Assessment of the Agricultural Effectiveness of Biodegradable Mulch Film in Onion Cultivation
Abstract
1. Introduction
2. Materials and Methods
2.1. Experimental Site and Mulching Materials
2.2. Effects of Biodegradable Mulching Film on Onion Growth, Quantity, Weed Occurrence and Post-Crops
2.3. Degradation Characteristics of Biodegradable Mulching Film During and After Onion Cultivation
2.4. Effects of Biodegradable Mulching on Film Soil Properties
2.5. Experimental Design and Statistical Procedures
3. Results and Discussion
3.1. Effects of Biodegradable Mulched Film on Onion Growth, Quantity and Post-Crop
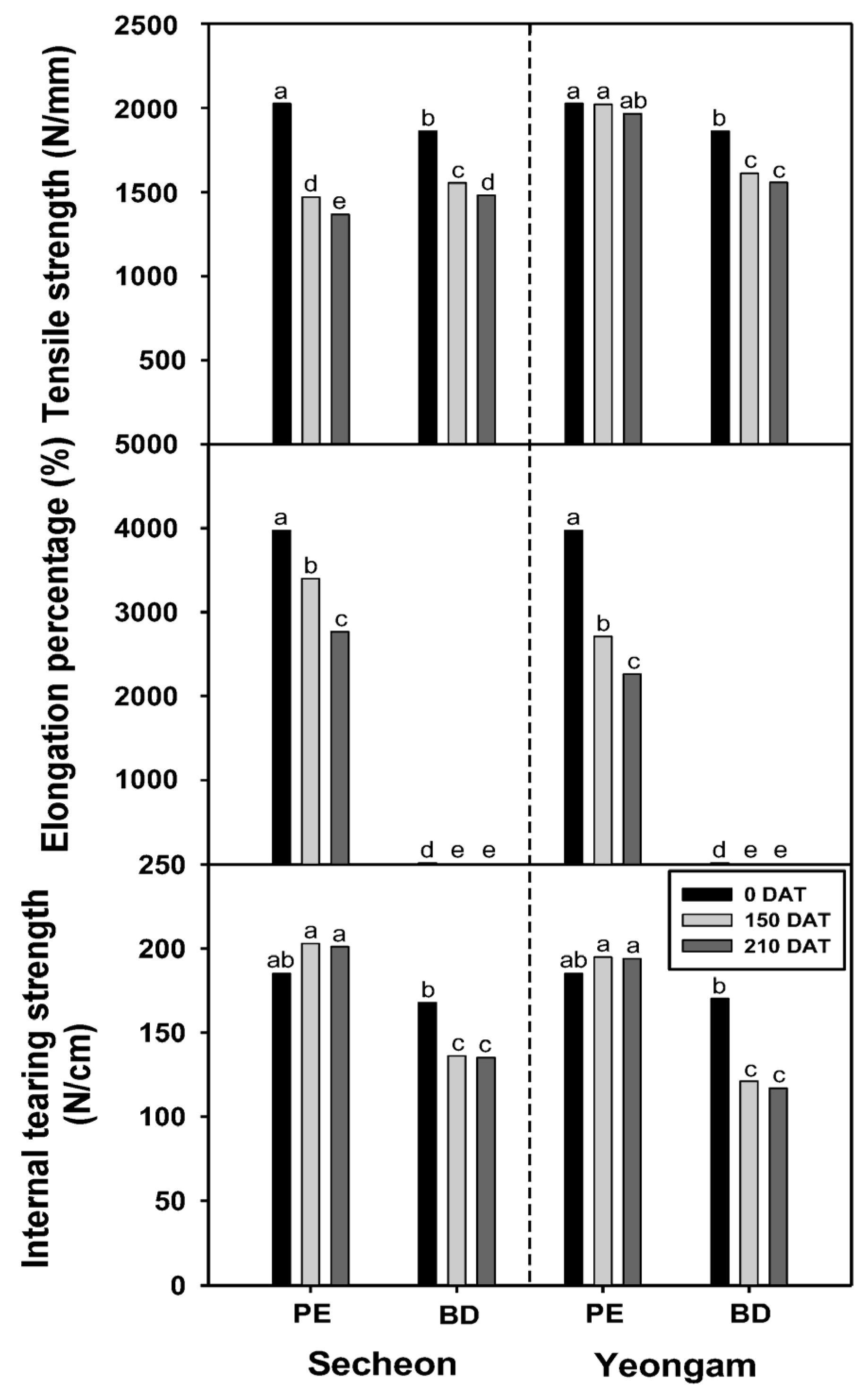
3.2. Degradation Properties of Biodegradable Mulch Film During and Following Onion Cultivation
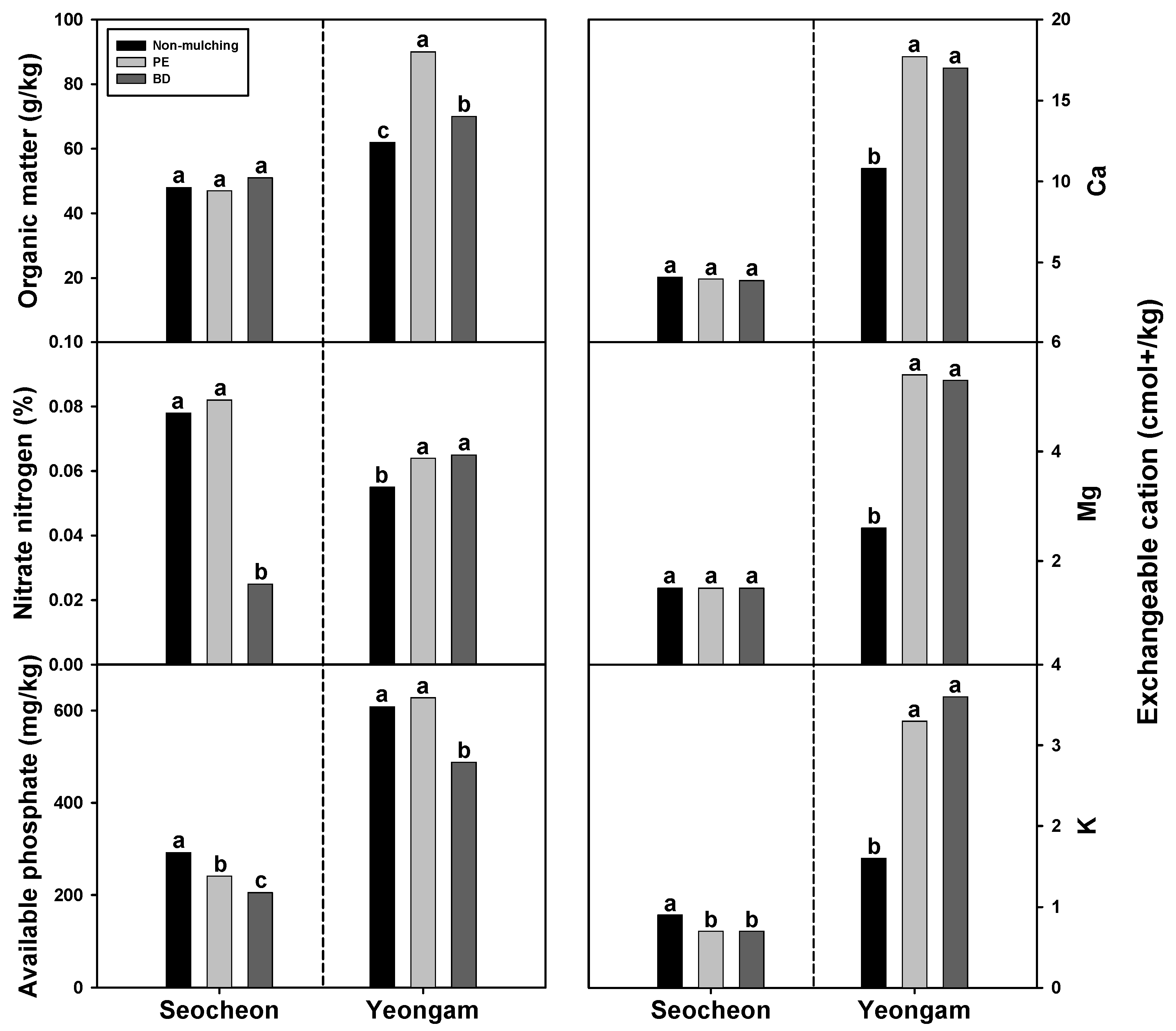
3.3. Effects of Biodegradable Mulching Film on the Soil Environment
4. Conclusions
Author Contributions
Funding
Data Availability Statement
Conflicts of Interest
References
- Zhang, N.; Sainju, U.M.; Zhao, F.; Ghimire, R.; Ren, C.; Liang, Y.; Yang, C.; Wang, J. Mulching decreased the abundance of microbial functional genes in phosphorus cycling under maize. Appl. Soil Ecol. 2023, 187, 10483. [Google Scholar] [CrossRef]
- Filipovic, V.; Romic, D.; Romic, M.; Borosic, J.; Filipovic, L.; Mallmann, F.J.K.; Robinson, D.A. Plastic mulch and nitrogen fertigation in growing vegetables modify soil temperature, water and nitrate dynamics: Experimental results and a modeling study. Agric. Water Manag. 2016, 176, 100–110. [Google Scholar] [CrossRef]
- Zhou, L.M.; Li, F.M.; Jun, S.L.; Song, Y. How two ridges and the furrow mulched with plastic film affect soil water, soil temperature and yield of maize on the semiarid Loess Plateau of China. Field Crops Res. 2009, 113, 41–47. [Google Scholar] [CrossRef]
- Elmore, C.L. Soil Solarization. In Proceedings of the First International Conference on Soil Solarization; FAO: Rome, Italy, 1990. [Google Scholar]
- Nawaz, A.; Lal, L.; Shrestha, R.K.; Farooq, M. Mulching affects soil properties and greenhouse gas emissions under long-term no-till and plough-till systems in Alfisol of Central Ohio. Land Degrad. Dev. 2017, 28, 673–681. [Google Scholar] [CrossRef]
- Yin, M.H.; Li, Y.N.; Xu, Y.B.; Zhou, C.M. Effects of mulches on water use in a winter wheat/summer maize rotation system in Loess Plateau, China. J. Arid Land 2018, 2, 277–291. [Google Scholar] [CrossRef]
- Lee, H.J.; Kim, M.J.; Kim, H.L.; Kwack, Y.B.; Kwon, J.K.; Park, K.S.; Choi, H.G.; Bekhzod, K. Effects of biodegradable mulching film application on cultivation of garlic. Protected Hort. Plant Fac. 2015, 24, 326–332. [Google Scholar] [CrossRef]
- Minuto, G.; Pisi, L.; Tinivella, F.; Bruzzone, C.; Guerrini, S.; Versari, M.; Pini, S.; Capurro, M. Weed control with biodegradable mulch in vegetable crops. Acta Hortic. 2007, 801, 291–298. [Google Scholar] [CrossRef]
- Buks, F.; Kaupenjohann, M. Global concentrations of microplastics in soil—A review. Soils 2020, 6, 649–662. [Google Scholar] [CrossRef]
- Somanathan, H.; Sathasivam, R.; Sivaram, S.; Kumaresan, S.M.; Muthura-man, M.S.; Park, S.U. An update on polyethylene and biodegradable plastic mulch films and their impact on the environment. Chemosphere 2022, 307, 135839. [Google Scholar] [CrossRef]
- De Prisco, N.; Immirzi, B.; Malinconico, M.; Mormile, P.; Petti, L.; Gatta, G. Preparation, physico-chemical characterization and optical analysis of polyvinyl alcohol-based films suitable for protected cultivation. J. Appl. Polym. Sci. 2002, 86, 622–632. [Google Scholar] [CrossRef]
- Kasirajan, S.; Ngouajia, M. Polyethylene and biodegradable mulches for agricultural applications: A review. Agron. Sustain. Dev. 2012, 32, 501–529. [Google Scholar] [CrossRef]
- Luyt, A.S.; Malik, S.S. Can biodegradable plastics solve plastic solid waste accumulation? In Plastics to Energy; William Andrew Publishing: Oxford, UK, 2019; pp. 403–423. [Google Scholar]
- Closas, L.M.; Costa, J.; Pelacho, A.M. Soil Degradable Bioplastics for a Sustainable Modern Agriculture. In Biodegradable Plastics and Polymers; Doi, Y., Fukuda, K., Eds.; Springer: Berlin/Heidelberg, Germany, 2017; pp. 67–104. [Google Scholar]
- Kyrikou, I.; Briassoulis, D. Biodegradation of Agricultural Plastic Films: A Critical Review. J. Polym. Environ. 2007, 15, 125–150. [Google Scholar] [CrossRef]
- Qin, M.; Chen, C.; Song, B.; Shen, M.; Weicheng, C.; Yang, H.; Zeng, G.; Gong, J. A Review of Biodegradable Plastics to Biodegradable Microplastics: Another Ecological Threat to Soil Environments? J. Clean. Prod. 2021, 312, 127816. [Google Scholar] [CrossRef]
- Fan, P.; Yu, H.; Xi, B.; Tan, W. A review on the occurrence and influence of biodegradable microplastics in soil ecosystems: Are biodegradable plastics substitute or threat? Environ. Int. 2022, 163, 107244. [Google Scholar] [CrossRef] [PubMed]
- Touchaleaumem, F.; Coussy, H.A.; Cesar, G.; Raffard, G.; Gontard, N.; Gastaldi, E. How performance and fate of biodegradable mulch films are impacted by field ageing. J. Polym. Environ. 2018, 26, 2588–2600. [Google Scholar] [CrossRef]
- Kim, J.T.; Kim, T.H.; Kim, S.; Seo, K.H. Structural, thermal, and mechanical properties of PLA/PBAT/MEA blend. Polym. Korea 2016, 40, 371–379. [Google Scholar] [CrossRef]
- Na, K.; Lee, K.H.; Lee, D.H.; Bae, Y.H. Biodegradable thermo-sensitive nanoparticles from poly(l-lactic acid)/poly (ethylene glycol) alternating multi-block copolymer for potential anti-cancer drug carrier. Eur. J. Pharm. Sci. 2006, 27, 115–122. [Google Scholar] [CrossRef]
- Albertsson, A.C.; Barenstedt, C.; Karlsson, S. Susceptibility of enhanced environmentally degradable polyethylene to thermal and photo-oxidation. Polym. Degrad. Stab. 1992, 37, 163–168. [Google Scholar] [CrossRef]
- Lee, S.I.; Sur, S.H.; Hong, K.M.; Shin, Y.S.; Jang, S.H.; Shin, B.Y. A study on the properties of fully biophotodegradable composite film. J. Int. Ind. Technol. 2001, 29, 129–134. [Google Scholar]
- Jung, B.W.; Shin, C.H.; Kim, Y.J.; Jang, S.H.; Shin, B.Y. A study on the biodegradability of plastic films under controlled composing condition. J. Int. Ind. Technol. 1999, 27, 107–116. [Google Scholar]
- Narayan, R. Impact of governmental policies, regulations, and standards activities on an emerging biodegradable plastic industry. In Biodegradable Plastics and Polymers; Doi, Y., Fukuda, K., Eds.; Elsevier: Osaka, Japan, 1994; pp. 261–272. [Google Scholar]
- Scott, G. Photo-degradable plastic: Their role in the protection of the environment. Polym. Degrad. Stab. 1990, 29, 136–143. [Google Scholar] [CrossRef]
- Costa, R.; Saraiva, A.; Carvalho, L.; Duarte, E. The use of biodegradable mulch films on strawberry crop in Portugal. Sci. Hortic. 2017, 173, 65–70. [Google Scholar] [CrossRef]
- Gao, X.; Xie, D.; Yang, C. Effects of a PLA/PBAT biodegradable film mulch as a replacement of polyethylene film and their residues on crop and soil environment. Agric. Water Manag. 2021, 255, 107053. [Google Scholar] [CrossRef]
- Liu, Q.; Wang, Y.; Liu, J.; Liu, X.; Dong, Y.; Huang, X.; Zhen, Z.; Lv, J.; He, W. Degradability and properties of PBAT based biodegradable mulch films in field and their effects on cotton planting. Polymers 2022, 14, 3157. [Google Scholar] [CrossRef] [PubMed]
- Ngouajio, M.; Auras, R.; Fernandez, R.T.; Rubio, M. Field performance of aliphatic-aromatic copolyester biodegradable mulch films in a fresh market tomato production system. HortTechnology 2008, 18, 605–610. [Google Scholar] [CrossRef]
- Souza, A.G.; Ferreira, R.R.; Harada, J.; Rosa, D.S. Field performance on lettuce crops of poly(butyleneadipate- co-terephthalate)/polylactic acid as alternative biodegradable composites mulching films. J. Appl. Polym. Sci. 2020, 138, e50020. [Google Scholar] [CrossRef]
- Lee, J.S.; Jeong, K.H.; Kim, H.S.; Kim, J.J.; Song, Y.S.; Bang, J.K. Bio-degradable plastic mulching in sweetpotato cultivation. Korean J. Crop Sci. 2009, 54, 135–142. [Google Scholar]
- Lim, S.J.; Lee, M.B.; Kim, S.W.; Kim, J.S.; Heo, S.J.; Choi, S.C.; Yoon, B.S.; Kim, I.J. Effects of bio-degradable mulches on the yield of maize and the density of soil microbe. Korean J. Soil Sci. Fert. 2016, 49, 375–380. [Google Scholar] [CrossRef]
- Moon, J.Y.; Song, J.K.; Shin, J.H.; Cho, Y.C.; Bae, J.W.; Heo, J.Y.; Kang, H.W.; Lee, Y.H. Effect of biodegradable mulch film on soil microbial community. Korean J. Soil Sci. Fert. 2016, 49, 125–131. [Google Scholar] [CrossRef][Green Version]
- Yoon, K.K.; Moon, K.G.; Kim, S.U.; Um, I.S.; Cho, Y.S.; Kim, Y.G.; Rho, I.R. Analysis of growth and antioxidant compounds in deodeok in response to mulching materials. Korean J. Med. Crop Sci. 2016, 24, 183–190. [Google Scholar] [CrossRef]
- Doane, W.M. USDA research on starch-based biodegradable plastics. Starch 1992, 44, 292–295. [Google Scholar] [CrossRef]
- Emadian, S.M.; Onay, T.T.; Demirel, B. Biodegradation of bioplastics in natural environments. Waste Manag. 2017, 59, 526–536. [Google Scholar] [CrossRef]
- RDA (Rural Development Administration). Guide of Agricultural Technology (Sweet Potato); RDA: Jeonju, Republic of Korea, 2021; pp. 1–232. (In Korean) [Google Scholar]
- Kim, Y.G.; Woo, Y.H.; Park, H.H.; Lee, D.J.; Kuk, Y.I. Effects of various biodegradable mulching films on growth, yield, and soil environment in soybean cultivation. Korean J. Crop Sci. 2024, 69, 34–48. [Google Scholar]
- Yin, M.; Li, Y.; Feng, H.; Chen, P. Biodegradable mulching film with an optimum degradation rate improves soil environment and enhances maize growth. Agric. Water Manag. 2019, 216, 127–137. [Google Scholar] [CrossRef]
- Kononova, M.M. Soil Organic Matter: Its Nature, Its Role in Soil Formation and in Soil Fertility; Pergamon Press: Oxford, UK, 1996. [Google Scholar]
- RDA (Rural Development Administration). Food Crop Environment Analysis Method Handbook; National Institute of Crop Science: Jeonju, Republic of Korea, 2014; pp. 1–140. [Google Scholar]
- SAS (Statistical Analysis System). SAS/STAT Users Guide, Version 7; Statistical Analysis System Institute: Cary, NC, USA, 2000. [Google Scholar]
- Li, B.; Huang, S.; Wang, H.; Liu, M.; Xue, S.; Tang, D.; Cheng, W.; Fan, T.; Yang, X. Effects of plastic particles on germination and growth of soybean (Glycine max): A pot experiment under field condition. Environ. Pollut. 2021, 272, 116418. [Google Scholar] [CrossRef] [PubMed]
- Reay, M.K.; Greenfield, L.M.; Graf, M.; Lloyd, C.E.M.; Evershed, R.P.; Chadwick, D.R.; Jones, D.L. LDPE and biodegradable PLA-PBAT plastics differentially affect plant- soil nitrogen partitioning and dynamics in a Hordeum vulgare mesocosm. J. Hazard. Mater. 2023, 447, 130825. [Google Scholar] [CrossRef] [PubMed]
- Serrano-Ruíz, H.; Martín-Closas, L.; Pelacho, A.M. Application of an in vitro plant ecotoxicity test to unused biodegradable mulches. Polym. Degrad. Stab. 2018, 158, 102–110. [Google Scholar] [CrossRef]
- Brault, D.K.; Stewart, A.; Jenni, S. Optical properties of paper and polyethylene mulches used for weed control in lettuce. Hort. Sci. 2002, 37, 87–91. [Google Scholar] [CrossRef]
- Sintim, H.Y.; Bary, A.I.; Hayes, D.G.; Wadsworth, L.C.; Anunciado, M.B.; English, M.E.; Bandopadhyay, S.; Schaeffer, S.M.; DeBruyn, J.M.; Miles, C.A.; et al. In situ degradation of biodegradable plastic mulch films in compost and agricultural soils. Sci. Total Environ. 2020, 727, 138668. [Google Scholar] [CrossRef]
- Sander, M. Biodegradation of Polymeric Mulch Films in Agricultural Soils; Concepts, Knowledge Gaps, and Future Research Directions. Environ. Sci. Technol. 2019, 53, 2304–2315. [Google Scholar] [CrossRef]
- Wufer, R.; Duo, J.; Pei, L.; Wang, S.; Li, W. Feasibility Study on the Application of Biodegradable Plastic Film in Farmland Soil in Southern Xinjiang, China-Planting Tomatoes as an Example. Toxics 2023, 11, 467. [Google Scholar] [CrossRef]
- Ludwiczak, J.; Frackowiak, S.; Leluk, K. Study of Thermal, Mechanical and Barrier Properties of Biodegradable PLA/PBAT Films with Highly Oriented MMT. Materials 2021, 14, 7189. [Google Scholar] [CrossRef]
- Jung, J.S.; Park, D.W.; Choi, H.S. Effect of bio degradable film mulching on soil environment and onion growth and yield. Korean J. Corp Sci. 2023, 68, 207–215. [Google Scholar]
- Sintim, H.Y.; Bandopadhyay, S.; English, M.E.; Bary, A.I.; González, J.L.; DeBruyn, J.M.; Schaeffer, S.M.; Miles, C.; Flury, M. Four years of continuous use of soil-biodegradable plastic mulch: Impact on soil and groundwater quality. Geoderma 2021, 381, 114665. [Google Scholar] [CrossRef]
- Zhang, M.; Xue, Y.; Jin, T.; Zhang, K.; Li, Z.; Sun, C.; Mi, Q.; Li, Q. Effect of long-term biodegradable film mulch on soilphysicochemical and microbial properties. Toxics 2022, 10, 129. [Google Scholar] [CrossRef] [PubMed]
- Park, D.W.; Jung, J.S.; Choi, H.S. Effects of PBAT-PLA based biodegradable film mulch on soil environment, onion production, and the growth of following crop. Hortic. Environ. Biotechnol. 2025, 66, 347–360. [Google Scholar] [CrossRef]
- Li, C.; Moore-Kucera, J.; Lee, J.; Corbin, A.; Brodhagen, M.; Miles, C.; Inglis, D.A. Effects of biodegradable mulch on soil quality and productivity in a tomato field. Soil Sci. Soc. Am. J. 2014, 78, 903–913. [Google Scholar]
- Bandopadhyay, S.; Martin-Closas, L.; Pelacho, A.M.; DeBruyn, J.M. Biodegradable plastic mulch films: Impacts on soil microbial communities and ecosystem functions. Front. Microbiol. 2018, 9, 819. [Google Scholar] [CrossRef]












| Area | Organic Matter (%) | Nitrate Nitrogen (%) | Available Phosphate (mg/kg) | Exchangeable Cation (me/100 g) | ||
|---|---|---|---|---|---|---|
| Ca | Mg | K | ||||
| Seocheon | 5.75 | 0.02 | 429.83 | 7.85 | 1.84 | 1.08 |
| Yeongam | 7.53 | 0.03 | 214.43 | 4.88 | 1.97 | 0.69 |
| Year | Area | Film | Bolting | Bulb Height | Bulb Wide | Bulb Weight | Yield | Marketable Yield | Market Yield Rate |
|---|---|---|---|---|---|---|---|---|---|
| (%) | (mm) | (mm) | (g) | (kg/ha) | (kg/ha) | (%) | |||
| 2023 | Seocheon | Non-mulching | 0.0 a | 66.5 a | 72.0 a | 192.6 a | 44,268 a | 42,428 a | 95.8 a |
| PE | 0.0 a | 71.9 a | 73.0 a | 205.4 a | 47,596 a | 46,029 a | 96.7 a | ||
| BD | 0.0 a | 70.8 a | 73.2 a | 204.3 a | 48,526 a | 47,317 a | 97.5 a | ||
| Youngam | Non-mulching | 3.3 a | 79.1 a | 84.1 b | 344.3 b | 53,040 a | 51,290 a | 96.7 a | |
| PE | 2.5 a | 80.0 a | 86.1 a | 350.0 a | 54,340 a | 52,982 a | 97.5 a | ||
| BD | 1.7 a | 83.0 a | 90.0 a | 357.7 a | 55,380 a | 53,996 a | 97.5 a | ||
| 2024 | Seocheon | Non-mulching | 0.0 a | 62.0 b | 64.5 b | 130.1 b | 35,670 b | 27,820 a | 95.8 a |
| PE | 0.0 a | 64.2 a | 67.9 a | 161.8 a | 49,670 a | 38,750 a | 96.7 a | ||
| BD | 0.0 a | 66.5 a | 68.0 a | 163.0 a | 50,660 a | 39,510 a | 97.5 a | ||
| Youngam | Non-mulching | 1.7 a | 65.3 a | 67.1 b | 162.1 b | 43,330 b | 42,430 a | 95.8 a | |
| PE | 0.8 a | 66.3 a | 69.6 a | 188.1 a | 51,010 a | 46,030 a | 96.7 a | ||
| BD | 1.7 a | 68.3 a | 70.9 a | 186.9 a | 50,660 a | 45,950 a | 96.7 a | ||
| Average | Non-mulching | 1.3 | 68.2 | 71.9 | 207.3 | 44,077 | 40,992 | 96.0 | |
| PE | 0.8 | 70.6 | 74.2 | 226.3 | 50,654 | 45,948 | 96.9 | ||
| BD | 0.9 | 72.2 | 75.5 | 228.0 | 51,307 | 46,693 | 97.3 | ||
| Area | Film | Weed Occurrence Rate (%) | ||
|---|---|---|---|---|
| Planting Hole | Degraded Film Area | Through Intact Film | ||
| Seocheon | Non-mulching | 3.74 a | 0 | 0 |
| PE | 1.31 b | 0 | 0 | |
| BD | 0.13 b | 0 | 0 | |
| Youngam | Non-mulching | 5.13 a | 0 | 0 |
| PE | 1.83 b | 0 | 0 | |
| BD | 2.92 b | 0 | 0 | |
| Area | Film | Aerobic Bacteria | Bacillus Bacteria | Actinomycetes | Gram-Negative Bacteria | Filamentous Fungi |
|---|---|---|---|---|---|---|
| (×105) | (×103) | (×104) | (×104) | (×103) | ||
| Seocheon | Non-mulching | 15.9 a | 34.5 b | 45.9 b | 26.3 a | 37.8 a |
| PE | 15.0 a | 47.2 a | 53.3 a | 8.1 b | 37.2 a | |
| BD | 15.9 a | 25.7 b | 24.2 c | 14.0 b | 36.6 a | |
| Youngam | Non-mulching | 37.4 a | 45.4 a | 38.1 b | 6.6 a | 10.6 b |
| PE | 29.7 a | 57.1 a | 44.2 a | 6.3 a | 20.3 a | |
| BD | 11.3 b | 17.8 b | 36.8 b | 3.2 b | 8.1 c |
Disclaimer/Publisher’s Note: The statements, opinions and data contained in all publications are solely those of the individual author(s) and contributor(s) and not of MDPI and/or the editor(s). MDPI and/or the editor(s) disclaim responsibility for any injury to people or property resulting from any ideas, methods, instructions or products referred to in the content. |
© 2025 by the authors. Licensee MDPI, Basel, Switzerland. This article is an open access article distributed under the terms and conditions of the Creative Commons Attribution (CC BY) license (https://creativecommons.org/licenses/by/4.0/).
Share and Cite
Park, H.H.; Kim, Y.O.; Kuk, Y.I. Assessment of the Agricultural Effectiveness of Biodegradable Mulch Film in Onion Cultivation. Plants 2025, 14, 2286. https://doi.org/10.3390/plants14152286
Park HH, Kim YO, Kuk YI. Assessment of the Agricultural Effectiveness of Biodegradable Mulch Film in Onion Cultivation. Plants. 2025; 14(15):2286. https://doi.org/10.3390/plants14152286
Chicago/Turabian StylePark, Hyun Hwa, Young Ok Kim, and Yong In Kuk. 2025. "Assessment of the Agricultural Effectiveness of Biodegradable Mulch Film in Onion Cultivation" Plants 14, no. 15: 2286. https://doi.org/10.3390/plants14152286
APA StylePark, H. H., Kim, Y. O., & Kuk, Y. I. (2025). Assessment of the Agricultural Effectiveness of Biodegradable Mulch Film in Onion Cultivation. Plants, 14(15), 2286. https://doi.org/10.3390/plants14152286

