Nitrogen and Phosphorus Co-Fertilization Affects Pinus yunnanensis Seedling Distribution of Non-Structural Carbohydrates in Different Organs After Coppicing
Abstract
1. Introduction
2. Materials and Methods
2.1. Plant Material
2.2. Experimental Design
2.3. Material Handling
2.3.1. Sample Treatment
2.3.2. Determination of Soluble Sugar Content
2.3.3. Determination of Starch Content
2.4. Statistical Analysis
3. Results
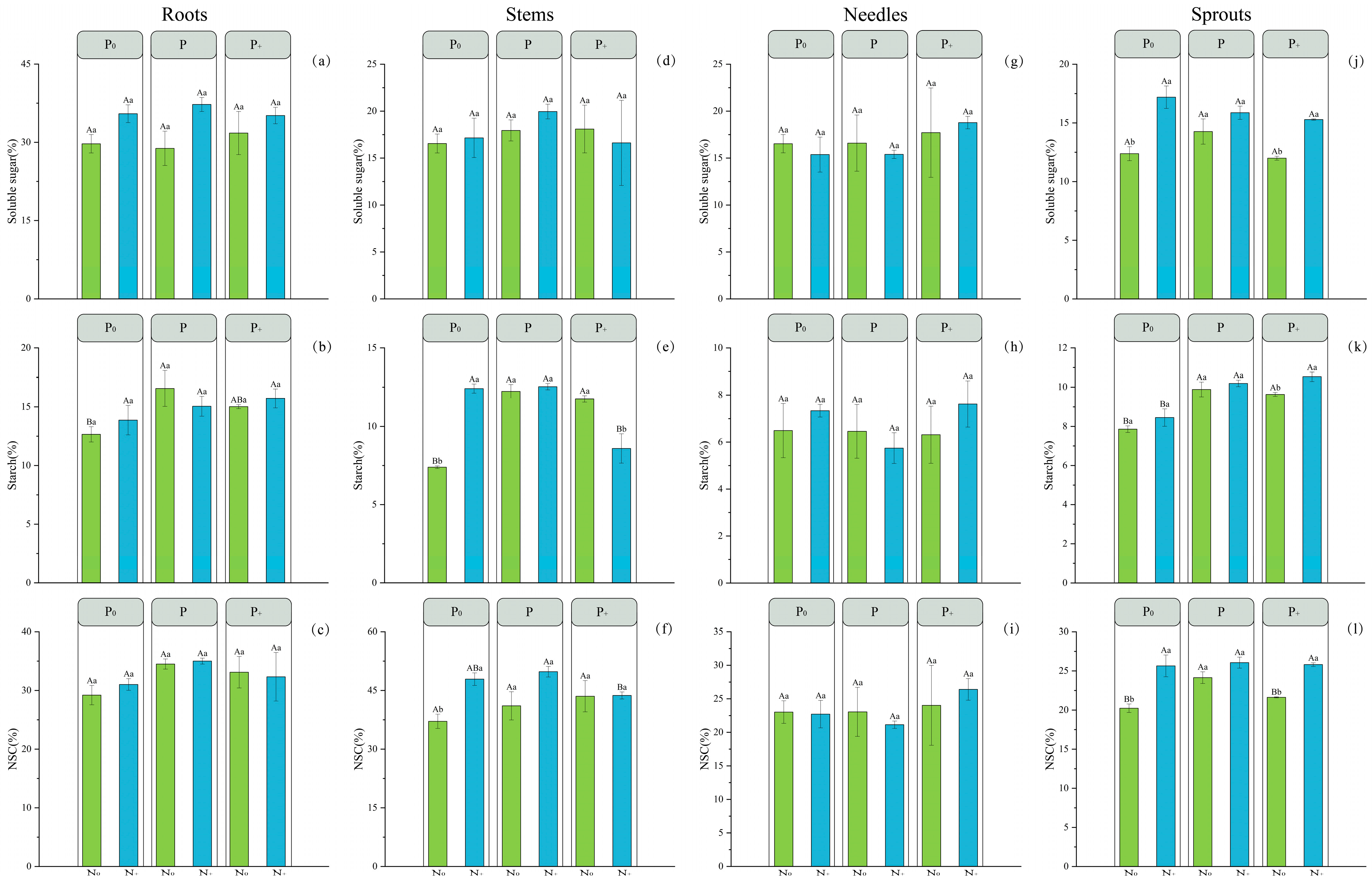
3.1. The Effect of N and P Rationing Pattern on Non-Structural Carbohydrates (NSCs) in Pinus yunnanensis
3.2. The Conducting Multivariate Analysis of NSCs in P. yunnanensis
3.3. The Analysis of the Variability of NSCs Among Different Organs of P. yunnanensis
3.4. Effects of N and P Addition on the Allocation of NSCs Components to D1
3.5. Two-Way Analysis of Variance on the Effect of Fertilization on the Soluble Sugar-to-Starch Ratio in P. yunnanensis
3.6. The Effect of N and P Addition on the Soluble Sugar-to-Starch Ratio in P. yunnanensis
3.7. Correlation Analysis of Sprout Growth and NSCs in P. yunnanensis Seedlings
3.8. Phenotypic Plasticity Analysis of Sprout Growth and NSCs in P. yunnanensis
4. Discussion
5. Conclusions
Author Contributions
Funding
Data Availability Statement
Acknowledgments
Conflicts of Interest
References
- Guignard, M.S.; Leitch, A.R.; Acquisti, C.; Eizaguirre, C.; Elser, J.J.; Hessen, D.O.; Jeyasingh, P.D.; Neiman, M.; Richardson, A.E.; Soltis, P.S. Impacts of Nitrogen and Phosphorus: From Genomes to Natural Ecosystems and Agriculture. Front. Ecol. Evol. 2017, 5, 70. [Google Scholar] [CrossRef]
 - Zhou, F.; Chen, W.; Cao, F.; Feng, G.; Li, Y.; Peng, F. Effects of Fertilization on Growth and Physiological Characteristics of Pecan Seedlings. J. Cent. South Univ. For. Technol. 2020, 40, 96–103. [Google Scholar] [CrossRef]
 - Zhang, X.; Yin, Y.; Yu, L.; Yao, L.; Ying, H.; Zhang, N. Influence of Water and Soil Nutrients on Biomass and Productivity of Fine Tree Roots: A Review. J. Zhejiang For. Coll. 2010, 27, 606–613. [Google Scholar] [CrossRef]
 - Boyce, R.L.; Larson, J.R.; Sanford, R.L., Jr. Phosphorus and Nitrogen Limitations to Photosynthesis in Rocky Mountain Bristlecone Pine (Pinus aristata) in Colorado. Tree Physiol. 2006, 26, 1477–1486. [Google Scholar] [CrossRef]
 - Turnbull, T.L.; Warren, C.R.; Adams, M.A. Novel Mannose-Sequestration Technique Reveals Variation in Subcellular Orthophosphate Pools Do Not Explain the Effects of Phosphorus Nutrition on Photosynthesis in Eucalyptus globulus Seedlings. New Phytol. 2007, 176, 849–861. [Google Scholar] [CrossRef]
 - Kant, S.; Bi, Y.-M.; Rothstein, S.J. Understanding Plant Response to Nitrogen Limitation for The Improvement of Crop Nitrogen Use Efficiency. J. Exp. Bot. 2010, 62, 1499–1509. [Google Scholar] [CrossRef]
 - Luo, J.; Zhou, J.; Li, H.; Shi, W.; Polle, A.; Lu, M.; Sun, X.; Luo, Z.-B. Global Poplar Root and Leaf Transcriptomes Reveal Links between Growth and Stress Responses under Nitrogen Starvation and Excess. Tree Physiol. 2015, 35, 1283–1302. [Google Scholar] [CrossRef]
 - Körner, C.; Kèorner, C. Alpine Plant Life: Functional Plant Ecology of High Mountain Ecosystems; Springer: Berlin/Heidelberg, Germany, 1999. [Google Scholar]
 - Ou, H.; Zhou, L.; Huang, J.; Zeng, Y.; Zhu, X.; Xie, R.; Tan, H.; Huang, B. Effects of Long-term Different Fertilization on Sugarcane Yield Stability, Fertilizer Contribution Rate and Nutrition Loss. Sci. Agric. Sin. 2018, 51, 1931–1939. [Google Scholar] [CrossRef]
 - Peng, Z.; Chen, M.; Huang, Z.; Zou, H.; Qin, X.; Yu, Y.; Bao, Y.; Zeng, S.; Mo, Q. Non-Structural Carbohydrates Regulated by Nitrogen and Phosphorus Fertilization Varied with Organs and Fertilizer Levels in Moringa oleifera Seedlings. J. Plant Growth Regul. 2021, 40, 1777–1786. [Google Scholar] [CrossRef]
 - Loewe, A.; Einig, W.; Shi, L.; Dizengremel, P.; Hampp, R. Mycorrhiza Formation and Elevated CO2 both Increase the Capacity for Sucrose Synthesis in Source Leaves of Spruce and Aspen. New Phytol. 2000, 145, 565–574. [Google Scholar] [CrossRef]
 - Dietze, M.C.; Sala, A.; Carbone, M.S.; Czimczik, C.I.; Mantooth, J.A.; Richardson, A.D.; Vargas, R. Nonstructural Carbon in Woody Plants. Annu. Rev. Plant Biol. 2014, 65, 667–687. [Google Scholar] [CrossRef] [PubMed]
 - Furze, M.E.; Huggett, B.A.; Aubrecht, D.M.; Stolz, C.D.; Carbone, M.S.; Richardson, A.D. Whole-tree Nonstructural Carbohydrate Storage and Seasonal Dynamics in Five Temperate Species. New Phytol. 2019, 221, 1466–1477. [Google Scholar] [CrossRef] [PubMed]
 - Latt, C.; Nair, P.; Kang, B. Reserve Carbohydrate Levels in the Boles and Structural Roots of Five Multipurpose Tree Species in a Seasonally Dry Tropical Climate. For. Ecol. Manag. 2001, 146, 145–158. [Google Scholar] [CrossRef]
 - Li, Z.; Wu, J.; Chen, G.; Duan, G.; Wen, C. Seasonal Variations of Non-structural Carbohydrates of Young and Middle-age Pinus armandii Plantations. Acta Bot. Boreali-Occident. Sin. 2024, 44, 782–791. [Google Scholar] [CrossRef]
 - Xu, J.; Jian, Z.; Zhang, Y.; Deng, X.; Lei, L.; Zeng, L.; Xiao, W.; Ni, Y. Nutrient Variations and Their Use Efficiency of Pinus massoniana Seedling Tissues in Response to Low Phosphorus Conditions. Forests 2024, 15, 351. [Google Scholar] [CrossRef]
 - Cheng, Z.; Zhang, H.; Liu, J.; Lu, X.; Yang, B. Effects of Nitrogen Addition on Root Growth, Biomass Allocation and Non-structural Carbohydrate Content of Cinnamomum bodinier Seedlings in Rare Earth Tailings. Bull. Bot. Res. 2024, 44, 86–95. [Google Scholar] [CrossRef]
 - Kong, J.; Liu, W.; Huang, F.; Hua, L.; Yu, F.; He, Q.; Su, Y.; Li, J.; Qiu, Q. Spatial Patterns of Non-Structural Carbohydrates in Eucalyptus urophylla× E. grandis under Dry-Yeason Irrigation with Fertilization. Forests 2021, 12, 1049. [Google Scholar] [CrossRef]
 - Jiang, H. Some Problems Concerning the Study of Pinus yunnanensis. J. Yunnan Univ. 1984, 1, 1–5. [Google Scholar]
 - Han, J.; Shen, Z.; Li, Y.; Luo, C.; Xu, Q.; Yang, K.; Zhang, Z. Beta Diversity Patterns of Post-fire Forests in Central Yunnan Plateau, Southwest China: Disturbances Intensify the Priority Effect in the Community Assembly. Front. Plant Sci. 2018, 9, 1000. [Google Scholar] [CrossRef]
 - Miao, Y.; Gao, C.; Li, J.; Liu, Z.; Cui, K. Genetic Diversity, Population Structure and a Core Collection Establishment of Pinus Yunnanensis Using Microsatellite Markers. Eur. J. For. Res. 2023, 142, 1439–1451. [Google Scholar] [CrossRef]
 - Gao, C.; Liu, F.; Zhang, C.; Feng, D.; Li, K.; Cui, K. Germination Responses to Water Potential and Temperature Variation among Provenances of Pinus yunnanensis. Flora 2021, 276, 151786. [Google Scholar] [CrossRef]
 - Jin, Z.; Peng, J. Yunnan Pine (Pinus yunnanensis Franch); Yunnan Science and Technology Press: Kunming, China, 2004; pp. 1–66. [Google Scholar]
 - Xu, Y.; Cai, N.; Chen, S.; Wang, D.; He, C.; Duan, A.; Kang, X. Relationships between the Genetic Diversity of Pinus yunnanensis Franch. Natural Populations and Ecological Factors. Chin. J. Ecol. 2016, 35, 1767–1775. [Google Scholar] [CrossRef]
 - Yaseen, I.; Fayaz, S.; Khursheed, A.; Gupta, A.; Hassan, G.; Rajan, R.; Qayoom, S.; Gani, I.; Jayarajan, S. Advances in Propagation and Nursery Management: Methods and Techniques; CRC Press: Boca Raton, FL, USA, 2022; pp. 45–57. [Google Scholar]
 - Heredia, B.; Tapia, R.; Young, B.J.; Hasuoka, P.; Pacheco, P.; Roqueiro, G. Phytoextraction of Cu, Cd, Zn and as in Four Shrubs and Trees Growing on Soil Contaminated with Mining Waste. Chemosphere 2022, 308, 136146. [Google Scholar] [CrossRef] [PubMed]
 - Zhao, B.G.; Futai, K.; Sutherland, J.R.; Takeuchi, Y. Pine Wilt Disease; Springer: Berlin/Heidelberg, Germany, 2008; Volume 17. [Google Scholar]
 - Wang, Y.; Li, J.; Che, F.; Song, Y.; Wang, Q.; Yan, T.; Xu, Y.; Cai, N.; Chen, S. Effects of Stumping in Different Seasons on Germination Ability of Pinus yunnanensis. J. Southwest For. Univ. 2023, 43, 26–31. [Google Scholar] [CrossRef]
 - Yang, J.; Yang, K.; Lv, C.; Wang, Y. Effects of Moderate Water Deficit on the Accumulation and Translocation of Stem Non-Structural Carbohydrates, Yield and Yield Components in a Sink-Limited Rice Variety Under Elevated CO2 Concentration. J. Plant Growth Regul. 2023, 42, 4350–4359. [Google Scholar] [CrossRef]
 - Buysse, J.; Merckx, R. An Improved Colorimetric Method to Quantify Sugar Content of Plant Tissue. J. Exp. Bot. 1993, 44, 1627–1629. [Google Scholar] [CrossRef]
 - Xie, H.; Yu, M.; Cheng, X. Leaf Non-Structural Carbohydrate Allocation and C: N: P Stoichiometry in Response to Light Acclimation in Seedlings of Two Subtropical Shade-Tolerant Tree Species. Plant Physiol. Biochem. 2018, 124, 146–154. [Google Scholar] [CrossRef]
 - Millard, P.; Grelet, G.-A. Nitrogen Storage and Remobilization by Trees: Ecophysiological Relevance in a Changing World. Tree Physiol. 2010, 30, 1083–1095. [Google Scholar] [CrossRef]
 - Li, M.; Xiao, W.; Shi, P.; Wang, S.; Zhong, Y.; Liu, X.; Wang, X.; Cai, X.; Shi, Z. Nitrogen and Carbon Source–Sink Relationships in Trees at the Himalayan Treelines Compared with Lower Elevations. Plant Cell Environ. 2008, 31, 1377–1387. [Google Scholar] [CrossRef]
 - Vorwerk, S.; Somerville, S.; Somerville, C. The Role of Plant Cell Wall Polysaccharide Composition in Disease Resistance. Trends Plant Sci. 2004, 9, 203–209. [Google Scholar] [CrossRef]
 - Raven, J.; Caldeira, K.; Elderfield, H.; Hoegh-Guldberg, O.; Liss, P.; Riebesell, U.; Shepherd, J.; Turley, C.; Watson, A. Ocean Acidification Due to Increasing Atmospheric Carbon Dioxide; The Royal Society: London, UK, 2005. [Google Scholar]
 - Ishimaru, K.; Kosone, M.; Sasaki, H.; Kashiwagi, T. Leaf Contents Differ Depending on the Position in a Rice Leaf Sheath During Sink–Source Transition. Plant Physiol. Biochem. 2004, 42, 855–860. [Google Scholar] [CrossRef] [PubMed]
 - Tirado, R.; Allsopp, M. Phosphorus in Agriculture: Problems and Solutions. In Greenpeace Research Laboratories Technical Report (Review); Greenpeace International: Amsterdam, The Netherlands, 2012; Volume 2. [Google Scholar]
 - Streb, S.; Zeeman, S.C. Starch Metabolism in Arabidopsis. Arab. Book/Am. Soc. Plant Biol. 2012, 10, e0160. [Google Scholar] [CrossRef] [PubMed]
 - Zeeman, S.C.; Kossmann, J.; Smith, A.M. Starch: Its Metabolism, Evolution, and Biotechnological Modification in Plants. Annu. Rev. Plant Biol. 2010, 61, 209–234. [Google Scholar] [CrossRef] [PubMed]
 - Fahad, S.; Hussain, S.; Saud, S.; Hassan, S.; Tanveer, M.; Ihsan, M.Z.; Shah, A.N.; Ullah, A.; Khan, F.; Ullah, S. A Combined Application of Biochar and Phosphorus Alleviates Heat-induced Adversities on Physiological, Agronomical and Quality Attributes of Rice. Plant Physiol. Biochem. 2016, 103, 191–198. [Google Scholar] [CrossRef]
 - Hammond, J.P.; White, P.J. Sucrose Transport in the Phloem: Integrating Root Responses to Phosphorus Starvation. J. Exp. Bot. 2008, 59, 93–109. [Google Scholar] [CrossRef]
 - Afzal, S.; Chaudhary, N.; Singh, N.K. Role of Soluble Sugars in Metabolism and Sensing under Abiotic Stress. In Plant Growth Regulators: Signalling Under Stress Conditions; Springer: Berlin/Heidelberg, Germany, 2021; pp. 305–334. [Google Scholar] [CrossRef]
 - Li, W.; Hartmann, H.; Adams, H.D.; Zhang, H.; Jin, C.; Zhao, C.; Guan, D.; Wang, A.; Yuan, F.; Wu, J. The Sweet Side of Global Change–Dynamic Responses of Non-Structural Carbohydrates to Drought, Elevated CO2 and Nitrogen Fertilization in Tree Species. Tree Physiol. 2018, 38, 1706–1723. [Google Scholar] [CrossRef]
 - Liu, J.; Wu, N.; Wang, H.; Sun, J.; Peng, B.; Jiang, P.; Bai, E. Nitrogen Addition Affects Chemical Compositions of Plant Tissues, Litter and Soil Organic Matter. Ecology 2016, 97, 1796–1806. [Google Scholar] [CrossRef]
 - Litton, C.M.; Ryan, M.G.; Knight, D.H. Effects of Tree Density and Stand Age on Carbon Allocation Patterns in Postfire Lodgepole Pine. Ecol. Appl. 2004, 14, 460–475. [Google Scholar] [CrossRef]
 - Waring, B.G. A Meta-Analysis of Climatic and Chemical Controls on Leaf Litter Decay Rates in Tropical Forests. Ecosystems 2012, 15, 999–1009. [Google Scholar] [CrossRef]
 - Bouyer, L.; Vincent-Barbaroux, C.; Le Jan, I.; Delaunay, A.; Marchand, L.; Feinard-Duranceau, M.; Sallé, A.; Chassagnaud, D.; Barigah, T.S.; Cochard, H. Concurrent time Course of Xylem Hydraulic Dysfunction and Non-structural Carbohydrates under Contrasting Water Deficits and Nitrogen Supplies in Poplar. Environ. Exp. Bot. 2023, 206, 105173. [Google Scholar] [CrossRef]
 - Liu, C.; Chen, Z.; Liu, S.; Cao, K.; Niu, B.; Liu, X.; Gao, X. Multi-Year Throughfall Reduction Enhanced the Growth and Non-Structural Carbohydrate Storage of Roots at the Expenses of Above-Ground Growth in a Warm-Temperate Natural Oak Forest. For. Ecosyst. 2023, 10, 100118. [Google Scholar] [CrossRef]
 - Lu, Z.; Wang, M.; He, B.; Wang, Q.; Xu, Y.; Li, W.; Cai, N. Response of Allometric Relationship Among N,P and K Contents of Pinus yunnanensis Seedlings to Combined Application of Nitrogen and Phosphorus. J. Northwest For. Univ. 2024, 39, 26–34. [Google Scholar] [CrossRef]
 - Yang, Z.; Wang, M.; Lu, Z.; Wang, X.; Wang, Q.; Wang, Y.; Luo, X.; Chen, L.; Chen, S.; Cai, N.; et al. Effects of Different Rates of Nitrogen and Phosphorus Fertilizer on Biomass Accumulation and Allocation of Pinus yunnanensis Seedlings after Stumping. J. Yangzhou Univ. Agric. Life Sci. Ed. 2023, 44, 128–136. [Google Scholar] [CrossRef]
 - Gu, F.; Zhang, Y.; Huang, M.; Tao, B.; Yan, H.; Guo, R.; Li, J. Nitrogen Deposition and its Effect on Carbon Storage in Chinese Forests during 1981–2010. Atmos. Environ. 2015, 123, 171–179. [Google Scholar] [CrossRef]
 - Kim, G.W.; Jeong, S.T.; Kim, P.J.; Gwon, H.S. Influence of Nitrogen Fertilization on the Net Ecosystem Carbon Budget in a Temperate Mono-rice Paddy. Geoderma 2017, 306, 58–66. [Google Scholar] [CrossRef]
 - Liu, J.-F.; Kang, F.-F.; Yu, A.-H.; Yang, W.-J.; Chang, E.-M.; Jiang, Z.-P. Responses of Foliar Carbohydrates and Nutrient Status of Two Distinctive Cypress Species to Shading and Nitrogen Addition. Glob. Ecol. Conserv. 2018, 16, e00452. [Google Scholar] [CrossRef]
 - Li, J.; Guo, Q.; Zhang, J.; Korpelainen, H.; Li, C. Effects of Nitrogen and Phosphorus Supply on Growth and Physiological Traits of Two Larix Species. Environ. Exp. Bot. 2016, 130, 206–215. [Google Scholar] [CrossRef]
 - Piper, F.I.; Paula, S. The Role of Nonstructural Carbohydrates Storage in Forest Resilience under Climate Change. Curr. For. Rep. 2020, 6, 1–13. [Google Scholar] [CrossRef]
 - Hartmann, H.; Bahn, M.; Carbone, M.; Richardson, A.D. Plant Carbon Allocation in a Changing World–challenges and Progress. New Phytol. 2020, 227, 981–988. [Google Scholar] [CrossRef]
 - Liu, C.; Xie, J.; Li, M.; Sun, Y.; Jiang, X.; Li, Y.; Jiao, J.; Wang, K.; Liu, Q.; Guo, X. Nitrogen Addition Improves Drought Tolerance in Camellia japonica (Naidong) Seedlings. Flora 2023, 307, 152368. [Google Scholar] [CrossRef]
 - Jiménez-Castillo, M.; Fajardo, A.; Lobos-Catalán, P.; Torres-Morales, P.; Piper, F.I. No Carbon Shortage in Declining Trees of the Isohydric Species Araucaria araucana (Molina) K. Koch under Drought. Ann. For. Sci. 2022, 79, 10. [Google Scholar] [CrossRef]
 - Zhang, Z.; Wang, R. Study on Camellia Japonica Popution Size Sturcture an Spaticl Pattern. Acta Phytoecol. Sin. 2000, 24, 118–122. [Google Scholar]
 - Xia, G.; Cheng, L. Foliar Urea Application in the Fall Affects both Nitrogen and Carbon Storage in Young Concord’grapevines Grown under a Wide Range of Nitrogen Supply. J. Am. Soc. Hortic. Sci. 2004, 129, 653–659. [Google Scholar] [CrossRef]
 - Chen, H.; Gurmesa, G.A.; Zhang, W.; Zhu, X.; Zheng, M.; Mao, Q.; Zhang, T.; Mo, J. Nitrogen Saturation in Humid Tropical Forests after 6 Years of Nitrogen and Phosphorus Addition: Hypothesis Testing. Funct. Ecol. 2016, 30, 305–313. [Google Scholar] [CrossRef]
 - Zhang, T.; Zheng, J.; Yu, Z.; Gu, X.; Tian, X.; Peng, C.; Chow, W.S. Variations in Photoprotective Potential along Gradients of Leaf Development and Plant Succession in Subtropical Forests under Contrasting Irradiances. Environ. Exp. Bot. 2018, 154, 23–32. [Google Scholar] [CrossRef]
 - Yang, Y.; Ouyang, S.; Gessler, A.; Wang, X.; Na, R.; He, H.S.; Wu, Z.; Li, M.-H. Root Carbon Resources Determine Survival and Growth of Young Trees under Long Drought in Combination with Fertilization. Front. Plant Sci. 2022, 13, 929855. [Google Scholar] [CrossRef]
 - Mao, Q.; Lu, X.; Zhou, K.; Chen, H.; Zhu, X.; Mori, T.; Mo, J. Effects of Long-Term Nitrogen and Phosphorus Additions on Soil Acidification in an N-Rich Tropical Forest. Geoderma 2017, 285, 57–63. [Google Scholar] [CrossRef]
 - Chapin, F.S.; Matson, P.A.; Mooney, H.A.; Vitousek, P.M. Principles of Terrestrial Ecosystem Ecology; Springer: Berlin/Heidelberg, Germany, 2002. [Google Scholar]
 - Lambers, H.; Chapin, F.S.; Pons, T.L. Plant Physiological Ecology; Springer: Berlin/Heidelberg, Germany, 2008; Volume 2. [Google Scholar]
 - Zhou, F.; Deng, R.; Peng, L.; Wei, X. The Influence of Fertilizatation on Spikes and Cuttings of Pinus massoniana. J. Southwest For. Univ. 2017, 37, 65–69. [Google Scholar] [CrossRef]
 - Deng, G.; Li, J.; Lei, W.; Wan, R. Effects of Chemicals on Sprout Number and Cutting Survival Rate of Pinus kesiya var·langbianensis Scion Producing Trees. J. West China For. Sci. 2010, 39, 74–78. [Google Scholar] [CrossRef]
 - Yang, X.; Yu, S.; Sun, H.; He, X.; SUN, L.; Zhao, F. Effects of N Fertilizer Application on Sucrose and Starch Metabolism in Vitis vinifera L. Seedlings. North. Hortic. 2019, 14, 53–59. [Google Scholar]
 - Wang, Y.; Zheng, C.; Zeng, F. Seasonal Dynamic Changes of Non-Structural Carbohydrate in Tissues of Picea mongolica in Baiyinaobao. Acta Sci. Nat. Univ. Pekin. 2016, 52, 967–976. [Google Scholar] [CrossRef]
 - Senser, M.; Schötz, F.; Beck, E. Seasonal Changes in Structure and Function of Spruce Chloroplasts. Planta 1975, 126, 1–10. [Google Scholar] [CrossRef] [PubMed]
 - Martínez-Vilalta, J.; Sala, A.; Asensio, D.; Galiano, L.; Hoch, G.; Palacio, S.; Piper, F.I.; Lloret, F. Dynamics of Non-Structural Carbohydrates in Terrestrial Plants: A Global Synthesis. Ecol. Monogr. 2016, 86, 495–516. [Google Scholar] [CrossRef]
 - Dickman, L.T.; McDowell, N.G.; Sevanto, S.; Pangle, R.E.; Pockman, W.T. Carbohydrate Dynamics and Mortality in a Piñon-juniper Woodland under Three Future Precipitation Scenarios. Plant Cell Environ. 2015, 38, 729–739. [Google Scholar] [CrossRef]
 - He, Y.; Yu, M.; Ding, G.; Zhang, F. Precipitation Pattern Changed the Content of Non-Structural Carbohydrates Components in Different Organs of Artemisia ordosica. BMC Plant Biol. 2023, 23, 505. [Google Scholar] [CrossRef]
 - Zhang, H.; Wang, C.; Wang, X. Spatial Variations in Non-Structural Carbohydrates in Stems of Twelve Temperate Tree Species. Trees 2014, 28, 77–89. [Google Scholar] [CrossRef]
 - Liu, W.; Su, J.; Li, S.; Lang, X.; Huang, X. Non-Structural Carbohydrates Regulated by Season and Species in the Subtropical Monsoon Broad-Leaved Evergreen Forest of Yunnan Province, China. Sci. Rep. 2018, 8, 1083. [Google Scholar] [CrossRef]
 - Binkley, D.; Campoe, O.C.; Alvares, C.A.; Carneiro, R.L.; Stape, J.L. Variation in Whole-Rotation Yield among Eucalyptus Genotypes in Response to Water and Heat Stresses: The TECHS project. For. Ecol. Manag. 2020, 462, 117953. [Google Scholar] [CrossRef]
 - Hartmann, H.; Adams, H.D.; Hammond, W.M.; Hoch, G.; Landhäusser, S.M.; Wiley, E.; Zaehle, S. Identifying Differences in Carbohydrate Dynamics of Seedlings and Mature Trees to Improve Carbon Allocation in Models for Trees and Forests. Environ. Exp. Bot. 2018, 152, 7–18. [Google Scholar] [CrossRef]
 - Campos-Silva, M.; Alves-de-Oliveira, D.F.; Bezerra-de-Oliveira, H.C.; França, J.D.F.; Feitosa, T.M.; Voigt, E.L. Circadian Characterization of Non-structural Carbohydrate Dynamics in the Caatinga Pioneer Tree Erythrina velutina during Late Seedling Establishment. New For. 2023, 55, 1021–1032. [Google Scholar] [CrossRef]
 - Zhu, W.; Xiang, J.; Wang, S.; Li, M. Resprouting Ability and Mobile Carbohydrate Reserves in an Oak shrubland Decline with Increasing Elevation on the Eastern Edge of the Qinghai–Tibet Plateau. For. Ecol. Manag. 2012, 278, 118–126. [Google Scholar] [CrossRef]
 - Fischer, S.; Greet, J.; Walsh, C.J.; Catford, J.A.; Arndt, S.K. Riparian Trees Resprout Regardless of Timing and Severity of Disturbance by Coppicing. For. Ecol. Manag. 2022, 507, 119988. [Google Scholar] [CrossRef]
 - Bradshaw, A.D. Unravelling Phenotypic Plasticity–Why Should We Bother? New Phytol. 2006, 170, 644–648. [Google Scholar] [CrossRef]
 - Ren, J.; Guo, S.; Xu, C.; Yang, C.; Ai, W.; Tang, Y.; Qin, L. Effects of Different Carbon Dioxide and LED Lighting Levels on the Anti-oxidative Capabilities of Gynura bicolor DC. Adv. Space Res. 2014, 53, 353–361. [Google Scholar] [CrossRef]
 - Stevanović, A.; Popović, V.M.; Filipović, A.; Bošković, J.Z.; Pešić, V.; Marinković, T.; Stojićević, A. Phytopharmacological Profile, Nutritional Value and Amaranthine Content of Amaranthus and Their Significant in Medicine. Not. Bot. Horti Agrobot. Cluj-Napoca 2024, 52, 14070. [Google Scholar] [CrossRef]
 - Wang, Z.H.; Li, S.X.; Malhi, S. Effects of Fertilization and Other Agronomic Measures on Nutritional Quality of Crops. J. Sci. Food Agric. 2008, 88, 7–23. [Google Scholar] [CrossRef]
 - Finér, L. Nutrient Concentrations in Pinus sylvestris Growing on an Ombrotrophic Pine Bog, and the Effects of PK and NPK Fertilization. Scand. J. For. Res. 1992, 7, 205–218. [Google Scholar] [CrossRef]
 - Popović, V.; Vasileva, V.; Ljubičić, N.; Rakašćan, N.; Ikanović, J. Environment, Soil, and Digestate Interaction of Maize Silage and Biogas Production. Agronomy 2024, 14, 2612. [Google Scholar] [CrossRef]
 





| Factor | Organ | Soluble Sugar  | Starch | NSC | 
|---|---|---|---|---|
| N | Roots | 0.293 | 0.021 | 0.286 | 
| Stems | 13.458 ** | 3.794 | 9.904 ** | |
| Needles | 0.524 | 0.006 | 0.227 | |
| Sprouts | 34.097 *** | 6.950 * | 39.677 *** | |
| P | Roots | 0.463 | 2.849 | 1.418 | 
| Stems | 0.001 | 16.663 *** | 0.710 | |
| Needles | 0.162 | 0.396 | 0.005 | |
| Sprouts | 2.466 | 31.180 *** | 4.300 * | |
| N × P | Roots | 0.454 | 0.953 | 0.112 | 
| Stems | 1.002 | 41.466 *** | 2.597 | |
| Needles | 0.084 | 1.200 | 0.318 | |
| Sprouts | 2.794 | 0.553 | 2.826 | 
| Index | Organs | Min. (%) | Max. (%) | Mean. (%) | Standard Deviation | Coefficient of Variation (%) | 
|---|---|---|---|---|---|---|
| Soluble sugar | Roots | 10.238 | 25.397 | 17.721 b | 3.681 | 20.772 | 
| Stems | 24.497 | 39.720 | 33.036 a | 4.878 | 14.765 | |
| Needles | 10.752 | 26.81 | 16.733 b | 3.806 | 22.745 | |
| Sprouts | 11.394 | 18.974 | 14.499 b | 2.148 | 14.814 | |
| Starch | Roots | 11.519 | 18.205 | 14.812 a | 1.921 | 12.969 | 
| Stems | 6.786 | 12.959 | 10.821 b | 2.205 | 20.377 | |
| Needles | 4.199 | 9.396 | 6.662 c | 1.549 | 23.251 | |
| Sprouts | 7.566 | 10.812 | 9.425 b | 1.062 | 11.268 | |
| NSC | Roots | 25.662 | 39.893 | 32.533 b | 3.797 | 11.671 | 
| Stems | 34.783 | 52.162 | 43.857 a | 5.633 | 12.844 | |
| Needles | 15.659 | 35.547 | 23.395 c | 4.842 | 20.697 | |
| Sprouts | 19.546 | 28.150 | 23.924 c | 2.546 | 10.642 | 
| Time | Factor | Soluble Sugar-to-Starch | |||
|---|---|---|---|---|---|
| Roots | Stems | Needles | Sprouts | ||
| 0 | N | 2.456 | 6.312 * | 0.840 | - | 
| P | 3.150 | 0.670 | 1.346 | - | |
| N × P | 1.167 | 1.744 | 0.299 | - | |
| 90 | N | 6.291 * | 6.577 * | 23.410 *** | 0.024 | 
| P | 1.176 | 4.837 * | 0.138 | 0.987 | |
| N × P | 1.308 | 9.454 ** | 0.686 | 0.686 | |
| 180 | N | 11.429 ** | 943.868 *** | 1.277 | 0.004 | 
| P | 234.967 *** | 100.123 *** | 0.769 | 0.352 | |
| N × P | 1318.119 *** | 22.982 *** | 0.664 | 1.430 | |
| 270 | N | 0.024 | 1.301 | 0.684 | 14.933 ** | 
| P | 0.275 | 3.323 | 0.330 | 16.420 *** | |
| N × P | 0.316 | 7.290 ** | 0.571 | 2.531 | |
Disclaimer/Publisher’s Note: The statements, opinions and data contained in all publications are solely those of the individual author(s) and contributor(s) and not of MDPI and/or the editor(s). MDPI and/or the editor(s) disclaim responsibility for any injury to people or property resulting from any ideas, methods, instructions or products referred to in the content.  | 
© 2025 by the authors. Licensee MDPI, Basel, Switzerland. This article is an open access article distributed under the terms and conditions of the Creative Commons Attribution (CC BY) license (https://creativecommons.org/licenses/by/4.0/).
Share and Cite
Sun, H.; Wang, Y.; Chen, L.; Cai, N.; Xu, Y. Nitrogen and Phosphorus Co-Fertilization Affects Pinus yunnanensis Seedling Distribution of Non-Structural Carbohydrates in Different Organs After Coppicing. Plants 2025, 14, 462. https://doi.org/10.3390/plants14030462
Sun H, Wang Y, Chen L, Cai N, Xu Y. Nitrogen and Phosphorus Co-Fertilization Affects Pinus yunnanensis Seedling Distribution of Non-Structural Carbohydrates in Different Organs After Coppicing. Plants. 2025; 14(3):462. https://doi.org/10.3390/plants14030462
Chicago/Turabian StyleSun, He, Yu Wang, Lin Chen, Nianhui Cai, and Yulan Xu. 2025. "Nitrogen and Phosphorus Co-Fertilization Affects Pinus yunnanensis Seedling Distribution of Non-Structural Carbohydrates in Different Organs After Coppicing" Plants 14, no. 3: 462. https://doi.org/10.3390/plants14030462
APA StyleSun, H., Wang, Y., Chen, L., Cai, N., & Xu, Y. (2025). Nitrogen and Phosphorus Co-Fertilization Affects Pinus yunnanensis Seedling Distribution of Non-Structural Carbohydrates in Different Organs After Coppicing. Plants, 14(3), 462. https://doi.org/10.3390/plants14030462
        