Characterization and Future Distribution Prospects of “Carciofo di Malegno” Landrace for Its In Situ Conservation
Abstract
1. Introduction
2. Materials and Methods
2.1. Plant Material
2.2. Morphometric Analysis
2.3. Phytochemical Analysis
2.4. Prediction of the Potential Distribution of “Carciofo di Malegno”
3. Results
3.1. Shape of the Flower Capitulum and Bracts
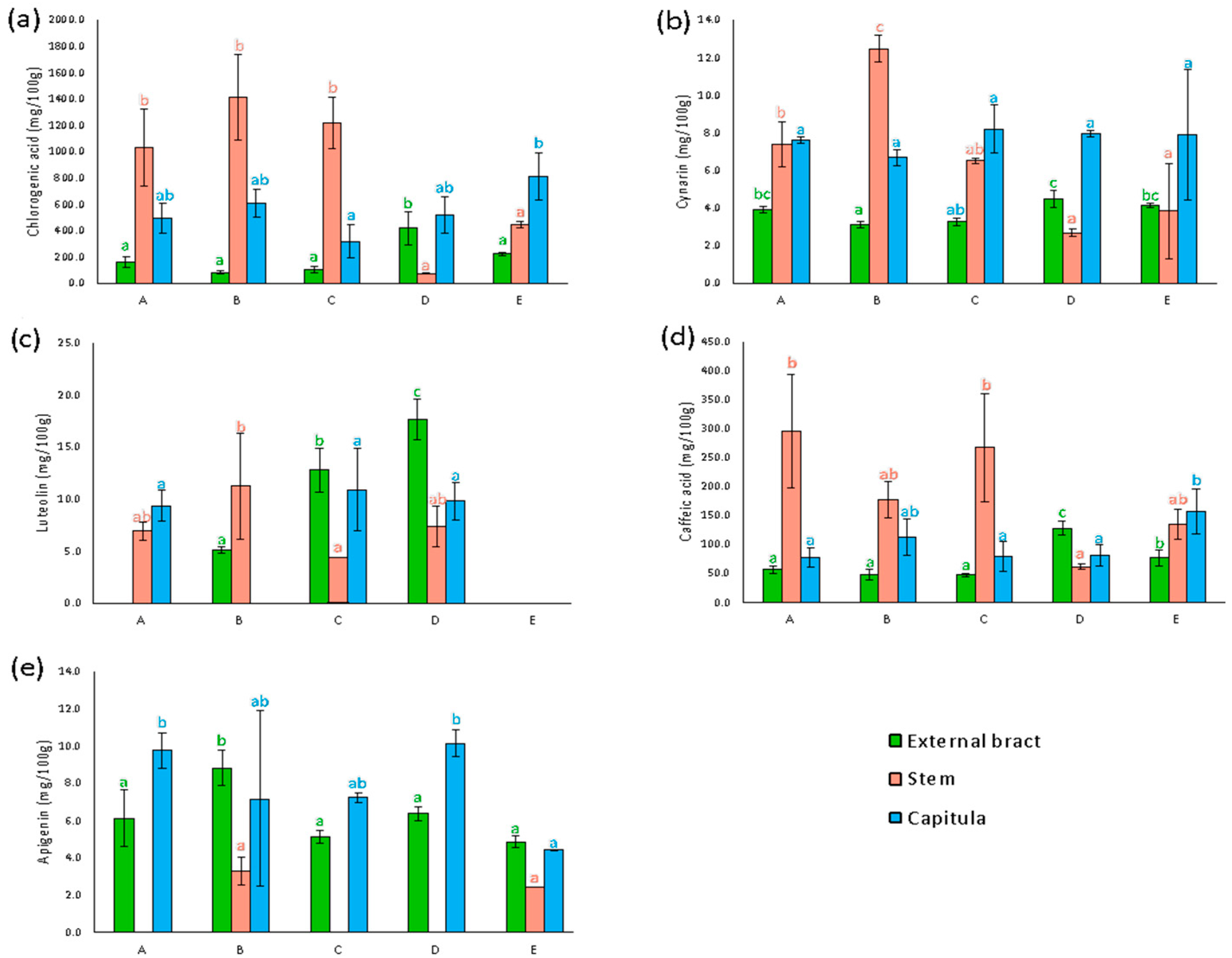
3.2. Phytochemical Characteristics
3.3. Current and Future Potential Distribution
4. Discussion
5. Conclusions
Supplementary Materials
Author Contributions
Funding
Data Availability Statement
Acknowledgments
Conflicts of Interest
References
- FAO. Building on Gender, Agrobiodiversity and Local Knowledge; Food and Agriculture Organization of the United Nations: Rome, Italy, 2004. [Google Scholar]
- FAO. Second Report on the State of the World’s Plant Genetic Resources for Food and Agriculture. Commission on Genetic Resources for Food and Agriculture; Food and Agriculture Organization of the United Nations: Rome, Italy, 2010. [Google Scholar]
- Villa, T.; Maxted, N.; Scholten, M.; Ford-Lloyd, B. Defining and identifying crop landraces. Plant Genet. Res. 2005, 3, 373–384. [Google Scholar] [CrossRef]
- FAO. Building on Gender, Agrobiodiversity an Local Knowledge—A Training Manual; FAO: Rome, Italy, 2005. [Google Scholar]
- Pedrali, D.; Proserpio, C.; Borgonovi, S.M.; Zuccolo, M.; Leoni, V.; Borgonovo, G.; Bernardi, A.M.; Scarafoni, A.; Pagliarini, E.; Giorgi, A.; et al. Nutritional Characterization and Novel Use of “Copafam” Bean (Phaseolus coccineus L.) for the Sustainable Development of Mountains Areas. Sustainability 2022, 14, 13409. [Google Scholar] [CrossRef]
- Giupponi, L.; Leoni, V.; Colombo, F.; Cassani, E.; Hejna, M.; Rossi, L.; Pilu, R. Characterization of “Mais delle Fiorine” (Zea mays L.) and nutritional, morphometric and genetic comparison with other maize landraces of Lombardy region (Northern Italy). Genet. Resour. Crop Evol. 2021, 68, 2075–2091. [Google Scholar] [CrossRef]
- Giupponi, L.; Pedrali, D.; Leoni, V.; Rodari, A.; Giorgi, A. The Analysis of Italian Plant Agrobiodiversity Databases Reveals That Hilly and Sub-Mountain Areas Are Hotspots of Herbaceous Landraces. Diversity 2021, 13, 70. [Google Scholar] [CrossRef]
- Giupponi, L.; Leoni, V.; Pedrali, D.; Ceciliani, G.; Bassoli, A.; Borgonovo, G. Morphometric and phytochemical characterization and elevation effect on yield of three potato landraces of the Ligurian Apennines (Northern Italy). J. Appl. Bot. Food 2020, 93, 234–243. [Google Scholar] [CrossRef]
- Giupponi, L.; Borgonovo, G.; Panseri, S.; Giorgi, A. Multidisciplinary study of a little known landrace of Fagopyrum tataricum Gaertn. of Valtellina (Italian Alps). Genet. Resour. Crop Evol. 2019, 66, 783–796. [Google Scholar] [CrossRef]
- EU Commission. EUROPE 2020 a Strategy for Smart, Sustainable and Inclusive Growth. 2010. Available online: https://eurlex.europa.eu/legal-content/EN/TXT/?uri=CELEX%3A52010DC2020 (accessed on 20 May 2023).
- National Recovery and Resilience Plan (NRRP). Available online: https://www.governo.it/sites/governo.it/files/PNRR.pdf (accessed on 19 November 2021).
- United Nations. Transforming Our World: The 2030 Agenda for Sustainable Development. 2015. Available online: https://undocs.org/A/RES/70/1 (accessed on 11 June 2023).
- De Rossi, S.; Di Marco, G.; D’Agostino, A.; Braglia, R.; Mecca, G.; Canini, A.; Gismondi, A. Influence of environmental conditions on the production of nutraceuticals in Italian edible plant landraces. Food Res. Int. 2023, 165, 112483. [Google Scholar] [CrossRef]
- Giupponi, L.; Pilu, R.; Scarafoni, A.; Giorgi, A. Plant agro-biodiversity needs protection, study and promotion: Results of research conducted in Lombardy region (Northern Italy). Biodivers. Conserv. 2020, 29, 409–430. [Google Scholar] [CrossRef]
- Bonasia, A.; Conversa, G.; Lazzizera, C.; Elia, A. Characterization of targeted phenolic compounds in globe artichoke heads and waste from vegetatively and “seed”-propagation genotype. Plants 2023, 12, 2579. [Google Scholar] [CrossRef]
- Pérez-Esteve, E.; Sałata, A.; Barat, J.M.; Stępniowska, A.; López-Galarza, S.; Nurzyńska-Wierdak, R. Polyphenolic composi-tion of Spanish cultivar of globe artichoke (Cynara cardunculus L. var. scolymus (L.) Fiori). Acta Sci. Pol. Hortorum Cultus 2018, 17, 177–184. [Google Scholar] [CrossRef]
- Pignatti, S.; Guarino, R.; La Rosa, M. Flora d’Italia, 2nd ed.; Edagricole: Bologna, Italy, 2017. [Google Scholar]
- Enciclopedia Bresciana di Antonio Fappani. Available online: http://www.enciclopediabresciana.it/enciclopedia/index.php?title=MALEGNO_(2) (accessed on 12 June 2023).
- Lattanzio, V.; Kroon, P.A.; Linsalata, V.; Cardinali, A. Globe artichokes: A functional food and source of nutraceutical ingredients. J. Funct. Foods 2009, 1, 131–144. [Google Scholar] [CrossRef]
- Fratianni, F.; Pepe, R.; Nazzaro, F. Polyphenol composition, antioxidant, antimicrobial and quorum quenching activity of the “Carciofo di Montoro” (Cynara cardunculus var. scolymus) global artichoke of the Campania region, Southern Italy. Food Nutr. Sci. 2014, 5, 2053–2062. [Google Scholar] [CrossRef][Green Version]
- Li, A.-N.; Li, S.; Zhang, Y.-J.; Xu, X.-R.; Chen, Y.-M.; Li, H.-B. Resources and biological activities of natural polyphenols. Nutrients 2014, 6, 6020–6047. [Google Scholar] [CrossRef]
- Ganesan, K.; Xu, B. A critical review on polyphenols and health benefits of black soybeans. Nutrients 2017, 9, 455. [Google Scholar] [CrossRef]
- Grosso, G. Effects of polyphenol-rich foods on human health. Nutrients 2018, 10, 1089. [Google Scholar] [CrossRef]
- Gouveia, S.C.; Castilho, P.C. Phenolic composition and antioxidant capacity of cultivated artichoke, Madeira cardoon and artichoke-based dietary supplements. Food Res. Int. 2012, 48, 712–724. [Google Scholar] [CrossRef]
- Gezer, C. Potential health effects of the popular compound of artichoke: Cynarin. Prog. Nutr. 2017, 19, 5–9. [Google Scholar]
- Rau, D.; Attene, G.; Rodriguez, M.; Baghino, L.; Pisanu, A.B.; Sanna, D.; Acquadro, A.; Portis, E.; Comino, C. The population structure of a globe artichoke worldwide collection, as revealed by molecular and phenotypic analyses. Front. Plant Sci. 2022, 13, 898740. [Google Scholar] [CrossRef] [PubMed]
- Giupponi, L.; Giorgi, A. Effectiveness of modern leaf analysis tools for the morpho-ecological study of plants: The case of Primula albenensis. Nord. J. Bot. 2019, 37, 1–10. [Google Scholar] [CrossRef]
- Bonhomme, V.; Picq, S.; Gaucherel, C.; Claude, J. Momocs: Outline Analysis Using R. J. Stat. Softw. 2014, 56, 1–24. [Google Scholar] [CrossRef]
- Claude, J. Morphometrics with R, 1st ed.; Springer: New York, NY, USA, 2008; Volume XVIII, p. 317. [Google Scholar] [CrossRef]
- R Development Core Team. R: A Language and Environment or Statistical Computing. R Foundation for Statistical Computing. Available online: http://www.r-project.org/ (accessed on 30 September 2023).
- Jombart, T.; Devillard, S.; Balloux, F. Discriminant analysis of principal components: A new method for the analysis of genetically structured populations. BMC Genet. 2010, 11, 94. [Google Scholar] [CrossRef]
- Nuutila, A.M.; Kammiovirta, K.; Oksman-Caldentey, K.-M. Comparison of methods for the hydrolysis of flavonoids and phenolic acids from onion and spinach for HPLC analysis. Food Chem. 2002, 76, 519–525. [Google Scholar] [CrossRef]
- Voldoire, A.; Saint-Martin, D.; Sénési, S.; Decharme, B.; Alias, A.; Chevallier, M.; Colin, J.; Guérémy, J.F.; Michou, M.; Moine, M.P.; et al. Evaluation of CMIP6 DECK experiments with CNRM-CM6-1. J. Adv. Model. Earth Syst. 2019, 11, 2177–2213. [Google Scholar] [CrossRef]
- Masson-Delmotte, V.; Zhai, P.; Pirani, A.; Connors, S.L.; Péan, C.; Berger, S.; Caud, N.; Chen, Y.; Goldfarb, L.; Gomis, M.I.; et al. IPCC: Summary for Policymakers. In Climate Change 2021: The Physical Science Basis, Contribution of Working Group I to the Sixth Assessment Report of the Intergovernmental Panel on Climate Change; Cambridge University Press: Cambridge, UK, 2021; in press. [Google Scholar]
- Phillips, S.J.; Dudík, M.; Schapire, R.E. Maxent Software for Modeling Species Niches and Distributions (Version 3.4.1). Available online: http://biodiversityinformatics.amnh.org/open_source/maxent/ (accessed on 30 September 2023).
- Jensen, R.J. The Conundrum of Morphometrics. Taxon 2003, 52, 663–671. [Google Scholar] [CrossRef]
- Chitwood, D.H.; Otoni, W.C. Morphometric analysis of Passiflora leaves: The relationship between landmarks of the vasculature and elliptical Fourier descriptors of the blade. GigaScience 2017, 6, giw008. [Google Scholar] [CrossRef]
- Lombardo, S.; Pandino, G.; Mauromicale, G.; Knödler, M.; Carle, R.; Schieber, A. Influence of genotype, harvest time and plant part on polyphenolic composition of globe artichoke [Cynara cardunculus L. var. scolymus (L.) Fiori]. Food Chem. 2010, 119, 1175–1181. [Google Scholar] [CrossRef]
- De Falco, B.; Incerti, G.; Amato, M.; Lanzotti, V. Artichoke: Botanical, agronomical, phytochemical, and pharmacological overview. Phytochem. Rev. 2015, 14, 993–1018. [Google Scholar] [CrossRef]
- Spataro, G.; Negri, V. The European seed legislation on conservation varieties: Focus, implementation, present and future impact on landrace on farm conservation. Genet. Resour. Crop Evol. 2013, 60, 2421–2430. [Google Scholar] [CrossRef]
- Sultan, S.E. Phenotypic plasticity and plant adaptation. Acta Bot. Neerl. 1995, 44, 363–383. [Google Scholar] [CrossRef]
- Mercer, K.L.; Perales, H.R. Evolutionary response of landraces to climate change in centers of crop diversity. Evol. Appl. 2010, 3, 480–493. [Google Scholar] [CrossRef]
- Mauromicale, G.; Ierna, A. Characteristics of heads of seed-grown globe artichoke [Cynara cardunculus L. var. scolymus (L.) Fiori] as affected by harvest period, sowing date and gibberellic acid. Agronomie 2000, 20, 197–204. [Google Scholar] [CrossRef]
- Azeez, M.A.; Adubi, A.O.; Durodola, F.A. Landraces and Crop Genetic Improvement. In Rediscovery of Landraces as a Resource for the Future; InTechOpen: London, UK, 2018. [Google Scholar] [CrossRef]





| Code | Origin | Thorn/Mucro | Head Shape | External Color | Stem (g) | Non-Edible (g) | Edible (g) |
|---|---|---|---|---|---|---|---|
| A | Malegno (BS) | Mucro | Conical | Green | 8.73 ± 0.63 | 22.13 ± 4.39 | 35.12 ± 3.94 |
| B | Sicily | Short thorn/absent | Spherical | Violet with green tones | 35.01 ± 7.33 | 106.19 ± 10.13 | 109.29 ± 15.98 |
| C | Sicily | Thorn | Conical | Green with violet tones | 36.04 ± 10.23 | 59. 67 ± 8.52 | 8.51 ± 10.28 |
| D | Sardinia | Thorn | Conical | Green with violet tones | 26.18 ± 1.05 | 44.65 ± 7.02 | 87.99 ± 10.44 |
| E | Apulia | Short thorn/absent | Ovoidal | Green with violet tones | 30.12 ± 2.49 | 47.07 ± 7.96 | 85.67 ± 5.84 |
| Code/Unit | Bioclimatic Variable |
|---|---|
| BIO1 (°C) | Annual Mean Temperature |
| BIO2 (°C) | Mean Diurnal Range (Mean of monthly (max temp–min temp) |
| BIO3 (-) | Isothermality (BIO2/BIO7 × 100) |
| BIO4 (°C) | Temperature Seasonality (standard deviation × 100) |
| BIO5 (°C) | Max Temperature of Warmest Month |
| BIO6 (°C) | Min Temperature of Coldest Month |
| BIO7 (°C) | Temperature Annual Range (BIO5-BIO6) |
| BIO8 (°C) | Mean Temperature of Wettest Quarter |
| BIO9 (°C) | Mean Temperature of Driest Quarter |
| BIO10 (°C) | Mean Temperature of Warmest Quarter |
| BIO11 (°C) | Mean Temperature of Coldest Quarter |
| BIO12 (mm) | Annual Precipitation |
| BIO13 (mm) | Precipitation of Wettest Month |
| BIO14 (mm) | Precipitation of Driest Month |
| BIO15 (-) | Precipitation Seasonality (Coefficient of Variation) |
| BIO16 (mm) | Precipitation of Wettest Quarter |
| BIO17 (mm) | Precipitation of Driest Quarter |
| BIO18 (mm) | Precipitation of Warmest Quarter |
| BIO19 (mm) | Precipitation of Coldest Quarter |
Disclaimer/Publisher’s Note: The statements, opinions and data contained in all publications are solely those of the individual author(s) and contributor(s) and not of MDPI and/or the editor(s). MDPI and/or the editor(s) disclaim responsibility for any injury to people or property resulting from any ideas, methods, instructions or products referred to in the content. |
© 2024 by the authors. Licensee MDPI, Basel, Switzerland. This article is an open access article distributed under the terms and conditions of the Creative Commons Attribution (CC BY) license (https://creativecommons.org/licenses/by/4.0/).
Share and Cite
Pedrali, D.; Zuccolo, M.; Giupponi, L.; Sala, S.; Giorgi, A. Characterization and Future Distribution Prospects of “Carciofo di Malegno” Landrace for Its In Situ Conservation. Plants 2024, 13, 680. https://doi.org/10.3390/plants13050680
Pedrali D, Zuccolo M, Giupponi L, Sala S, Giorgi A. Characterization and Future Distribution Prospects of “Carciofo di Malegno” Landrace for Its In Situ Conservation. Plants. 2024; 13(5):680. https://doi.org/10.3390/plants13050680
Chicago/Turabian StylePedrali, Davide, Marco Zuccolo, Luca Giupponi, Stefano Sala, and Annamaria Giorgi. 2024. "Characterization and Future Distribution Prospects of “Carciofo di Malegno” Landrace for Its In Situ Conservation" Plants 13, no. 5: 680. https://doi.org/10.3390/plants13050680
APA StylePedrali, D., Zuccolo, M., Giupponi, L., Sala, S., & Giorgi, A. (2024). Characterization and Future Distribution Prospects of “Carciofo di Malegno” Landrace for Its In Situ Conservation. Plants, 13(5), 680. https://doi.org/10.3390/plants13050680

