Evaluation of Growth, Physiological, and Biochemical Responses of Different Medicago sativa L. Varieties Under Drought Stress
Abstract
1. Introduction
2. Results
2.1. Effects of Drought Stress on Plant Height and Aboveground Biomass in Seven Alfalfa Varieties
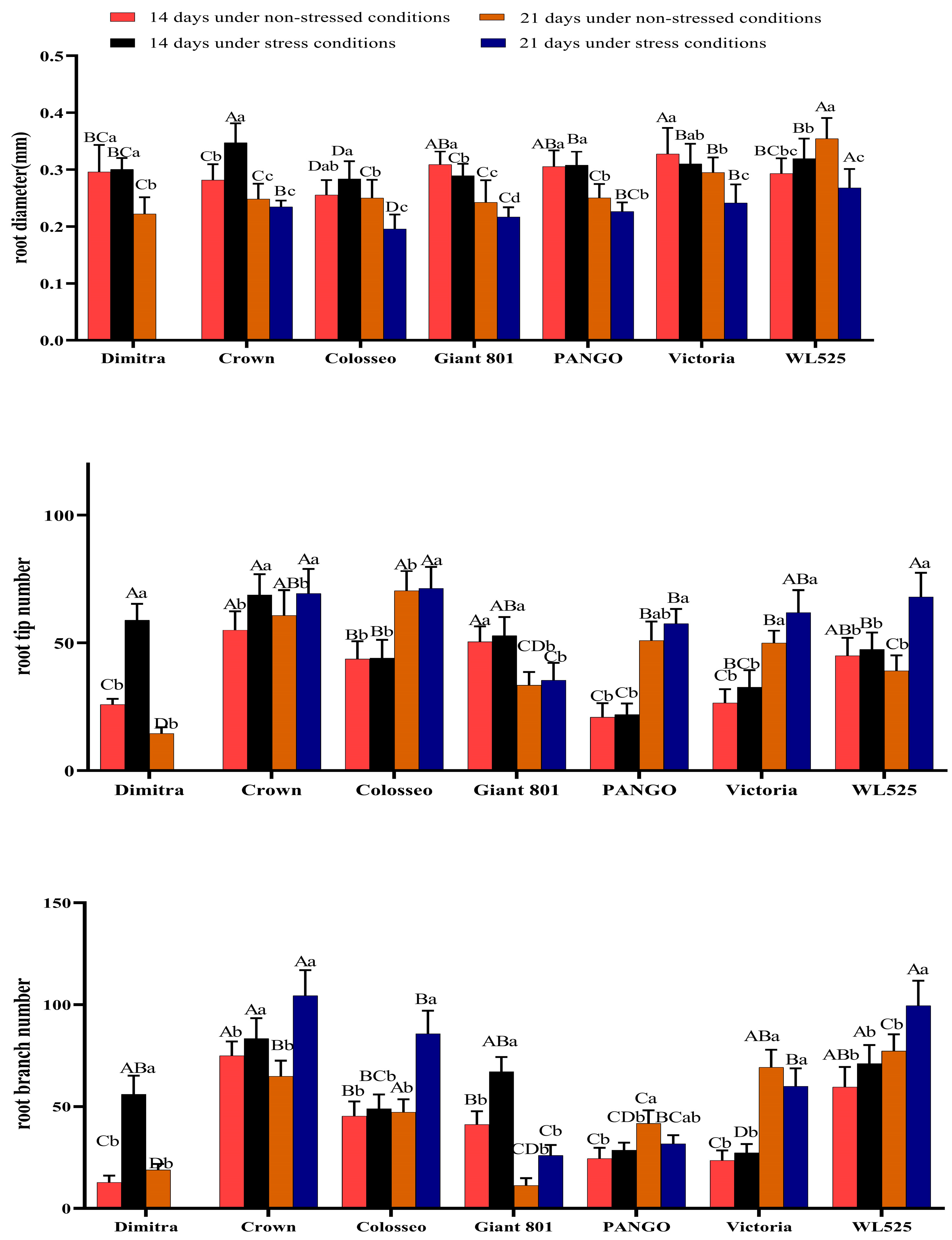
2.2. Effects of Drought Stress on Root Morphology in Seven Alfalfa Varieties
2.2.1. Root Length, Root Surface Area, and Root Volume
2.2.2. Root Tip Number, Root Branch Number, and Root Diameter
2.3. Effects of Drought Stress on Physiological Indicators in Seven Alfalfa Varieties
2.3.1. Antioxidant Enzymes
2.3.2. Effects of Drought Stress on H2O2, MDA, and Water Content in Seven Alfalfa Varieties
2.4. Correlation Analysis of Various Indicators in Seven Alfalfa Varieties Under Drought Stress
2.5. Principal Component Analysis
2.6. Membership Function Analysis of Drought Tolerance in Different Alfalfa Varieties
3. Discussion
3.1. Changes in Growth Parameters of Different Alfalfa Varieties Under Drought Stress
3.2. Changes in Physiological Parameters of Different Alfalfa Varieties Under Drought Stress
3.3. Comprehensive Evaluation of Drought Tolerance in Different Alfalfa Varieties
4. Materials and Methods
4.1. Experimental Varieties and Seedling Cultivation
4.2. Experimental Design
4.3. Measurement Indicators and Methods
4.3.1. Determination of Morphological Indicators
4.3.2. Determination of Physiological Indicators
4.4. Principal Component Analysis and Membership Function Analysis
4.5. Data Analysis
5. Conclusions
Author Contributions
Funding
Data Availability Statement
Acknowledgments
Conflicts of Interest
Abbreviations
| Alfalfa | Medicago sativa |
| CAT | Catalase |
| SOD | Superoxide dismutase |
| POD | Peroxidase |
| MDA | Malondialdehyde |
| WC | Water content |
| H2O2 | Hydrogen peroxide |
References
- Brodersen, C.R.; Roddy, A.B.; Wason, J.W.; McElrone, A.J. Functional Status of Xylem Through Time. Annu. Rev. Plant Biol. 2019, 70, 407–433. [Google Scholar] [CrossRef] [PubMed]
- Rao, X.; Zhang, Y.; Gao, Y.; Zhao, L.; Wang, P. Influence of Exogenous Abscisic Acid on Germination and Physiological Traits of Sophora viciifolia Seedlings under Drought Conditions. Appl. Sci. 2024, 14, 4359. [Google Scholar] [CrossRef]
- Kour, D.; Khan, S.S.; Kaur, T.; Kour, H.; Singh, G.; Yadav, A.; Yadav, A.N. Drought adaptive microbes as bioinoculants for the horticultural crops. Heliyon 2022, 8, e09493. [Google Scholar] [CrossRef] [PubMed]
- Seleiman, M.F.; Al-Suhaibani, N.; Ali, N.; Akmal, M.; Alotaibi, M.; Refay, Y.; Dindaroglu, T.; Abdul-Wajid, H.H.; Battaglia, M.L. Drought Stress Impacts on Plants and Different Approaches to Alleviate Its Adverse Effects. Plants 2021, 10, 259. [Google Scholar] [CrossRef]
- Wang, P.; Ding, L.; Zou, C.; Zhang, Y.; Wang, M. Rhizosphere element circling, multifunctionality, aboveground productivity and trade-offs are better predicted by rhizosphere rare taxa. Front. Plant Sci. 2022, 13, 985574. [Google Scholar] [CrossRef]
- Bashir, S.S.; Hussain, A.; Hussain, S.J.; Wani, O.A.; Nabi, S.Z.; Dar, N.A.; Baloch, F.S.; Mansoor, S. Plant drought stress tolerance: Understanding its physiological, biochemical and molecular mechanisms. Biotechnol. Biotechnol. Equip. 2021, 35, 1912–1925. [Google Scholar] [CrossRef]
- O’connell, E. Towards Adaptation of Water Resource Systems to Climatic and Socio-Economic Change. Water Resour. Manag. 2017, 31, 2965–2984. [Google Scholar] [CrossRef]
- Umair, M.; Sun, N.; Du, H.; Yuan, J.; Abbasi, A.M.; Wen, J.; Yu, W.; Zhou, J.; Liu, C. Differential metabolic responses of shrubs and grasses to water additions in arid karst region, southwestern China. Sci. Rep. 2019, 9, 9613. [Google Scholar] [CrossRef]
- Kang, Y.; Seminario, A.; Udvardi, M.; Annicchiarico, P. Physiological and biochemical adaptive traits support the specific breeding of alfalfa (Medicago sativa) for severely drought-stressed or moisture-favourable environments. J. Agron. Crop Sci. 2023, 209, 132–143. [Google Scholar] [CrossRef]
- Zhang, C.; Shi, S.; Wang, B.; Zhao, J. Physiological and biochemical changes in different drought-tolerant alfalfa (Medicago sativa L.) varieties under PEG-induced drought stress. Acta Physiol. Plant. 2018, 40, 25. [Google Scholar] [CrossRef]
- Liu, W.; Liu, L.; Gao, J.; Wu, S.; Liu, Y. Evaluation of the effectiveness of irrigation methods and fertilization strategies for alfalfa: A meta-analysis. J. Agron. Crop. Sci. 2023, 209, 788–801. [Google Scholar] [CrossRef]
- Zhang, Y.; Liu, G.; Lu, Q.; Xiong, D.; Li, G.; Du, S. Understanding the Limiting Climatic Factors on the Suitable Habitat of Chinese Alfalfa. Forests 2022, 13, 482. [Google Scholar] [CrossRef]
- Kang, Y.; Han, Y.; Torres-Jerez, I.; Wang, M.; Tang, Y.; Monteros, M.; Udvardi, M. System responses to long-term drought and re-watering of two contrasting alfalfa varieties. Plant J. 2011, 68, 871–889. [Google Scholar] [CrossRef] [PubMed]
- He, S.; Liu, G.; Yang, H. Water use efficiency by alfalfa: Mechanisms involving anti-oxidation and osmotic adjustment under drought. Russ. J. Plant Physiol. 2012, 59, 348–355. [Google Scholar] [CrossRef]
- Inostroza, L.; Espinoza, S.; Barahona, V.; Gerding, M.; Humphries, A.; del Pozo, A.; Ovalle, C. Phenotypic Diversity and Productivity of Medicago sativa Subspecies from Drought-Prone Environments in Mediterranean Type Climates. Plants 2021, 10, 862. [Google Scholar] [CrossRef]
- Gul, L.; Sami, U.; Iftikhar, A. Physiological and biochemical responses of Brassica napus L. to drought-induced stress by the application of biochar and Plant Growth Promoting Rhizobacteria. Microsc. Res. Techniq. 2022, 85, 1267–1281. [Google Scholar] [CrossRef]
- Haddoudi, L.; Hdira, S.; Hanana, M.; Romero, I.; Haddoudi, I.; Mahjoub, A.; Badri, M. Evaluation of the Morpho-Physiological, Biochemical and Molecular Responses of Contrasting Medicago truncatula Lines under Water Deficit Stress. Plants 2021, 10, 2114. [Google Scholar] [CrossRef]
- Sun, S.; Ma, W.; Mao, P. Analysis of MsTERT Gene Expression Profile in Alfalfa (Medicago sativa) Indicates Their Response to Abiotic Stress and Seed Aging. Plants 2023, 12, 2036. [Google Scholar] [CrossRef]
- Ao, B.; Han, Y.; Wang, S.; Wu, F.; Zhang, J. Genome-Wide Analysis and Profile of UDP-Glycosyltransferases Family in Alfalfa (Medicago sativa L.) under Drought Stress. Int. J. Mol. Sci. 2022, 23, 7243. [Google Scholar] [CrossRef]
- Teixeira, E.; Guo, J.; Liu, J.; Cichota, R.; Brown, H.; Sood, A.; Yang, X.; Hannaway, D.; Moot, D. Assessing land suitability and spatial variability in lucerne yields across New Zealand. Eur. J. Agron. 2023, 148, 126853. [Google Scholar] [CrossRef]
- Li, S.; Wan, L.; Nie, Z.; Li, X. Fractal and Topological Analyses and Antioxidant Defense Systems of Alfalfa (Medicago sativa L.) Root System under Drought and Rehydration Regimes. Agronomy 2020, 10, 805. [Google Scholar] [CrossRef]
- Xing, J.; Fan, W.; Wang, J.; Shi, F. Variety-Driven Effect of Rhizosphere Microbial-Specific Recruitment on Drought Tolerance of Medicago ruthenica (L.). Microorganisms 2023, 11, 2851. [Google Scholar] [CrossRef] [PubMed]
- El-Katony, T.M.; Khedr, A.-H.A.-F.; Mergeb, S.O. Drought stress affects gas exchange and uptake and partitioning of minerals in swallowwort (Cynanchum acutum L.). Rendiconti Lince-Sci. Fis. E Nat. 2018, 29, 23–34. [Google Scholar] [CrossRef]
- Xu, W.; Cui, K.; Xu, A.; Nie, L.; Huang, J.; Peng, S. Drought stress condition increases root to shoot ratio via alteration of carbohydrate partitioning and enzymatic activity in rice seedlings. Acta Physiol. Plant. 2015, 37, 9. [Google Scholar] [CrossRef]
- Tani, E.; Chronopoulou, E.G.; Labrou, N.E.; Sarri, E.; Goufa, Μ.; Vaharidi, X.; Abraham, Ε.M. Growth, Physiological, Biochemical, and Transcriptional Responses to Drought Stress in Seedlings of Medicago sativa L., Medicago arborea L. and Their Hybrid (Alborea). Agronomy 2019, 9, 38. [Google Scholar] [CrossRef]
- Mouradi, M.; Bouizgaren, A.; Farissi, M.; Latrach, L.; Qaddoury, A.; Ghoulam, C. Seed osmopriming improves plant growth, nodulation, chlorophyll fluorescence and nutrient uptake in alfalfa (Medicago sativa L.)—Rhizobia symbiosis under drought stress. Sci. Hortic. 2016, 213, 232–242. [Google Scholar] [CrossRef]
- Boldaji, S.A.H.; Khavari-Nejad, R.A.; Sajedi, R.H.; Fahimi, H.; Saadatmand, S. Water availability effects on antioxidant enzyme activities, lipid peroxidation, and reducing sugar contents of alfalfa (Medicago sativa L.). Acta Physiol. Plant. 2012, 34, 1177–1186. [Google Scholar] [CrossRef]
- Gao, Y.; Lynch, J.P. Reduced crown root number improves water acquisition under water deficit stress in maize (Zea mays L.). J. Exp. Bot. 2016, 67, 4545–4557. [Google Scholar] [CrossRef]
- Ayub, M.; Ashraf, M.Y.; Kausar, A.; Saleem, S.; Anwar, S.; Altay, V.; Ozturk, M. Growth and physio-biochemical responses of maize (Zea mays L.) to drought and heat stresses. Plant Biosyst.—Int. J. Deal. All Asp. Plant Biol. 2021, 155, 535–542. [Google Scholar]
- Zhang, X.; Sun, Y.; Qiu, X.; Lu, H.; Hwang, I.; Wang, T. Tolerant mechanism of model legume plant Medicago truncatula to drought, salt, and cold stresses. Front. Plant Sci. 2022, 13, 847166. [Google Scholar] [CrossRef]
- Pantha, S.; Kilian, B.; Özkan, H.; Zeibig, F.; Frei, M. Physiological and biochemical changes induced by drought stress during the stem elongation and anthesis stages in the Triticum genus. Environ. Exp. Bot. 2024, 228, 106047. [Google Scholar] [CrossRef]
- Liu, L.; Zhang, Z.; Dong, J.; Wang, T. Overexpression of MtWRKY76 increases both salt and drought tolerance in Medicago truncatula. Environ. Exp. Bot. 2016, 123, 50–58. [Google Scholar] [CrossRef]
- Wang, L.; Jian, Z.; Wang, P.; Zhao, L.; Chen, K. Combined physiological responses and differential expression of drought-responsive genes preliminarily explain the drought resistance mechanism of Lotus corniculatus. Funct. Plant Biol. 2023, 50, 46–57. [Google Scholar] [CrossRef]
- Nadeem, M.; Li, J.; Yahya, M.; Sher, A.; Ma, C.; Wang, X.; Qiu, L. Research Progress and Perspective on Drought Stress in Legumes: A Review. Int. J. Mol. Sci. 2019, 20, 2541. [Google Scholar] [CrossRef]
- Xu, J.; Cai, M.; Li, J.; Chen, B.; Chen, Z.; Jia, W.; Xu, Z. Physiological, biochemical and metabolomic mechanisms of mitigation of drought stress-induced tobacco growth inhibition by spermidine. Ind. Crop. Prod. 2022, 181, 114844. [Google Scholar] [CrossRef]
- Liao, B.-H.; Liu, H.-Y.; Zeng, Q.-R.; Yu, P.-Z.; Probst, A.; Probst, J.-L. Complex toxic effects of Cd2+, Zn2+, and acid rain on growth of kidney bean (Phaseolus vulgaris L). Environ. Int. 2005, 31, 891–895. [Google Scholar] [CrossRef]
- Zhao, X.; Huang, L.-J.; Sun, X.-F.; Zhao, L.-L.; Wang, P.-C. Transcriptomic and Metabolomic Analyses Reveal Key Metabolites, Pathways and Candidate Genes in Sophora davidii (Franch.) Skeels Seedlings Under Drought Stress. Front. Plant Sci. 2022, 13, 785702. [Google Scholar] [CrossRef]
- Huang, L.; Ding, L.; Wang, W.; Zhao, L.; Zhao, X.; Wang, P. Effects of simulated drought stress on the growth and physiological and biochemical parameters of Paspalum wettsteinii. Acta Physiol. Plant. 2023, 45, 82. [Google Scholar] [CrossRef]
- Penella, C.; Nebauer, S.G.; San Bautista, A.; López-Galarza, S.; Calatayud, Á. Rootstock alleviates PEG-induced water stress in grafted pepper seedlings: Physiological responses. J. Plant Physiol. 2014, 171, 842–851. [Google Scholar] [CrossRef]
- Luo, D.; Liu, J.; Wu, Y.; Zhang, X.; Zhou, Q.; Fang, L.; Liu, Z. NUCLEAR TRANSPORT FACTOR 2-LIKE improves drought tolerance by modulating leaf water loss in alfalfa (Medicago sativa L.). Plant J. 2022, 112, 429–450. [Google Scholar] [CrossRef]
- Prince, S.; Anower, R.; Motes, C.M.; Hernandez, T.D.; Liao, F.; Putman, L.; Mattson, R.; Seethepalli, A.; Shah, K.; Komp, M.; et al. Intraspecific Variation for Leaf Physiological and Root Morphological Adaptation to Drought Stress in Alfalfa (Medicago sativa L.). Front. Plant Sci. 2022, 13, 795011. [Google Scholar] [CrossRef] [PubMed]
- Jampoh, E.A.; Sáfrán, E.; Babinyec-Czifra, D.; Kristóf, Z.; Péntek, B.K.; Fábián, A.; Barnabás, B.; Jäger, K. Morpho-Anatomical, Physiological and Biochemical Adjustments in Response to Heat and Drought Co-Stress in Winter Barley. Plants 2023, 12, 3907. [Google Scholar] [CrossRef] [PubMed]
- Wei, F.; Shi, J.-C.; Jin, J.-S.; Duan, Z.-Y.; Liang, X.; Luo, J.-N.; Qiu, L.-J.; Luo, J.; Xu, X.-N.; Wen, Y.-Q.; et al. Comprehensive evaluation of resistance of different strawberry varieties to Xanthomonas fragariae. Sci. Hortic. 2023, 325, 112647. [Google Scholar] [CrossRef]
- Zhang, T.; Kesoju, S.; Greene, S.L.; Fransen, S.; Hu, J.; Yu, L.-X. Genetic diversity and phenotypic variation for drought resistance in alfalfa (Medicago sativa L.) germplasm collected for drought tolerance. Genet. Resour. Crop. Evol. 2018, 65, 471–484. [Google Scholar] [CrossRef]
- Liu, F.; Zhao, Y.; Wang, X.; Wang, B.; Xiao, F.; He, K. Physiological response and drought resistance evaluation of Gleditsia sinensis seedlings under drought-rehydration state. Sci. Rep. 2023, 13, 19963. [Google Scholar] [CrossRef]
- Zhang, Y.-N.; Zhuang, Y.; Wang, X.-D. Evaluation of growth, physiological response, and drought resistance of different flue-cured tobacco varieties under drought stress. Front. Plant Sci. 2024, 15, 1442618. [Google Scholar] [CrossRef]
- Cakmak, I.; Horst, W.J. Effect of aluminium on lipid peroxidation, superoxide dismutase, catalase, and peroxidase activities in root tips of soybean (Glycine max). Physiol. Plant. 1991, 83, 463–468. [Google Scholar] [CrossRef]
- Velikova, V.; Yordanov, I.; Edreva, A.J.P.S. Oxidative stress and some antioxidant systems in acid rain-treated bean plants: Protective role of exogenous polyamines. Plant Sci. 2000, 151, 59–66. [Google Scholar] [CrossRef]
- Tandy, N.E.; Di Giulio, R.T.; Richardson, C.J. Assay and Electrophoresis of Superoxide Dismutase from Red Spruce (Picea rubens Sarg.), Loblolly Pine (Pinus taeda L.), and Scotch Pine (Pinus sylvestris L.) 1: A Method for Biomonitoring. Plant Physiol. 1989, 90, 742–748. [Google Scholar] [CrossRef]
- Upadhyaya, A.; Sankhla, D.; Davis, T.D.; Sankhla, N.; Smith, B. Effect of Paclobutrazol on the Activities of some Enzymes of Activated Oxygen Metabolism and Lipid Peroxidation in Senescing Soybean Leaves. J. Plant Physiol. 1985, 121, 453–461. [Google Scholar] [CrossRef]
- Havir, E.A.; McHale, N.A. Biochemical and Developmental Characterization of Multiple Forms of Catalase in Tobacco Leaves. Plant Physiol. 1987, 84, 450–455. [Google Scholar] [CrossRef] [PubMed]
- Li, Q.; Tan, W.; Luo, H.; Zhou, Z.; Zhang, Y.; Bi, R.; Zhao, L. A Comprehensive Evaluation of 45 Pomegranate (Punica Granatum L.) Cultivars Based on Principal Component Analysis and Cluster Analysis. Int. J. Fruit Sci. 2023, 23, 135–150. [Google Scholar] [CrossRef]






| Index | Variety | 14 Days of Non-Stress Conditions | 14 Days of Stress Conditions | Percentage Difference (%) | 21 Days of Non-Stress Conditions | 21 Days of Stress Conditions | Percentage Difference (%) |
|---|---|---|---|---|---|---|---|
| Plant height (cm) | Dimitra | 10.74 ± 1.85 Ba | 8.23 ± 2.02 Bb | 76.6 | 11.97 ± 1.69 Ca | 0 | 0.0 |
| Crown | 20.96 ± 4.22 Ab | 12.76 ± 1.88 Bc | 60.9 | 25.38 ± 3.85 Aa | 14.58 ± 4.02 Cc | 57.4 | |
| Colosseo | 18.27 ± 3.21 Aa | 14.2 ± 3.58 Ab | 77.7 | 21.57 ± 3.79 Ba | 13.69 ± 3.55 Cb | 63.5 | |
| Giant 801 | 10.8 ± 2.21 Ba | 9.92 ± 2.18 Ba | 91.9 | 11 ± 1.76 Ca | 9.84 ± 2.67 Da | 89.5 | |
| PANGO | 11.8 ± 2.39 Bab | 9.85 ± 2.21 Bb | 83.5 | 12.62 ± 3.52 Ca | 7.69 ± 2.71 Dc | 60.9 | |
| Victoria | 17.65 ± 3.73 Aa | 10.21 ± 3.29 Bb | 57.8 | 18.31 ± 3.12 Ba | 17.61 ± 3.5 Ba | 96.2 | |
| WL525 | 19.7 ± 3.45 Ab | 13.84 ± 3.55 Ac | 70.3 | 26.19 ± 3.54 Aa | 24.79 ± 3.68 Aa | 94.7 | |
| Aboveground biomass (g) | Dimitra | 0.026 ± 0.008 Ba | 0.0294 ± 0.004 Aa | 113.1 | 0.03 ± 0.006 Da | 0 | 0.0 |
| Crown | 0.143 ± 0.006 Aab | 0.097 ± 0.003 Ab | 67.8 | 0.216 ± 0.017 Ba | 0.13 ± 0.08 Bab | 60.2 | |
| Colosseo | 0.157 ± 0.009 Aab | 0.093 ± 0.007 Ab | 59.2 | 0.24 ± 0.015 Ba | 0.124 ± 0.03 Bab | 51.7 | |
| Giant 801 | 0.039 ± 0.007 Ba | 0.032 ± 0.006 Aa | 82.1 | 0.042 ± 0.004 CDa | 0.038 ± 0.017 Ca | 90.5 | |
| PANGO | 0.039 ± 0.001 Ba | 0.027 ± 0.006 Aa | 69.2 | 0.18 ± 0.03 BCa | 0.17 ± 0.027 Ba | 94.4 | |
| Victoria | 0.065 ± 0.007 Ba | 0.0225 ± 0.006 Ab | 34.6 | 0.09 ± 0.006 CDa | 0.0283 ± 0.001 Cb | 31.4 | |
| WL525 | 0.097 ± 0.003 ABb | 0.061 ± 0.002 Ab | 62.9 | 0.39 ± 0.015 Aa | 0.27 ± 0.045 Aa | 69.2 |
| Item | Principal Components | |||
|---|---|---|---|---|
| 1 | 2 | 3 | 4 | |
| Eigenvalue | 6.716 | 2.956 | 1.537 | 1.453 |
| Contribution rate (%) | 47.97 | 21.114 | 10.977 | 10.375 |
| Cumulative contribution rate (%) | 47.97 | 69.084 | 80.061 | 90.436 |
| Variety | D | Overall Merit |
|---|---|---|
| Crown | 0.7013 | 1 |
| WL525 | 0.6987 | 2 |
| Colosseo | 0.4117 | 3 |
| Victoria | 0.3804 | 4 |
| PANGO | 0.3701 | 5 |
| Giant 801 | 0.3132 | 6 |
| Dimitra | 0.1090 | 7 |
Disclaimer/Publisher’s Note: The statements, opinions and data contained in all publications are solely those of the individual author(s) and contributor(s) and not of MDPI and/or the editor(s). MDPI and/or the editor(s) disclaim responsibility for any injury to people or property resulting from any ideas, methods, instructions or products referred to in the content. |
© 2025 by the authors. Licensee MDPI, Basel, Switzerland. This article is an open access article distributed under the terms and conditions of the Creative Commons Attribution (CC BY) license (https://creativecommons.org/licenses/by/4.0/).
Share and Cite
Wang, Y.; Long, S.; Zhang, J.; Wang, P.; Zhao, L. Evaluation of Growth, Physiological, and Biochemical Responses of Different Medicago sativa L. Varieties Under Drought Stress. Plants 2025, 14, 639. https://doi.org/10.3390/plants14050639
Wang Y, Long S, Zhang J, Wang P, Zhao L. Evaluation of Growth, Physiological, and Biochemical Responses of Different Medicago sativa L. Varieties Under Drought Stress. Plants. 2025; 14(5):639. https://doi.org/10.3390/plants14050639
Chicago/Turabian StyleWang, Yang, Sisi Long, Jiyuan Zhang, Puchang Wang, and Lili Zhao. 2025. "Evaluation of Growth, Physiological, and Biochemical Responses of Different Medicago sativa L. Varieties Under Drought Stress" Plants 14, no. 5: 639. https://doi.org/10.3390/plants14050639
APA StyleWang, Y., Long, S., Zhang, J., Wang, P., & Zhao, L. (2025). Evaluation of Growth, Physiological, and Biochemical Responses of Different Medicago sativa L. Varieties Under Drought Stress. Plants, 14(5), 639. https://doi.org/10.3390/plants14050639

