Effects of Nitrogen Fertilizer Types and Planting Density on the Yield and Nitrogen Use Efficiency of Salt-Tolerant Rice Under Salt Stress Conditions
Abstract
1. Introduction
2. Materials and Methods
2.1. Experimental Conditions and Details
2.2. Determination of Agronomic Traits and Leaf SPAD Value
2.3. Na+ and K+ Content, Total N Accumulation (TNA), and N Use Efficiency (NUE)
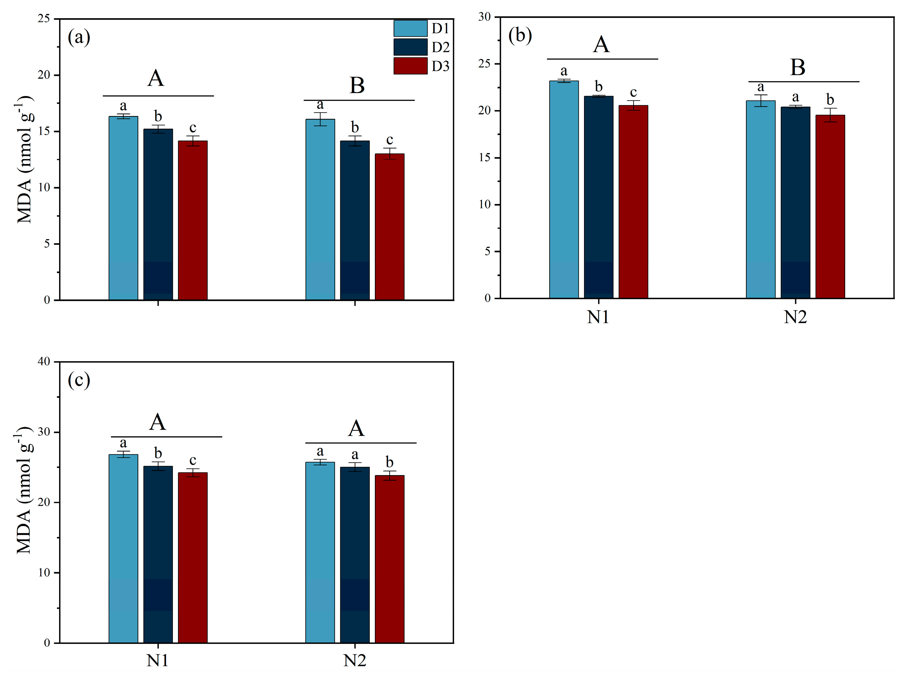
2.4. Determination of Activities of N Metabolizing Enzymes, Antioxidant Enzymes, and Malondialdehyde (MDA) Content
2.5. Determination of Rice Yield and Yield Attributes
2.6. Statistical Analysis
3. Results
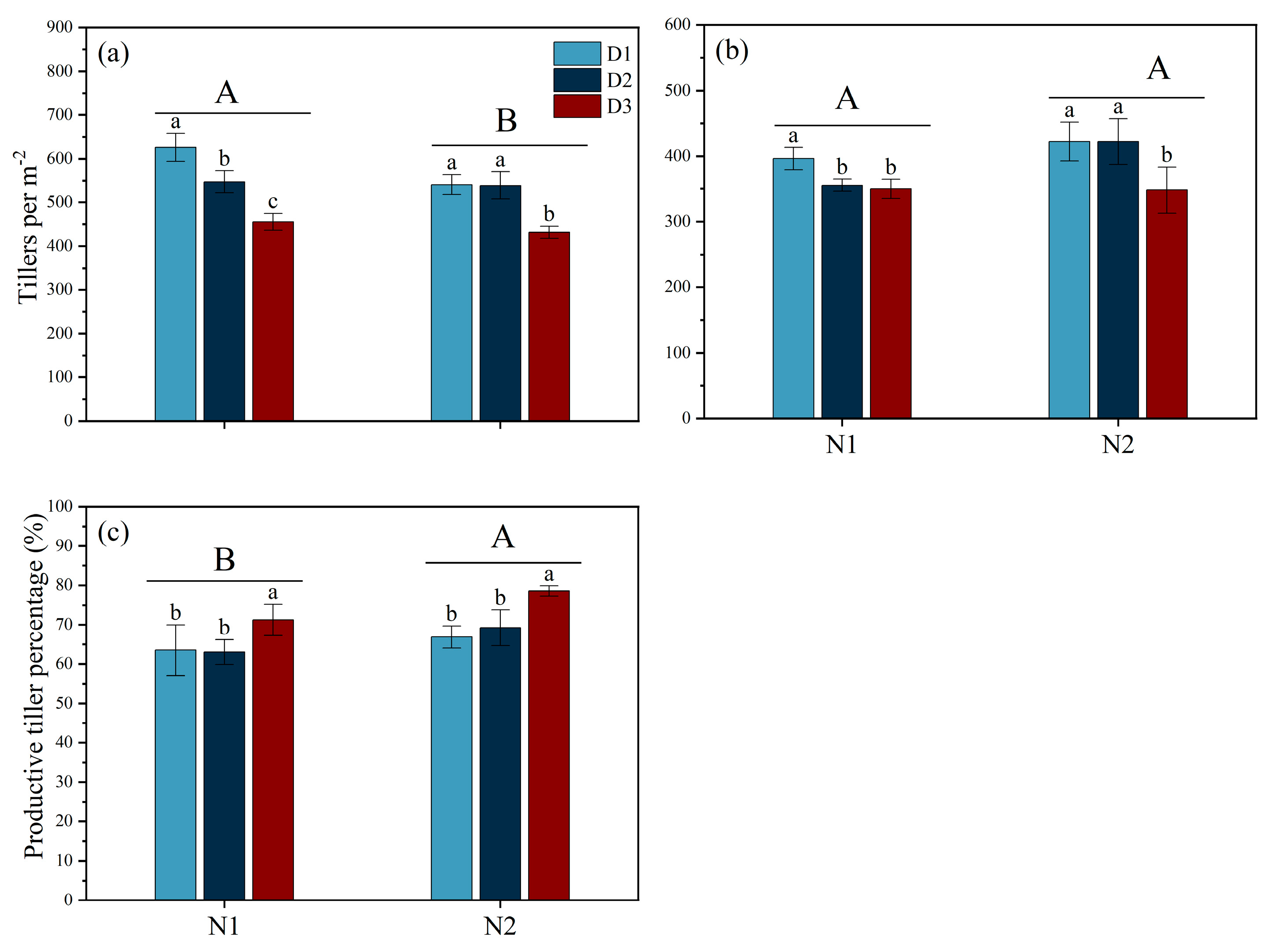
3.1. Rice Yield and Yield Components
3.2. N Accumulation and NUE
3.3. Agronomic Traits
3.4. Leaf SPAD Value
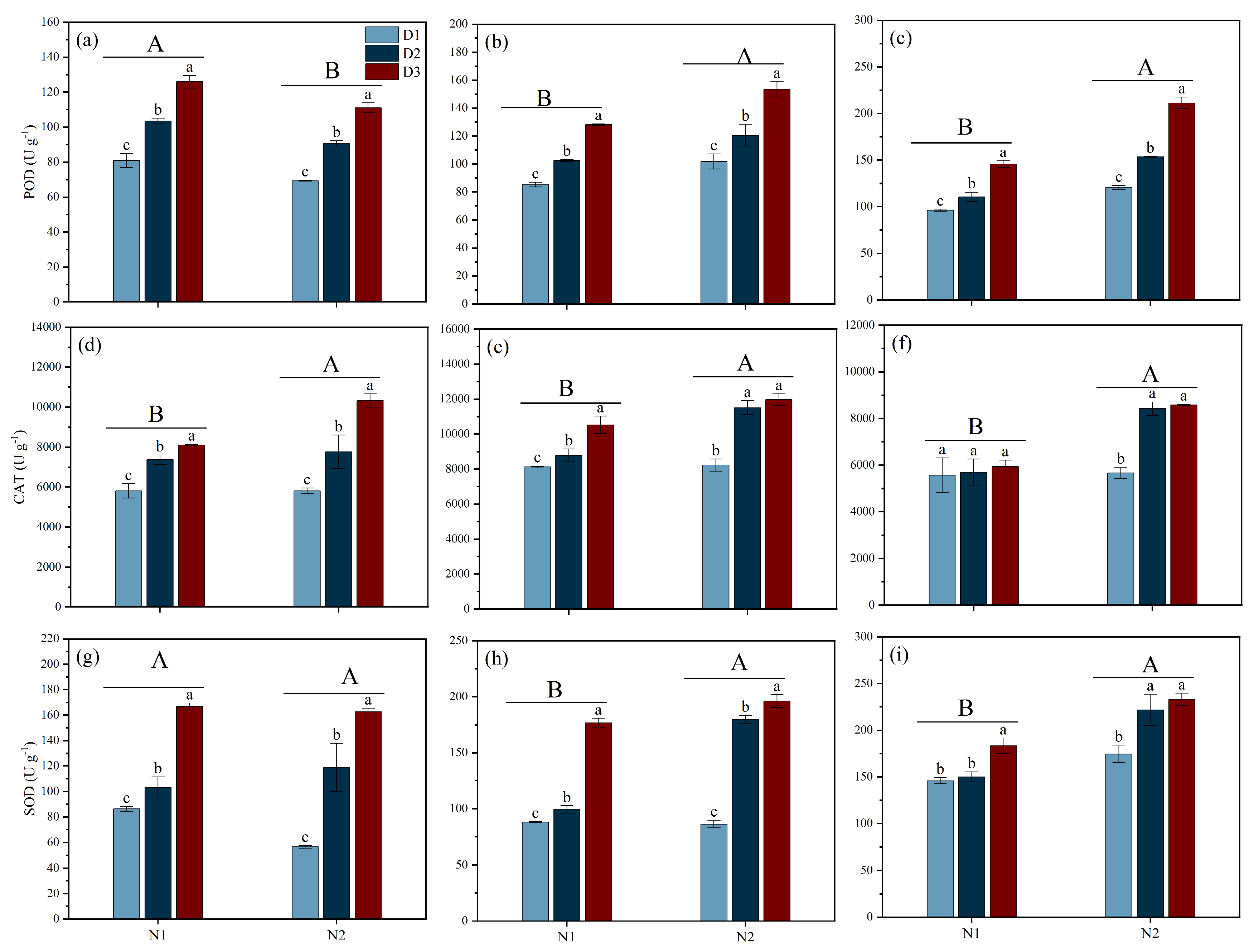
3.5. Antioxidant Enzyme Activity
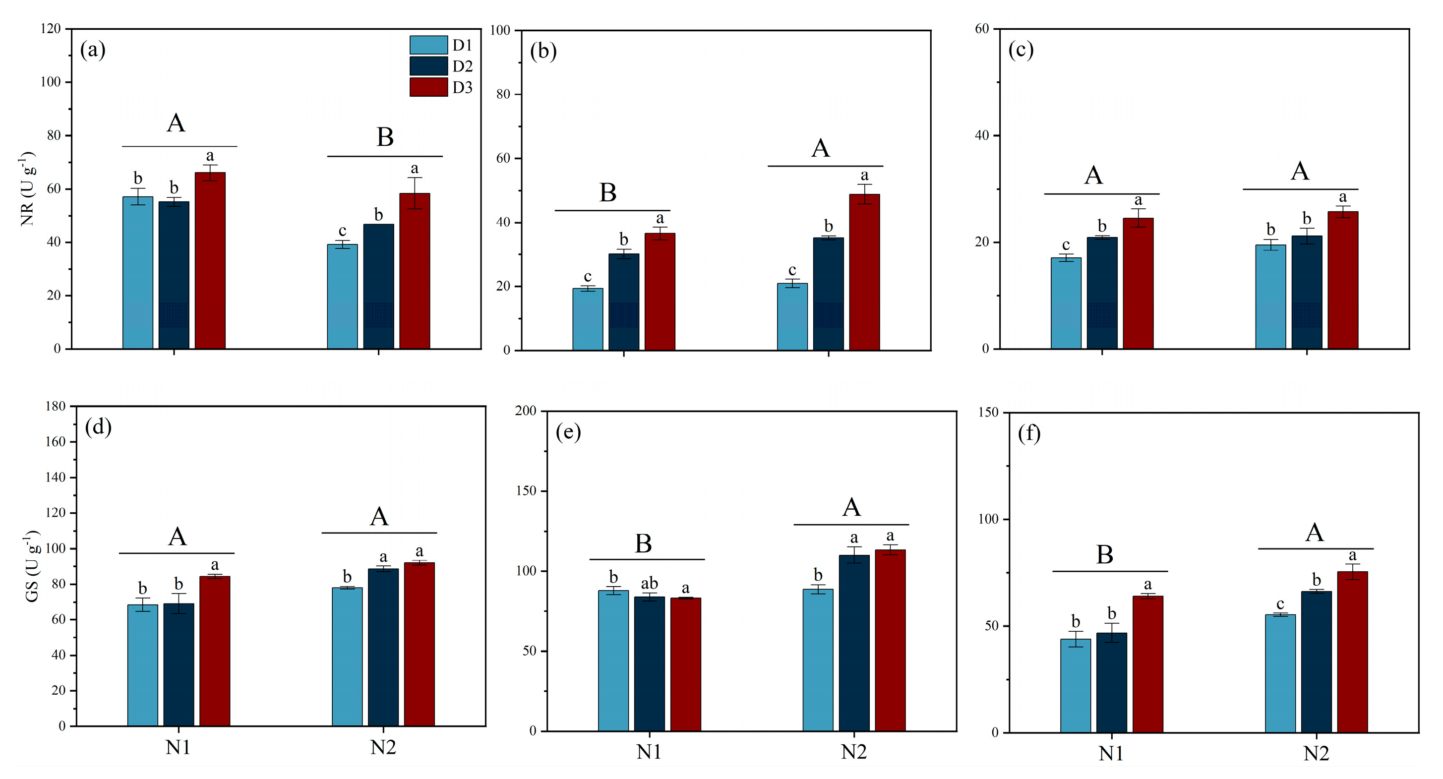
3.6. Leaf Nitrate Reductase (NR) and Glutamine Synthetase (GS) Activity
3.7. Sodium (Na+) and Potassium Ions (K+) Contents and Their Ratio
4. Discussion
4.1. Effects of Different N Forms and Planting Density on Yield of Salt-Tolerant
4.2. Effects of Different N Forms and Planting Densities on the N Absorption and Utilization Efficiency of Salt-Tolerant Rice
5. Conclusions
Author Contributions
Funding
Data Availability Statement
Acknowledgments
Conflicts of Interest
References
- Rezapour, S.; Nouri, A.; Asadzadeh, F.; Barin, M.; Erpul, G.; Jagadamma, S.; Qin, R. Combining chemical and organic treatments enhances remediation performance and soil health in saline-sodic soils. Commun. Earth Environ. 2023, 4, 285. [Google Scholar] [CrossRef]
- Li, L.; Zhang, Z.; Tian, H.; Mo, Z.; Ashraf, U.; Duan, M.; Wang, Z.; Wang, S.; Tang, X.; Pan, S. Roles of Nitrogen Deep Placement on Grain Yield, Nitrogen Use Efficiency, and Antioxidant Enzyme Activities in Mechanical Pot-Seedling Transplanting Rice. Agronomy 2020, 10, 1252. [Google Scholar] [CrossRef]
- Li, L.; Huang, Z.; Mu, Y.; Song, S.; Zhang, Y.; Tao, Y.; Nie, L. Alternate wetting and drying maintains rice yield and reduces global warming potential: A global meta-analysis. Field Crops Res. 2024, 318, 109603. [Google Scholar] [CrossRef]
- Jin, W.; Li, L.; Ma, G.; Wei, Z. Halotolerant Microorganism-Based Soil Conditioner Application Improved the Soil Properties, Yield, Quality and Starch Characteristics of Hybrid Rice under Higher Saline Conditions. Plants 2024, 13, 2325. [Google Scholar] [CrossRef] [PubMed]
- Li, L.; Huang, Z.; Zhang, Y.; Mu, Y.; Li, Y.; Nie, L. Regulation of 2-acetyl-1-pyrroline (2-AP) biosynthesis and grain quality in fragrant rice under salt stress. Field Crops Res. 2025, 322, 109747. [Google Scholar] [CrossRef]
- Ganapati, R.K.; Naveed, S.A.; Zafar, S.; Wang, W.; Xu, J. Saline-Alkali Tolerance in Rice: Physiological Response, Molecular Mechanism, and QTL Identification and Application to Breeding. Rice Sci. 2022, 29, 412–434. [Google Scholar] [CrossRef]
- Jin, W.; Li, L.; He, W.; Wei, Z. Application of Silica Nanoparticles Improved the Growth, Yield, and Grain Quality of Two Salt-Tolerant Rice Varieties under Saline Irrigation. Plants 2024, 13, 2452. [Google Scholar] [CrossRef]
- Cheng, S.H.; Guo, X.Y.; Tao, W.X.; Ji, J.C.; He, A.B.; Ai, Z.Y. Differences in Response to Salt Stress of Rice Varieties with Different Salt Tolerance. Hybrid Rice 2024, 39, 97–104. [Google Scholar]
- Guo, L.; Lu, Y.; Bao, S.; Zhang, Q.; Geng, Y.; Shao, X. Carbon and nitrogen metabolism in rice cultivars affected by salt-alkaline stress. Crop Pasture Sci. 2021, 72, 372–382. [Google Scholar] [CrossRef]
- Yan, J.Q.; Gu, Y.B.; Xue, Z.Y.; Zhou, T.Y.; Yang, J.C. Different responses of rice cultivars to salt stress and the underlying mechanisms. Acta Agron. Sin. 2022, 48, 1463–1475. [Google Scholar] [CrossRef]
- Zhang, R.; Wang, Y.; Hussain, S.; Yang, S.; Li, R.K.; Liu, S.L.; Chen, Y.L.; Wei, H.H.; Dai, Q.G.; Hou, H.Y. Study on the Effect of Salt Stress on Yield and Grain Quality Among Different Rice Varieties. Front. Plant Sci. 2022, 13, 918460. [Google Scholar] [CrossRef] [PubMed]
- Li, Y.; Ai, Z.; Mu, Y.; Zhao, T.; Zhang, Y.; Li, L.; Huang, Z.; Nie, L.; Khan, M.N. Rice yield penalty and quality deterioration is associated with failure of nitrogen uptake from regreening to panicle initiation stage under salinity. Front. Plant Sci. 2023, 14, 1120755. [Google Scholar] [CrossRef]
- Li, L.; Wu, T.; Li, Y.; Hu, X.; Wang, Z.; Liu, J.; Qin, W.; Ashraf, U. Deep fertilization improves rice productivity and reduces ammonia emissions from rice fields in China; a meta-analysis. Field Crops Res. 2022, 289, 108704. [Google Scholar] [CrossRef]
- Ashraf, M.; Shahzad, S.M.; Imtiaz, M.; Rizwan, M.S. Salinity effects on nitrogen metabolism in plants—Focusing on the activities of nitrogen metabolizing enzymes: A review. J. Plant Nutr. 2018, 41, 1065–1081. [Google Scholar] [CrossRef]
- Chen, Y.; Liu, Y.; Ge, J.; Li, R.; Zhang, R.; Zhang, Y.; Huo, Z.; Xu, K.; Wei, H.; Dai, Q. Improved physiological and morphological traits of root synergistically enhanced salinity tolerance in rice under appropriate nitrogen application rate. Front. Plant Sci. 2022, 13, 982637. [Google Scholar] [CrossRef] [PubMed]
- Dong, S.Q.; Ge, J.L.; Wei, H.H.; Chen, Y.L.; Hou, H.Y.; Dong, X.L.; Zhang, M.L.; Dai, Q.G. Effect of Nitrogen Application Rate and Density on Rice Yield and Quality in Coastal Saline-alkali Intertid al Zone. J. Nucl. Agric. Sci. 2022, 36, 820–828. [Google Scholar]
- Guo, X.; Lan, Y.; Xu, L.; Yin, D.; Li, H.; Qian, Y.; Zheng, G.; Lü, Y. Effects of nitrogen application rate and hill density on rice yield and nitrogen utilization in sodic saline–alkaline paddy fields. J. Integr. Agric. 2021, 20, 540–553. [Google Scholar] [CrossRef]
- Zhu, X.; Zhang, J.; Zhang, Z.; Deng, A.; Zhang, W. Dense planting with less basal nitrogen fertilization might benefit rice cropping for high yield with less environmental impacts. Eur. J. Agron. 2016, 75, 50–59. [Google Scholar] [CrossRef]
- Coelho, D.G.; Miranda, R.D.S.; Paula-Marinho, S.D.O.; de Carvalho, H.H.; Prisco, J.T.; Gomes-Filho, E. Ammonium nutrition modulates K+ and N uptake, transport and accumulation during salt stress acclimation of sorghum plants. Arch. Agron. Soil Sci. 2020, 66, 1991–2004. [Google Scholar] [CrossRef]
- Nathawat, N.S.; Kuhad, M.S.; Goswami, C.L.; Patel, A.L.; Kumar, R. Interactive Effects of Nitrogen Source and Salinity on Growth Indices and Ion Content of Indian Mustard. J. Plant Nutr. 2007, 30, 569–598. [Google Scholar] [CrossRef]
- Sehar, Z.; Masood, A.; Khan, N.A. Nitric oxide reverses glucose-mediated photosynthetic repression in wheat (Triticum aestivum L.) under salt stress. Environ. Exp. Bot. 2019, 161, 277–289. [Google Scholar] [CrossRef]
- Yan, K.; Jiang, Y.L.; Tang, J.Y.; Dai, Q.G. Effects of nitrogen fertilizer rate and transplanting density on yield and grain quality of rice on saline-alkaline land. Soil Fertil. Sci. 2018, 2, 67–74. [Google Scholar] [CrossRef]
- Li, Y.J.; Feng, Y.Q.; Zhao, Y.Y.; Shi, H.Z. Review of Absorption and Utilization of Different Nitrogen Forms and Their Effects on Plant Physiological Metabolism. J. Agric. Sci. Technol. 2023, 25, 128–139. [Google Scholar] [CrossRef]
- Hessini, K.; Issaoui, K.; Ferchichi, S.; Saif, T.; Abdelly, C.; Siddique, K.H.M.; Cruz, C. Interactive effects of salinity and nitrogen forms on plant growth, photosynthesis and osmotic adjustment in maize. Plant Physiol. Bioch. 2019, 139, 171–178. [Google Scholar] [CrossRef] [PubMed]
- Li, K.; Li, M.; He, Y.; Gu, X.; Pang, K.; Ma, Y.; Lu, D. Effects of pH and nitrogen form on Nitzschia closterium growth by linking dynamic with enzyme activity. Chemosphere 2020, 249, 126154. [Google Scholar] [CrossRef]
- Yan, Y.; Duan, F.; Li, X.; Zhao, R.; Hou, P.; Zhao, M.; Li, S.; Wang, Y.; Dai, T.; Zhou, W. Photosynthetic capacity and assimilate transport of the lower canopy influence maize yield under high planting density. Plant Physiol. 2024, 195, 2652–2667. [Google Scholar] [CrossRef] [PubMed]
- Chang, S.; Chang, T.; Song, Q.; Zhu, X.; Deng, Q. Photosynthetic and agronomic traits of an elite hybrid rice Y-Liang-You 900 with a record-high yield. Field Crops Res. 2016, 187, 49–57. [Google Scholar] [CrossRef]
- Wei, H.; Zhang, H.; Blumwald, E.; Li, H.; Cheng, J.; Dai, Q.; Huo, Z.; Xu, K.; Guo, B. Different characteristics of high yield formation between inbred japonica super rice and inter-sub-specific hybrid super rice. Field Crops Res. 2016, 198, 179–187. [Google Scholar] [CrossRef]
- Zhang, H.; Jiang, S.; Du, B.; Zhou, Q.; Wu, Q.; Zhu, J. Tillage Intensity and Planting Density Significantly Affected Photosynthesis, Growth, and Yield of Rice. J. Plant Growth Regul. 2023, 42, 2662–2671. [Google Scholar] [CrossRef]
- Huber, D.; Römheld, V.; Weinmann, M. Chapter 10—Relationship between Nutrition, Plant Diseases and Pests. In Marschner’s Mineral Nutrition of Higher Plants, 3rd ed.; Marschner, P., Ed.; Academic Press: San Diego, CA, USA, 2012; pp. 283–298. ISBN 978-0-12-384905-2. [Google Scholar]
- Lindell, C.A.; Irish-Brown, A.; Rothwell, N.L.; Wallis, A.E. Pest and disease risk and management in high-density perennial crops: Current knowledge and areas of future research. Crop Prot. 2023, 165, 106150. [Google Scholar] [CrossRef]
- de Souza Miranda, R.; Gomes-Filho, E.; Prisco, J.T.; Alvarez-Pizarro, J.C. Ammonium improves tolerance to salinity stress in Sorghum bicolor plants. Plant Growth Regul. 2016, 78, 121–131. [Google Scholar] [CrossRef]
- Gao, C.; Wang, M.; Ding, L.; Chen, Y.; Lu, Z.; Hu, J.; Guo, S. High water uptake ability was associated with root aerenchyma formation in rice: Evidence from local ammonium supply under osmotic stress conditions. Plant Physiol. Biochem. PPB 2020, 150, 171–179. [Google Scholar] [CrossRef] [PubMed]
- Lu, J.; Wang, D.; Liu, K.; Chu, G.; Huang, L.; Tian, X.; Zhang, Y. Inbred varieties outperformed hybrid rice varieties under dense planting with reducing nitrogen. Sci. Rep. 2020, 10, 8769. [Google Scholar] [CrossRef]
- Huang, M.; Chen, J.; Cao, F.; Zou, Y. Increased hill density can compensate for yield loss from reduced nitrogen input in machine-transplanted double-cropped rice. Field Crops Res. 2018, 221, 333–338. [Google Scholar] [CrossRef]
- Chen, Y.; Liu, Y.; Dong, S.; Liu, J.; Wang, Y.; Hussain, S.; Wei, H.; Huo, Z.; Xu, K.; Dai, Q. Response of Rice Yield and Grain Quality to Combined Nitrogen Application Rate and Planting Density in Saline Area. Agriculture 2022, 12, 1788. [Google Scholar] [CrossRef]








| Treatment | Planting Density | Grain Yield (t hm−2) | Effective Panicles (m−2) | Spikelets per Panicle (No Panicle−1) | Unfilled Grains per Plant | Filled Grains per Plant | Grain Filling Rate (%) | Thousand-Grain Weight (g) |
|---|---|---|---|---|---|---|---|---|
| N1 | D1 | 7.06 b | 396.3 a | 110.5 b | 188.7 c | 1122.3 c | 85.6 b | 19.5 c |
| D2 | 7.61 ab | 344.3 b | 123.9 a | 232.0 b | 1473.3 b | 86.4 b | 21.1 b | |
| D3 | 7.81 a | 324.3 b | 124.6 a | 276.7 a | 2146.7 a | 88.6 a | 22.4 a | |
| Mean | 7.49 B | 355.0 B | 119.8 A | 232.4 A | 1580.8 A | 87.0 B | 21.0 A | |
| N2 | D1 | 7.95 b | 411.0 a | 112.0 b | 189.0 c | 1190.0 c | 86.3 c | 20.4 b |
| D2 | 8.24 ab | 372.0 b | 124.0 ab | 223.0 b | 1617.7 b | 87.9 b | 20.8 b | |
| D3 | 8.35 a | 338.7 c | 127.0 a | 261.3 a | 2312.3 a | 89.8 a | 22.3 a | |
| Mean | 8.18 A | 373.9 A | 121.0 A | 224.4 A | 1706.7 A | 88.0 A | 21.2 A |
| Treatment | Planting Density | TNA (kg hm−2) | PFPN (kg kg−1) | NRE (%) | NAE (kg kg−1) |
|---|---|---|---|---|---|
| N1 | D1 | 143.60 ± 1.09 c | 47.07 ± 0.18 b | 31.18 ± 0.91 b | 8.24 ± 1.72 b |
| D2 | 146.89 ± 0.35 b | 50.72 ± 2.80 a | 40.15 ± 0.50 a | 13.89 ± 2.99 a | |
| D3 | 149.63 ± 0.79 a | 52.04 ± 1.75 a | 40.97 ± 1.05 a | 14.56 ± 3.16 a | |
| Mean | 146.71B | 49.94B | 37.44B | 12.23B | |
| N2 | D1 | 159.98 ± 1.20 c | 52.96 ± 1.02 a | 42.10 ± 1.02 b | 14.13 ± 1.76 b |
| D2 | 165.34 ± 2.45 b | 54.94 ± 0.87 a | 52.46 ± 1.59 a | 18.11 ± 0.80 a | |
| D3 | 168.53 ± 0.47 a | 55.68 ± 0.83 a | 53.57 ± 1.30 a | 18.21 ± 1.82 a | |
| Mean | 164.62A | 54.53A | 49.38A | 16.82A |
| Treatment | Planting Density | Total Root Volume (cm3) | Total Root Length (cm) | Root Superficial Area (cm2) | Average Root Diameter (mm) |
|---|---|---|---|---|---|
| N1 | S1 | 29.04 ± 0.52 c | 4476.45 ± 15.28 c | 1053.75 ± 7.66 c | 0.61 ± 0.02 c |
| S2 | 44.48 ± 0.21 b | 6457.57 ± 23.34 b | 1460.29 ± 45.44 b | 0.71 ± 0.02 b | |
| S3 | 52.74 ± 0.10 a | 8431.82 ± 15.81 a | 1958.84 ± 24.6 a | 0.83 ± 0.03 a | |
| Mean | 42.09B | 6455.28B | 1490.96B | 0.71B | |
| N2 | S1 | 31.95 ± 0.40 c | 4733.20 ± 11.38 c | 1185.23 ± 7.54 c | 0.64 ± 0.01 c |
| S2 | 46.70 ± 0.28 b | 6885.67 ± 24.89 b | 1610.93 ± 2.99 b | 0.74 ± 0.03 b | |
| S3 | 55.56 ± 0.24 a | 8778.74 ± 71.01 a | 2180.04 ± 5.60 a | 0.86 ± 0.04 a | |
| Mean | 44.74A | 6799.20A | 1658.73A | 0.74A |
Disclaimer/Publisher’s Note: The statements, opinions and data contained in all publications are solely those of the individual author(s) and contributor(s) and not of MDPI and/or the editor(s). MDPI and/or the editor(s) disclaim responsibility for any injury to people or property resulting from any ideas, methods, instructions or products referred to in the content. |
© 2025 by the authors. Licensee MDPI, Basel, Switzerland. This article is an open access article distributed under the terms and conditions of the Creative Commons Attribution (CC BY) license (https://creativecommons.org/licenses/by/4.0/).
Share and Cite
Zhao, T.; Wang, J.; Li, R.; Zhang, P.; Guo, X.; Qi, Y.; Li, Y.; Cheng, S.; Ji, J.; He, A.; et al. Effects of Nitrogen Fertilizer Types and Planting Density on the Yield and Nitrogen Use Efficiency of Salt-Tolerant Rice Under Salt Stress Conditions. Plants 2025, 14, 501. https://doi.org/10.3390/plants14040501
Zhao T, Wang J, Li R, Zhang P, Guo X, Qi Y, Li Y, Cheng S, Ji J, He A, et al. Effects of Nitrogen Fertilizer Types and Planting Density on the Yield and Nitrogen Use Efficiency of Salt-Tolerant Rice Under Salt Stress Conditions. Plants. 2025; 14(4):501. https://doi.org/10.3390/plants14040501
Chicago/Turabian StyleZhao, Tingcheng, Jianbo Wang, Rongyi Li, Pengfei Zhang, Xiayu Guo, Yucheng Qi, Yusheng Li, Shenghai Cheng, Junchao Ji, Aibin He, and et al. 2025. "Effects of Nitrogen Fertilizer Types and Planting Density on the Yield and Nitrogen Use Efficiency of Salt-Tolerant Rice Under Salt Stress Conditions" Plants 14, no. 4: 501. https://doi.org/10.3390/plants14040501
APA StyleZhao, T., Wang, J., Li, R., Zhang, P., Guo, X., Qi, Y., Li, Y., Cheng, S., Ji, J., He, A., & Ai, Z. (2025). Effects of Nitrogen Fertilizer Types and Planting Density on the Yield and Nitrogen Use Efficiency of Salt-Tolerant Rice Under Salt Stress Conditions. Plants, 14(4), 501. https://doi.org/10.3390/plants14040501
