Characterizing Root Morphology, Water and Nitrogen Uptake of Fibrous-Root and Taproot Crops Under Transparent Soil
Abstract
1. Introduction
2. Results and Discussion
2.1. Plant Growth
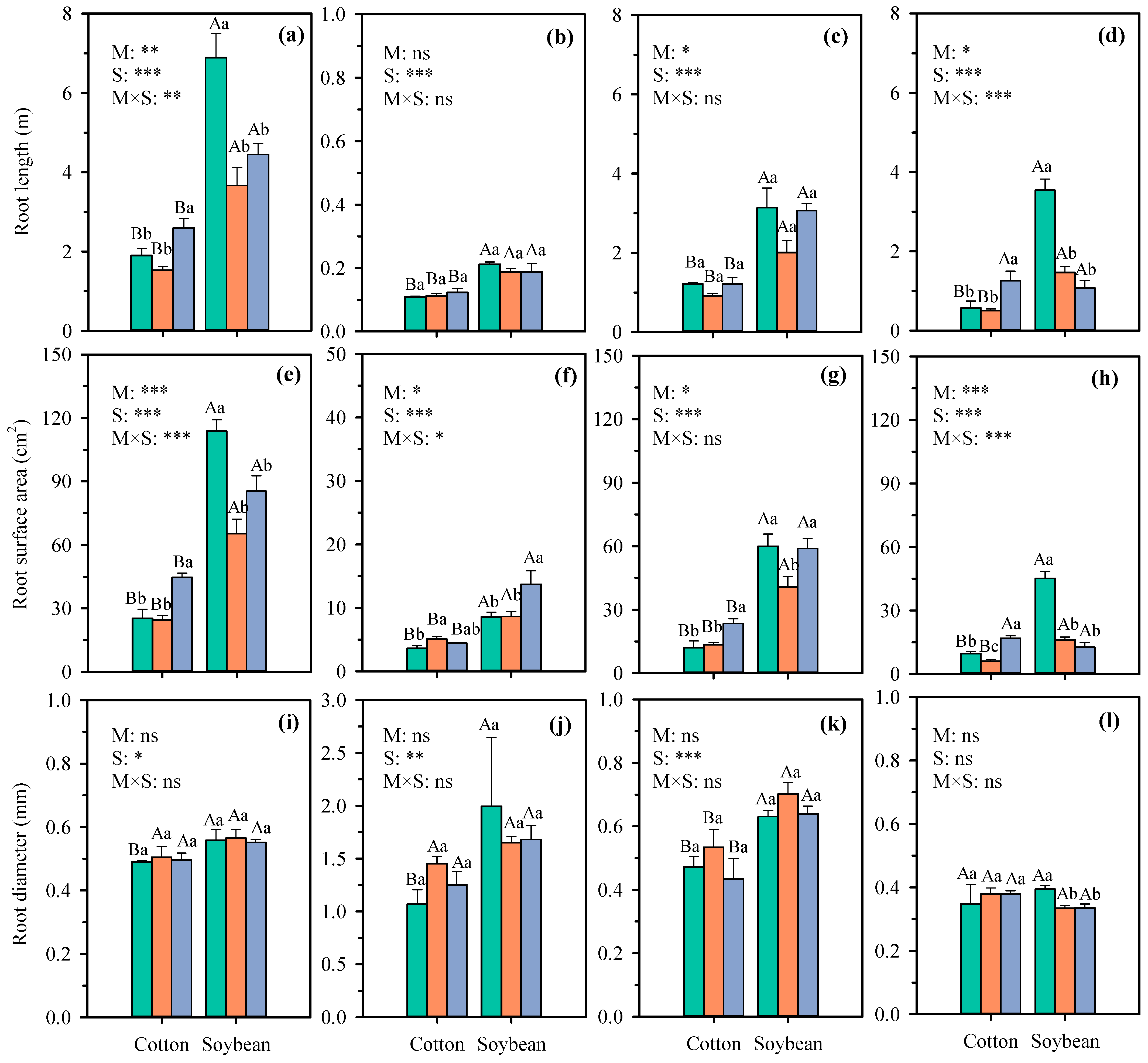
2.2. Root Morphology
2.2.1. Global Traits
2.2.2. Local Traits
2.3. Water and N Uptake
3. Materials and Methods
3.1. Experiment Design
3.2. Measurements and Methods
3.3. Statistical Analysis
4. Conclusions
Author Contributions
Funding
Data Availability Statement
Conflicts of Interest
References
- Lynch, J.P. Harnessing root architecture to address global challenges. Plant J. 2022, 109, 415–431. [Google Scholar] [CrossRef]
- Odone, A.; Popovic, O.; Thorup-Kristensen, K. Deep roots: Implications for nitrogen uptake and drought tolerance among winter wheat cultivars. Plant Soil 2024, 500, 13–32. [Google Scholar] [CrossRef]
- Lynch, J.P.; Galindo-Castaneda, T.; Schneider, H.M.; Sidhu, J.S.; Rangarajan, H.; York, L.M. Root phenotypes for improved nitrogen capture. Plant Soil 2024, 502, 31–85. [Google Scholar] [CrossRef]
- Jiang, N.; Floro, E.; Bray, A.L.; Laws, B.; Duncan, K.E.; Topp, C.N. Three-dimensional time-lapse analysis reveals multiscale relationships in maize root systems with contrasting architectures. Plant Cell 2019, 31, 1708–1722. [Google Scholar] [CrossRef] [PubMed]
- Wu, Q.; Wu, J.; Hu, P.; Zhang, W.; Ma, Y.; Yu, K.; Guo, Y.; Cao, J.; Li, H.; Li, B.; et al. Quantification of the three-dimensional root system architecture using an automated rotating imaging system. Plant Methods 2023, 19, 11. [Google Scholar] [CrossRef] [PubMed]
- Atkinson, J.A.; Pound, M.P.; Bennett, M.J.; Wells, D.M. Uncovering the hidden half of plants using new advances in root phenotyping. Curr. Opin. Biotechnol. 2019, 55, 1–8. [Google Scholar] [CrossRef]
- Ma, L.; Shi, Y.; Siemianowski, O.; Yuan, B.; Egner, T.K.; Mirnezami, S.V.; Lind, K.R.; Ganapathysubramanian, B.; Venditti, V.; Cademartiri, L. Hydrogel-based transparent soils for root phenotyping in vivo. Proc. Natl. Acad. Sci. USA 2019, 116, 11063–11068. [Google Scholar] [CrossRef]
- Maqbool, S.; Hassan, M.A.; Xia, X.C.; York, L.M.; Rasheed, A.; He, Z.H. Root system architecture in cereals: Progress, challenges and perspective. Plant J. 2022, 110, 23–42. [Google Scholar] [CrossRef]
- Weihs, B.J.; Heuschele, D.J.; Tang, Z.; York, L.M.; Zhang, Z.W.; Xu, Z.Y. The state of the art in root system architecture image analysis using artificial intelligence: A review. Plant Phenomics 2024, 6, 0178. [Google Scholar] [CrossRef]
- Li, A.; Zhu, L.; Xu, W.; Liu, L.; Teng, G. Recent advances in methods for in situ root phenotyping. Peerj 2022, 10, e13638. [Google Scholar] [CrossRef] [PubMed]
- van Dusschoten, D.; Metzner, R.; Kochs, J.; Postma, J.A.; Pflugfelder, D.; Bühler, J.; Schurr, U.; Jahnke, S. Quantitative 3D analysis of plant roots growing in soil using magnetic resonance imaging. Plant Physiol. 2016, 170, 1176–1188. [Google Scholar] [CrossRef]
- Metzner, R.; Eggert, A.; van Dusschoten, D.; Pflugfelder, D.; Gerth, S.; Schurr, U.; Uhlmann, N.; Jahnke, S. Direct comparison of MRI and X-ray CT technologies for 3D imaging of root systems in soil: Potential and challenges for root trait quantification. Plant Methods 2015, 11, 17. [Google Scholar] [CrossRef]
- Dimattia, B.G.; Righi, A.; Bettuzzi, M.; Koestel, J.; Morigi, M.P.; Brancaccio, R.; Salvi, S.; Hernandez-Soriano, M.C.; Bittelli, M. Root traits of different wheat cultivars influence soil structure: An X-ray computed tomography and root morphology study. Geoderma 2025, 459, 117349. [Google Scholar] [CrossRef]
- Kojima, Y.; Toda, T.; Hamamoto, S.; Ohtake, Y.; Kamiya, K. Segmentation of plant roots and soil constituents through X-ray computed tomography and image analysis to reveal plant root impacts on soil structure. Agriculture 2025, 15, 1437. [Google Scholar] [CrossRef]
- Teramoto, S.; Uga, Y. Detection of quantitative trait loci for rice root systems grown in paddies based on nondestructive phenotyping using X-ray computed tomography. Plant J. 2025, 121, e17171. [Google Scholar] [CrossRef] [PubMed]
- Clark, R.T.; MacCurdy, R.B.; Jung, J.K.; Shaff, J.E.; McCouch, S.R.; Aneshansley, D.J.; Kochian, L.V. Three-dimensional root phenotyping with a novel imaging and software platform. Plant Physiol. 2011, 156, 455–465. [Google Scholar] [CrossRef]
- Piñeros, M.A.; Larson, B.G.; Shaff, J.E.; Schneider, D.J.; Falcão, A.X.; Yuan, L.; Clark, R.T.; Craft, E.J.; Davis, T.W.; Pradier, P.-L.; et al. Evolving technologies for growing, imaging and analyzing 3D root system architecture of crop plants. J. Integr. Plant Biol. 2016, 58, 230–241. [Google Scholar] [CrossRef] [PubMed]
- Topp, C.N.; Iyer-Pascuzzi, A.S.; Anderson, J.T.; Lee, C.-R.; Zurek, P.R.; Symonova, O.; Zheng, Y.; Bucksch, A.; Mileyko, Y.; Galkovskyi, T.; et al. 3D phenotyping and quantitative trait locus mapping identify core regions of the rice genome controlling root architecture. Proc. Natl. Acad. Sci. USA 2013, 110, E1695–E1704. [Google Scholar] [CrossRef]
- Szatkowski, P.; Niemiec, M.; Szczepanik, E.; Szczecina, J.; Gralewski, J.; Komorowska, M.; Mamyrbayev, A.; Krakowska, A.; Zontek-Wilkowska, J.; Molik, E. Designing a transparent hydrogel-based soil substitute for precision agriculture applications. Acta Sci. Pol-Form. C 2025, 24, 63–83. [Google Scholar] [CrossRef]
- Li, K.H.; Ma, L.; Gao, Y.; Zhang, J.Y.; Li, S. Characterizing a cost-effective hydrogel-based transparent soil. Gels 2023, 9, 835. [Google Scholar] [CrossRef]
- Wojciechowski, T.; Gooding, M.J.; Ramsay, L.; Gregory, P.J. The effects of dwarfing genes on seedling root growth of wheat. J. Exp. Bot. 2009, 60, 2565–2573. [Google Scholar] [CrossRef]
- Downie, H.; Holden, N.; Otten, W.; Spiers, A.J.; Valentine, T.A.; Dupuy, L.X.; Bennett, M. Transparent soil for imaging the rhizosphere. PLoS ONE 2012, 7, e44276. [Google Scholar] [CrossRef]
- Bardhan, K.; York, L.M.; Hasanuzzaman, M.; Parekh, V.; Jena, S.; Pandya, M.N. Can smart nutrient applications optimize the plant’s hidden half to improve drought resistance? Physiol. Plant 2021, 172, 1007–1015. [Google Scholar] [CrossRef]
- Robinson, D. The responses of plants to non-uniform supplies of nutrients. New Phytol. 1994, 127, 635–674. [Google Scholar] [CrossRef] [PubMed]
- Hargreaves, C.E.; Gregory, P.J.; Bengough, A.G. Measuring root traits in barley (Hordeum vulgare ssp. vulgare and ssp. spontaneum) seedlings using gel chambers, soil sacs and X-ray microtomography. Plant Soil 2009, 316, 285–297. [Google Scholar] [CrossRef]
- Clark, L.J.; Whalley, W.R.; Leigh, R.A.; Dexter, A.R.; Barraclough, P.B. Evaluation of agar and agarose gels for studying mechanical impedance in rice roots. Plant Soil 1999, 207, 37–43. [Google Scholar] [CrossRef]
- Yu, P.; Hochholdinger, F.; Li, C. Plasticity of lateral root branching in maize. Front. Plant Sci. 2019, 10, 363. [Google Scholar] [CrossRef]
- Miyatani, K.; Tanikawa, T.; Makita, N.; Hirano, Y. Relationships between specific root length and respiration rate of fine roots across stands and seasons in Chamaecyparis obtusa. Plant Soil 2018, 423, 215–227. [Google Scholar] [CrossRef]
- Craine, J.M.; Froehle, J.; Tilman, D.G.; Wedin, D.A.; Chapin, F.S., III. The relationships among root and leaf traits of 76 grassland species and relative abundance along fertility and disturbance gradients. OIKOS 2001, 93, 274–285. [Google Scholar] [CrossRef]
- Kramer-Walter, K.R.; Bellingham, P.J.; Millar, T.R.; Smissen, R.D.; Richardson, S.J.; Laughlin, D.C. Root traits are multidimensional: Specific root length is independent from root tissue density and the plant economic spectrum. J. Ecol. 2016, 104, 1299–1310. [Google Scholar] [CrossRef]
- Del Bianco, M.; Kepinski, S. Building a future with root architecture. J. Exp. Bot. 2018, 69, 5319–5323. [Google Scholar] [CrossRef]
- Ma, L.; Chai, C.; Wu, W.; Qi, P.; Liu, X.; Hao, J. Hydrogels as the plant culture substrates: A review. Carbohydr. Polym. 2023, 305, 120544. [Google Scholar] [CrossRef] [PubMed]
- Li, S.; Zuo, Q.; Wang, X.; Ma, W.; Jin, X.; Shi, J.; Ben-Gal, A. Characterizing roots and water uptake in a ground cover rice production system. PLoS ONE 2017, 12, e0180713. [Google Scholar] [CrossRef] [PubMed]
- Fan, J.; Wu, X.; Yu, Y.; Zuo, Q.; Shi, J.; Halpern, M.; Sheng, J.; Jiang, P.; Ben-Gal, A. Characterizing root-water-uptake of wheat under elevated CO2 concentration. Agric. Water Manag. 2023, 275, 108005. [Google Scholar] [CrossRef]
- Seethepalli, A.; Dhakal, K.; Griffiths, M.; Guo, H.; Freschet, G.T.; York, L.M. RhizoVision Explorer: Open-source software for root image analysis and measurement standardization. AoB PLANTS 2021, 13, plab056. [Google Scholar] [CrossRef]









| Parameters | Treatments | Fibrous Root System | Taproot System | ||
|---|---|---|---|---|---|
| Maize | Wheat | Cotton | Soybean | ||
| Root dry weight (g) | S | 0.056 ± 0.001 Aa | 0.029 ± 0.003 Ba | 0.026 ± 0.003 Ba | 0.089 ± 0.003 Aa |
| TS | 0.062 ± 0.011 Aa | 0.016 ± 0.002 Bb | 0.016 ± 0.001 Bb | 0.048 ± 0.003 Ab | |
| H | 0.064 ± 0.005 Aa | 0.024 ± 0.001 Ba | 0.024 ± 0.004 Ba | 0.057 ± 0.004 Ab | |
| Aboveground dry weight (g) | S | 0.254 ± 0.004 Ab | 0.054 ± 0.004 Ba | 0.116 ± 0.005 Bb | 0.355 ± 0.011 Aa |
| TS | 0.233 ± 0.016 Ab | 0.044 ± 0.001 Bb | 0.141 ± 0.014 Bab | 0.381 ± 0.011 Aa | |
| H | 0.321 ± 0.014 Aa | 0.058 ± 0.002 Ba | 0.149 ± 0.006 Ba | 0.368 ± 0.017 Aa | |
| RSR | S | 0.219 ± 0.004 Ba | 0.540 ± 0.03 Aa | 0.225 ± 0.04 Ba | 0.25 ± 0.001 Aa |
| TS | 0.275 ± 0.038 Aa | 0.369 ± 0.029 Ab | 0.115 ± 0.018 Bb | 0.126 ± 0.007 Ab | |
| H | 0.213 ± 0.035 Ba | 0.419 ± 0.047 Aab | 0.162 ± 0.019 Bab | 0.155 ± 0.014 Ab | |
| Parameters | Fibrous Root System | Taproot System | ||||
|---|---|---|---|---|---|---|
| M | S | M × S | M | S | M × S | |
| Root dry weight (g) | 0.6 ns | 84 *** | 2.5 ** | 34 *** | 278 *** | 16 ** |
| Aboveground dry weight (g) | 16.7 *** | 849 *** | 9.5 ** | 3.1 ns | 634 *** | 0.5 ns |
| RSR | 2.4 ns | 64 *** | 6.4 * | 17 *** | 0.3 ns | 0.3 ns |
| SRL (m/g) | 12.6 ns | 0.7 ns | 0.5 ns | 3.7 ns | 8 * | 3.2 ns |
| Root tissue density (g/cm3) | 6 * | 0.315 ns | 0.47 ns | 10 ** | 4.3 ns | 0.3 ns |
| Lateral root density (number cm−1 primary root) | 5.4 * | 220 *** | 11 ** | 1.49 ns | 16.3 ** | 2 ns |
| Distribution of lateral roots (%) | 38 *** | 42 *** | 4.6 * | 49 *** | 1.8 ns | 0.1 ns |
| Parameters | Treatments | Fibrous Root System | Taproot System | ||
|---|---|---|---|---|---|
| Wheat | Maize | Cotton | Soybean | ||
| SRL(m/g) | S | 131.0 ± 7.2 Aa | 111.0 ± 21.4 Aa | 75.22 ± 5.72 Ab | 77.5 ± 4.0 Aa |
| TS | 88.4 ± 13.3 Ab | 93.2 ± 21.5 Aa | 97.70 ± 0.44 Ab | 77.8 ± 13.2 Aa | |
| H | 131.7 ± 7.3 Aab | 129.8 ± 23.0 Aa | 149.24 ± 23.23 Aa | 79.2 ± 7.5 Ba | |
| Root tissue density (g/cm3) | S | 0.057 ± 0.004 Aa | 0.043 ± 0.003 Ba | 0.048 ± 0.004 Aa | 0.041 ± 0.003 Aa |
| TS | 0.040 ± 0.004 Ab | 0.033 ± 0.002 Aab | 0.034 ± 0.004 Ab | 0.031 ± 0.002 Ab | |
| H | 0.054 ± 0.005 Aab | 0.030 ± 0.005 Bb | 0.034 ± 0.005 Ab | 0.027 ± 0.003 Ab | |
| Lateral root density (number cm−1 primary root) | S | 1.43 ± 0.10 Ba | 2.29 ± 0.03 Aa | 33.32 ± 1.61 Ba | 59.98 ± 5.70 Aa |
| TS | 0.69 ± 0.10 Bb | 2.56 ± 0.22 Aa | 35.63 ± 0.92 Ba | 40.63 ± 5.03 Ab | |
| H | 0.99 ± 0.08 Bb | 2.678 ± 0.22 Aa | 39.14 ± 3.92 Ba | 58.98 ± 4.55 Aa | |
| Distribution of lateral roots (%) | S | 64.53 ± 0.68 Ba | 75.48 ± 1.38 Aa | 49.02 ± 2.78 Aa | 45.27 ± 3.61 Aa |
| TS | 34.84 ± 1.75 Bc | 58.18 ± 4.42 Ab | 28.42 ± 0.80 Ab | 24.57 ± 4.96 Ab | |
| H | 53.9 ± 6.972 Bb | 61.89 ± 1.59 Ab | 53.62 ± 3.04 Aa | 51.35 ± 2.79 Aa | |
| Growth Medium | Physical and Chemical Properties | Root growth Condition | |||||||||
|---|---|---|---|---|---|---|---|---|---|---|---|
| Sand (%) | Silt (%) | Clay (%) | SWC (%) | FC (%) | TP (%) | EP (%) | pH | Water (%) | Nutrition | Oxygen | |
| Natural soil | 53.9 | 42.8 | 3.3 | 0.487 | 0.340 | 7.8 | 0.272, Sufficient | Base fertilizer (sufficient) | Sufficient | ||
| Transparent soil | Bead diameter: ~4.9 mm | / | / | 0.334 | 0.279 | 7.8 | Sufficient | Half-strength Hoagland (sufficient) | Sufficient | ||
| Hydroponics | / | / | / | / | / | 7.8 | Sufficient | Half-strength Hoagland (sufficient) | Fresh air was injected | ||
Disclaimer/Publisher’s Note: The statements, opinions and data contained in all publications are solely those of the individual author(s) and contributor(s) and not of MDPI and/or the editor(s). MDPI and/or the editor(s) disclaim responsibility for any injury to people or property resulting from any ideas, methods, instructions or products referred to in the content. |
© 2025 by the authors. Licensee MDPI, Basel, Switzerland. This article is an open access article distributed under the terms and conditions of the Creative Commons Attribution (CC BY) license (https://creativecommons.org/licenses/by/4.0/).
Share and Cite
Li, S.; Fan, J.; Kpalari, D.F.; Li, K.; Ma, S. Characterizing Root Morphology, Water and Nitrogen Uptake of Fibrous-Root and Taproot Crops Under Transparent Soil. Plants 2025, 14, 3369. https://doi.org/10.3390/plants14213369
Li S, Fan J, Kpalari DF, Li K, Ma S. Characterizing Root Morphology, Water and Nitrogen Uptake of Fibrous-Root and Taproot Crops Under Transparent Soil. Plants. 2025; 14(21):3369. https://doi.org/10.3390/plants14213369
Chicago/Turabian StyleLi, Sen, Jinjie Fan, Djifa Fidele Kpalari, Kanghu Li, and Shoutian Ma. 2025. "Characterizing Root Morphology, Water and Nitrogen Uptake of Fibrous-Root and Taproot Crops Under Transparent Soil" Plants 14, no. 21: 3369. https://doi.org/10.3390/plants14213369
APA StyleLi, S., Fan, J., Kpalari, D. F., Li, K., & Ma, S. (2025). Characterizing Root Morphology, Water and Nitrogen Uptake of Fibrous-Root and Taproot Crops Under Transparent Soil. Plants, 14(21), 3369. https://doi.org/10.3390/plants14213369

