Genome-Wide Identification and Expression Analysis of DWARF53 Gene in Response to GA and SL Related to Plant Height in Banana
Abstract
1. Introduction
2. Results and Analysis
2.1. Identification of D53 Gene and Analysis of the Protein in Banana
2.2. Phylogenetic Analysis of D53
2.3. Chromosomal Localisation and Collinearity Analysis of Banana D53 Gene
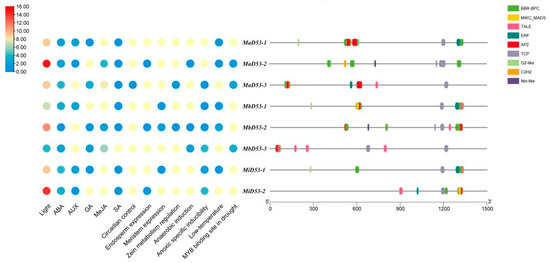
2.4. Gene Structure and Protein Structural Domain Analysis of D53 in Banana
2.5. Analysis of Promoter Cis-Acting Elements and Transcription Factor Binding Sites of D53 Gene in Banana
2.5.1. Analysis of Promoter Cis-Acting Elements
2.5.2. Transcription Factor Binding Site Analysis
2.6. Analysis of Transcriptome Data of MaD53 Gene under Different Treatments
2.7. Expression Analysis of MaD53 Gene in Different Tissue Parts of “Yinniaijiao” Dwarf Banana
2.8. Expression Pattern Analysis of MaD53 under Hormone Treatment
3. Discussion
3.1. The Banana D53 Gene Evolved with a Gene Doubling Event with a Loss Event
3.2. MaD53 Gene May Have Evolved Functionally Differently in Banana
3.3. The MaD53 Gene in “Yinniaijiao” Dwarf Banana Responds to GA and SL but Might Not Regulate Plant Height
4. Materials and Methods
4.1. Material Handling
4.2. Methods
4.2.1. Identification of Banana D53 Gene and Phylogenetic Tree Construction
4.2.2. Chromosomal Localisation and Collinearity Analysis of Banana D53 Gene
4.2.3. Structure and Protein Analysis of Banana D53 Gene
4.2.4. Prediction of Cis-Acting Elements and Transcription Factor Binding Sites in the Promoter of the Banana D53 Gene
4.2.5. Analysis of Banana MaD53 Gene Expression Pattern
5. Conclusions
Supplementary Materials
Author Contributions
Funding
Data Availability Statement
Acknowledgments
Conflicts of Interest
References
- Jiang, L.; Liu, X.; Xiong, G.; Liu, H.; Chen, F.; Wang, L.; Meng, X.; Liu, G.; Yu, H.; Yuan, Y.; et al. DWARF 53 acts as a repressor of strigolactone signalling in rice. Nature 2013, 504, 401–405. [Google Scholar] [CrossRef] [PubMed]
- Zhou, F.; Lin, Q.; Zhu, L.; Ren, Y.; Zhou, K.; Shabek, N.; Wu, F.; Mao, H.; Dong, W.; Gan, L.; et al. D14-SCF(D3)-dependent degradation of D53 regulates strigolactone signalling. Nature 2013, 504, 406–410. [Google Scholar] [CrossRef] [PubMed]
- Wang, L.; Wang, B.; Yu, H.; Guo, H.; Lin, T.; Kou, L.; Wang, A.; Shao, N.; Ma, H.; Xiong, G.; et al. Transcriptional regulation of strigolactone signalling in Arabidopsis. Nature 2020, 583, 277–281. [Google Scholar] [CrossRef] [PubMed]
- Liu, Y.; Wu, G.; Zhao, Y.; Wang, H.H.; Dai, Z.; Xue, W.; Yang, J.; Wei, H.; Shen, R.; Wang, H. DWARF53 interacts with transcription factors UB2/UB3/TSH4 to regulate maize tillering and tassel branching. Plant Physiol. 2021, 187, 947–962. [Google Scholar] [CrossRef]
- Soundappan, I.; Bennett, T.; Morffy, N.; Liang, Y.; Stanga, J.P.; Abbas, A.; Leyser, O.; Nelson, D.C. SMAX1-LIKE/D53 Family Members Enable Distinct MAX2-Dependent Responses to Strigolactones and Karrikins in Arabidopsis. Plant Cell 2015, 27, 3143–3159. [Google Scholar] [CrossRef] [PubMed]
- Ma, B.; Zhu, J.; Huang, X. Diversification of plant SUPPRESSOR OF MAX2 1 (SMAX1)-like genes and genome-wide identification and characterization of cotton SMXL gene family. BMC Plant Biol. 2023, 23, 419. [Google Scholar] [CrossRef] [PubMed]
- Guo, H.P. Cloning and Expression of PagD53 Gene and Its Interaction with PagD14 Gene in Poplar. Master’s Thesis, Shandong Agricultural University, Tai’an, China, 2020. [Google Scholar]
- Gray, W.M. Hormonal regulation of plant growth and development. PLoS Biol. 2004, 2, E311. [Google Scholar] [CrossRef] [PubMed]
- Shen, Y.; Tao, B.J.; Hua, X.; Lv, B.; Liu, L.J.; Chen, Y. Research progress on the interaction of chrysomolactone and hormone in regulating root growth. Biotechnol. Bull. 2022, 38, 24–31. [Google Scholar]
- Cook, C.E.; Whichard, L.P.; Turner, B.; Wall, M.E.; Egley, G.H. Germination of Witchweed (Striga lutea Lour.): Isolation and Properties of a Potent Stimulant. Science 1966, 154, 1189–1190. [Google Scholar] [CrossRef]
- Kohlen, W.; Charnikhova, T.; Liu, Q.; Bours, R.; Domagalska, M.A.; Beguerie, S.; Verstappen, F.; Leyser, O.; Bouwmeester, H.; Ruyter-Spira, C. Strigolactones Are Transported through the Xylem and Play a Key Role in Shoot Architectural Response to Phosphate Deficiency in Nonarbuscular Mycorrhizal Host Arabidopsis. Plant Physiol. 2010, 155, 974–987. [Google Scholar] [CrossRef]
- Gomez-Roldan, V.; Fermas, S.; Brewer, P.B.; Puech-Pagès, V.; Dun, E.A.; Pillot, J.P.; Letisse, F.; Matusova, R.; Danoun, S.; Portais, J.C.; et al. Strigolactone inhibition of shoot branching. Nature 2008, 455, 189–194. [Google Scholar] [CrossRef]
- Ha, C.V.; Leyva-González, M.A.; Osakabe, Y.; Tran, U.T.; Nishiyama, R.; Watanabe, Y.; Tanaka, M.; Seki, M.; Yamaguchi, S.; Dong, N.V.; et al. Positive regulatory role of strigolactone in plant responses to drought and salt stress. Proc. Natl. Acad. Sci. USA 2014, 111, 851–856. [Google Scholar] [CrossRef] [PubMed]
- Yao, R.; Li, J.; Xie, D. Recent advances in molecular basis for strigolactone action. Sci. China. Life Sci. 2018, 61, 277–284. [Google Scholar] [CrossRef] [PubMed]
- Sorefan, K.; Booker, J.; Haurogné, K.; Goussot, M.; Bainbridge, K.; Foo, E.; Chatfield, S.; Ward, S.; Beveridge, C.; Rameau, C.; et al. MAX4 and RMS1 are orthologous dioxygenase-like genes that regulate shoot branching in Arabidopsis and pea. Genes Dev. 2003, 17, 1469–1474. [Google Scholar] [CrossRef] [PubMed]
- Ishikawa, S.; Maekawa, M.; Arite, T.; Onishi, K.; Takamure, I.; Kyozuka, J. Suppression of tiller bud activity in tillering dwarf mutants of rice. Plant Cell Physiol. 2005, 46, 79–86. [Google Scholar] [CrossRef] [PubMed]
- Wang, Y.; Shang, L.; Yu, H.; Zeng, L.; Hu, J.; Ni, S.; Rao, Y.; Li, S.; Chu, J.; Meng, X.; et al. A Strigolactone Biosynthesis Gene Contributed to the Green Revolution in Rice. Mol. Plant 2020, 13, 923–932. [Google Scholar] [CrossRef] [PubMed]
- Seto, Y.; Yasui, R.; Kameoka, H.; Tamiru, M.; Cao, M.; Terauchi, R.; Sakurada, A.; Hirano, R.; Kisugi, T.; Hanada, A.; et al. Strigolactone perception and deactivation by a hydrolase receptor DWARF14. Nat. Commun. 2019, 10, 191. [Google Scholar] [CrossRef] [PubMed]
- Stirnberg, P.; Furner, I.J.; Ottoline Leyser, H.M. MAX2 participates in an SCF complex which acts locally at the node to suppress shoot branching. Plant J. Cell Mol. Biol. 2007, 50, 80–94. [Google Scholar] [CrossRef]
- Claus, S. Gibberellin—Mechanism of Action; Wiley: Hoboken, NJ, USA, 2014. [Google Scholar]
- Yamaguchi, S. Gibberellin metabolism and its regulation. Annu. Rev. Plant Biol. 2008, 59, 225–251. [Google Scholar] [CrossRef]
- Davière, J.M.; Achard, P. Gibberellin signaling in plants. Devevelopment 2013, 140, 1147–1151. [Google Scholar] [CrossRef]
- Salazar-Cerezo, S.; Martínez-Montiel, N.; García-Sánchez, J.; Pérez, Y.T.R.; Martínez-Contreras, R.D. Gibberellin biosynthesis and metabolism: A convergent route for plants, fungi and bacteria. Microbiol. Res. 2018, 208, 85–98. [Google Scholar] [CrossRef] [PubMed]
- Bolle, C. The role of GRAS proteins in plant signal transduction and development. Planta 2004, 218, 683–692. [Google Scholar] [CrossRef]
- McGinnis, K.M.; Thomas, S.G.; Soule, J.D.; Strader, L.C.; Zale, J.M.; Sun, T.P.; Steber, C.M. The Arabidopsis SLEEPY1 gene encodes a putative F-box subunit of an SCF E3 ubiquitin ligase. Plant Cell 2003, 15, 1120–1130. [Google Scholar] [CrossRef] [PubMed]
- Dill, A.; Thomas, S.G.; Hu, J.; Steber, C.M.; Sun, T.P. The Arabidopsis F-box protein SLEEPY1 targets gibberellin signaling repressors for gibberellin-induced degradation. Plant Cell 2004, 16, 1392–1405. [Google Scholar] [CrossRef] [PubMed]
- Gomi, K.; Sasaki, A.; Itoh, H.; Ueguchi-Tanaka, M.; Ashikari, M.; Kitano, H.; Matsuoka, M. GID2, an F-box subunit of the SCF E3 complex, specifically interacts with phosphorylated SLR1 protein and regulates the gibberellin-dependent degradation of SLR1 in rice. Plant J. Cell Mol. Biol. 2004, 37, 626–634. [Google Scholar] [CrossRef] [PubMed]
- Hamiaux, C.; Drummond, R.S.; Janssen, B.J.; Ledger, S.E.; Cooney, J.M.; Newcomb, R.D.; Snowden, K.C. DAD2 Is an α/β Hydrolase Likely to Be Involved in the Perception of the Plant Branching Hormone, Strigolactone. Curr. Biol. 2012, 22, 2032–2036. [Google Scholar] [CrossRef] [PubMed]
- Marzec, M. Strigolactones and Gibberellins: A New Couple in the Phytohormone World? Trends Plant Sci. 2017, 22, 813–815. [Google Scholar] [CrossRef]
- Nakamura, H.; Xue, Y.L.; Miyakawa, T.; Hou, F.; Qin, H.M.; Fukui, K.; Shi, X.; Ito, E.; Ito, S.; Park, S.H.; et al. Molecular mechanism of strigolactone perception by DWARF14. Nat. Commun. 2013, 4, 2613. [Google Scholar] [CrossRef]
- de Saint Germain, A.; Ligerot, Y.; Dun, E.A.; Pillot, J.-P.; Ross, J.J.; Beveridge, C.A.; Rameau, C. Strigolactones Stimulate Internode Elongation Independently of Gibberellins. Plant Physiol. 2013, 163, 1012–1025. [Google Scholar] [CrossRef]
- Shu, H.Y.; Sun, W.; Wang, Z.; Silver, M.; Han, Q.; Zhou, Z.X.; Dai, M.J.; Jin, Z.Q.; Li, J.Y.; Chang, S.H. Feasibility analysis of banana breeding for wind resistance. Mol. Plant Breed. 2016, 14, 3511–3515. [Google Scholar]
- Huang, J.L. Integrated technology of banana wind resistance and lodging resistance. Trop. Agric. China 2008, 5, 61. [Google Scholar]
- Chen, J.J.; Hu, Y.L.; Pang, Z.C.; Xie, J. A preliminary study on the causes of dwarfing in Williams banana mutant. J. Trop. Crops 2014, 35, 2144–2150. [Google Scholar]
- Wei, Y.R.; Kwong, R.B.; Yang, H. Breeding of a new dwarf banana variety ‘Zhongjiao 11’. J. Fruit Trees 2019, 36, 957–959. [Google Scholar]
- D’Hont, A.; Denoeud, F.; Aury, J.M.; Baurens, F.C.; Carreel, F.; Garsmeur, O.; Noel, B.; Bocs, S.; Droc, G.; Rouard, M.; et al. The banana (Musa acuminata) genome and the evolution of monocotyledonous plants. Nature 2012, 488, 213–217. [Google Scholar] [CrossRef] [PubMed]
- Wang, Z.; Miao, H.; Liu, J.; Xu, B.; Yao, X.; Xu, C.; Zhao, S.; Fang, X.; Jia, C.; Wang, J.; et al. Musa balbisiana genome reveals subgenome evolution and functional divergence. Nat. Plants 2019, 5, 810–821. [Google Scholar] [CrossRef] [PubMed]
- Shi, T.; Chen, J. A reappraisal of the phylogenetic placement of the Aquilegia whole-genome duplication. Genome Biol. 2020, 21, 295. [Google Scholar] [CrossRef] [PubMed]
- Wang, L.; Wang, B.; Jiang, L.; Liu, X.; Li, X.; Lu, Z.; Meng, X.; Wang, Y.; Smith, S.M.; Li, J. Strigolactone Signaling in Arabidopsis Regulates Shoot Development by Targeting D53-Like SMXL Repressor Proteins for Ubiquitination and Degradation. Plant Cell 2015, 27, 3128–3142. [Google Scholar] [CrossRef] [PubMed]
- Baranwal, V.K.; Negi, N.; Khurana, P. Genome-wide Identification and Structural, Functional and Evolutionary Analysis of WRKY Components of Mulberry. Sci. Rep. 2016, 6, 30794. [Google Scholar] [CrossRef]
- Zhang, R.M.; Li, C.; Chen, D.L. Breeding of vertical plant type material DW 871 in Xiangyang, Brassica napus. Seed 2019, 38, 116–120+123. [Google Scholar]
- Hou, C.; Liu, S.M.; Xue, Y.; Xu, Z.H.; Wang, P.Y. Research progress on hormone regulation of dwarfing in cucumber and vegetable plants. Chin. Melon 2020, 33, 1–7. [Google Scholar]
- Xing, M.; Su, H.; Liu, X.; Yang, L.; Zhang, Y.; Wang, Y.; Fang, Z.; Lv, H. Morphological, transcriptomics and phytohormone analysis shed light on the development of a novel dwarf mutant of cabbage (Brassica oleracea). Plant Sci. Int. J. Exp. Plant Biol. 2020, 290, 110283. [Google Scholar] [CrossRef]
- Tong, L.; Chen, S.H.; Gu, L.X.; Xu, Y.; Rei, X.; Ni, M.; Wang, Z.W.; Zhu, G.P.; Chen, Y.L. Effect of gibberellin treatment on yield and quality of main side moss of Chinese mustard. J. Trop. Biol. 2020, 11, 7–10+19. [Google Scholar]
- Spielmeyer, W.; Ellis, M.H.; Chandler, P.M. Semidwarf (sd-1), “green revolution” rice, contains a defective gibberellin 20-oxidase gene. Proc. Natl. Acad. Sci. USA 2002, 99, 9043–9048. [Google Scholar] [CrossRef] [PubMed]
- Peng, J.; Richards, D.E.; Hartley, N.M.; Murphy, G.P.; Devos, K.M.; Flintham, J.E.; Beales, J.; Fish, L.J.; Worland, A.J.; Pelica, F.; et al. ‘Green revolution’ genes encode mutant gibberellin response modulators. Nature 1999, 400, 256–261. [Google Scholar] [CrossRef]
- Booker, J.; Auldridge, M.; Wills, S.; McCarty, D.; Klee, H.; Leyser, O. MAX3/CCD7 Is a Carotenoid Cleavage Dioxygenase Required for the Synthesis of a Novel Plant Signaling Molecule. Curr. Biol. 2004, 14, 1232–1238. [Google Scholar] [CrossRef] [PubMed]
- Kulkarni, K.P.; Vishwakarma, C.; Sahoo, S.P.; Lima, J.M.; Nath, M.; Dokku, P.; Gacche, R.N.; Mohapatra, T.; Robin, S.; Sarla, N.; et al. A substitution mutation in OsCCD7 cosegregates with dwarf and increased tillering phenotype in rice. J. Genet. 2014, 93, 389–401. [Google Scholar] [CrossRef] [PubMed]
- Shi, Y.; Ma, R.; Han, Q.; Zhang, J.-m.; Shi, Z.; Qi, Z.; Huang, Y.; Sha, G.-l.; Ge, H.-j. Transcriptome analysis for deep understanding the dwarfing mechanism of Malus dwarf mutant rootstock A1d. Sci. Hortic. 2023, 319, 112163. [Google Scholar] [CrossRef]
- Santner, A.; Calderon-Villalobos, L.I.; Estelle, M. Plant hormones are versatile chemical regulators of plant growth. Nat. Chem. Biol. 2009, 5, 301–307. [Google Scholar] [CrossRef]
- Lopez-Obando, M.; Ligerot, Y.; Bonhomme, S.; Boyer, F.D.; Rameau, C. Strigolactone biosynthesis and signaling in plant development. Development 2015, 142, 3615–3619. [Google Scholar] [CrossRef]
- Ni, J.; Zhao, M.L.; Chen, M.S.; Pan, B.Z.; Tao, Y.B.; Xu, Z.F. Comparative transcriptome analysis of axillary buds in response to the shoot branching regulators gibberellin A3 and 6-benzyladenine in Jatropha curcas. Sci. Rep. 2017, 7, 11417. [Google Scholar] [CrossRef]
- Ito, S.; Yamagami, D.; Umehara, M.; Hanada, A.; Yoshida, S.; Sasaki, Y.; Yajima, S.; Kyozuka, J.; Ueguchi-Tanaka, M.; Matsuoka, M.; et al. Regulation of Strigolactone Biosynthesis by Gibberellin Signaling. Plant Physiol. 2017, 174, 1250–1259. [Google Scholar] [CrossRef] [PubMed]
- Peng, R.N. Study on the Interaction of SL Transduction Genes CsDAD2 and GA_3 to Regulate Branch Development in Cucumber. Master’s Thesis, Harbin Normal University, Harbin, China, 2020. [Google Scholar]
- Martin, G.; Baurens, F.-C.; Droc, G.; Rouard, M.; Cenci, A.; Kilian, A.; Hastie, A.; Doležel, J.; Aury, J.-M.; Alberti, A.; et al. Improvement of the banana “Musa acuminata” reference sequence using NGS data and semi-automated bioinformatics methods. BMC Genom. 2016, 17, 243. [Google Scholar] [CrossRef] [PubMed]
- Chen, C.; Chen, H.; Zhang, Y.; Thomas, H.R.; Frank, M.H.; He, Y.; Xia, R. TBtools: An Integrative Toolkit Developed for Interactive Analyses of Big Biological Data. Mol. Plant 2020, 13, 1194–1202. [Google Scholar] [CrossRef] [PubMed]
- Lu, S.; Wang, J.; Chitsaz, F.; Derbyshire, M.K.; Geer, R.C.; Gonzales, N.R.; Gwadz, M.; Hurwitz, D.I.; Marchler, G.H.; Song, J.S.; et al. CDD/SPARCLE: The conserved domain database in 2020. Nucleic Acids Res. 2019, 48, D265–D268. [Google Scholar] [CrossRef]
- Letunic, I.; Khedkar, S.; Bork, P. SMART: Recent updates, new developments and status in 2020. Nucleic Acids Res. 2020, 49, D458–D460. [Google Scholar] [CrossRef] [PubMed]
- Lescot, M.; Piffanelli, P.; Ciampi, A.Y.; Ruiz, M.; Blanc, G.; Leebens-Mack, J.; da Silva, F.R.; Santos, C.M.; d’Hont, A.; Garsmeur, O.; et al. Insights into the Musa genome: Syntenic relationships to rice and between Musa species. BMC Genomics 2008, 9, 58. [Google Scholar] [CrossRef] [PubMed]
- Wiederschain, G.Y. The Proteomics Protocols Handbook; Humana Press: Totowa, NJ, USA, 2006; Volume 71, p. 696. [Google Scholar]
- Horton, P.; Park, K.J.; Obayashi, T.; Fujita, N.; Harada, H.; Adams-Collier, C.J.; Nakai, K. WoLF PSORT: Protein localization predictor. Nucleic Acids Res. 2007, 35, W585–W587. [Google Scholar] [CrossRef] [PubMed]
- Bailey, T.L.; Gribskov, M. Combining evidence using p-values: Application to sequence homology searches. Bioinformatics 1998, 14, 48–54. [Google Scholar] [CrossRef]
- Lescot, M.; Déhais, P.; Thijs, G.; Marchal, K.; Moreau, Y.; Van de Peer, Y.; Rouzé, P.; Rombauts, S. PlantCARE, a database of plant cis-acting regulatory elements and a portal to tools for in silico analysis of promoter sequences. Nucleic Acids Res. 2002, 30, 325–327. [Google Scholar] [CrossRef]
- Jin, J.; Tian, F.; Yang, D.-C.; Meng, Y.-Q.; Kong, L.; Luo, J.; Gao, G. PlantTFDB 4.0: Toward a central hub for transcription factors and regulatory interactions in plants. Nucleic Acids Res. 2016, 45, D1040–D1045. [Google Scholar] [CrossRef]
- Liu, W.; Cheng, C.; Lin, Y.; XuHan, X.; Lai, Z. Genome-wide identification and characterization of mRNAs and lncRNAs involved in cold stress in the wild banana (Musa itinerans). PLoS ONE 2018, 13, e0200002. [Google Scholar] [CrossRef]
- Zorrilla-Fontanesi, Y.; Rouard, M.; Cenci, A.; Kissel, E.; Do, H.; Dubois, E.; Nidelet, S.; Roux, N.; Swennen, R.; Carpentier, S.C. Differential root transcriptomics in a polyploid non-model crop: The importance of respiration during osmotic stress. Sci. Rep. 2016, 6, 22583. [Google Scholar] [CrossRef]
- Chen, L.; Zhong, H.; Kuang, J.; Li, J.; Lu, W.; Chen, J. Validation of reference genes for RT-qPCR studies of gene expression in banana fruit under different experimental conditions. Planta 2011, 234, 377–390. [Google Scholar] [CrossRef]








| Gene ID | Gene Name | Size/aa | Molecular Weight/bp | pI | Instability Index | Average Hydrophilic Coefficient | Subcellular Localisation |
|---|---|---|---|---|---|---|---|
| Ma07_g23940.1 | MaD53-1 | 1192 | 130,219.95 | 5.85 | 53.13 | −0.304 | nc 1 |
| Ma10_g07240.1 | MaD53-2 | 1176 | 128,235.35 | 6.1 | 54.09 | −0.351 | nc 1 |
| Ma10_g29420.1 | MaD53-3 | 1157 | 126,430.99 | 5.88 | 47.92 | −0.277 | chl 2 |
| Mba07_g22340.1 | MbD53-1 | 1193 | 130,246.76 | 5.94 | 53.73 | −0.316 | nc 1 |
| Mba10_g06250.1 | MbD53-2 | 1182 | 129,064.65 | 6.12 | 54.7 | −0.327 | nc 1 |
| Mba10_g25520.1 | MbD53-3 | 1156 | 126,289.73 | 5.79 | 48.58 | −0.278 | chl 2 |
| Mi_g027038 | MiD53-1 | 1051 | 115,061.28 | 6.12 | 53.43 | −0.294 | nc 1 |
| Mi_g027998 | MiD53-2 | 1063 | 116,132.69 | 5.99 | 54.6 | −0.366 | chl 2 |
| Gene Name | Gene ID | Gene Name | Gene ID | Ka | Ks | Ka/Ks | Duplication/Mya |
|---|---|---|---|---|---|---|---|
| MbD53-1 | Mba07_g22340.1 | MbD53-3 | Mba10_g25520.1 | 0.1269 | 0.3822 | 0.332 | 42.4645 |
| MbD53-2 | Mba10_g06250.1 | 0.15 | 0.5026 | 0.2984 | 55.8422 | ||
| MaD53-1 | Ma07_t23940.1 | 0.0107 | 0.0305 | 0.3493 | 3.3939 | ||
| MaD53-3 | Ma10_t29420.1 | 0.1281 | 0.3644 | 0.3516 | 40.4893 | ||
| MaD53-2 | Ma10_t07240.1 | 0.1471 | 0.4955 | 0.2968 | 55.0577 | ||
| MiD53-2 | Mi_g027998 | 0.1448 | 0.5132 | 0.2822 | 57.0194 | ||
| MbD53-2 | Mba10_g06250.1 | MaD53-1 | Ma07_t23940.1 | 0.1521 | 0.5121 | 0.2969 | 56.9012 |
| MaD53-2 | Ma10_t07240.1 | 0.0137 | 0.04 | 0.3414 | 4.4492 | ||
| MiD53-2 | Mi_g027998 | 0.0137 | 0.0257 | 0.5315 | 2.8563 | ||
| MbD53-3 | Mba10_g25520.1 | MaD53-3 | Ma10_t29420.1 | 0.0191 | 0.0456 | 0.4183 | 5.0675 |
| MaD53-1 | Ma07_t23940.1 | 0.1255 | 0.3827 | 0.3278 | 42.5194 | ||
| MaD53-1 | Ma07_t23940.1 | MiD53-1 | Mi_g027038 | ||||
| MiD53-2 | Mi_g027998 | 0.1467 | 0.5155 | 0.2846 | 57.2744 | ||
| MaD53-2 | Ma10_t07240.1 | MiD53-2 | Mi_g027998 | 0.0124 | 0.0285 | 0.4363 | 3.1614 |
| Concentration of Hormone | Plant Height/cm |
|---|---|
| CK1 (water) | (15.11 ± 0.43) a |
| GA (50 mg/L) | (16.46 ± 1.23) a |
| GA (100 mg/L) | (17.13 ± 1.27) a |
| GA (200 mg/L) | (16.56 ± 0.95) a |
| CK2 (water) | (17.99 ± 0.41) a |
| GR24 (5 μM) | (18.53 ± 0.53) a |
| GR24 (10 μM) | (18.34 ± 0.49) a |
| Gene | Primer Sequences (5′→3′) | Size (bp) |
|---|---|---|
| MaD53-1 | qF: ACACGGAGAGGACCTGCAATC qR: GATACTCTTGCTGGCTGCGGTG | 125 |
| MaD53-2 | qF: GATTACCACAGCGAGCCAGAG qR: ACAGAGGAAGGTGAAGCGTG | 162 |
| MaD53-3 | qF: GAATTGCCGGAGGATAGGGG qR: ATTCCATGTAGCTCTGGCGG | 153 |
| MaUBQ2 | qF: GGCACCACAAACAACACAGG qR: AGACGAGCAAGGCTTCCATT | 379 |
| MaCAC | qF:CTCCTATGTTGCTCGCTTATG qR: GGCTACTACTTCGGTTCTTTC | 146 |
Disclaimer/Publisher’s Note: The statements, opinions and data contained in all publications are solely those of the individual author(s) and contributor(s) and not of MDPI and/or the editor(s). MDPI and/or the editor(s) disclaim responsibility for any injury to people or property resulting from any ideas, methods, instructions or products referred to in the content. |
© 2024 by the authors. Licensee MDPI, Basel, Switzerland. This article is an open access article distributed under the terms and conditions of the Creative Commons Attribution (CC BY) license (https://creativecommons.org/licenses/by/4.0/).
Share and Cite
Tong, N.; Zhang, C.; Xu, X.; Zhang, Z.; Li, J.; Liu, Z.; Chen, Y.; Zhang, Z.; Huang, Y.; Lin, Y.; et al. Genome-Wide Identification and Expression Analysis of DWARF53 Gene in Response to GA and SL Related to Plant Height in Banana. Plants 2024, 13, 458. https://doi.org/10.3390/plants13030458
Tong N, Zhang C, Xu X, Zhang Z, Li J, Liu Z, Chen Y, Zhang Z, Huang Y, Lin Y, et al. Genome-Wide Identification and Expression Analysis of DWARF53 Gene in Response to GA and SL Related to Plant Height in Banana. Plants. 2024; 13(3):458. https://doi.org/10.3390/plants13030458
Chicago/Turabian StyleTong, Ning, Chunyu Zhang, Xiaoqiong Xu, Zhilin Zhang, Jiahui Li, Zhaoyang Liu, Yukun Chen, Zihao Zhang, Yuji Huang, Yuling Lin, and et al. 2024. "Genome-Wide Identification and Expression Analysis of DWARF53 Gene in Response to GA and SL Related to Plant Height in Banana" Plants 13, no. 3: 458. https://doi.org/10.3390/plants13030458
APA StyleTong, N., Zhang, C., Xu, X., Zhang, Z., Li, J., Liu, Z., Chen, Y., Zhang, Z., Huang, Y., Lin, Y., & Lai, Z. (2024). Genome-Wide Identification and Expression Analysis of DWARF53 Gene in Response to GA and SL Related to Plant Height in Banana. Plants, 13(3), 458. https://doi.org/10.3390/plants13030458

