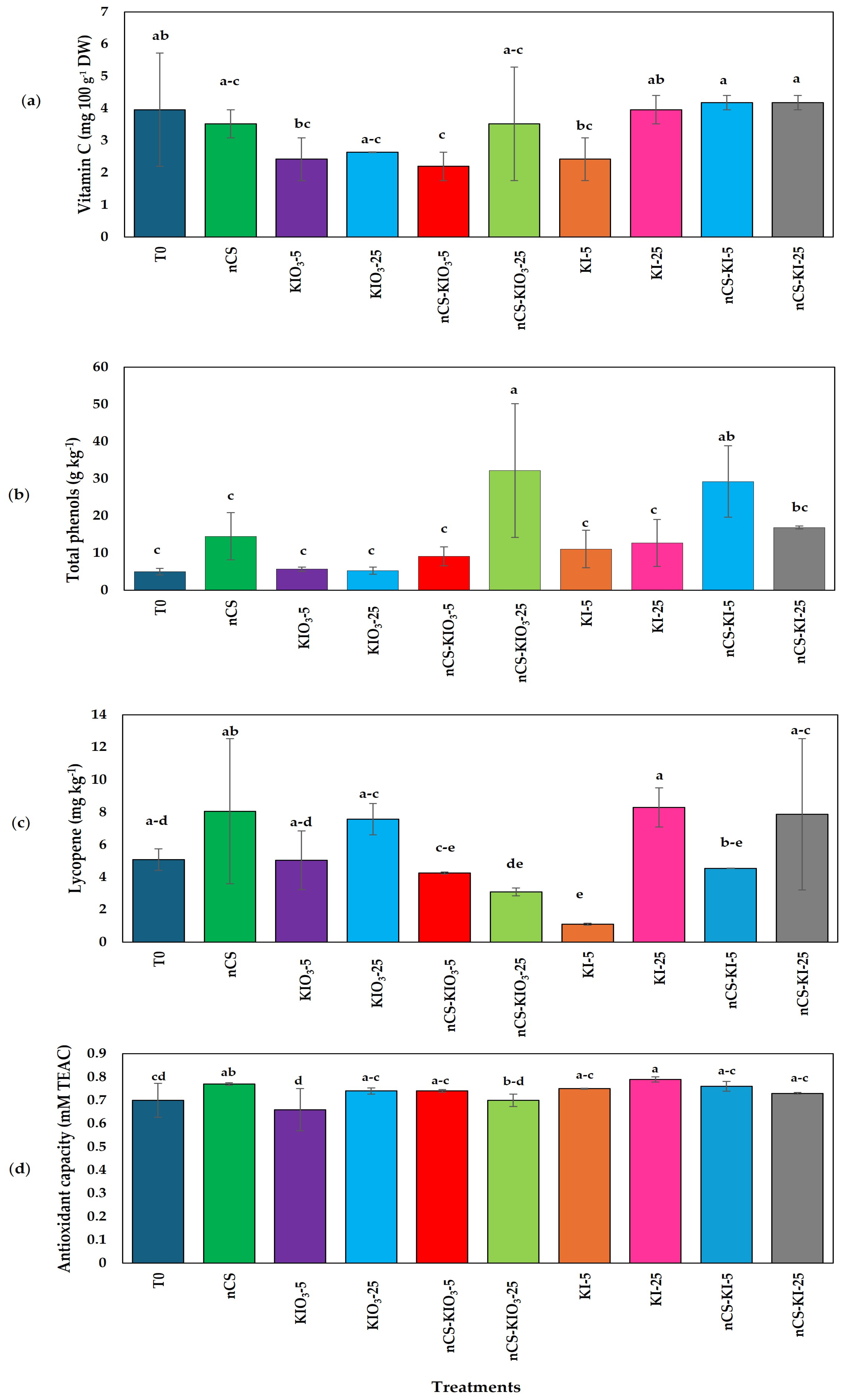
2.7. Shelf Life Under Cold Conditions
3. Discussion
3.1. Total Protein
3.2. Antioxidant Enzymatic Activity
3.3. Photosynthetic Pigments and Total Chlorophyll
3.4. Gene Expression
3.5. Mineral Content
3.6. Iodine Content
3.7. Shelf Life Under Cold Conditions
4. Materials and Methods
4.1. Experimental Conditions and Plant Material
4.2. Treatments
4.3. Sampling and Evaluation of Variables
4.4. Biochemical Analysis
4.5. Real-Time Reverse Transcription PCR
4.6. Mineral and Iodine Contents
4.7. Shelf Life Analysis
4.8. Statistical Analysis
5. Conclusions
Author Contributions
Funding
Data Availability Statement
Acknowledgments
Conflicts of Interest
References
- Magnabosco, P.; Masi, A.; Shukla, R.; Bansal, V.; Carletti, P. Advancing the Impact of Plant Biostimulants to Sustainable Agriculture through Nanotechnologies. Chem. Biol. Technol. Agric. 2023, 10, 117. [Google Scholar] [CrossRef]
- Fuentes, J.E.G.; Castellanos, B.F.H.; Martínez, E.N.R.; Ortiz, W.A.N.; Mendoza, A.B.; Macías, J.M. Outcomes of Foliar Iodine Application on Growth, Minerals and Antioxidants in Tomato Plants under Salt Stress. Folia Hortic. 2022, 34, 27–37. [Google Scholar] [CrossRef]
- Huchzermeyer, B.; Menghani, E.; Khardia, P.; Shilu, A. Metabolic Pathway of Natural Antioxidants, Antioxidant Enzymes and ROS Providence. Antioxidants 2022, 11, 761. [Google Scholar] [CrossRef] [PubMed]
- Raja, V.; Majeed, U.; Kang, H.; Andrabi, K.I.; John, R. Abiotic Stress: Interplay between ROS, Hormones and MAPKs. Environ. Exp. Bot. 2017, 137, 142–157. [Google Scholar] [CrossRef]
- García-Caparrós, P.; De Filippis, L.; Gul, A.; Hasanuzzaman, M.; Ozturk, M.; Altay, V.; Lao, M.T. Oxidative Stress and Antioxidant Metabolism under Adverse Environmental Conditions: A Review. Bot. Rev. 2021, 87, 421–466. [Google Scholar] [CrossRef]
- Dumont, S.; Rivoal, J. Consequences of Oxidative Stress on Plant Glycolytic and Respiratory Metabolism. Front. Plant Sci. 2019, 10, 166. [Google Scholar] [CrossRef]
- Hasanuzzaman, M.; Parvin, K.; Bardhan, K.; Nahar, K.; Anee, T.I.; Masud, A.A.C.; Fotopoulos, V. Biostimulants for the Regulation of Reactive Oxygen Species Metabolism in Plants under Abiotic Stress. Cells 2021, 10, 2537. [Google Scholar] [CrossRef]
- Mitra, B.; Chowdhury, A.R.; Dey, P.; Hazra, K.K.; Sinha, A.K.; Hossain, A.; Meena, R.S. Use of agrochemicals in agriculture: Alarming issues and solutions. In Input Use Efficiency for Food and Environmental Security; Springer Nature: Singapore, 2021; pp. 85–122. [Google Scholar]
- Juárez-Maldonado, A.; Tortella, G.; Rubilar, O.; Fincheira, P.; Benavides-Mendoza, A. Biostimulation and Toxicity: The Magnitude of the Impact of Nanomaterials in Microorganisms and Plants. J. Adv. Res. 2021, 31, 113–126. [Google Scholar] [CrossRef]
- European Union (EU). Regulation (EU) 2019/1009 of the European Parliament and of the Council of 5 June 2019 Laying down Rules on the Making Available on the Market of EU Fertilising Products and Amending Regulations (EC) No 1069/2009 and (EC) No 1107/2009 and Repealing Regula. Available online: https://eur-lex.europa.eu/legal-content/EN/TXT/?uri=OJ:L:2019:170:TOC (accessed on 6 November 2024).
- du Jardin, P. Plant Biostimulants: Definition, Concept, Main Categories and Regulation. Sci. Hortic. 2015, 196, 3–14. [Google Scholar] [CrossRef]
- Yu, J.; Wang, D.; Geetha, N.; Khawar, K.M.; Jogaiah, S.; Mujtaba, M. Current Trends and Challenges in the Synthesis and Applications of Chitosan-Based Nanocomposites for Plants: A Review. Carbohydr. Polym. 2021, 261, 117904. [Google Scholar] [CrossRef]
- Hidangmayum, A.; Dwivedi, P. Chitosan Based Nanoformulation for Sustainable Agriculture with Special Reference to Abiotic Stress: A Review. J. Polym. Environ. 2022, 30, 1264–1283. [Google Scholar] [CrossRef]
- Zhang, G.; Wang, Y.; Wu, K.; Zhang, Q.; Feng, Y.; Miao, Y.; Yan, Z. Exogenous Application of Chitosan Alleviate Salinity Stress in Lettuce (Lactuca sativa L.). Horticulturae 2021, 7, 342. [Google Scholar] [CrossRef]
- Poznanski, P.; Hameed, A.; Orczyk, W. Chitosan and Chitosan Nanoparticles: Parameters Enhancing Antifungal Activity. Molecules 2023, 28, 2996. [Google Scholar] [CrossRef]
- Deshpande, P.; Dapkekar, A.; Oak, M.D.; Paknikar, K.M.; Rajwade, J.M. Zinc Complexed Chitosan/TPP Nanoparticles: A Promising Micronutrient Nanocarrier Suited for Foliar Application. Carbohydr. Polym. 2017, 165, 394–401. [Google Scholar] [CrossRef] [PubMed]
- Yanat, M.; Schroën, K. Preparation Methods and Applications of Chitosan Nanoparticles; with an Outlook toward Reinforcement of Biodegradable Packaging. React. Funct. Polym. 2021, 161, 104849. [Google Scholar] [CrossRef]
- Pretell, E.A.; Pearce, E.N. A History of the Elimination of Iodine Deficiency Disorders in the Americas: A Dramatic Achievement and Lessons Learned. J. Nutr. 2024, 154, 3856–3867. [Google Scholar] [CrossRef]
- Anarado, C.J.O.; Anarado, C.E.; Areh, R.I.; Ifoh, N.; Eze, E.O.; Ikeakor, E. Iodine Fortification Study of Some Common African Vegetables. J. Agric. Chem. Environ. 2019, 8, 172–183. [Google Scholar] [CrossRef]
- FAO. The State of Food Security and Nutrition in the World; FAO: Rome, Italy, 2021. [Google Scholar]
- Vasiljev, V.; Subotić, A.; Glavić, M.M.; Juraga, D.; Bilajac, L.; Jelaković, B.; Rukavina, T. Overview of Iodine Intake. Eur. Med. J. 2022, 6, 12–20. [Google Scholar] [CrossRef]
- Medrano-Macías, J.; Leija-Martínez, P.; González-Morales, S.; Juárez-Maldonado, A.; Benavides-Mendoza, A. Use of Iodine to Biofortify and Promote Growth and Stress Tolerance in Crops. Front. Plant Sci. 2016, 7, 1146. [Google Scholar] [CrossRef]
- Riyazuddin, R.; Singh, K.; Iqbal, N.; Nisha, N.; Rani, A.; Kumar, M.; Khatri, N.; Siddiqui, M.H.; Yasheshwar; Kim, S.T.; et al. Iodine: An Emerging Biostimulant of Growth and Stress Responses in Plants. Plant Soil 2022, 486, 119–133. [Google Scholar] [CrossRef]
- Singhal, R.K.; Fahad, S.; Kumar, P.; Choyal, P.; Javed, T.; Jinger, D.; Singh, P.; Saha, D.; Md, P.; Bose, B.; et al. Beneficial Elements: New Players in Improving Nutrient Use Efficiency and Abiotic Stress Tolerance. Plant Growth Regul. 2023, 100, 237–265. [Google Scholar] [CrossRef]
- Dávila Rangel, I.E.; Trejo Téllez, L.I.; Ortega Ortiz, H.; Juárez Maldonado, A.; González Morales, S.; Companioni González, B.; Cabrera De la Fuente, M.; Benavides Mendoza, A. Comparison of Iodide, Iodate, and Iodine-Chitosan Complexes for the Biofortification of Lettuce. Appl. Sci. 2020, 10, 2378. [Google Scholar] [CrossRef]
- Ikram, N.A.; Ghaffar, A.; Khan, A.A.; Nawaz, F.; Hussain, A. Foliar Iodine Application: A Strategy for Tomato Biofortification and Yield Optimization. J. Plant Nutr. 2024, 48, 540–556. [Google Scholar] [CrossRef]
- Sariñana-Aldaco, O.; Benavides-Mendoza, A.; Robledo-Olivo, A.; González-Morales, S. The Biostimulant Effect of Hydroalcoholic Extracts of Sargassum spp. in Tomato Seedlings under Salt Stress. Plants 2022, 11, 3180. [Google Scholar] [CrossRef]
- Rai, G.K.; Parveen, A.; Jamwal, G.; Basu, U.; Kumar, R.R.; Rai, P.K.; Sharma, J.P.; Alalawy, A.I.; Al-Duais, M.A.; Hossain, M.A.; et al. Leaf Proteome Response to Drought Stress and Antioxidant Potential in Tomato (Solanum lycopersicum L.). Atmosphere 2021, 12, 1021. [Google Scholar] [CrossRef]
- Yu, Y.; Kleuter, M.; Taghian Dinani, S.; Trindade, L.M.; van der Goot, A.J. The Role of Plant Age and Leaf Position on Protein Extraction and Phenolic Compounds Removal from Tomato (Solanum lycopersicum) Leaves Using Food-Grade Solvents. Food Chem. 2023, 406, 135072. [Google Scholar] [CrossRef]
- Pérez-Labrada, F.; López-Vargas, E.R.; Ortega-Ortiz, H.; Cadenas-Pliego, G.; Benavides-Mendoza, A.; Juárez-Maldonado, A. Responses of Tomato Plants under Saline Stress to Foliar Application of Copper Nanoparticles. Plants 2019, 8, 151. [Google Scholar] [CrossRef]
- Medrano, J.; Nohemi, E.; Mart, R.; Alfredo, W.; Mendoza, A.B.; Mart, P. Iodine Products Application. Agronomy 2021, 11, 602. [Google Scholar] [CrossRef]
- Khatun, M.; Sarkar, S.; Era, F.M.; Islam, A.K.M.M.; Anwar, M.P.; Fahad, S.; Datta, R.; Islam, A.K.M.A. Drought Stress in Grain Legumes: Effects, Tolerance Mechanisms and Management. Agronomy 2021, 11, 2374. [Google Scholar] [CrossRef]
- Blasco, B.; Rios, J.J.; Cervilla, L.M.; Sánchez-Rodríguez, E.; Rubio-Wilhelmi, M.M.; Rosales, M.A.; Ruiz, J.M.; Romero, L. Photorespiration Process and Nitrogen Metabolism in Lettuce Plants (Lactuca sativa L.): Induced Changes in Response to Iodine Biofortification. J. Plant Growth Regul. 2010, 29, 477–486. [Google Scholar] [CrossRef]
- Behboudi, F.; Tahmasebi-Sarvestani, Z.; Kassaee, M.Z.; Modarres-Sanavy, S.A.M.; Sorooshzadeh, A.; Mokhtassi-Bidgoli, A. Evaluation of Chitosan Nanoparticles Effects with Two Application Methods on Wheat under Drought Stress. J. Plant Nutr. 2019, 42, 1439–1451. [Google Scholar] [CrossRef]
- Kiferle, C.; Martinelli, M.; Salzano, A.M.; Gonzali, S.; Beltrami, S.; Salvadori, P.A.; Hora, K.; Holwerda, H.T.; Scaloni, A.; Perata, P. Evidences for a Nutritional Role of Iodine in Plants. Front. Plant Sci. 2021, 12, 616868. [Google Scholar] [CrossRef] [PubMed]
- Hassan, F.A.S.; Ali, E.; Gaber, A.; Fetouh, M.I.; Mazrou, R. Chitosan Nanoparticles Effectively Combat Salinity Stress by Enhancing Antioxidant Activity and Alkaloid Biosynthesis in Catharanthus roseus (L.) G. Don. Plant Physiol. Biochem. 2021, 162, 291–300. [Google Scholar] [CrossRef] [PubMed]
- Sen, S.K.; Chouhan, D.; Das, D.; Ghosh, R.; Mandal, P. Improvisation of Salinity Stress Response in Mung Bean through Solid Matrix Priming with Normal and Nano-Sized Chitosan. Int. J. Biol. Macromol. 2020, 145, 108–123. [Google Scholar] [CrossRef]
- López-Vargas, E.; Ortega-Ortíz, H.; Cadenas-Pliego, G.; de Alba Romenus, K.; Cabrera de la Fuente, M.; Benavides-Mendoza, A.; Juárez-Maldonado, A. Foliar Application of Copper Nanoparticles Increases the Fruit Quality and the Content of Bioactive Compounds in Tomatoes. Appl. Sci. 2018, 8, 1020. [Google Scholar] [CrossRef]
- Halka, M.; Smoleń, S.; Ledwożyw-Smoleń, I.; Sady, W. Vential and Iodine Accumulation in Young Tomato Plants. J. Plant Growth Regul. 2020, 39, 282–295. [Google Scholar] [CrossRef]
- Blasco, B.; Ríos, J.J.; Leyva, R.; Cervilla, L.M.; Sánchez-Rodríguez, E.; Rubio-Wilhelmi, M.M.; Rosales, M.A.; Ruiz, J.M.; Romero, L. Does Iodine Biofortification Affect Oxidative Metabolism in Lettuce Plants. Biol. Trace Elem. Res. 2011, 142, 831–842. [Google Scholar] [CrossRef]
- Thuy, N.P.; Ngan, V.T.T.; Trai, N.N.; Phong, V.T.; Ai, T.N.; Thi, Q.V.C.; Khang, D.T. Potential Effects of Nanochitosan on Rice Under Salinity. Pak. J. Bot. 2024, 56, 19–26. [Google Scholar] [CrossRef]
- Chaudhary, P.; Khati, P.; Gangola, S.; Kumar, A.; Kumar, R.; Sharma, A. Impact of Nanochitosan and Bacillus Spp. on Health, Productivity and Defence Response in Zea Mays under Field Condition. 3 Biotech 2021, 11, 237. [Google Scholar] [CrossRef]
- Chandra, S.; Chakraborty, N.; Dasgupta, A.; Sarkar, J.; Panda, K.; Acharya, K. Chitosan Nanoparticles: A Positive Modulator of Innate Immune Responses in Plants. Sci. Rep. 2015, 5, srep15195. [Google Scholar] [CrossRef]
- Irato, P.; Santovito, G. Enzymatic and Non-Enzymatic Molecules with Antioxidant Function. Antioxidants 2021, 10, 579. [Google Scholar] [CrossRef] [PubMed]
- Gupta, N.; Shukla Bajpai, M.; Singh Majumdar, R.; Mishra, P.K. Response of Iodine on Antioxidant Levels of Glycine Max L. Grown under Cd2+ Stress. Adv. Biol. Res. 2015, 9, 40–48. [Google Scholar]
- Medrano-Macías, J.; Leija-Martínez, P.; Juárez-Maldonado, A.; Rocha-Estrada, A.; Benavides-Mendoza, A. Efecto de La Aplicación de Yodo Sobre Antioxidantes En Plántulas de Jitomate. Rev. Chapingo Ser. Hortic. 2016, 22, 133–143. [Google Scholar] [CrossRef]
- Croft, H.; Chen, J.M.; Wang, R.; Mo, G.; Luo, S.; Luo, X.; He, L.; Gonsamo, A.; Arabian, J.; Zhang, Y.; et al. The Global Distribution of Leaf Chlorophyll Content. Remote Sens. Environ. 2020, 236, 111479. [Google Scholar] [CrossRef]
- Dai, J.L.; Zhu, Y.G.; Zhang, M.; Huang, Y.Z. Selecting Iodine-Enriched Vegetables and the Residual Effect of Iodate Application to Soil. Biol. Trace Elem. Res. 2004, 101, 265–276. [Google Scholar] [CrossRef]
- Choudhary, R.C.; Kumaraswamy, R.V.; Kumari, S.; Sharma, S.S.; Pal, A.; Raliya, R.; Biswas, P.; Saharan, V. Cu-Chitosan Nanoparticle Boost Defense Responses and Plant Growth in Maize (Zea Mays L.). Sci. Rep. 2017, 7, 9754. [Google Scholar] [CrossRef]
- Balusamy, S.R.; Rahimi, S.; Sukweenadhi, J.; Sunderraj, S.; Shanmugam, R.; Thangavelu, L.; Mijakovic, I.; Perumalsamy, H. Chitosan, Chitosan Nanoparticles and Modified Chitosan Biomaterials, a Potential Tool to Combat Salinity Stress in Plants. Carbohydr. Polym. 2022, 284, 119189. [Google Scholar] [CrossRef]
- Li, S. Novel Insight into Functions of Ascorbate Peroxidase in Higher Plants: More than a Simple Antioxidant Enzyme. Redox Biol. 2023, 64, 102789. [Google Scholar] [CrossRef]
- González-Morales, S.; Solís-Gaona, S.; Valdés-Caballero, M.V.; Juárez-Maldonado, A.; Loredo-Treviño, A.; Benavides-Mendoza, A. Transcriptomics of Biostimulation of Plants Under Abiotic Stress. Front. Genet. 2021, 12, 583888. [Google Scholar] [CrossRef]
- Qu, D.Y.; Gu, W.R.; Zhang, L.G.; Li, C.F.; Chen, X.C.; Li, J.; Li, L.J.; Xie, T.L.; Wei, S. Role of Chitosan in the Regulation of the Growth, Antioxidant System and Photosynthetic Characteristics of Maize Seedlings under Cadmium Stress. Russ. J. Plant Physiol. 2019, 66, 140–151. [Google Scholar] [CrossRef]
- Javed, J.; Rauf, M.; Arif, M.; Hamayun, M.; Gul, H.; Ud-Din, A.; Ud-Din, J.; Sohail, M.; Rahman, M.M.; Lee, I.J. Endophytic Fungal Consortia Enhance Basal Drought-Tolerance in Moringa Oleifera by Upregulating the Antioxidant Enzyme (APX) through Heat Shock Factors. Antioxidants 2022, 11, 1669. [Google Scholar] [CrossRef] [PubMed]
- Pour-Aboughadareh, A.; Omidi, M.; Naghavi, M.R.; Etminan, A.; Mehrabi, A.A.; Poczai, P. Wild Relatives of Wheat Respond Well to Water Deficit Stress: A Comparative Study of Antioxidant Enzyme Activities and Their Encoding Gene Expression. Agriculture 2020, 10, 415. [Google Scholar] [CrossRef]
- Saed-Moucheshi, A.; Sohrabi, F.; Fasihfar, E.; Baniasadi, F.; Riasat, M.; Mozafari, A.A. Superoxide Dismutase (SOD) as a Selection Criterion for Triticale Grain Yield under Drought Stress: A Comprehensive Study on Genomics and Expression Profiling, Bioinformatics, Heritability, and Phenotypic Variability. BMC Plant Biol. 2021, 21, 148. [Google Scholar] [CrossRef] [PubMed]
- Shams, M.; Pokora, W.; Khadivi, A.; Aksmann, A. Superoxide Dismutase in Arabidopsis and Chlamydomonas: Diversity, Localization, Regulation, and Role. Plant Soil 2024, 503, 751–771. [Google Scholar] [CrossRef]
- Chun, S.C.; Chandrasekaran, M. Chitosan and Chitosan Nanoparticles Induced Expression of Pathogenesis-Related Proteins Genes Enhances Biotic Stress Tolerance in Tomato. Int. J. Biol. Macromol. 2019, 125, 948–954. [Google Scholar] [CrossRef]
- Hernández-Hernández, H.; González-Morales, S.; Benavides-Mendoza, A.; Ortega-Ortiz, H.; Cadenas-Pliego, G.; Juárez-Maldonado, A. Effects of Chitosan–PVA and Cu Nanoparticles on the Growth and Antioxidant Capacity of Tomato under Saline Stress. Molecules 2018, 23, 178. [Google Scholar] [CrossRef]
- Rajput, V.D.; Singh, R.K.; Verma, K.K.; Sharma, L.; Sushkova, S.; Mandzhieva, S. Recent Developments in Enzymatic Antioxidant Defence Mechanism in Plants with Special Reference to Abiotic Stress. Biology 2021, 10, 267. [Google Scholar] [CrossRef]
- Espinosa-Vellarino, F.L.; Garrido, I.; Casimiro, I.; Silva, A.C.; Espinosa, F.; Ortega, A. Enzymes Involved in Antioxidant and Detoxification Processes Present Changes in the Expression Levels of Their Coding Genes under the Stress Caused by the Presence of Antimony in Tomato. Plants 2024, 13, 609. [Google Scholar] [CrossRef]
- Wang, W.; Cheng, Y.; Ruan, M.; Ye, Q.; Yao, Z.; Wang, R.; Zhou, G.; Liu, D.; Wan, H. Comprehensive Identification of Glutathione Peroxidase (GPX) Gene Family in Response to Abiotic Stress in Pepper (Capsicum annuum L.). Gene 2023, 881, 147625. [Google Scholar] [CrossRef]
- Kim, J.S.; Jeon, B.W.; Kim, J. Signaling Peptides Regulating Abiotic Stress Responses in Plants. Front. Plant Sci. 2021, 12, 704490. [Google Scholar] [CrossRef]
- Raza, A.; Wei, S.; Ang, G.; Mehmood, S.S.; Hussain, M.A.; Nie, W.; Yan, L.; Zou, X.; Zhang, X. Catalase (Cat) Gene Family in Rapeseed (Brassica napus l.): Genome-wide Analysis, Identification and Expression Pattern in Response to Multiple Hormones and Abiotic Stress Conditions. Int. J. Mol. Sci. 2021, 22, 4281. [Google Scholar] [CrossRef] [PubMed]
- Yang, T.; Peng, Q.; Lin, H.; Xi, D. Alpha-Momorcharin Preserves Catalase Activity to Inhibit Viral Infection by Disrupting the 2b–CAT Interaction in Solanum lycopersicum. Mol. Plant Pathol. 2023, 24, 107–122. [Google Scholar] [CrossRef] [PubMed]
- Zhang, M.; Li, Q.; Liu, T.; Liu, L.; Shen, D.; Zhu, Y.; Liu, P.; Zhou, J.-M.; Dou, D. Two Cytoplasmic Effectors of Phytophthora Sojae Regulate Plant Cell Death via Interactions with Plant Catalases. Plant Physiol. 2014, 167, 164–175. [Google Scholar] [CrossRef] [PubMed]
- Iqbal, N.; Czékus, Z.; Poór, P.; Ördög, A. Ethylene-Dependent Regulation of Oxidative Stress in the Leaves of Fusaric Acid-Treated Tomato Plants. Plant Physiol. Biochem. 2023, 196, 841–849. [Google Scholar] [CrossRef]
- Opazo, M.C.; Coronado-Arrázola, I.; Vallejos, O.P.; Moreno-Reyes, R.; Fardella, C.; Mosso, L.; Kalergis, A.M.; Bueno, S.M.; Riedel, C.A. The Impact of the Micronutrient Iodine in Health and Diseases. Crit. Rev. Food Sci. Nutr. 2022, 62, 1466–1479. [Google Scholar] [CrossRef]
- Fuge, R.; Johnson, C.C. Iodine and Human Health, the Role of Environmental Geochemistry and Diet, a Review. Appl. Geochem. 2015, 63, 282–302. [Google Scholar] [CrossRef]
- Cortés-Flores, C.; Rodríguez-Mendoza, M.N.; Benavides-Mendoza, A.; García-Cué, J.L.; Tornero-Campante, M.; Sánchez-García, P. El Yodo Aumenta El Crecimiento y La Concentración de Minerales En Plántulas de Pimiento Morrón. Agrociencia 2016, 50, 747–758. [Google Scholar]
- Kiferle, C.; Gonzali, S.; Holwerda, H.T.; Ibaceta, R.R.; Perata, P. Tomato Fruits: A Good Target for Iodine Biofortification. Front. Plant Sci. 2013, 4, 47070. [Google Scholar] [CrossRef]
- Saxena, J. Application of Electrolysed Water in Post-Harvest Treatment of Fruits and Vegetables. Sustain. Food Technol. 2024, 2, 281–291. [Google Scholar] [CrossRef]
- Duborská, E.; Urík, M.; Šeda, M. Iodine Biofortification of Vegetables Could Improve Iodine Supplementation Status. Agronomy 2020, 10, 1574. [Google Scholar] [CrossRef]
- Blasco, B.; Leyva, R.; Romero, L.; Ruiz, J.M. Iodine Effects on Phenolic Metabolism in Lettuce Plants under Salt Stress. J. Agric. Food Chem. 2013, 61, 2591–2596. [Google Scholar] [CrossRef] [PubMed]
- Steiner, A.A. A Universal Method for Preparing Nutrient Solutions of a Certain Desired Composition. Plant Soil 1961, 15, 134–154. [Google Scholar] [CrossRef]
- Ortega Ortiz, H.; Alvarado Tenorio, G.; Comparán Padilla, V.E.; RamÍrez Rodríguez, S.C. Obtención de Complejos Yodados a Partir de Nanopartículas de Quitosán y Sales de Yodo. 2022; Record: MX/a/2022/015150. Date: 30/11/2022. Available online: https://vidoc.impi.gob.mx/visor?usr=SIGA&texp=SI&tdoc=E&id=MX/a/2022/015150 (accessed on 20 December 2024).
- Rivera-Solís, L.L.; Ortega-Ortiz, H.; Benavides-Mendoza, A.; Flores-López, M.L.; Robledo-Olivo, A.; González-Morales, S. Efecto Bioestimulante de Nanoquitosán-Yodo En El Crecimiento y Vigor de Plantas de Tomate. Ecosistemas y Recur. Agropecu. 2024, 11, 2. [Google Scholar] [CrossRef]
- USDA United States Standards for Grades of Fresh Tomatoes. United States Dep. Agric. 1991, 1991, 1–13.
- Bradford, M.M. A Rapid and Sensitive Method for the Quantitation of Microgram Quantities of Protein Utilizing the Principle of Protein-Dye Binding. Anal. Biochem. 1976, 72, 248–254. [Google Scholar] [CrossRef]
- Dhindsa, R.S.; Plumb-Dhindsa, P.; Thorpe, A.T. Leaf Senescence: Correlated with Increased Levels of Membrane Permeability and Lipid Peroxidation, and Decreased Levels of Superoxide Dismutase and Catalase. J. Exp. Bot. 1981, 32, 93–101. [Google Scholar] [CrossRef]
- Flohé, L.; Günzler, W.A. Assays of Gluthathione Peroxidase. Methods Enzymol. 1984, 105, 114–120. [Google Scholar]
- Nakano, Y.; Asada, K. Purification of Ascorbate Peroxidase in Spinach Chloroplasts; Its Inactivation in Ascorbate-Depleted Medium and Reactivation by Monodehydroascorbate Radical. Plant cell Physiol. 1987, 28, 131–140. [Google Scholar]
- Wellburn, A.R. The Spectral Determination of Chlorophylls a and b, as Well as Total Carotenoids, Using Various Solvents with Spectrophotometers of Different Resolution. J. Plant Physiol. 1994, 144, 307–313. [Google Scholar] [CrossRef]
- Cui, X.; Tao, X.; Xie, Y.; Fauquet, C.M.; Zhou, X. A DNAβ Associated with Tomato Yellow Leaf Curl China Virus Is Required for Symptom Induction. J. Virol. 2004, 78, 13966–13974. [Google Scholar] [CrossRef]
- Fick, K.R.; Miller, S.M.; Funk, J.D.; McDowell, L.R.; Houser, R.H. Methods of Mineral Analysis for Plant and Animal Tissues; US Agency for International Development (USA): Washington, DC, USA, 1976.
- Cortés, C.; Rodríguez, M.N.; Benavides, A.; García, J.L.; Tornero, M.; Sánchez, P. Iodine Increases Growth and Mineral Concentration in Bell Pepper Seedlings. Agrociencia 2016, 50, 747–758. [Google Scholar]
- Fischer, P.W.F.; L’Abbé, M.R.; Giroux, A. Colorimetric Determination of Total Iodine in Foods by Iodide-Catalyzed Reduction of Ce+4. J. Assoc. Off. Anal. Chem. 1986, 69, 687–689. [Google Scholar] [CrossRef] [PubMed]
- Meier, U. Estadios de Las Plantas Mono-y Dicotyledóneas; Centro Federal de Investigaciones Biológicas para Agricultura y Silvicultura: Berlin, Germany, 2001. [Google Scholar]
- Yadav, A.; Kumar, N.; Upadhyay, A.; Sethi, S.; Singh, A. Edible Coating as Postharvest Management Strategy for Shelf-Life Extension of Fresh Tomato (Solanum Lycopersicum L.): An Overview. J. Food Sci. 2022, 87, 2256–2290. [Google Scholar] [CrossRef] [PubMed]
- Padayatt, S.J.; Daruwala, R.; Wang, Y.; Eck, P.K.; Song, J.; Koh, W.S.; Levine, M. Vitamin C: From molecular actions to optimum intake. In Handbook of Antioxidants; CRC Press: Boca Raton, FL, USA, 2001. [Google Scholar]
- Yu, Z.; Dahlgren, R.A. Evaluation of methods for measuring polyphenols in conifer foliage. J. Chem. Ecol. 2000, 26, 2119–2140. [Google Scholar] [CrossRef]
- Bunghez, I.R.; Raduly, M.; Doncea, S.; Aksahin, I.; Ion, R.M. Lycopene Determination in Tomatoes by Different Spectral Techniques (UV-VIS, FTIR and HPLC). Dig. J. Nanomater. Biostructures 2011, 6, 1349–1356. [Google Scholar]
- Kotíková, Z.; Lachman, J.; Hejtmánková, A.; Hejtmánková, K. Determination of Antioxidant Activity and Antioxidant Content in Tomato Varieties and Evaluation of Mutual Interactions between Antioxidants. LWT-Food Sci. Technol. 2011, 44, 1703–1710. [Google Scholar] [CrossRef]









| Organ | Treatments | mg kg−1, DW (n = 3) | |||
|---|---|---|---|---|---|
| K | Na | Mg | Ca | ||
| Stems | T0 | 7665.33 ab | 101.33 | 1551.67 | 3821.67 |
| nCs | 6752.67 ab | 236.00 | 4780.00 | 3588.00 | |
| KIO3-5 | 6325.00 ab | N.D. | 1127.33 | 8446.33 | |
| KIO3-25 | 4639.33 ab | N.D. | 720.00 | 2305.00 | |
| nCS-KIO3-5 | 4434.00 ab | N.D. | 849.67 | 4261.67 | |
| nCS-KIO3-25 | 8808.00 ab | 332.67 | 6028.00 | 5812.33 | |
| KI-5 | 4787.67 ab | N.D. | 841.00 | 3506.00 | |
| KI-25 | 4911.33 ab | N.D. | 855.67 | 6128.33 | |
| nCS-KI-5 | 2847.33 b | 398.00 | 798.33 | 1729.33 | |
| nCS-KI-25 | 14,650.33 a | N.D. | 1851.00 | 7875.33 | |
| Leaves | T0 | 4230.67 | 101.00 | 1037.00 b | 5448.33 |
| nCS | 11,245.67 | 741.67 | 6315.67 ab | 30,094.00 | |
| KIO3-5 | 4205.00 | 635.67 | 2692.00 b | 30,814.67 | |
| KIO3-25 | 9126.67 | 97.00 | 6825.67 ab | 26,208.33 | |
| nCS-KIO3-5 | 9353.33 | N.D. | 6212.67 ab | 21,296.00 | |
| nCS-KIO3-25 | 1270.67 | 5.67 | 1105.00 b | 10,559.33 | |
| KI-5 | 13,639.67 | 838.67 | 10,472.33 a | 33,691.00 | |
| KI-25 | 8084.67 | N.D. | 3637.00 ab | 18,326.00 | |
| nCS-KI-5 | 11,484.33 | N.D. | 5537.33 ab | 17,739.00 | |
| nCS-KI-25 | 11,479.00 | 29.67 | 1278.00 b | 24,097.00 | |
| Tomato fruit | T0 | 15,520.67 | 37.00 c | 667.00 | 696.33 |
| nCS | 11,626.67 | 547.33 ab | 488.67 | 554.33 | |
| KIO3-5 | 9168.33 | 618.00 ab | 347.67 | 602.33 | |
| KIO3-25 | 18,238.67 | 498.00 ab | 564.00 | 763.33 | |
| nCS-KIO3-5 | 6702.33 | 495.33 ab | 281.33 | 381.67 | |
| nCS-KIO3-25 | 14,185.33 | 755.67 a | 557.67 | 519.00 | |
| KI-5 | 10,490.33 | 510.67 ab | 338.00 | 475.67 | |
| KI-25 | 8619.67 | 563.67 ab | 375.00 | 370.67 | |
| nCS-KI-5 | 10,111.67 | 732.33 a | 462.00 | 698.67 | |
| nCS-KI-25 | 10,264.00 | 313.33 bc | 329.33 | 528.67 | |
| Organ | Treatments | mg kg−1, DW (n = 3) | |||
|---|---|---|---|---|---|
| Zn | Fe | Mn | Cu | ||
| Stems | T0 | 538.00 ab | 303.67 a | 70.33 a | N.D. |
| nCS | 446.00 ab | 306.67 a | 17.67 b | N.D. | |
| KIO3-5 | 531.33 ab | 276.67 ab | 20.00 b | 39.67 | |
| KIO3-25 | 488.33 ab | 224.33 a–c | 11.00 b | 4.67 | |
| nCS-KIO3-5 | 439.00 ab | 256.67 a–c | 12.00 b | 7.67 | |
| nCS-KIO3-25 | 427.33 ab | 305.67 a | 17.67 b | 21.00 | |
| KI-5 | 452.33 ab | 82.33 a–c | 10.67 b | N.D. | |
| KI-25 | 345.00 b | 212.00 a–c | 17.67 b | N.D. | |
| nCS-KI-5 | 791.67 a | 61.67 bc | 9.67 b | N.D. | |
| nCS-KI-25 | 402.33 ab | 34.33 c | 27.00 b | N.D. | |
| Leaves | T0 | 259.67 | 1134.67 | 30.67 | 3.00 |
| nCS | 279.00 | 1061.67 | 174.67 | N.D. | |
| KIO3-5 | 299.33 | 987.33 | 75.33 | N.D. | |
| KIO3-25 | 443.00 | 1178.00 | 215.00 | 195.33 | |
| nCS-KIO3-5 | 497.67 | 925.33 | 190.00 | N.D. | |
| nCS-KIO3-25 | 383.33 | 1209.00 | 39.67 | N.D. | |
| KI-5 | 393.67 | 1378.00 | 235.67 | N.D. | |
| KI-25 | 190.67 | 924.00 | 151.67 | 3.33 | |
| nCS-KI-5 | 575.67 | 1754.33 | 161.33 | 20.00 | |
| nCS-KI-25 | 221.67 | 991.67 | 202.00 | 0.67 | |
| Tomato fruit | T0 | 322.67 a | 298.67 a | 9.33 ab | 34.33 a |
| nCS | 187.00 a–c | 81.00 b | 6.67 ab | 5.00 b | |
| KIO3-5 | 182.33 a–c | 93.67 b | 5.00 ab | 9.33 ab | |
| KIO3-25 | 305.00 ab | 82.00 b | 9.33 ab | 9.33 ab | |
| nCS-KIO3-5 | 256.67 a–c | 68.00 b | 4.33 b | 12.67 ab | |
| nCS-KIO3-25 | 215.00 a–c | 62.67 b | 7.67 ab | N.D. | |
| KI-5 | 143.00 bc | 0.67 b | 18.00 a | N.D. | |
| KI-25 | 127.67 c | 122.67 b | 6.00 ab | N.D. | |
| nCS-KI-5 | 113.33 c | 20.00 b | 5.67 ab | N.D. | |
| nCS-KI-25 | 114.33 c | 29.00 b | 4.33 b | N.D. | |
| Treatments | pH | TSS | EC (µS cm−1) | ORP (mV) | Firmness (kg cm2) |
|---|---|---|---|---|---|
| T0 | 4.58 | 894.00 a | 1384.67 | 187.33 bc | 20.95 |
| nCS | 4.50 | 576.67 ab | 880.33 | 184.33 a–c | 4.07 |
| KIO3-5 | 4.73 | 519.67 b | 1226.00 | 179.00 ab | 2.31 |
| KIO3-25 | 4.57 | 481.00 b | 1174.67 | 179.67 ab | 2.66 |
| nCS-KIO3-5 | 4.61 | 785.00 ab | 1046.33 | 160.00 a | 3.67 |
| nCS-KIO3-25 | 4.66 | 631.67 ab | 1053.67 | 161.67 a | 2.92 |
| KI-5 | 4.53 | 714.67 ab | 1063.33 | 208.00 bc | 4.27 |
| KI-25 | 4.64 | 668.33 ab | 1147.00 | 171.67 ab | 3.23 |
| nCS-KI-5 | 4.73 | 641.33 ab | 1345.33 | 179.67 ab | 4.06 |
| nCS-KI-25 | 4.66 | 599.67 ab | 1059.33 | 222.33 c | 2.64 |
| Period (DAT) | Temperature (°C) | RH (%) |
|---|---|---|
| 0 | 28.7 | 51.50 |
| 15 | 24.7 | 81.00 |
| 30 | 20.65 | 89.00 |
| 45 | 36.35 | 42.50 |
| 60 | 38.55 | 40.50 |
| 75 | 38.15 | 41.00 |
| 90 | 41.65 | 38.00 |
| 105 | 42.75 | 37.00 |
| 120 | 44.65 | 33.00 |
| Gene | Forward Primer 5′–3′ | Reverse Primer 5′–3′ | Tm |
|---|---|---|---|
| ACT | CCCAGGCACACAGGTGTTAT | CAGGAGCAACTCGAAGCTCA | 60 °C |
| SOD | TGGGAATCTATGAAGCCCAAC | AATTGTGTTGCTGCAGCTGC | 60 °C |
| APX | TGACCACTTGAGGGACGTGTT | CAGAACGCTCCTTGTGGCAT | 60 °C |
| GPX | ACGGAGCAAGCGACAATTGACAAC | CGATTGATTCACCGCAAAGCTCGT | 60 °C |
| CAT | CCATCCAAATAATCATCAGAG | GGATAAAATAAAAATTATTTT | 60 °C |
Disclaimer/Publisher’s Note: The statements, opinions and data contained in all publications are solely those of the individual author(s) and contributor(s) and not of MDPI and/or the editor(s). MDPI and/or the editor(s) disclaim responsibility for any injury to people or property resulting from any ideas, methods, instructions or products referred to in the content. |
© 2025 by the authors. Licensee MDPI, Basel, Switzerland. This article is an open access article distributed under the terms and conditions of the Creative Commons Attribution (CC BY) license (https://creativecommons.org/licenses/by/4.0/).
Share and Cite
Rivera-Solís, L.L.; Ortega-Ortiz, H.; Benavides-Mendoza, A.; Flores-López, M.L.; Robledo-Olivo, A.; González-Morales, S. Tomato Biostimulation with Nanochitosan–Iodine Complexes: Enhancing Antioxidant Metabolism. Plants 2025, 14, 801. https://doi.org/10.3390/plants14050801
Rivera-Solís LL, Ortega-Ortiz H, Benavides-Mendoza A, Flores-López ML, Robledo-Olivo A, González-Morales S. Tomato Biostimulation with Nanochitosan–Iodine Complexes: Enhancing Antioxidant Metabolism. Plants. 2025; 14(5):801. https://doi.org/10.3390/plants14050801
Chicago/Turabian StyleRivera-Solís, Luz Leticia, Hortensia Ortega-Ortiz, Adalberto Benavides-Mendoza, María Liliana Flores-López, Armando Robledo-Olivo, and Susana González-Morales. 2025. "Tomato Biostimulation with Nanochitosan–Iodine Complexes: Enhancing Antioxidant Metabolism" Plants 14, no. 5: 801. https://doi.org/10.3390/plants14050801
APA StyleRivera-Solís, L. L., Ortega-Ortiz, H., Benavides-Mendoza, A., Flores-López, M. L., Robledo-Olivo, A., & González-Morales, S. (2025). Tomato Biostimulation with Nanochitosan–Iodine Complexes: Enhancing Antioxidant Metabolism. Plants, 14(5), 801. https://doi.org/10.3390/plants14050801

