Allelopathic Effects of Artemisia thuscula and Plocama pendula on the Invasive Plant Cenchrus setaceus and Crops
Abstract
1. Introduction
2. Results
2.1. Preliminary Trial
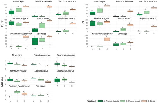
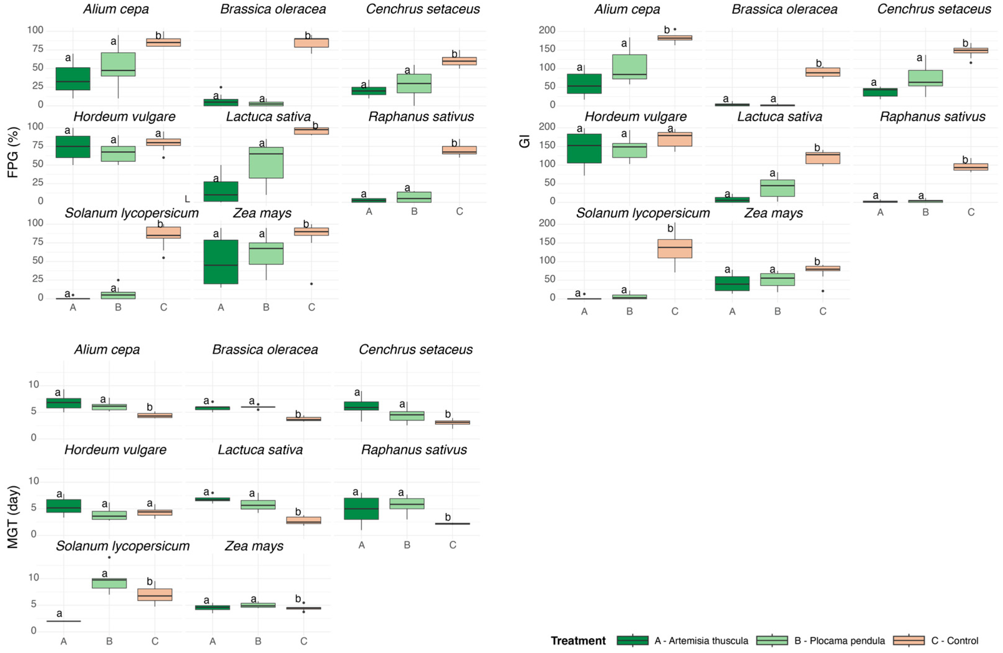
2.2. Validation Experiment: Growth Chamber Assays
2.2.1. Germination Dynamics
2.2.2. Seedling Viability—Plumule and Radicle Lengths
2.3. Validation Experiment: Greenhouse Assays
3. Discussion
4. Materials and Methods
4.1. Collection and Handling of Plant Samples
4.2. Preliminary and Validation Experiments
4.3. Statistical Analysis
5. Conclusions
Supplementary Materials
Author Contributions
Funding
Institutional Review Board Statement
Data Availability Statement
Acknowledgments
Conflicts of Interest
References
- Thomas, B.; Eckhard, G. Horticulture Research in Europe—To 2020 and Beyond; European Plant Science Organization: Brussels, Belgium, 2013. [Google Scholar]
- Tudi, M.; Daniel Ruan, H.; Wang, L.; Lyu, J.; Sadler, R.; Connell, D.; Chu, C.; Phung, D.T. Agriculture Development, Pesticide Application and Its Impact on the Environment. Int. J. Environ. Res. Public Health 2021, 18, 1112. [Google Scholar] [CrossRef]
- Karkanis, A.; Ntatsi, G.; Alemardan, A.; Petropoulos, S.; Bilalis, D. Interference of weeds in vegetable crop cultivation, in the changing climate of Southern Europe with emphasis on drought and elevated temperatures: A review. J. Agric. Sci. 2018, 156, 1175–1185. [Google Scholar] [CrossRef]
- Khamare, Y.; Chen, J.; Marble, S.C. Allelopathy and its application as a weed management tool: A review. Front. Plant Sci. 2022, 13, 1034649. [Google Scholar] [CrossRef] [PubMed]
- Duke, S.O. Why have no new herbicide modes of action appeared in recent years? Pest Manag. Sci. 2011, 68, 505–512. [Google Scholar] [CrossRef] [PubMed]
- The International Herbicide-Rrsistant Weed Database. Available online: https://www.weedscience.org/Home.aspx (accessed on 7 February 2025).
- Ivănescu, B.; Burlec, A.F.; Crivoi, F.; Roșu, C.; Corciovă, A. Secondary Metabolites from Artemisia Genus as Biopesticides and Innovative Nano-Based Application Strategies. Molecules 2021, 26, 3061. [Google Scholar] [CrossRef]
- Gliessman, S.R. Agroecosystem Sustainability: Developing Practical Strategies; CRC Press: Boca Raton, FL, USA, 2000. [Google Scholar]
- Naeem, M.; Cheema, Z.A.; Ihsan, M.Z.; Hussain, Y.; Mazari, A.; Abbas, H.T. Allelopathic Effects of Different Plants Water Extracts on Yield and Weeds of Wheat. Planta Daninha 2018, 36, e018177840. [Google Scholar] [CrossRef]
- Wang, K.; Wang, T.; Ren, C.; Dou, P.; Miao, Z.; Liu, X.; Huang, D.; Wang, K. Aqueous Extracts of Three Herbs Allelopathically Inhibit Lettuce Germination but Promote Seedling Growth at Low Concentrations. Plants 2022, 11, 486. [Google Scholar] [CrossRef]
- Tojić, T.; Đorđević, T.; Đurović-Pejčev, R.; Aćimović, M.; Božić, D.; Radivojević, L.; Sarić-Krsmanović, M.; Vrbničanin, S. Allelopathic Potential of Artemisia absinthium and Artemisia vulgaris from Serbia: Chemical Composition and Bioactivity on Weeds. Plants 2025, 14, 1663. [Google Scholar] [CrossRef]
- Li, J.; Chen, L.; Chen, Q.; Miao, Y.; Peng, Z.; Huang, B.; Guo, L.; Liu, D.; Du, H. Allelopathic effect of Artemisia argyi on the germination and growth of various weeds. Sci. Rep. 2021, 11, 4303. [Google Scholar] [CrossRef]
- Cosoveanu, A.; Rodriguez Sabina, S.; Espinel Guerra, G.; Cabrera, R. Endophytic fungi from Artemisia spp.—Enemies of Sclerotinia sclerotiorum. In Proceedings of the Protectia Plantelor in Agricultura Conventionala si Ecologica, Chisinau, Moldova, 10–12 December 2018; p. 390. [Google Scholar]
- Cheng, F.; Cheng, Z. Research Progress on the use of Plant Allelopathy in Agriculture and the Physiological and Ecological Mechanisms of Allelopathy. Front. Plant Sci. 2015, 6, 1020. [Google Scholar] [CrossRef]
- Inderjit; Weston, L.A.; Duke, S.O. Challenges, achievements and ppportunities in allelopathy research. J. Plant Interact. 2005, 1, 69–81. [Google Scholar] [CrossRef]
- González-Rodríguez, A.M.; Baruch, Z.; Palomo, D.; Cruz-Trujillo, G.; Jiménez, M.S.; Morales, D. Ecophysiology of the invader Pennisetum setaceum and three native grasses in the Canary Islands. Acta Oecol. 2010, 36, 248–254. [Google Scholar] [CrossRef]
- European Commission Invasive Alien Species. 2023. Available online: https://environment.ec.europa.eu/topics/nature-and-biodiversity/invasive-alien-species_en (accessed on 6 January 2024).
- Rahlao, S.J.; Milton, S.J.; Esler, K.J.; Barnard, P. The distribution of invasive Pennisetum setaceum along roadsides in Western South Africa: The Role of Corridor Interchanges. Weed Res. 2010, 50, 537–543. [Google Scholar] [CrossRef]
- Consejería de Educación, Universidades y Sostenibilidad. Boletín Oficial de Canarias Número 120—2753 ORDEN Para Las Directrices Técnicas Para el Manejo, Control y Eliminación del Rabogato (Pennisetum setaceum); Consejería de Educación, Universidades y Sostenibilidad: Tenerife, Spain, 2014. [Google Scholar]
- Garcia Gallo, A.; Wildpret de la Torre, W.; Rodriguez, M. Especies vegetales consideradas invasoras de hábitats, en la Historia Natural de Canarias. Lazaroa 2008, 29, 49–67. [Google Scholar]
- Prevención y Control de Especies Exóticas. Available online: www.gobiernodecanarias.org/medioambiente/materias/biodiversidad/especies-exoticas-invasoras/control-de-especies-exoticas-invasoras (accessed on 6 January 2024).
- Bellomaria, B.; Valentini, G.; Biondi, E. Essential Oil Composition of Artemisia thuscula Cav. from the Canary Islands. J. Essent. Oil Res. 1993, 5, 391–396. [Google Scholar] [CrossRef]
- Fraga, B.M.; Díaz, C.E.; Quintana, N. Triterpenes from Natural and Transformed Roots of Plocama pendula. J. Nat. Prod. 2006, 69, 1092–1094. [Google Scholar] [CrossRef] [PubMed]
- Fraga, B.M.; Quintana, N.; Díaz, C.E. Anthraquinones from Natural and Transformed Roots of Plocama pendula. Chem. Biodivers. 2009, 6, 182–192. [Google Scholar] [CrossRef] [PubMed]
- Fraga, B.M.; Quintana, N.; Díaz, C.E. Dihydroanthracenones and hydronaphthalenones from the roots of Plocama pendula. Phytochem. Lett. 2012, 5, 211–213. [Google Scholar] [CrossRef]
- Benjumea, D.; Abdala, S.; Hernandez-Luis, F.; Pérez-Paz, P.; Martin-Herrera, D. Diuretic activity of Artemisia thuscula, an endemic Canary Species. J. Ethnopharmacol. 2005, 100, 205–209. [Google Scholar] [CrossRef]
- Cosoveanu, A.; Da Silva, E.; Gimenez Mariño, C.; Núñez Trujillo, G.; González-Coloma, A.; Frias Viera, I.; Cabrera, R. Artemisia thuscula Cav.: Antibacterial, antifungal Aativity of the plant extracts and associated endophytes. J. Hortic. For. Biotechnol. 2012, 16, 87–90. [Google Scholar]
- Karou, S.D.; Tchacondo, T.; Ilboudo, D.P.; Simpore, J. Sub-Saharan Rubiaceae: A review of their traditional uses, phytochemistry and biological activities. Pak. J. Biol. Sci. 2011, 14, 149–169. [Google Scholar] [CrossRef]
- Pegoraro, C. Estudio Fitoquímico de Endemismos Canarios. Valorización de Compuestos Naturales: Artemisia thuscula: Estudio Fitoquímico y Actividad Antibacteriana. Bachelor’s Thesis, Universidad de La Laguna, San Cristóbal de La Laguna, Spain, 2019. [Google Scholar]
- Mansilla, H.; Palenzuela, J. Minor eudesmanolides from Artemisia canariensis. Phytochemistry 1999, 51, 995–997. [Google Scholar] [CrossRef]
- Duke, S.O.; Vaughn, K.C.; Croom, E.M.; Elsohly, H.N. Artemisinin, a Constituent of Annual Wormwood (Artemisia annua), is a Selective Phytotoxin. Weed Sci. 1987, 35, 499–505. [Google Scholar] [CrossRef]
- Lydon, J.; Teasdale, J.R.; Chen, P.K. Allelopathic activity of annual wormwood (Artemisia annua) and the role of artemisinin. Weed Sci. 1997, 45, 807–811. [Google Scholar] [CrossRef]
- Alanaz, A.R.; Alatawi, E.A.S.; Alotaibi, R.S.; Alatawi, E.A.H.; Albalawi, A.D.; Alhumayri, H.A.; Alatawi, Q.S.; Alharbi, B.M. The Bio-herbicidal potential of some wild plants with allelopathic effects from Tabuk Region on selected local weed species. Front. Plant Sci. 2023, 14, 1286105. [Google Scholar] [CrossRef]
- Einhellig, F.A. Allelopathy: Current Status and Future Goals. In Allelopathy: Organisms, Processes, and Applications; Inderjit, Dakshini, K.M.M., Einhellig, F.A., Eds.; American Chemical Society: Washington, DC, USA, 1995. [Google Scholar] [CrossRef]
- Friedjung, A.Y.; Choudhary, S.P.; Dudai, N.; Rachmilevitch, S. Physiological Conjunction of Allelochemicals and Desert Plants. PLoS ONE 2013, 8, e81580. [Google Scholar] [CrossRef][Green Version]
- Fraga, B.M.; Díaz, C.E.; Quintana, N. Naphthohydroquinones and lignans from the roots of Plocama pendula, a Canary Island paleoendemism. Biochem. Syst. Ecol. 2010, 38, 784–788. [Google Scholar] [CrossRef]
- Herrera, R.M.; Pérez, M.; Martín-Herrera, D.A.; López-García, R.; Rabanal, R.M.; Arias, A. Antimicrobial Activity of Extracts from Plants Endemic to the Canary Islands. Phytother. Res. 1996, 10, 364–366. [Google Scholar] [CrossRef]
- Martins, D.; Nunez, C.V. Secondary Metabolites from Rubiaceae Species. Molecules 2015, 20, 13422–13495. [Google Scholar] [CrossRef]
- Inderjit; Duke, S.O. Ecophysiological aspects of allelopathy. Planta 2003, 217, 529–539. [Google Scholar] [CrossRef] [PubMed]
- Catanzaro, C.J.; Skroch, W.A.; Burton, J.D. Resistance of Selected Ornamental Grasses to Graminicides. Weed Technol. 1993, 7, 326–330. [Google Scholar] [CrossRef]
- Scavo, A.; Mauromicale, G. Crop Allelopathy for Sustainable Weed Management in Agroecosystems: Knowing the Present with a View to the Future. Agronomy 2021, 11, 2104. [Google Scholar] [CrossRef]
- Bewley, J.D.; Black, M. Seeds: Physiology of Development and Germination, 2nd ed.; Springer: New York, NY, USA, 1994. [Google Scholar]
- Ferreira, M.F.; Torres, C.; Bracamonte, E.; Galetto, L. Glyphosate affects the susceptibility of non-target native plant species according to their stage of development and degree of exposure in the landscape. Sci. Total Environ. 2023, 865, 161091. [Google Scholar] [CrossRef] [PubMed]
- Nath, C.P.; Singh, R.G.; Choudhary, V.K.; Datta, D.; Nandan, R.; Singh, S.S. Challenges and Alternatives of Herbicide-Based Weed Management. Agronomy 2024, 14, 126. [Google Scholar] [CrossRef]
- Brundu, G. Information on measures and related costs in relation to species included on the union list: Pennisetum setaceum. In Technical Note Prepared by IUCN for the European Commission; International Union for Conservation of Nature: Gland, Switzerland, 2017. [Google Scholar]
- Rowe, H.I.; Sprague, T.A.; Staker, P. Comparing common fountain grass removal techniques: Cost efficacy and response of native plant community. Biol. Invasions 2022, 24, 3817–3830. [Google Scholar] [CrossRef]
- Acosta-Dacal, A.; Hernández-Marrero, M.E.; Rial-Berriel, C.; Díaz-Díaz, R.; del Bernal-Suárez, M.M.; Zumbado, M.; Henríquez-Hernández, L.A.; Boada, L.D.; Luzardo, O.P. Comparative study of organic contaminants in agricultural soils at the archipelagos of the Macaronesia. Environ. Pollut. 2022, 301, 118979. [Google Scholar] [CrossRef]
- Alonso González, P.; Parga-Dans, E.; Pérez Luzardo, O. Big Sales, no carrots: Assessment of pesticide policy in Spain. Crop Prot. 2021, 141, 105428. [Google Scholar] [CrossRef]
- Gliessman, S.R. Allelopathy and Agroecology. In Chemical Ecology of Plants: Allelopathy in Aquatic and Terrestrial Ecosystems; Mallik, A.U., Inderjit, Eds.; Birkhäuser: Basel, Switzerland, 2002; pp. 173–185. [Google Scholar]
- Cropper, T.E.; Hanna, E. An Analysis of the climate of Macaronesia, 1865–2012. Int. J. Climatol. 2013, 34, 604–622. [Google Scholar] [CrossRef]
- Ministerio de Agricultura, Pescla. y Alimentación. Guía de Gestión Integrada de Plagas de Mango; Ministerio de Agricultura, Pescla: Madrid, Spain, 2021. [Google Scholar]
- Mesa Morillo, D. Molecular Phylogeny of Artemisia thuscula. Master’s Thesis, Universidad de La Laguna, San Cristóbal de La Laguna, Spain, 2020. [Google Scholar]
- Fountain Grass (Cenchrus setaceus). Available online: https://weeds.dpi.nsw.gov.au/Weeds/Deetails.55 (accessed on 17 July 2024).
- Thomas, J.; Taylor, M. Evaluation of Chemical Control Methods of Fountain Grass. Hortte 2021, 31, 382–384. [Google Scholar] [CrossRef]
- Da Re, D.; Tordoni, E.; De Pascalis, F.; Negrín-Pérez, Z.; Fernández-Palacios, J.M.; Arévalo, J.R.; Rocchini, D.; Medina, F.M.; Otto, R.; Arlé, E.; et al. Invasive fountain frass (Pennisetum setaceum (Forssk.) Chiov.) increases its potential area of distribution in Tenerife island under future climatic scenarios. Plant Ecol. 2020, 221, 867–882. [Google Scholar] [CrossRef]
- Poulin, J.; Sakai, A.K.; Weller, S.G.; Nguyen, T. Phenotypic plasticity, precipitation, and invasiveness in the fire-promoting grass Pennisetum setaceum (Poaceae). Am. J. Bot. 2007, 94, 533–541. [Google Scholar] [CrossRef] [PubMed]
- Sahrir, M.A.S.; Yusoff, N.; Azizan, K.A. Allelopathy activity under laboratory, greenhouse and field conditions: A Review. AIMS Agric. Food 2023, 8, 78–104. [Google Scholar] [CrossRef]
- Delabays, N.; Bohren, C.; Wirth, J.; Mermillod, G.; Joffrey, J.-P. Allelopathy: A controversial but promising phenomenon. Studies and agricultural implementation. Rev. Suisse D’Agriculture 2009, 41, 313–319. [Google Scholar]
- Kostina-Bednarz, M.; Plonka, J.; Barchanska, H. Allelopathy as a source of bioherbicides: Challenges and prospects for sustainable agriculture. Rev. Environ. Sci. Bio/Technol. 2023, 22, 471–504. [Google Scholar] [CrossRef]
- Thiébaut, G.; Thouvenot, L.; Rodriguez-Perez, H. Allelopathic Effect of the Invasive Ludwigia hexapetala on Growth of Three Macrophyte Species. Front. Plant Sci. 2018, 9, 1835. [Google Scholar] [CrossRef]
- Seifu, A.; Lulekal, E.; Demissew, S.; Woldu, Z. Allelopathic potential of root and leaf aqueous extracts of invasive alien plant species, Cryptostegia grandiflora, on germination and seedling growth of Linum usitatissimum and Guizotia abyssinica. Front. For. Glob. Change 2023, 6, 1131815. [Google Scholar] [CrossRef]
- Scott, S.J.; Jones, R.A.; Williams, W.A. Review of Data Analysis Methods for Seed Germination1. Crop Sci. 1984, 24, 1192–1199. [Google Scholar] [CrossRef]
- Orchard, T. Estimating the parameters of plant seedling emergence. Seed Sci. Technol. 1977, 5, 61–69. [Google Scholar]
- Benech Arnold, R.L.; Fenner, M.; Edwards, P.J. Changes in germinability, ABA content and ABA embryonic sensitivity in developing seeds of Sorghum bicolor (L.) Moench. induced by water stress during grain filling. New Phytol. 1991, 118, 339–347. [Google Scholar] [CrossRef]
- Kader, A.M.; Omari, M.; Hattar, B. Maximizing germination percentage and speed of four australian indigenous tree species. Dirasat Agric. Sci. 1998, 25, 157–169. [Google Scholar]
- R Core Team. R: A Language and Environment for Statistical Computing; R Foundation for Statistical Computing: Vienna, Austria, 2023. [Google Scholar]
- Dinno, A. Dunn.Test: Dunn’s Test of Multiple Comparisons Using Rank Sums. Version 1.3.6. 2017. Available online: https://cran.r-project.org/web/packages/dunn.test/dunn.test.pdf (accessed on 6 January 2025).
- Peters, G.J.Y. Userfriendlyscience: Quantitative Analysis Made Accessible, Version 0.7.2 [Computer Software]; R Foundation for Statistical Computing: Vienna, Austria, 2018.
- Wickham, H.; François, R.; Henry, L.; Müller, K.; Vaughan, D. Dplyr: A Grammar of Data Manipulation 2023. R Package Version 1.1.4. 2025. Available online: https://dplyr.tidyverse.org (accessed on 6 January 2025).
- Wickham, H. Tidyr: Tidy Messy Data, R Package Version 1.3.0 [Computer Software]; R Foundation for Statistical Computing: Vienna, Austria, 2023.
- Wickham, H. Ggplot2: Elegant Graphics for Data Analysis; Springer: New York, NY, USA, 2016. [Google Scholar]
- RStudio Team. RStudio: Integrated Development for R, Version 2022.02.3 [Computer Software]; R Foundation for Statistical Computing: Vienna, Austria, 2022.


| Species | T | [Conc] | FPG (%) | GI (Index) | MGT (Days) | PL (mm) | RL (mm) |
|---|---|---|---|---|---|---|---|
| C. setaceus | A | 1 | 63 ± 12.94 | 128.6 ± 37.6 A | 4.21 ± 1.17 | 54.1 ± 23.6 | 73.15 ± 27.86 aA |
| A | 10 | 63 ± 16.81 | 100 ± 31.38 b | 7.14 ± 0.76 bA | 48.71 ± 18.19 | 24.73 ± 13.97 bA | |
| A | 100 | 0 ± 0 b | 0 ± 0 b | - | - | - | |
| B | 1 | 80 ± 6.12 | 190.2 ± 19.64 B | 3.13 ± 0.42 | 48.77 ± 20.27 | 51.51 ± 23.02 bB | |
| B | 10 | 60 ± 22.08 | 138.6 ± 51.66 | 3.44 ± 0.49 B | 44.42 ± 10.23 b | 8.41 ± 6.38 bB | |
| B | 100 | 4 ± 4.18 b | 9 ± 8.77 b | 2 ± 2.12 | - | - | |
| C | 0 | 71 ± 9.62 a | 169.8 ± 26.58 a | 3.07 ± 0.35 a | 49.77 ± 19.06 a | 69.47 ± 25.5 a | |
| L. sativa | A | 1 | 95 ± 5 | 143.6 ± 14.57 bA | 1.19 ± 0.43 | 13.46 ± 3.66 b | 81.22 ± 27.73 b |
| A | 10 | 93 ± 4.47 b | 110.4 ± 13.87 bA | 3.08 ± 0.47 bA | 10.32 ± 3.01 A | 15.52 ± 8.45 bA | |
| A | 100 | 0 ± 0 b | 0 ± 0 b | 0 ± 0 b | - | - | |
| B | 1 | 100 ± 0 | 166.4 ± 17.14 B | 1.08 ± 0.06 | 12.59 ± 3.02 b | 87.46 ± 25.36 b | |
| B | 10 | 96 ± 4.18 | 146.6 ± 8.62 bB | 1.37 ± 0.14 bB | 12.05 ± 3.59 bB | 22.4 ± 5.26 bB | |
| B | 100 | 0 ± 0 b | 0 ± 0 b | 0 ± 0 b | - | - | |
| C | 0 | 100 ± 0 a | 157.8 ± 2.28 a | 1.11 ± 0.11 a | 10.24 ± 2.86 a | 61.72 ± 26.94 a |
| Species | PL (mm) | RL (mm) | Number of Non-Germinated Seeds | ||||||
|---|---|---|---|---|---|---|---|---|---|
| A | B | C | A | B | C | A | B | C | |
| A. cepa | 7.45 ± 5.2 | 6.34 ± 5.02 | 17.37 ± 12.65 | 3.25 ± 1.84 | 3.24 ± 2.19 | 12.45 ± 9.38 | 80 | 54 | 15 |
| C. setaceus | 10.22 ± 8.60 | 13.35 ± 10.72 | 18.74 ± 12.26 | 6.39 ± 6.09 | 2.93 ± 2.80 | 30.26 ± 18.19 | 96 | 69 | 49 |
| H. vulgare | 2.22 ± 9.99 | 1.57 ± 4.05 | 9.7 ± 23.31 | 3.78 ± 6.34 | 2.98 ± 2.22 | 8.57 ± 16.85 | 28 | 48 | 25 |
| L. sativa | 2.36 ± 3.42 | 4.68 ± 3.16 | 9.98 ± 2.66 | 7.43 ± 5.41 | 4.89 ± 2.54 | 32.87 ± 16.85 | 98 | 42 | 6 |
| Z. mays | 0.39 ± 1.3 | 0.63 ± 1.54 | 7.46 ± 13.85 | 12.02 ± 14.03 | 12.93 ± 5.28 | 21.8 ± 16.51 | 50 | 34 | 9 |
Disclaimer/Publisher’s Note: The statements, opinions and data contained in all publications are solely those of the individual author(s) and contributor(s) and not of MDPI and/or the editor(s). MDPI and/or the editor(s) disclaim responsibility for any injury to people or property resulting from any ideas, methods, instructions or products referred to in the content. |
© 2025 by the authors. Licensee MDPI, Basel, Switzerland. This article is an open access article distributed under the terms and conditions of the Creative Commons Attribution (CC BY) license (https://creativecommons.org/licenses/by/4.0/).
Share and Cite
Fuvel, A.; Cosoveanu, A.; Sopena Lasala, J.; Ramón Arévalo, J.; Cabrera, R. Allelopathic Effects of Artemisia thuscula and Plocama pendula on the Invasive Plant Cenchrus setaceus and Crops. Plants 2025, 14, 3159. https://doi.org/10.3390/plants14203159
Fuvel A, Cosoveanu A, Sopena Lasala J, Ramón Arévalo J, Cabrera R. Allelopathic Effects of Artemisia thuscula and Plocama pendula on the Invasive Plant Cenchrus setaceus and Crops. Plants. 2025; 14(20):3159. https://doi.org/10.3390/plants14203159
Chicago/Turabian StyleFuvel, Ana, Andreea Cosoveanu, Jorge Sopena Lasala, José Ramón Arévalo, and Raimundo Cabrera. 2025. "Allelopathic Effects of Artemisia thuscula and Plocama pendula on the Invasive Plant Cenchrus setaceus and Crops" Plants 14, no. 20: 3159. https://doi.org/10.3390/plants14203159
APA StyleFuvel, A., Cosoveanu, A., Sopena Lasala, J., Ramón Arévalo, J., & Cabrera, R. (2025). Allelopathic Effects of Artemisia thuscula and Plocama pendula on the Invasive Plant Cenchrus setaceus and Crops. Plants, 14(20), 3159. https://doi.org/10.3390/plants14203159

