Synergistic Effects of Biochar and Irrigation on Sugar Beet Growth, Yield, Quality, and Economic Benefit in Arid Regions
Abstract
1. Introduction
2. Materials and Methods
2.1. Experimental Site
2.2. Experimental Design
2.2.1. Biochar Preparation and Experimental Plot Arrangement
2.2.2. Irrigation Schedule
2.3. Sampling and Measurement of Sugar Beet
2.3.1. Growth Index of Sugar Beet
2.3.2. Yield, Biomass, and Sugar Content
2.3.3. Irrigation Water Use Efficiency Indices
2.3.4. Yield Sustainability
2.3.5. Economic Benefit Analysis
2.4. Statistical Analysis
3. Results
3.1. Effects of Biochar and Irrigation on the Germination Rate and Growth of Sugar Beet
3.1.1. Influence of Biochar Application Amount on Germination Rate
3.1.2. Synergistic Effects of Biochar and Irrigation on Growth of Sugar Beet
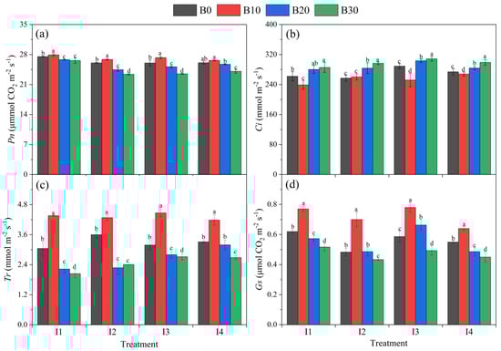
3.2. Effects of Biochar and Irrigation on Physiological Indexes
Effects of Irrigation and Biochar Application on SPAD
3.3. Effects of Irrigation and Biochar Application Yield, Biomass, Quality, and IWUE
3.4. Variation in Sugar Content
3.5. Effects of Irrigation and Biochar Application on SYI
3.6. Economic Benefit (EB) Analysis
3.7. Comprehensive Evaluation
4. Discussion
4.1. Effects of Biochar Application on Germination Rate
4.2. Synergistic Effects of Biochar and Irrigation on Chlorophyll
4.3. Synergistic Effects of Biochar and Irrigation on Growth and Yield of Sugar Beet
Author Contributions
Funding
Data Availability Statement
Conflicts of Interest
Abbreviations
References
- Ahmad, M.; Akbar, H.; Jan, M.T.; Khattak, M.J.K. Effect of Seeding Depth, Nitrogen Placement Method and Biochar on the Growth, Yield and Its Related Parameters of Sugar Beet. Sarhad J. Agric. 2015, 31, 224–231. [Google Scholar] [CrossRef]
- Baptista, S.L.; Soares, P.O.; Romaní, A.; Alonso, J.L.; Domingues, L. Engineering Arabinose-to-Arabitol Conversion in Industrial Saccharomyces Cerevisiae for Sugar Beet Pulp Valorization. Ind. Crops Prod. 2024, 222, 119718. [Google Scholar] [CrossRef]
- Luo, Q.; Zhao, X.; Li, Y.; Deng, Y.; He, Q.; Dai, W. Aging Alters the Physicochemical Properties of Biochar, Enhances Its Adsorption Performance for Tris-(1-Chloro-2-Propyl) Phosphate, and Changes the Adsorption Mechanism. Environ. Technol. Innov. 2025, 37, 104053. [Google Scholar] [CrossRef]
- Liu, Y.; Yang, S.; Lu, H.; Wang, Y. Effects of Biochar on Spatial and Temporal Changes in Soil Temperature in Cold Waterlogged Rice Paddies. Soil Tillage Res. 2018, 181, 102–109. [Google Scholar] [CrossRef]
- Xiao, L.; Yuan, G.; Feng, L.; Bi, D.; Wei, J.; Shen, G.; Liu, Z. Coupled effects of biochar use and farming practice on physical properties of a salt-affected soil with wheat–maize rotation. J. Soils Sediment. 2020, 20, 3053–3061. [Google Scholar] [CrossRef]
- Wang, X.; Riaz, M.; Xia, X.; Babar, S.; El-Desouki, Z.; Li, Y.; Wang, J.; Jiang, C. Alleviation of Cotton Growth Suppression Caused by Salinity through Biochar Is Strongly Linked to the Microbial Metabolic Potential in Saline-Alkali Soil. Sci. Total Environ. 2024, 922, 171407. [Google Scholar] [CrossRef]
- Zhang, Q.; Song, Y.; Wu, Z.; Yan, X.; Gunina, A.; Kuzyakov, Y.; Xiong, Z. Effects of six-year biochar amendment on soil aggregation, crop growth, and nitrogen and phosphorus use efficiencies in a rice-wheat rotation. J. Clean. Prod. 2020, 242, 118435. [Google Scholar] [CrossRef]
- Zhang, T.; Zhan, X.; Kang, Y.; Wan, S.; Feng, H. Improvements of Soil Salt Characteristics and Nutrient Status in an Impermeable Saline–Sodic Soil Reclaimed with an Improved Drip Irrigation While Ridge Planting Lycium barbarum L. J. Soils Sediments 2017, 17, 1126–1139. [Google Scholar] [CrossRef]
- Wu, X.; Wang, D.; Riaz, M.; Zhang, L.; Jiang, C. Investigating the Effect of Biochar on the Potential of Increasing Cotton Yield, Potassium Efficiency and Soil Environment. Ecotoxicol. Environ. Saf. 2019, 182, 109451. [Google Scholar] [CrossRef]
- Liu, C.; Tian, J.; Chen, L.; He, Q.; Liu, X.; Bian, R.; Zheng, J.; Cheng, K.; Xia, S.; Zhang, X.; et al. Biochar Boosted High Oleic Peanut Production with Enhanced Root Development and Biological N Fixation by Diazotrophs in a Sand-Loamy Primisol. Sci. Total Environ. 2024, 932, 173061. [Google Scholar] [CrossRef]
- Han, Y.; Zhang, J.; Chen, P.; Li, H.; Li, W.; Liu, J.; Zong, R.; Wang, D.; Liang, Y.; Wang, Z. Biochar Improves Water and Nitrogen Use Efficiency of Cotton under Mulched Drip Irrigation in Arid Regions. Ind. Crops Prod. 2024, 222, 119830. [Google Scholar] [CrossRef]
- Liao, X.; Niu, Y.; Liu, D.; Chen, Z.; He, T.; Luo, J.; Lindsey, S.; Ding, W. Four-year continuous residual effects of biochar application to a sandy loam soil on crop yield and N2O and NO emissions under maize-wheat rotation. Agr. Ecosyst Environ. 2020, 302, 107109. [Google Scholar] [CrossRef]
- Huang, M.; Wang, C.; Qi, W.; Zhang, Z.; Xu, H. Modelling the integrated strategies of deficit irrigation, nitrogen fertilization, and biochar addition for winter wheat by AquaCrop based on a two-year field study. Field Crops Res. 2022, 282, 108510. [Google Scholar] [CrossRef]
- Hossain, M.; Jotisankasa, A.; Aramrak, S.; Kamchoom, V.; Nishimura, S.; Nontananandh, S.; Muanlhao, T.; Semmad, S. Increased Erosion in Biochar-Amended Soil: Importance of Integrating Erosion Control Blankets and Vegetation. Biogeotechnics 2025, 100161. [Google Scholar] [CrossRef]
- Almaroai, Y.A.; Eissa, M.A. Effect of biochar on yield and quality of tomato grown on a metal-contaminated soil. Sci. Hortic. 2020, 265, 109210. [Google Scholar] [CrossRef]
- Wang, S.; Wang, C.; Xie, L.; Li, Y.; Siddique, K.H.; Qi, X.; Luo, H.; Yang, G.; Hou, Z.; Wang, X.; et al. Optimizing Biochar Application for Enhanced Cotton and Sugar Beet Production in Xinjiang: A Comprehensive Study. J. Sci. Food Agric. 2024, 104, 6626–6639. [Google Scholar] [CrossRef]
- Liu, X.; Manevski, K.; Liu, F.; Andersen, M.N. Biomass Accumulation and Water Use Efficiency of Faba Bean-Ryegrass Intercropping System on Sandy Soil Amended with Biochar under Reduced Irrigation Regimes. Agric. Water Manag. 2022, 273, 107905. [Google Scholar] [CrossRef]
- Ren, H.; Warnock, D.D.; Tiemann, L.K.; Quigley, K.; Miesel, J.R. Evaluating Foliar Characteristics as Early Indicators of Plant Response to Biochar Amendments. For. Ecol. Manag. 2021, 489, 119047. [Google Scholar] [CrossRef]
- Tiong, Y.W.; Sharma, P.; Xu, S.; Bu, J.; An, S.; Foo, J.B.L.; Wee, B.K.; Wang, Y.; Lee, J.T.E.; Zhang, J.; et al. Enhancing Sustainable Crop Cultivation: The Impact of Renewable Soil Amendments and Digestate Fertilizer on Crop Growth and Nutrient Composition. Environ. Pollut. 2024, 342, 123132. [Google Scholar] [CrossRef]
- Shang, Q.; Chi, J. Mechanistic Insight into the Effects of Interaction between Biochar and Soil with Different Properties on Phenanthrene Sorption. J. Environ. Manag. 2024, 367, 121961. [Google Scholar] [CrossRef]
- Wang, Q.; Hu, X.; Ma, Y.; Li, Y. Enhancing sugar beet yield and quality in Northeast China: Investigating the synergistic impact of sugar mill filter mud and biochar on black soil. Sci. Hortic. 2024, 326, 112680. [Google Scholar] [CrossRef]
- Lebrun, M.; Bouček, J.; Bímová, K.B.; Kraus, K.; Haisel, D.; Kulhánek, M.; Omara-Ojungu, C.; Seyedsadr, S.; Beesley, L.; Soudek, P.; et al. Biochar in manure can suppress water stress of sugar beet (Beta vulgaris) and increase sucrose content in tubers. Sci. Total Environ. 2022, 814, 152772. [Google Scholar] [CrossRef] [PubMed]
- Alves, B.S.Q.; Zelaya, K.P.S.; Colen, F.; Frazão, L.A.; Napoli, A.; Parikh, S.J.; Fernandes, L.A. Effect of sewage sludge and sugarcane bagasse biochar on soil properties and sugar beet production. Pedosphere 2021, 31, 572–582. [Google Scholar] [CrossRef]
- Ebmeyer, H.; Fiedler-Wiechers, K.; Hoffmann, C.M. Drought tolerance of sugar beet—Evaluation of genotypic differences in yield potential and yield stability under varying environmental conditions. Eur. J. Agron. 2021, 125, 126262. [Google Scholar] [CrossRef]
- Morillo-Velarde, R. Water Management In Sugar Beet. Sugar Tech. 2011, 12, 299–304. [Google Scholar] [CrossRef]
- Haghverdi, A.; Yonts, C.D.; Reichert, D.L.; Irmak, S. Impact of irrigation, surface residue cover and plant population on sugar beet growth and yield, irrigation water use efficiency and soil water dynamics. Agric. Water Manag. 2017, 180, 1–12. [Google Scholar] [CrossRef]
- Yan, F.; Liu, X.; Bai, W.; Fan, J.; Zhang, F.; Xiang, Y.; Hou, X.; Pei, S.; Dai, Y.; Zeng, H.; et al. Multi-objective optimization of water and nitrogen regimes for drip-fertigated sugar beet in a desert climate. Field Crops Res. 2022, 288, 108703. [Google Scholar] [CrossRef]
- Allen, R.G.; Pereira, L.S.; Raes, D.; Smith, M. Crop evapotranspiration: Guidelines for computing crop water requirements. In Irrigation and Drainage Paper 56; United Nations FAO: Rome, Italy, 1998. [Google Scholar]
- Saxena, J.; Rana, G.; Pandey, M. Impact of addition of biochar along with Bacillus sp. on growth and yield of French beans. Sci. Hortic. 2013, 162, 351–356. [Google Scholar] [CrossRef]
- García-Vila, M.; Fereres, E.; Mateos, L.; Orgaz, F.; Steduto, P. Deficit irrigation optimization of cotton with AquaCrop. Agron. J. 2009, 101, 477–487. [Google Scholar] [CrossRef]
- Mahmoud, E.A.; Hassanin, M.A.; Borham, T.I.; Emara, E.I.R. Tolerance of some sugar beet varieties to water stress. Agric. Water Manag. 2018, 201, 144–151. [Google Scholar] [CrossRef]
- Han, X.; Hu, C.; Chen, Y.; Qiao, Y.; Liu, D.; Fan, J.; Li, S.; Zhang, Z. Crop yield stability and sustainability in a rice-wheat cropping stuber based on 34-year field experiment. Eur. J. Agron. 2020, 113, 125965. [Google Scholar] [CrossRef]
- Guo, Q.; Huang, G.; Guo, Y.; Zhang, M.; Zhou, Y.; Duan, L. Optimizing irrigation and planting density of spring maize under mulch drip irrigation sytuber in the arid region of Northwest China. Field Crops Res. 2021, 266, 108141. [Google Scholar] [CrossRef]
- Guan, X.; Ramaswamy, H.; Zhang, B.; Lin, B.; Hou, L.; Wang, S. Influence of moisture content, temperature and heating rate on germination rate of watermelon seeds. Sci. Hortic. 2020, 272, 109528. [Google Scholar] [CrossRef]
- Jiao, S.; Yu, Z.; Deng, Y. Hot air-assisted radio frequency heating effects on wheat and corn seeds: Quality change and fungi inhibition. J. Stored Prod. Res. 2016, 69, 265–271. [Google Scholar] [CrossRef]
- Bai, X.; Zhang, S.; Shao, J.; Chen, A.; Jiang, J.; Chen, A.; Luo, S. Exploring the negative effects of biochars on the germination, growth, and antioxidant sytuber of rice and corn. J. Environ. Chem. Eng. 2022, 10, 107398. [Google Scholar] [CrossRef]
- Wang, Q.; Gao, S.; Wang, D.; Cao, A. Biochar significantly reduced fumigant emissions and benefited germination and plant growth under field conditions. Environ. Pollut. 2022, 303, 119113. [Google Scholar] [CrossRef]
- Das, S.K.; Ghosh, G.K.; Avasthe, R. Ecotoxicological responses of weed biochar on seed germination and seedling growth in acidic soil. Environ. Technol. Innov. 2020, 20, 101074. [Google Scholar] [CrossRef]
- Bouqbis, L.; Daoud, S.; Koyro, H.W.; Kammann, C.I.; Ainlhout, F.Z.; Harrouni, M.C. Phytotoxic effects of argan shell biochar on salad and barley germination. Agric. Nat. Resour. 2017, 51, 247–252. [Google Scholar] [CrossRef]
- Quilliam, R.S.; Marsden, K.A.; Gertler, C.; Rousk, J.; DeLuca, T.H.; Jones, D.L. Nutrient dynamics, microbial growth and weed germination in biochar amended soil are influenced by time since application and reapplication rate. Agric. Ecosyst. Environ. 2012, 158, 192–199. [Google Scholar] [CrossRef]
- Zhou, B.; Liang, C.; Chen, X.; Ye, S.; Peng, Y.; Yang, L.; Duan, M.; Wang, X. Magnetically-treated brackish water affects soil water-salt distribution and the growth of cotton with film mulch drip irrigation in Xinjiang, China. Agric. Water Manag. 2022, 263, 107487. [Google Scholar] [CrossRef]
- Tan, S.; Wang, Q.; Zhang, J.; Chen, Y.; Shan, Y.; Xu, D. Performance of AquaCrop model for cotton growth simulation under film-mulched drip irrigation in southern Xinjiang, China. Agric. Water Manag. 2018, 196, 99–113. [Google Scholar] [CrossRef]
- Zhou, B.; Yang, L.; Chen, X.; Ye, S.; Peng, Y.; Liang, C. Effect of magnetic water irrigation on the improvement of salinized soil and cotton growth in Xinjiang. Agric. Water Manag. 2021, 248, 106784. [Google Scholar] [CrossRef]
- Liao, Z.; Zeng, H.; Fan, J.; Lai, Z.; Zhang, C.; Zhang, F.; Wang, H.; Cheng, M.; Guo, J.; Li, Z.; et al. Effects of plant density, nitrogen rate and supplemental irrigation on photosynthesis, root growth, seed yield and water-nitrogen use efficiency of soybean under ridge-furrow plastic mulching. Agric. Water Manag. 2022, 268, 107688. [Google Scholar] [CrossRef]
- Bekhradi, F.; Luna, M.C.; Delshad, M.; Jordan, M.J.; Sotomayor, J.A.; Martínez-Conesa, C.; Gil, M.I. Effect of Deficit Irrigation on the Postharvest Quality of Different Genotypes of Basil Including Purple and Green Iranian Cultivars and a Genovese Variety. Postharvest Biol Technol. 2015, 100, 127–135. [Google Scholar] [CrossRef]
- Wei, K.; Zhang, J.; Wang, Q.; Guo, Y.; Mu, W. Irrigation with ionized brackish water affects cotton yield and water use efficiency. Ind. Crops Prod. 2022, 175, 114244. [Google Scholar] [CrossRef]
- Dos Santos Farias, D.B.; Da Silva, P.S.O.; Tadeu Lucas, A.A.; De Freitas, M.I.; De Jesus Santos, T.; Nascimento Fontes, P.T.; De Oliveira Júnior, L.F.G. Physiological and productive parameters of the okra under irrigation levels. Sci. Hortic. 2019, 252, 1–6. [Google Scholar] [CrossRef]
- Tourajzadeh, O.; Piri, H.; Naserin, A.; Cahri, M.M. Effect of Nano Biochar addition and deficit irrigation on growth, physiology and water productivity of quinoa plants under salinity conditions. Environ. Exp. Bot. 2024, 217, 105564. [Google Scholar] [CrossRef]
- Dos Santos Silva, A.M.; Santos, M.V.; Da Silva, L.D.; Dos Santos, J.B.; Ferreira, E.A.; Santos, L.D.T. Effects of irrigation and nitrogen fertilization rates on yield, agronomic efficiency and morpho physiology in Tithonia divers folia. Agric. Water Manag. 2021, 248, 106782. [Google Scholar] [CrossRef]
- Li, J.; Zhang, Z.; Yao, C.; Liu, Y.; Wang, Z.; Fang, B.; Zhang, Y. Improving winter wheat grain yield and water-/nitrogen-use efficiency by optimizing the micro-sprinkling irrigation amount and nitrogen application rate. J. Integr. Agric. 2021, 20, 606–621. [Google Scholar] [CrossRef]
- Norouzi, M.A.; Benakashani, F.; Soltani, E.; Karimi, S.; Akbari, G.A. Comparative study of influence of water stress on effectiveness of sulfosulfuron to two species of weeds through biomass and photo-physiological parameters. Crop Prot. 2024, 178, 106589. [Google Scholar] [CrossRef]
- Li, Y.; Yao, N.; Liang, J.; Wang, X.; Niu, B.; Jia, Y.; Jiang, F.; Yu, Q.; Liu, D.L.; Feng, H.; et al. Rational biochar application rate for cotton nutrient content, growth, yields, productivity, and economic benefits under film-mulched trickle irrigation. Agric. Water Manag. 2023, 276, 108079. [Google Scholar] [CrossRef]
- Xiao, Q.; Zhu, L.; Shen, Y.; Li, S. Sensitivity of soil water retention and availability to biochar addition in rainfed semi-arid farmland during a three-year field experiment. Field Crops Res. 2016, 196, 284–293. [Google Scholar] [CrossRef]
- Feng, L.; Dai, J.; Tian, L.; Zhang, H.; Li, W.; Dong, H. Review of the technology for high-yielding and efficient cotton cultivation in the northwest inland cotton-growing region of China. Field Crops Res. 2017, 208, 18–26. [Google Scholar] [CrossRef]
- Akhtar, S.S.; Li, G.; Andersen, M.N.; Liu, F. Biochar Enhances Yield and Quality of Tomato under Reduced Irrigation. Agric. Water Manag. 2014, 138, 37–44. [Google Scholar] [CrossRef]
- Kammann, C.I.; Sebastian, L.; Johannes, W.G.; Hans-Werner, K. Influence of biochar on drought tolerance of Chenopodium quinoa Willd and on soil–plant relations. Plant Soil 2011, 345, 195–210. [Google Scholar] [CrossRef]
- Lehmann, J.; da Silva, J.P.; Rondon, M.; Cravo, M.S.; Greenwood, J.; Nehls, T.; Steiner, C.; Glaser, B. Slash-and-char: A feasible alternative for soil fertility management in the central Amazon? In Proceedings of the 17th World Congress of Soil Science, Bangkok, Thailand, 14–21 August 2002; pp. 14–21. [Google Scholar]
- Li, Z.; Wan, S.; Chen, G.; Han, Y.; Lei, Y.; Ma, Y.; Xiong, S.; Mao, T.; Feng, L.; Wang, G.; et al. Effects of irrigation regime on soil hydrothermal microenvironment, cotton biomass, and yield under non-film drip irrigation sytuber in cotton fields in southern Xinjiang, China. Ind. Crops Prod. 2023, 198, 116738. [Google Scholar] [CrossRef]
- Liu, J.; Si, Z.; Li, S.; Kader Mounkaila Hamani, A.; Zhang, Y.; Wu, L.; Gao, Y.; Duan, A. Variations in water sources used by winter wheat across distinct rainfall years in the North China Plain. J. Hydrol. 2023, 618, 129186. [Google Scholar] [CrossRef]
- Chen, Y.Z.; Dong, H.Z. Mechanisms and regulation of senescence and maturity performance in cotton. Field Crops Res. 2016, 189, 1–9. [Google Scholar] [CrossRef]
- Hou, J.; Zhang, J.; Liu, X.; Ma, Y.; Wei, Z.; Wan, H.; Liu, F. Effect of biochar addition and reduced irrigation regimes on growth, physiology and water use efficiency of cotton plants under salt stress. Ind. Crops Prod. 2023, 198, 116702. [Google Scholar] [CrossRef]
- Faloye, O.T.; Alatise, M.O.; Ajayi, A.E.; Ewulo, B.S. Effects of biochar and inorganic fertiliser applications on growth, yield and water use efficiency of maize under deficit irrigation. Agric. Water Manag. 2019, 217, 165–178. [Google Scholar] [CrossRef]
- Hou, J.; Liu, X.; Zhang, J.; Wei, Z.; Ma, Y.; Wan, H.; Liu, J.; Cui, B.; Zong, Y.; Chen, Y.; et al. Combined Application of Biochar and Partial Root-Zone Drying Irrigation Improves Water Relations and Water Use Efficiency of Cotton Plants under Salt Stress. Agric. Water Manag. 2023, 290, 108584. [Google Scholar] [CrossRef]
- Zhang, P.; Li, M.; Fu, Q.; Singh, V.P.; Du, C.; Liu, D.; Li, T.; Yang, A. Dynamic regulation of the irrigation-nitrogen-biochar nexus for the synergy of yield, quality, carbon emission and resource use efficiency in tomato. J. Integr. Agric. 2024, 23, 680–697. [Google Scholar] [CrossRef]
- Feng, W.; Yang, F.; Cen, R.; Liu, J.; Qu, Z.; Miao, Q.; Chen, H. Effects of straw biochar application on soil temperature, available nitrogen and growth of corn. J. Environ. Manag. 2021, 277, 111331. [Google Scholar] [CrossRef]










| Irrigation Times | Days After Sowing (d) | ET0 (mm) | KC | Irrigation Amount (mm) | |||
|---|---|---|---|---|---|---|---|
| I1 (0.6 ETc) | I2 (0.8 ETc) | I3 (1.0 ETc) | I4 (1.2 ETc) | ||||
| 2021 | |||||||
| 1 | 5 | - | - | 50 | 50 | 50 | 50 |
| 2 | 20 | - | - | 25 | 25 | 25 | 25 |
| 3 | 55 | 36 | 0.7 | 16 | 20 | 25 | 30 |
| 4 | 66 | 37 | 0.7 | 16 | 21 | 26 | 31 |
| 5 | 73 | 51 | 1.05 | 32 | 43 | 54 | 64 |
| 6 | 86 | 41 | 1.05 | 26 | 35 | 43 | 52 |
| 7 | 98 | 41 | 1.05 | 26 | 35 | 43 | 52 |
| 8 | 107 | 41 | 0.95 | 23 | 31 | 39 | 47 |
| 9 | 113 | 23 | 0.95 | 13 | 17 | 22 | 26 |
| Total | 227 | 277 | 327 | 377 | |||
| 2022 | |||||||
| 1 | 5 | - | - | 50 | 50 | 50 | 50 |
| 2 | 55 | 50 | 0.7 | 21 | 28 | 35 | 42 |
| 3 | 66 | 55 | 0.7 | 23 | 31 | 39 | 46 |
| 4 | 73 | 35 | 1.05 | 22 | 29 | 38 | 44 |
| 5 | 86 | 55 | 1.05 | 35 | 46 | 58 | 69 |
| 6 | 98 | 56 | 1.05 | 35 | 47 | 59 | 70 |
| 7 | 107 | 52 | 0.95 | 30 | 40 | 49 | 59 |
| 8 | 113 | 32 | 0.95 | 18 | 24 | 30 | 36 |
| Total | 234 | 295 | 358 | 416 | |||
| 2023 | |||||||
| 1 | 5 | - | - | 50 | 50 | 50 | 50 |
| 2 | 44 | 50 | 0.7 | 21 | 28 | 35 | 42 |
| 3 | 54 | 38 | 0.7 | 16 | 21 | 27 | 32 |
| 4 | 66 | 46 | 1.05 | 29 | 39 | 48 | 58 |
| 5 | 79 | 33 | 1.05 | 21 | 28 | 35 | 42 |
| 6 | 91 | 40 | 1.05 | 25 | 34 | 42 | 50 |
| 7 | 103 | 31 | 0.95 | 18 | 24 | 30 | 35 |
| 8 | 110 | 23 | 0.95 | 13 | 18 | 22 | 26 |
| 9 | 117 | 24 | 0.95 | 14 | 18 | 23 | 27 |
| Total | 207 | 260 | 312 | 362 | |||
| Treatment | 2021 | 2022 | 2023 | |||||||||
|---|---|---|---|---|---|---|---|---|---|---|---|---|
| Seedling | Leaf Fast Growth | Root Sugar Increment | Harvesting | Seedling | Leaf Fast Growth | Root Sugar Increment | Harvesting | Seedling | Leaf Fast Growth | Root Sugar Increment | Harvesting | |
| I1B0 | 34.7 c | 38.4 c | 44.3 b | 41.0 a | 37.9 c | 53.3 b | 53.4 b | 46.1 c | 37.3 c | 54.7 c | 50.1 c | 45.2 c |
| I1B10 | 36.6 b | 40.8 b | 51.4 a | 45.8 c | 47.2 a | 55.2 a | 54.5 b | 51.6 b | 43.3 a | 59.9 b | 52.3 b | 47.2 b |
| I1B20 | 36.8 b | 40.6 b | 52.4 a | 50.9 a | 44.7 b | 55.2 a | 56.4 ab | 54.1 a | 42.9 a | 59.8 b | 56.9 a | 49.6 ab |
| I1B30 | 38.8 a | 43.2 a | 52.3 a | 48.3 b | 45.9 ab | 56.5 a | 57.6 a | 53.3 a | 41.2 b | 60.0 a | 57.2 a | 51.2 a |
| I2B0 | 37.9 c | 40.5 c | 42.3 b | 41.3 c | 39.2 b | 51.5 c | 56.2 b | 47.3 b | 38.5 c | 51.8 d | 52.8 c | 44.8 c |
| I2B10 | 39.1 b | 42.1 b | 48.8 a | 45.3 b | 44.4 a | 55.5 b | 60.8 a | 51.4 a | 41.8 b | 55.6 c | 55.3 b | 47.1 b |
| I2B20 | 40.5 ab | 43.2 ab | 49.3 a | 47.6 a | 43.3 a | 59.6 a | 60.6 a | 52.3 a | 44.5 a | 63.1 b | 57.2 ab | 48.7 b |
| I2B30 | 41.8 a | 44.6 a | 49.6 a | 47.2 a | 42.7 ab | 60.8 a | 61.3 a | 52.9 a | 44.2 a | 68.6 a | 58.0 a | 50.8 a |
| I3B0 | 40.0 b | 40.0 c | 44.3 c | 40.4 c | 37.9 b | 53.2 c | 52.5 c | 44.0 c | 40.3 c | 49.6 d | 49.2 b | 45.0 c |
| I3B10 | 42.1 a | 42.9 b | 48.2 b | 45.0 b | 41.2 a | 55.8 b | 57.6 b | 49.6 b | 42.4 b | 53.5 c | 50.6 b | 46.5 c |
| I3B20 | 42.5 a | 44.7 a | 48.6 b | 48.1 a | 42.2 a | 58.7 a | 58.8 ab | 53.0 a | 42.3 b | 55.6 b | 55.9 a | 48.8 b |
| I3B30 | 43.2 a | 45.3 a | 52.2 s | 49.8 a | 42.6 a | 59.1 a | 59.1 a | 53.3 a | 46.6 a | 59.5 a | 56.1 a | 53.9 a |
| I4B0 | 36.1 c | 38.9 c | 42.4 c | 40.5 c | 39.2 b | 56.2 b | 55.9 c | 43.6 c | 37.7 c | 50.1 b | 50.3 b | 46.7 c |
| I4B10 | 42.8 a | 44.4 b | 46.6 b | 46.3 b | 42.1 ab | 59.3 ab | 58.7 b | 47.4 b | 40.3 b | 52.1 b | 50.6 b | 47.5 bc |
| I4B20 | 41.4 b | 45.1 ab | 47.3 b | 46.9 b | 42.2 ab | 61.4 a | 58.8 b | 45.7 b | 44.2 a | 56.1 a | 54.2 a | 48.8 b |
| I4B30 | 43.1 a | 46.8 a | 51.2 a | 51.6 a | 43.4 a | 61.8 a | 62.6 a | 50.7 a | 44.8 a | 54.8 a | 55.4 a | 53.0 a |
| ANOVA | ||||||||||||
| I | * | ** | ** | NS | * | ** | ** | ** | NS | ** | ** | NS |
| B | ** | ** | * | ** | ** | ** | ** | ** | ** | ** | ** | ** |
| I × B | ** | ** | ** | ** | NS | * | NS | NS | * | ** | NS | NS |
| Treatment | 2021 | 2022 | 2023 | ||||||
|---|---|---|---|---|---|---|---|---|---|
| Taproot Yield (t ha−1) | Biomass | Sugar Yield | Taproot Yield | Biomass | Sugar Yield (t ha−1) | Taproot Yield | Biomass (t ha−1) | Sugar Yield (t ha−1) | |
| (t ha−1) | (t ha−1) | (t ha−1) | (t ha−1) | (t ha−1) | |||||
| I1B0 | 58.5 d | 15.7 c | 7.5 c | 53.7 d | 16.2 ab | 8.3 d | 54.8 b | 13.6 a | 8.9 c |
| I1B10 | 89.5 b | 16.9 b | 11.8 b | 66.2 c | 17.6 a | 10.9 c | 87.4 a | 14.2 a | 14.8 a |
| I1B20 | 108.6 a | 20.2 a | 14.6 a | 90.8 a | 17.2 a | 15.4 a | 79.8 a | 13.1 a | 13.5 ab |
| I1B30 | 79.4 c | 16.7 b | 11.2 b | 80.1 b | 16.7 b | 13.7 b | 76.4 ab | 11.3 b | 13.1 b |
| I2B0 | 61.5 b | 13.9 d | 7.4 c | 85.5 c | 17.2 b | 11.8 c | 76.6 c | 14.2 c | 11.0 c |
| I2B10 | 93.2 a | 16.4 c | 11.1 b | 120.3 a | 19.5 a | 19.4 a | 98.3 a | 18.6 a | 13.5 b |
| I2B20 | 99.9 a | 20.2 b | 13.4 a | 117.2 b | 19.9 a | 19.6 a | 90.8 b | 15.7 b | 13.7 b |
| I2B30 | 86.2 ab | 21.1 a | 11.8 ab | 85.2 c | 18.0 b | 14.1 b | 90.6 b | 18.8 a | 14.8 a |
| I3B0 | 74.5 c | 17.1 d | 7.7 c | 106.4 c | 18.1 b | 14.7 c | 87.4 c | 13.4 c | 12.8 c |
| I3B10 | 128.5 a | 26.5 b | 14.9 a | 147.3 a | 19.9 a | 23.2 a | 140.5 a | 24.6 a | 20.5 a |
| I3B20 | 117.8 a | 28.3 a | 14.1 a | 128.0 b | 19.8 a | 19.6 b | 132.7 b | 23.8 a | 20.3 a |
| I3B30 | 95.4 b | 19.7 c | 12.3 b | 115.5 b | 18.9 b | 17.9 b | 106.7 b | 17.7 b | 17.1 b |
| I4B0 | 112.8 b | 18.7 c | 11.0 b | 115.8 c | 18.5 ab | 15.2 b | 106.3 b | 22.7 a | 14.1 c |
| I4B10 | 130.7 ab | 26.6 a | 13.2 a | 147.6 a | 21.5 ab | 22.6 a | 141.3 a | 22.8 a | 19.4 a |
| I4B20 | 128.5 a | 27.6 a | 13.5 a | 143.6 b | 21.8 a | 20.9 a | 138.7 a | 20.5 b | 19.7 a |
| I4B30 | 119.1 c | 22.1 b | 13.1 a | 140.1 b | 19.5 b | 21.9 a | 117.2 b | 19.3 b | 17.5 b |
| ANOVA | |||||||||
| I | ** | * | ** | ** | * | ** | ** | ** | ** |
| B | ** | ** | ** | * | * | ** | ** | ** | ** |
| I×B | * | NS | ** | NS | NS | ** | ** | NS | ** |
| Treatment | 2021 | 2022 | 2023 | |||
|---|---|---|---|---|---|---|
| IWUET | IWUES | IWUET | IWUES | IWUET | IWUES | |
| I1B0 | 25.79 d | 3.32 c | 22.98 d | 3.56 d | 21.09 c | 3.44 c |
| I1B10 | 39.43 b | 5.22 b | 28.29 c | 4.70 c | 33.63 a | 5.72 a |
| I1B20 | 47.86 a | 6.46 a | 38.84 a | 6.62 a | 30.72 b | 5.19 b |
| I1B30 | 34.98 c | 4.96 b | 34.25 b | 5.87 b | 29.39 b | 5.05 b |
| I2B0 | 22.26 c | 2.71 v | 28.99 b | 4.02 c | 23.57 b | 3.39 b |
| I2B10 | 33.71 b | 4.00 b | 43.49 a | 6.60 a | 27.94 a | 4.17 a |
| I2B20 | 36.15 a | 4.85 a | 41.77 a | 6.65 a | 27.81 a | 4.21 a |
| I2B30 | 31.18 b | 4.29 ab | 28.91 b | 4.8 b | 27.89 a | 4.57 a |
| I3B0 | 22.8 b | 2.36 c | 29.75 c | 4.13 d | 22.41 c | 3.3 c |
| I3B10 | 39.31 a | 4.58 a | 43.39 a | 6.49 a | 34.51 a | 5.26 a |
| I3B20 | 36.02 a | 4.31 a | 35.75 b | 5.49 b | 32.96 a | 5.2 a |
| I3B30 | 29.19 b | 3.77 b | 32.27 bc | 5.00 c | 26.56 b | 4.38 b |
| I4B0 | 29.92 b | 2.92 b | 27.85 c | 3.66 b | 23.45 c | 3.1 b |
| I4B10 | 34.68 a | 3.52 a | 37.16 a | 5.44 a | 31.07 a | 4.27 a |
| I4B20 | 34.10 a | 3.59 a | 34.52 b | 5.04 a | 30.50 a | 4.34 a |
| I4B30 | 31.6 b | 3.48 a | 33.67 b | 5.29 a | 25.76 b | 3.85 ab |
| ANOVA | ||||||
| I | * | * | ** | * | ** | * |
| B | ** | ** | * | * | * | ** |
| I × B | * | NS | * | * | ** | ** |
| Treatment | Sugar Beet Yield | Sugar Beet Biomass | ||
|---|---|---|---|---|
| SYI | CV | SBI | CV | |
| I1B0 | 0.68 | 13.77 | 0.56 | 26.15 |
| I1B10 | 0.82 | 8.98 | 0.75 | 14.32 |
| I1B20 | 0.78 | 9.68 | 0.66 | 20.75 |
| I1B30 | 0.73 | 11.48 | 0.63 | 24.11 |
| I2B0 | 0.66 | 16.75 | 0.63 | 19.76 |
| I2B10 | 0.83 | 6.75 | 0.76 | 9.99 |
| I2B20 | 0.79 | 9.12 | 0.75 | 11.99 |
| I2B30 | 0.76 | 12.39 | 0.57 | 17.98 |
| I3B0 | 0.64 | 17.17 | 0.4 | 32.02 |
| I3B10 | 0.89 | 4.77 | 0.81 | 11.44 |
| I3B20 | 0.85 | 7.55 | 0.76 | 11.88 |
| I3B30 | 0.77 | 11.05 | 0.61 | 20.64 |
| I4B0 | 0.74 | 9.75 | 0.52 | 26.41 |
| I4B10 | 0.84 | 7.35 | 0.72 | 12.21 |
| I4B20 | 0.82 | 8.09 | 0.64 | 19.72 |
| I4B30 | 0.78 | 10.16 | 0.58 | 18.6 |
Disclaimer/Publisher’s Note: The statements, opinions and data contained in all publications are solely those of the individual author(s) and contributor(s) and not of MDPI and/or the editor(s). MDPI and/or the editor(s) disclaim responsibility for any injury to people or property resulting from any ideas, methods, instructions or products referred to in the content. |
© 2025 by the authors. Licensee MDPI, Basel, Switzerland. This article is an open access article distributed under the terms and conditions of the Creative Commons Attribution (CC BY) license (https://creativecommons.org/licenses/by/4.0/).
Share and Cite
Jiang, F.; Li, Y.; Li, L.; Xie, X.; Xu, W.; Gao, Y.; Biswas, A. Synergistic Effects of Biochar and Irrigation on Sugar Beet Growth, Yield, Quality, and Economic Benefit in Arid Regions. Plants 2025, 14, 368. https://doi.org/10.3390/plants14030368
Jiang F, Li Y, Li L, Xie X, Xu W, Gao Y, Biswas A. Synergistic Effects of Biochar and Irrigation on Sugar Beet Growth, Yield, Quality, and Economic Benefit in Arid Regions. Plants. 2025; 14(3):368. https://doi.org/10.3390/plants14030368
Chicago/Turabian StyleJiang, Fuchang, Yi Li, Liwei Li, Xiangwen Xie, Wanli Xu, Yang Gao, and Asim Biswas. 2025. "Synergistic Effects of Biochar and Irrigation on Sugar Beet Growth, Yield, Quality, and Economic Benefit in Arid Regions" Plants 14, no. 3: 368. https://doi.org/10.3390/plants14030368
APA StyleJiang, F., Li, Y., Li, L., Xie, X., Xu, W., Gao, Y., & Biswas, A. (2025). Synergistic Effects of Biochar and Irrigation on Sugar Beet Growth, Yield, Quality, and Economic Benefit in Arid Regions. Plants, 14(3), 368. https://doi.org/10.3390/plants14030368

