Periodicity of Fruit Cracking in Orange Fruit and Integrated Management Intervention
Abstract
1. Introduction
2. Results
2.1. Annual Fruit Drop and Composition of Bingtang Orange in 2022 and 2023
2.2. Rainfall Pattern in the Past 5 Years
2.3. Analysis of Cracked Fruits
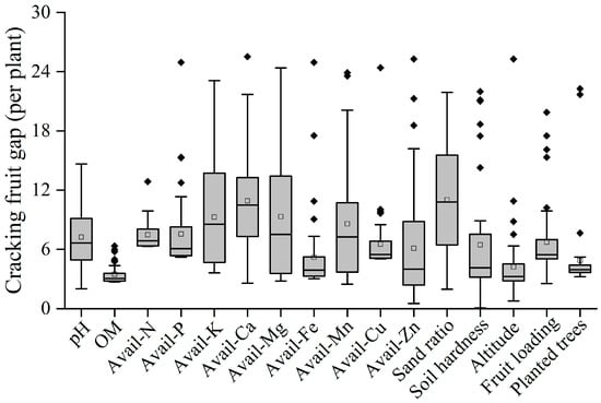
2.4. Soil Fertility, Physical Properties, and Orchard Management in Bingtang Orange Orchards
2.5. Boundary Line Analysis Between Fruit Cracking Fruit and Soil Physicochemical Characteristics and Orchard Management
2.6. Contributions of Different Soil Trait Factors to Fruit Cracking Intensity
2.7. Orchard Obstacles Causing Fruit Cracking in Bingtang Orange Orchards
2.8. Effects of Different Preventive Treatments on Fruit Cracking
2.9. Effects of Different Treatments on the Yield of Bingtang Orange
3. Materials and Method
3.1. Orchard Sites and Meteorological Data
3.2. Soil Sample Collection and Determination
3.3. Fruit Drop and Cracked Fruit
3.4. Experimental Design of Fruit Cracking Prevention
3.5. Cracked Fruit-Related Factors and Factor Contribution Analysis by Boundary Line
3.6. Statistical Analysis
4. Discussion
5. Conclusions
Author Contributions
Funding
Data Availability Statement
Acknowledgments
Conflicts of Interest
References
- Wu, S.; Zhang, Y.; Tan, Q.; Sun, X.; Hu, C. Biochar is superior to lime in improving acidic soil properties and fruit quality of Satsuma mandarin. Sci. Total Environ. 2020, 714, 136722. [Google Scholar] [CrossRef] [PubMed]
- Liang, X.; Chen, Q.; Rana, M.S.; Dong, Z.; Wu, S. Effects of soil amendments on soil fertility and fruit yield through alterations in soil carbon fractions. J. Soils Sediments 2021, 21, 2628–2638. [Google Scholar] [CrossRef]
- Dong, Z.H.; Srivastava, A.K.; Tan, Q.L.; Riaz, M.; Lv, X.L.; Liu, X.D. Effect of different spring and summer fertilization proportions on fruit yield, quality, and nutrient use efficiency of Newhall orange (Citrus sinensis Osbeck) orchard in Ganzhou province. J. Plant Nutr. 2023, 46, 2144–2154. [Google Scholar] [CrossRef]
- Wu, S.; Zhang, C.; Li, M.; Tan, Q.; Sun, X.; Pan, Z. Effects of potassium on fruit soluble sugar and citrate accumulations in Cara Cara navel orange (Citrus sinensis L. Osbeck). Sci. Hortic. 2021, 283, 110057. [Google Scholar] [CrossRef]
- Li, J.; Chen, J. Citrus Fruit-Cracking: Causes and Occurrence. Hortic. Plant J. 2017, 3, 255–260. [Google Scholar] [CrossRef]
- Paul, J.R.; Cronjé, S.O.P.J.; Theron, K.I. Fruit Splitting in Citrus. Hortic. Rev. 2013, 41, 177–200. [Google Scholar]
- Cohen, A.; Lomas, J.; Rassis, A. Climatic effects on fruit shape and peel thickness in “Marsh Seedless” grapefruit. J. Am. Soc. Hortic. Sci. 1972, 97, 768–771. [Google Scholar] [CrossRef]
- Barry, G.H.; Bower, J.P. Manipulation of fruit set and stylar-end fruit split in “Nova” mandarin hybrid. Sci. Hortic. 1997, 70, 243–250. [Google Scholar] [CrossRef]
- Jones, W.W.; Embleton, T.W. Creasing of orange fruit. Hilgardia 1967, 51, 341–351. [Google Scholar] [CrossRef]
- Roshan, K.S.; Rupesh, D.; Mehanathan, M.; Rekha, R.; Manoj, P. Versatile roles of aquaporin in physiological processes and stress tolerance in plants. Plant Physiol. Biochem. 2020, 149, 178–189. [Google Scholar]
- Phiri, Z.P. Creasing Studies in Citrus. Master’s Thesis, University of Stellenbosch, Stellenbosch, South Africa, 2023. [Google Scholar]
- Sdoodee, S.; Chiarawipa, R. Fruit splitting occurrence of Shogun mandarin (Citrus reticulata Blanco cv. Shogun) in southern Thailand and alleviation by calcium and boron sprays. Songklanakarin J. Sci. Technol. 2005, 27, 717–723. [Google Scholar]
- Dong, T.; Xia, R.; Xiao, Z.; Wang, P.; Song, W. Effect of pre-harvest application of calcium and boron on dietary fibre, hydrolases and ultrastructure in “Cara Cara” navel orange (Citrus sinensis L. Osbeck) fruit. Sci. Hortic. 2009, 121, 272–277. [Google Scholar] [CrossRef]
- Pham, T.T.M.; Singh, Z.; Behboudian, M.H. Different surfactants improve calcium uptake into leaf and fruit of “Washington Navel” sweet orange and reduce albedo freakdown. J. Plant Nutr. 2012, 35, 889–904. [Google Scholar] [CrossRef]
- Jiao, Y.; Sha, C.; Shu, Q. Integrated physiological and metabolomic analyses of the effect of potassium fertilizer on Citrus fruit splitting. Plants 2022, 11, 499. [Google Scholar] [CrossRef]
- Gambetta, G.; Arbiza, H.; Ferenczi, A.; Gravina, A.; Orlando, L.; Severino, V. Creasing in Washington Navel orange in Uruguay: Study and control. In Proceedings of the International Society of Citriculture IX Congress, Orlando, FL, USA, 3–7 December 2000; pp. 17–24. [Google Scholar]
- Storey, R.; Treeby, M.T.; Milne, D.J. Crease: Another Ca deficiency-related fruit disorder? J. Hortic. Sci. Biotechnol. 2002, 77, 565–571. [Google Scholar] [CrossRef]
- Li, J.; Liang, C.; Liu, X.; Huai, B.; Chen, J.; Yao, Q. Effect of Zn and Naa co-treatment on the occurrence of creasing fruit and the peel development of ‘shatangju’ mandarin. Sci. Hortic. 2016, 201, 230–237. [Google Scholar] [CrossRef]
- Zhang, C.X.; Tan, Q.L.; Zheng, C.S. Plant nutrition status, yield and quality of satsuma mandarin (Citrus unshiu Marc.) under soil application of Fe-EDDHA and combination with zinc and manganese in calcareous soil. Sci. Hortic. 2014, 174, 46–53. [Google Scholar] [CrossRef]
- Webb, R.A. Use of the Boundary Line in the analysis of biological data. J. Hortic. Sci. 1972, 47, 309–319. [Google Scholar] [CrossRef]
- Shatar, T.M.; Mcbratney, A.B. Boundary-line analysis of field-scale yield response to soil properties. J. Agric. Sci. 2004, 142, 553–560. [Google Scholar] [CrossRef]
- Wairegi, L.W.I.; Asten, P.J.A.V.; Tenywa, M.M.; Bekunda, M.A. Abiotic constraints override biotic constraints in East African highland banana systems. Field Crops Res. 2010, 117, 146–153. [Google Scholar] [CrossRef]
- Zhang, D.; Wang, C.; Li, X.L. Yield gap and production constraints of mango (Mangifera indica) cropping systems in Tianyang County, China. J. Integr. Agric. 2019, 18, 1726–1736. [Google Scholar] [CrossRef]
- Kaur, R.; Kaur, N.; Bajya, M.; Bajaya, T. Physiological and biochemical mechanisms of fruit cracking: A review. Indian J. Agric. Sci. 2022, 92, 547–553. [Google Scholar] [CrossRef]
- Hifny, H.A.; Sobhy, M.; KhalifaSobhy, M.; Khalifa, A.E.; Hamdy, A.E.; Hamdy, A.; El-Wahed, N. Effect of GA3 and NAA on growth, yield and fruit quality of Washington navel orange. Egypt. J. Hortic. 2017, 44, 33–43. [Google Scholar]
- Roy, M.E.; Shaw, P.E. Effect of gibberellic acid on certain physical and chemical properties of grapefruit peel. HortScience 1994, 29, 536. [Google Scholar]
- Broadley, M.R.; Bowen, H.C.; Cotterill, H.L. Variation in the shoot calcium content of angiosperms. J. Exp. Bot. 2003, 54, 1431–1446. [Google Scholar] [CrossRef] [PubMed]
- Jain, M.; Pathak, B.P.; Harmon, A.C.; Tillman, B.L.; Gallo, M. Calcium dependent protein kinase (cdpk) expression during fruit development in cultivated peanut (arachis hypogaea) under Ca2+-sufficient and -deficient growth regimens. J. Plant Physiol. 2011, 168, 2272–2277. [Google Scholar] [CrossRef] [PubMed]
- Stanisław, G.; Grzesiak, M.T.; Władysław, F.; Hura, T.; Joanna, S. The impact of different soil moisture and soil compaction on the growth of triticale root system. Acta Physiol. Plant. 2002, 24, 331–342. [Google Scholar]
- Tracy, S.R.; Black, C.R.; Roberts, J.A.; Dodd, I.C.; Mooney, S.J. Using x-ray computed tomography to explore the role of abscisic acid in moderating the impact of soil compaction on root system architecture. Environ. Exp. Bot. 2015, 110, 11–18. [Google Scholar] [CrossRef]
- Ali, M.M.; Yousef, A.F.; Li, B.; Chen, F.X. Effect of Environmental Factors on Growth and Development of Fruits. Trop. Plant Biol. 2021, 14, 226–238. [Google Scholar] [CrossRef]
- Chen, H.; Zhao, J.; Jiang, J. Effects of Inorganic, Organic and Bio-Organic Fertilizer on Growth, Rhizosphere Soil Microflora and Soil Function Sustainability in Chrysanthemum Monoculture. Agriculture 2021, 11, 1214. [Google Scholar] [CrossRef]
- Zhang, M.J.; Ju, Q.J.; Hua, L.U.; Mei, C.F.; Wu, D.Y. Functional diversity of soil microbial communities in response to supplementing 50% of the mineral n fertilizer with organic fertilizer in an oat field. J. Integr. Agric. 2021, 20, 2255–2264. [Google Scholar] [CrossRef]
- Michailidis, M.; Karagiannis, E.; Christos, B. Genotype- and tissue-specific metabolic networks and hub genes involved in water-induced distinct sweet cherry fruit cracking phenotypes. Comput. Struct. Biotechnol. J. 2021, 589, 252–263. [Google Scholar] [CrossRef] [PubMed]
- Yu, J.; Li, J.; Hong, Z.F.; Zeng, Q.; Fu, Y.Z.; Deng, R.X.; Xu, K.; Huang, Z.Y.; Zhu, M.T. VvPIP1;1 plays a role in grape berry cracking by regulating water uptake. Hortic. Plant J. 2025. [Google Scholar] [CrossRef]
- Lopez-Zaplana, A.; Gloria, B.; Ding, L. Aquaporins involvement in the regulation of melon (Cucumis melo L.) fruit cracking under different nutrient (Ca, B and Zn) treatments. Environ. Exp. Bot. 2022, 201, 104981. [Google Scholar] [CrossRef]
- Breia, R.; Andreia, F.; Mósca, C.A. Sweet Cherry (Prunus avium L.) PaPIP1;4 Is a Functional Aquaporin Upregulated by Pre-Harvest Calcium Treatments that Prevent Cracking. Int. J. Mol. Sci. 2020, 21, 3017. [Google Scholar] [CrossRef]
- Dong, Z.H.; Shi, X.J.; Liu, X.M.; Srivastava, A.K.; Shi, X.J.; Zhang, Y.Q.; Hu, C.X.; Zhang, F.S. Calcium application regulates fruit cracking by cross-linking of fruit peel pectin during young fruit growth stage of citrus. Sci. Hortic. 2025, 340, 113922. [Google Scholar] [CrossRef]
- Srivastava, A.K.; Singh, S.; Marathe, R.A. Organic Citrus: Soil Fertility and Plant Nutrition. J. Sustain. Agric. 2022, 19, 5–29. [Google Scholar] [CrossRef]










| Orchard Traits | Average | Maximum | Minimum | SD | CV (%) |
|---|---|---|---|---|---|
| pH | 7.13 | 8.10 | 5.34 | 0.07 | 8.61 |
| OM (g/kg) | 28.22 | 50.70 | 10.90 | 1.12 | 33.19 |
| Avail-N (mg/kg) | 94.86 | 172.55 | 47.60 | 2.96 | 26.07 |
| Avail-P (mg/kg) | 110.09 | 236.98 | 22.87 | 4.44 | 33.57 |
| Avail-K (mg/kg) | 336.27 | 738.15 | 127.69 | 16.12 | 40.00 |
| Avail-Ca (mg/kg) | 5963.26 | 10,200.00 | 1887.30 | 259.96 | 36.27 |
| Avail-Mg (mg/kg) | 297.52 | 601.26 | 70.53 | 19.03 | 53.95 |
| Avail-Fe (mg/kg) | 34.19 | 54.65 | 18.13 | 1.15 | 28.18 |
| Avail-Mn (mg/kg) | 27.83 | 59.22 | 9.17 | 1.56 | 47.24 |
| Avail-Cu (mg/kg) | 3.32 | 7.81 | 0.96 | 0.19 | 48.56 |
| Avail-Zn (mg/kg) | 4.87 | 9.49 | 0.58 | 0.25 | 43.40 |
| Sand ratio (%) | 12.36 | 28.14 | 0.96 | 0.92 | 62.37 |
| Soil hardness (pa) | 1942.74 | 3734.00 | 828.00 | 13.55 | 22.57 |
| Altitude (m) | 771.17 | 981.53 | 577.99 | 10.05 | 10.92 |
| Fruit loading | 290.57 | 493.75 | 80.31 | 12.25 | 38.89 |
| Planted trees/household | 355.02 | 481.00 | 92.00 | 52.53 | 28.82 |
| Nutrient Contents | Bingtang Orange Orchards | Mandarin Orchards | ||||
|---|---|---|---|---|---|---|
| Orchard 1 | Orchard 2 | Orchard 3 | Orchard 4 | Orchard 1 | Orchard 2 | |
| pH | 6.37 | 6.65 | 6.41 | 6.12 | 5.98 | 5.74 |
| OM (g kg−1) | 15.57 | 17.10 | 16.21 | 9.57 | 10.02 | 21.28 |
| Avail-N (mg kg−1) | 80.34 | 88.19 | 85.25 | 76.03 | 76.6 | 82.5 |
| Avail-P (mg kg−1) | 18.62 | 15.34 | 17.58 | 17.02 | 39.35 | 38.07 |
| Avail-K (mg kg−1) | 154.52 | 68.52 | 168.10 | 155.81 | 100.35 | 132.64 |
| Avail-Ca (mg kg−1) | 3185.68 | 4286.12 | 1125.58 | 4399.47 | 3846.83 | 2074.92 |
| Avail-Mg (mg kg−1) | 305.81 | 155.21 | 121.64 | 137.52 | 169.35 | 368.92 |
| Hardness (Pa) | 226.56 | 259.22 | 286.25 | 473.56 | 458.63 | 249.28 |
Disclaimer/Publisher’s Note: The statements, opinions and data contained in all publications are solely those of the individual author(s) and contributor(s) and not of MDPI and/or the editor(s). MDPI and/or the editor(s) disclaim responsibility for any injury to people or property resulting from any ideas, methods, instructions or products referred to in the content. |
© 2025 by the authors. Licensee MDPI, Basel, Switzerland. This article is an open access article distributed under the terms and conditions of the Creative Commons Attribution (CC BY) license (https://creativecommons.org/licenses/by/4.0/).
Share and Cite
Shi, X.; Wen, M.; Dong, Z.; Zhang, J.; Srivastava, A.K.; Moussa, M.G.; Zhang, Y. Periodicity of Fruit Cracking in Orange Fruit and Integrated Management Intervention. Plants 2025, 14, 389. https://doi.org/10.3390/plants14030389
Shi X, Wen M, Dong Z, Zhang J, Srivastava AK, Moussa MG, Zhang Y. Periodicity of Fruit Cracking in Orange Fruit and Integrated Management Intervention. Plants. 2025; 14(3):389. https://doi.org/10.3390/plants14030389
Chicago/Turabian StyleShi, Xingjian, Mingxia Wen, Zhihao Dong, Jiangzhou Zhang, Anoop Kumar Srivastava, Mohamed G. Moussa, and Yueqiang Zhang. 2025. "Periodicity of Fruit Cracking in Orange Fruit and Integrated Management Intervention" Plants 14, no. 3: 389. https://doi.org/10.3390/plants14030389
APA StyleShi, X., Wen, M., Dong, Z., Zhang, J., Srivastava, A. K., Moussa, M. G., & Zhang, Y. (2025). Periodicity of Fruit Cracking in Orange Fruit and Integrated Management Intervention. Plants, 14(3), 389. https://doi.org/10.3390/plants14030389

