Does Pre-Acclimation Enhance the Tolerance of Quercus ilex and Arbutus unedo Seedlings to Drought?
Abstract
1. Introduction
2. Results
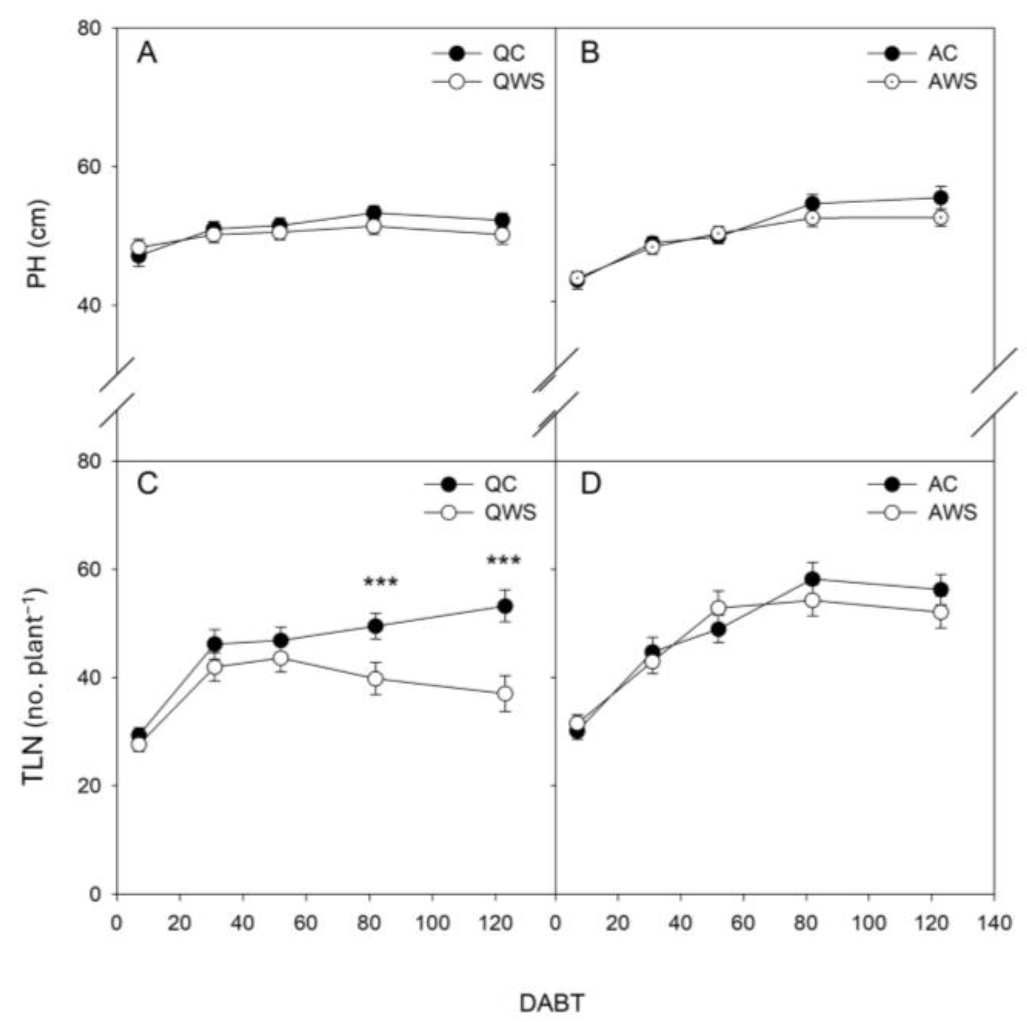
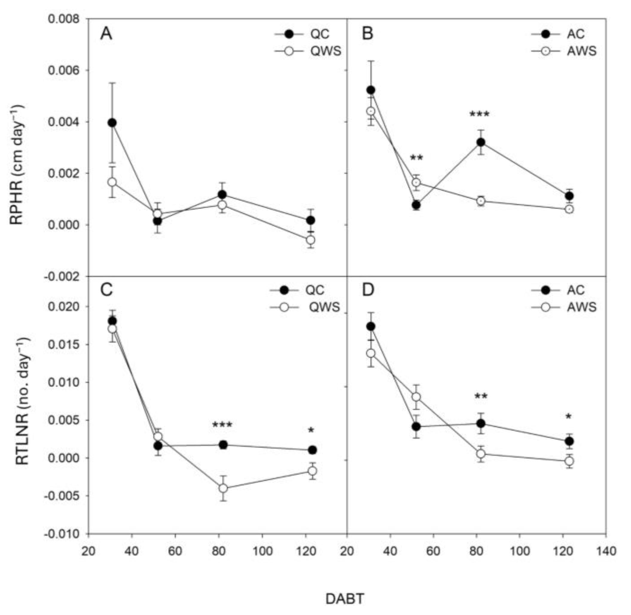
2.1. Plant Growth
2.2. Chlorophyll “a” Fluorescence Emission, Gas Exchange, and Leaf Water Potential
2.3. Wood Production, Growth Increments, and Wood Anatomical Traits
3. Discussion
4. Materials and Methods
4.1. Plant Material, Experimental Conditions, and Treatments
4.2. Plant Growth
4.3. Leaf Photosynthesis and Water Potential Monitoring
4.4. Wood Anatomical Analyses
4.5. Statistical Analysis of Data
Author Contributions
Funding
Data Availability Statement
Acknowledgments
Conflicts of Interest
References
- Colangelo, M.; Camarero, J.J.; Battipaglia, G.; Borghetti, M.; De Micco, V.; Gentilesca, T.; Ripullone, F. A Multi-Proxy Assessment of Dieback Causes in a Mediterranean oak Species. Tree Physiol. 2017, 37, 617–631. [Google Scholar] [CrossRef]
- Russo, A.; Gouveia, C.M.; Dutra, E.; Soares, P.M.M.; Trigo, R.M. The Synergy between Drought and Extremely Hot Summers in the Mediterranean. Environ. Res. Lett. 2019, 14, 014011. [Google Scholar] [CrossRef]
- Mayoral, C.; Calama, R.; Sánchez-González, M.; Pardos, M. Modelling the Influence of Light, Water and Temperature on Photosynthesis in Young Trees of Mixed Mediterranean Forests. New For. 2015, 46, 485–506. [Google Scholar] [CrossRef]
- Garcia-Fayos, P.; Monleon, V.J.; Espigares, T.; Nicolau, J.M.; Bochet, E. Increasing Aridity Threatens the Sexual Regeneration of Quercus ilex (Holm Oak) in Mediterranean Ecosystems. PLoS ONE 2020, 15, e0239755. [Google Scholar] [CrossRef] [PubMed]
- Vilagrosa, A.; Bellot, J.; Vallejo, V.R.; Gil-Pelegrín, E. Cavitation, Stomatal Conductance, and Leaf Dieback in Seedlings of Two Co-Occurring Mediterranean Shrubs during an Intense Drought. J. Exp. Bot. 2003, 54, 2015–2024. [Google Scholar] [CrossRef]
- Corcuera, L.; Gil-Pelegrín, E.; Notivol, E. Differences in Hydraulic Architecture Between Mesic and Xeric Pinus pinaster Populations at the Seedling Stage. Tree Physiol. 2012, 32, 1442–1457. [Google Scholar] [CrossRef]
- Charng, Y.; Mitra, S.; Yu, S.-J. Maintenance of Abiotic Stress Memory in Plants: Lessons Learned from Heat Acclimation. Plant Cell 2023, 35, 187–200. [Google Scholar] [CrossRef] [PubMed]
- Friedrich, T.; Oberkofler, V.; Trindade, I.; Altmann, S.; Brzezinka, K.; Lämke, J.; Gorka, M.; Kappel, C.; Sokolowska, E.; Skirycz, A. Heteromeric HSFA2/HSFA3 Complexes Drive Transcriptional Memory After Heat Stress in Arabidopsis. Nat. Commun. 2021, 12, 3426. [Google Scholar] [CrossRef] [PubMed]
- Kartashov, A.V.; Zlobin, I.E.; Pashkovskiy, P.P.; Pojidaeva, E.S.; Ivanov, Y.V.; Ivanova, A.I.; Ivanov, V.P.; Marchenko, S.I.; Nartov, D.I.; Kuznetsov, V.V. Effects of Drought Stress Memory on the Accumulation of Stress-Protective Compounds in Naturally Grown Pine and Spruce. Plant Physiol. Biochem. 2023, 200, 107761. [Google Scholar] [CrossRef]
- Wojtyla, Ł.; Paluch-Lubawa, E.; Sobieszczuk-Nowicka, E.; Garnczarska, M. Drought Stress Memory and Subsequent Drought Stress Tolerance in Plants. In Priming-Mediated Stress and Cross-Stress Tolerance in Crop Plants; Elsevier: Amsterdam, The Netherlands, 2020; pp. 115–131. [Google Scholar]
- Weger, H.G.; Silim, S.N.; Guy, R.D. Photosynthetic Acclimation to Low Temperature by Western Red Cedar Seedlings. Plant Cell Environ. 1993, 16, 711–717. [Google Scholar] [CrossRef]
- Walter, J.; Nagy, L.; Hein, R.; Rascher, U.; Beierkuhnlein, C.; Willner, E.; Jentsch, A. Do Plants Remember Drought? Hints towards a Drought-Memory in Grasses. Environ. Exp. Bot. 2011, 71, 34–40. [Google Scholar] [CrossRef]
- Vincent, C.; Rowland, D.; Schaffer, B.; Bassil, E.; Racette, K.; Zurweller, B. Primed Acclimation: A Physiological Process Offers a Strategy for More Resilient and Irrigation-Efficient Crop Production. Plant Sci. 2020, 295, 110240. [Google Scholar] [CrossRef] [PubMed]
- De Micco, V.; Balzano, A.; Čufar, K.; Aronne, G.; Gričar, J.; Merela, M.; Battipaglia, G. Timing of False Ring Formation in Pinus Halepensis and Arbutus unedo in Southern Italy: Outlook from an Analysis of Xylogenesis and Tree-Ring Chronologies. Front. Plant Sci. 2016, 7, 705. [Google Scholar] [CrossRef] [PubMed]
- De Micco, V.; Campelo, F.; De Luis, M.; Bräuning, A.; Grabner, M.; Battipaglia, G.; Cherubini, P. Intra-Annual Density Fluctuations in Tree Rings: How, When, Where, and Why? IAWA J. 2016, 37, 232–259. [Google Scholar] [CrossRef]
- Shiokura, T. A Method to Measure Radial Incremenf in Tropical Trees. IAWA J. 1989, 10, 147–154. [Google Scholar] [CrossRef]
- Torres-Ruiz, J.M.; Cochard, H.; Delzon, S.; Boivin, T.; Burlett, R.; Cailleret, M.; Corso, D.; Delmas, C.E.L.; De Caceres, M.; Diaz-Espejo, A.; et al. Plant Hydraulics at the Heart of Plant, Crops and Ecosystem Functions in the Face of Climate Change. New Phytol. 2024, 241, 984–999. [Google Scholar] [CrossRef] [PubMed]
- Lamarque, L.J.; Delmas, C.E.; Charrier, G.; Burlett, R.; Dell’Acqua, N.; Pouzoulet, J.; Gambetta, G.A.; Delzon, S. Quantifying the Grapevine Xylem Embolism Resistance Spectrum to Identify Varieties and Regions at Risk in a Future Dry Climate. Sci. Rep. 2023, 13, 7724. [Google Scholar] [CrossRef]
- De Micco, V.; Petracca, F.; Cirillo, C.; Arena, C. Particle Film to Mitigate the Negative Effects of Climate Change on Grapevine Leaf Eco-Physiology as Mediated by Anatomical Traits; Springer: Berlin/Heidelberg, Germany, 2024; pp. 1–25. [Google Scholar]
- Cherubini, P.; Gartner, B.L.; Tognetti, R.; BRAeKER, O.U.; Schoch, W.; Innes, J.L. Identification, Measurement and Interpretation of Tree Rings in Woody Species from Mediterranean Climates. Biol. Rev. 2003, 78, 119–148. [Google Scholar] [CrossRef] [PubMed]
- Balzano, A.; Čufar, K.; Battipaglia, G.; Merela, M.; Prislan, P.; Aronne, G.; De Micco, V. Xylogenesis Reveals the Genesis and Ecological Signal of IADFs in Pinus pinea L. and Arbutus unedo L. Ann. Bot. 2018, 121, 1231–1242. [Google Scholar] [CrossRef]
- Balzano, A.; Čufar, K.; De Micco, V. Xylem and Phloem Formation Dynamics in Quercus ilex L. at a Dry Site in Southern Italy. Forests 2021, 12, 188. [Google Scholar] [CrossRef]
- Battipaglia, G.; Kabala, J.P.; Pacheco-Solana, A.; Niccoli, F.; Bräuning, A.; Campelo, F.; Cufar, K.; De Luis, M.; De Micco, V.; Klisz, M. Intra-Annual Density Fluctuations in Tree Rings Are Proxies of Air Temperature across Europe. Sci. Rep. 2023, 13, 12294. [Google Scholar] [CrossRef] [PubMed]
- Zalloni, E.; Battipaglia, G.; Cherubini, P.; De Micco, V. Site Conditions Influence the Climate Signal of Intra-Annual Density Fluctuations in Tree Rings of Q. ilex L. Ann. For. Sci. 2018, 75, 68. [Google Scholar] [CrossRef]
- Ewers, F.W.; Jacobsen, A.L.; López-Portillo, J. Carlquist’s Indices for Vulnerability and Mesomorphy of Wood: Are They Relevant Today? IAWA J. 2023, 44, 355–367. [Google Scholar] [CrossRef]
- Carlquist, S.J. Ecological Strategies of Xylem Evolution; Univ of California Press: Oakland, CA, USA, 1975. [Google Scholar]
- Wheeler, J.K.; Sperry, J.S.; Hacke, U.G.; Hoang, N. Inter-vessel Pitting and Cavitation in Woody Rosaceae and Other Vesselled Plants: A Basis for a Safety Versus Efficiency Trade-off in Xylem Transport. Plant Cell Environ. 2005, 28, 800–812. [Google Scholar] [CrossRef]
- Jacobsen, A.L.; Pratt, R.B. Vessel Diameter Polymorphism Determines Vulnerability-to-Embolism Curve Shape. IAWA J. 2023, 44, 320–334. [Google Scholar] [CrossRef]
- Schulze, E.-D.; Beck, E.; Buchmann, N.; Clemens, S.; Müller-Hohenstein, K.; Scherer-Lorenzen, M.; Schulze, E.-D.; Beck, E.; Buchmann, N.; Clemens, S. Water Deficiency (Drought). In Plant Ecology; Springer: Berlin/Heidelberg, Germany, 2019; pp. 165–202. [Google Scholar]
- Maxwell, K.; Johnson, G.N. Chlorophyll Fluorescence—A Practical Guide. J. Exp. Bot. 2000, 51, 659–668. [Google Scholar] [CrossRef] [PubMed]
- Arena, C.; Conti, S.; Francesca, S.; Melchionna, G.; Hájek, J.; Barták, M.; Barone, A.; Rigano, M.M. Eco-Physiological Screening of Different Tomato Genotypes in Response to High Temperatures: A Combined Field-to-Laboratory Approach. Plants 2020, 9, 508. [Google Scholar] [CrossRef]
- Vitale, L.; Vitale, E.; Costanzo, G.; De Maio, A.; Arena, C. Photo-Protective Mechanisms and the Role of Poly (ADP-Ribose) Polymerase Activity in a Facultative CAM Plant Exposed to Long-Term Water Deprivation. Plants 2020, 9, 1192. [Google Scholar] [CrossRef] [PubMed]
- Smith, K.T. Compartmentalization, Resource Allocation, and Wood Quality. Curr. For. Rep. 2015, 1, 8–15. [Google Scholar] [CrossRef]
- Piovesan, G.; Biondi, F. On Tree Longevity. New Phytol. 2021, 231, 1318–1337. [Google Scholar] [CrossRef]
- Cirillo, C.; Pannico, A.; Balzano, A.; Zalloni, E.; Caputo, R.; Arena, C.; De Pascale, S.; De Micco, V. Effects of a Simulated Heat Wave on Growth and Photosynthesis of Quercus ilex L. and Arbutus unedo L. Seedlings. Acta Hortic. 2022, 1335, 725–732. [Google Scholar] [CrossRef]
- Kitajima, M.; Butler, W.L. Excitation Spectra for Photosystem I and Photosystem II in Chloroplasts and the Spectral Characteristics of the Distribution of Quanta Between the Two Photosystems. Biochim. Biophys. Acta BBA-Bioenerg. 1975, 408, 297–305. [Google Scholar] [CrossRef] [PubMed]
- Genty, B.; Briantais, J.-M.; Baker, N.R. The Relationship Between the Quantum Yield of Photosynthetic Electron Transport and Quenching of Chlorophyll Fluorescence. Biochim. Biophys. Acta BBA-Gen. Subj. 1989, 990, 87–92. [Google Scholar] [CrossRef]
- Krall, J.P.; Edwards, G.E. Relationship between Photosystem II Activity and CO2 Fixation in Leaves. Physiol. Plant. 1992, 86, 180–187. [Google Scholar] [CrossRef]
- Scholander, P.F.; Bradstreet, E.D.; Hemmingsen, E.A.; Hammel, H.T. Sap Pressure in Vascular Plants: Negative Hydrostatic Pressure Can Be Measured in Plants. Science 1965, 148, 339–346. [Google Scholar] [CrossRef]
- Turner, N.C.; Long, M.J. Errors Arising from Rapid Water Loss in the Measurement of Leaf Water Potential by the Pressure Chamber Technique. Funct. Plant Biol. 1980, 7, 527–537. [Google Scholar] [CrossRef]
- Seo, J.-W.; Eckstein, D.; Schmitt, U. The Pinning Method: From Pinning to Data Preparation. Dendrochronologia 2007, 25, 79–86. [Google Scholar] [CrossRef]
- Van der Werf, G.W.; Sass-Klaassen, U.G.; Mohren, G.M.J. The Impact of the 2003 Summer Drought on the Intra-Annual Growth Pattern of Beech (Fagus sylvatica L.) and Oak (Quercus robur L.) on a Dry Site in The Netherlands. Dendrochronologia 2007, 25, 103–112. [Google Scholar] [CrossRef]
- Wheeler, E.A.; Baas, P.; Gasson, P.E. IAWA List of Microscopic Features for Hardwood Identification; IAWA Leiden: Leiden, The Netherlands, 1989; Volume 10. [Google Scholar]






| PH (cm) | TLN (n.) | |
|---|---|---|
| Species (S) | ||
| Q | 51.21 ± 0.86 a | 45.13 ± 2.01 b |
| A | 53.61 ± 0.98 a | 54.09 ± 2.31 a |
| Treatment (T) | ||
| C | 53.57 ± 0.91 a | 54.65 ± 2.14 a |
| WS | 51.25 ± 0.93 b | 44.56 ± 2.20 b |
| Significance | ||
| S | NS | ** |
| T | ** | *** |
| S × T | NS | NS |
| Fv/Fm | ETR | ΦPSII | NPQ | PN (µmol m−2 s−1) | gs (mol m−2 s−1) | TR (mol m−2 s−1) | Ψl (MPa) | |
|---|---|---|---|---|---|---|---|---|
| Species (S) | ||||||||
| Q | 0.77 ± 0.009 a | 268.0 ± 27.9 a | 0.43 ± 0.04 a | 3.07 ± 0.53 a | 3.73 ± 0.34 a | 0.05 ± 0.007 a | 1.21 ± 0.13 b | −2.94 ± 0.32 a |
| A | 0.78 ± 0.001 a | 314.2 ± 29.2 a | 0.51 ± 0.05 a | 2.26 ± 0.55 a | 4.01 ± 0.33 a | 0.06 ± 0.007 a | 1.56 ± 0.12 a | −1.72 ± 0.32 b |
| Treatment (T) | ||||||||
| C | 0.78 ± 0.002 a | 296.4 ± 27.9 a | 0.47 ± 0.04 a | 2.60 ± 0.53 a | 5.05 ± 0.32 a | 0.07 ± 0.007 a | 1.71 ± 0.11 a | −1.94 ± 0.31 a |
| WS | 0.77 ± 0.002 a | 283.2 ± 29.2 a | 0.46 ± 0.06 a | 2.77 ± 0.55 a | 2.51 ± 0.35 b | 0.03 ± 0.007 b | 1.02 ± 0.13 b | −2.72 ±0.33 a |
| Interaction (S × T) | ||||||||
| QC | 0.78 ± 0.008 a | 232.5 ± 25.6 a | 0.37 ± 0.04 b | 4.07 ± 0.55 a | 4.81 ± 0.59 a | 0.06 ± 0.010 ab | 1.43 ± 0.17 b | −2.43 ± 0.22 ab |
| QWS | 0.77 ± 0.010 a | 303.4 ± 50.4 a | 0.48 ± 0.07 ab | 2.09 ± 0.62 ab | 2.29 ± 0.26 b | 0.03 ± 0.009 b | 0.91 ± 0.17 b | −3.45 ± 0.45 a |
| AC | 0.79 ± 0.009 a | 360.3 ± 26.5 a | 0.58 ± 0.04 a | 1.14 ± 0.44 b | 5.33 ± 0.33 a | 0.08 ± 0.007 a | 2.01 ± 0.12 a | −1.45 ± 0.11 b |
| AWS | 0.78 ± 0.010 a | 259.0 ± 54.8 a | 0.42 ± 0.09 ab | 3.60 ± 1.37 a | 2.69 ± 0.52 b | 0.04 ± 0.011 b | 1.11 ± 0.22 b | −1.99 ± 0.75 b |
| Sig. | ||||||||
| S | NS | NS | NS | NS | NS | NS | * | * |
| T | NS | NS | NS | NS | *** | ** | *** | NS |
| S × T | NS | NS | * | ** | NS | NS | NS | * |
| WIW (mm) | IADFs (n.) | VLA (µm2) | VF (n/mm2) | WTA (µm2/mm2) | |
|---|---|---|---|---|---|
| Species (S) | |||||
| Q | 1.06 ± 0.13 b | 0.58 ± 0.20 b | 651.5 ± 9.65 a | 36.90 ± 16.06 b | 23,336 ± 5889 b |
| A | 1.39 ± 0.09 a | 1.19 ± 0.14 a | 362.2 ± 9.23 b | 121.6 ± 17.7 a | 44,185 ± 6518 a |
| Treatment (T) | |||||
| C | 1.23 ± 0.11 a | 1.07 ± 0.17 a | 556.3 ± 7.68 a | 92.14 ± 14.58 a | 40,251 ± 5349 a |
| WS | 1.22 ± 0.11 a | 0.70 ± 0.18 a | 457.4 ± 10.92 b | 66.37 ± 19.00 a | 27,270 ± 6968 a |
| Interaction (S × T) | |||||
| QC | 1.06 ± 0.11 a | 0.75 ± 0.48 a | 738.6 ± 12.31 a | 35.31 ± 17.59 b | 24,872 ± 6452 b |
| QWS | 1.05 ± 0.24 a | 0.40 ± 0.24 a | 564.3 ± 14.85 b | 38.50 ± 26.88 b | 21,799 ± 9855 b |
| AC | 1.41 ± 0.08 a | 1.39 ± 0.18 a | 374.0 ± 9.18 c | 149.0 ± 23.27 a | 55,630 ± 8535 a |
| AWS | 1.38 ± 0.19 a | 1.00 ± 0.00 a | 350.5 ± 16.03 c | 94.26 ± 26.88 ab | 32,741 ± 9855 ab |
| Sig. | |||||
| S | * | * | *** | ** | * |
| T | NS | NS | *** | NS | NS |
| S × T | NS | NS | *** | * | * |
Disclaimer/Publisher’s Note: The statements, opinions and data contained in all publications are solely those of the individual author(s) and contributor(s) and not of MDPI and/or the editor(s). MDPI and/or the editor(s) disclaim responsibility for any injury to people or property resulting from any ideas, methods, instructions or products referred to in the content. |
© 2025 by the authors. Licensee MDPI, Basel, Switzerland. This article is an open access article distributed under the terms and conditions of the Creative Commons Attribution (CC BY) license (https://creativecommons.org/licenses/by/4.0/).
Share and Cite
Balzano, A.; Amitrano, C.; Arena, C.; Pannico, A.; Caputo, R.; Merela, M.; Cirillo, C.; De Micco, V. Does Pre-Acclimation Enhance the Tolerance of Quercus ilex and Arbutus unedo Seedlings to Drought? Plants 2025, 14, 388. https://doi.org/10.3390/plants14030388
Balzano A, Amitrano C, Arena C, Pannico A, Caputo R, Merela M, Cirillo C, De Micco V. Does Pre-Acclimation Enhance the Tolerance of Quercus ilex and Arbutus unedo Seedlings to Drought? Plants. 2025; 14(3):388. https://doi.org/10.3390/plants14030388
Chicago/Turabian StyleBalzano, Angela, Chiara Amitrano, Carmen Arena, Antonio Pannico, Rosanna Caputo, Maks Merela, Chiara Cirillo, and Veronica De Micco. 2025. "Does Pre-Acclimation Enhance the Tolerance of Quercus ilex and Arbutus unedo Seedlings to Drought?" Plants 14, no. 3: 388. https://doi.org/10.3390/plants14030388
APA StyleBalzano, A., Amitrano, C., Arena, C., Pannico, A., Caputo, R., Merela, M., Cirillo, C., & De Micco, V. (2025). Does Pre-Acclimation Enhance the Tolerance of Quercus ilex and Arbutus unedo Seedlings to Drought? Plants, 14(3), 388. https://doi.org/10.3390/plants14030388

