Date (Phoenix dactylifera L. cv. Medjool) Seed Flour, a Potential Ingredient for the Food Industry: Effect of Particle Size on Its Chemical, Technological, and Functional Properties
Abstract
1. Introduction
2. Results
2.1. Chemical Composition
2.1.1. Mineral Profile
2.1.2. Fatty Acid Profile
2.2. Physicochemical Properties
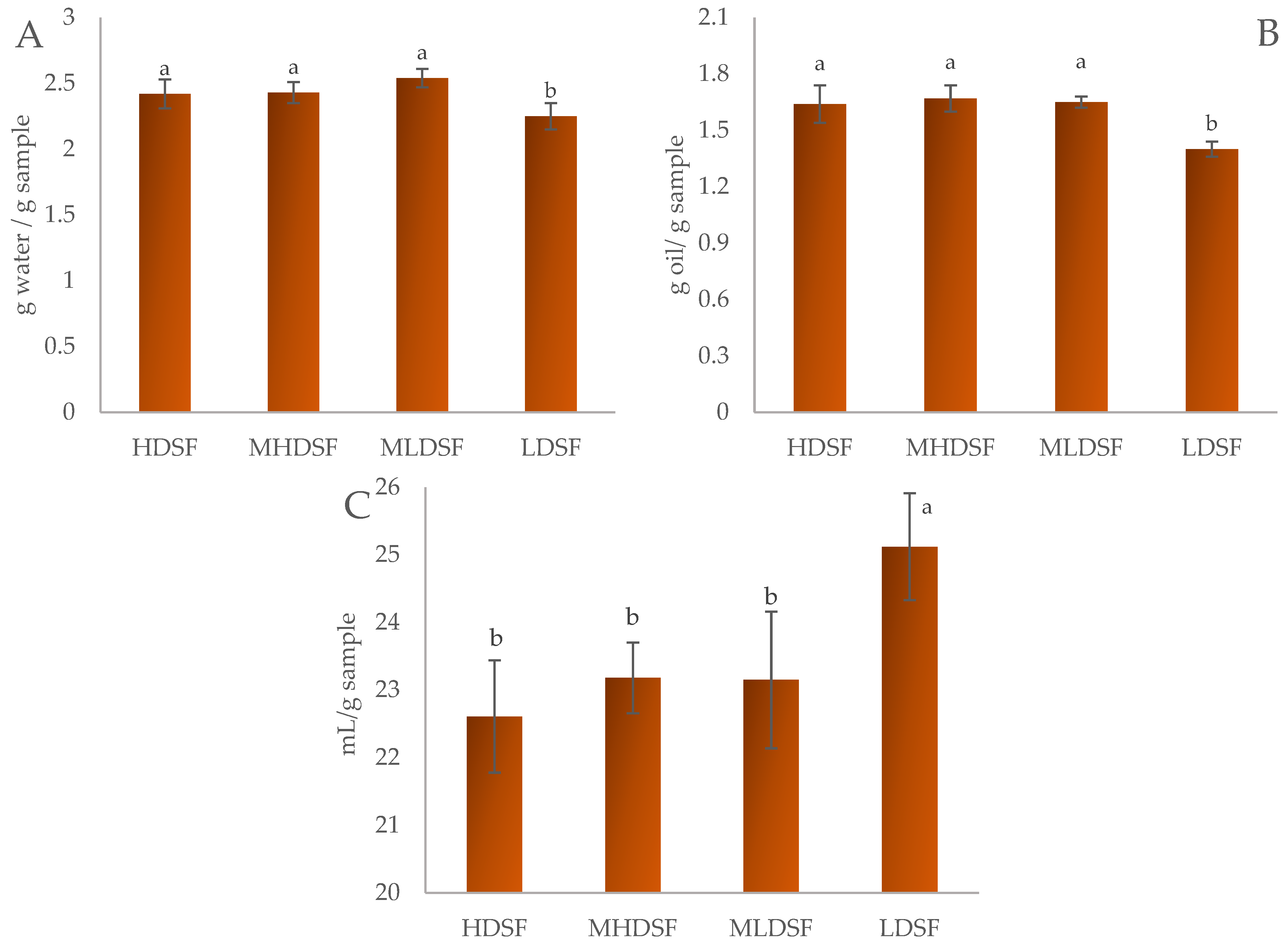
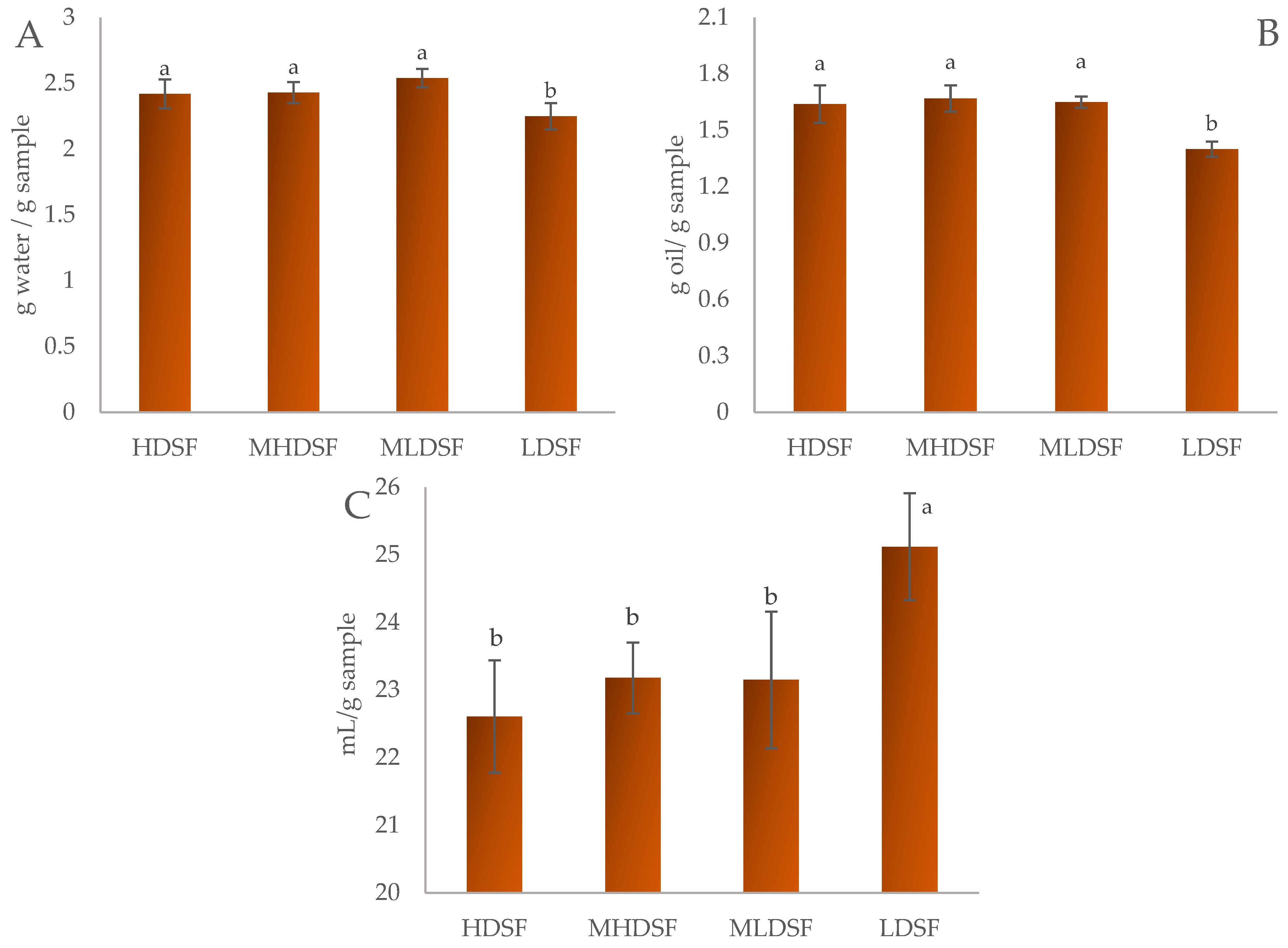
2.3. Techno-Functional Properties
2.4. Polyphenolic Profile
2.5. Antioxidant Activity
3. Materials and Methods
3.1. Date Seed Flour
3.2. Chemical Composition
3.3. Physicochemical Properties
3.4. Techno-Functional Properties
3.5. Polyphenol Content
3.6. Antioxidant Activity
3.7. Statistical Analysis
4. Conclusions
Author Contributions
Funding
Data Availability Statement
Acknowledgments
Conflicts of Interest
References
- Puertas, R.; Guaita-Martinez, J.M.; Carracedo, P.; Ribeiro-Soriano, D. Analysis of European environmental policies: Improving decision making through eco-efficiency. Technol. Soc. 2022, 70, 102053. [Google Scholar] [CrossRef]
- Ribeiro, T.B.; Voss, G.B.; Coelho, M.C.; Pintado, M.E. Food waste and by-product valorization as an integrated approach with zero waste: Future challenges. In Future Foods: Global Trends, Opportunities, and Sustainability Challenges; Academic Press: Cambridge, MA, USA, 2022; pp. 569–596. [Google Scholar] [CrossRef]
- More, P.R.; Jambrak, A.R.; Arya, S.S. Green, environment-friendly and sustainable techniques for extraction of food bioactive compounds and waste valorization. Trends Food Sci. Technol. 2022, 128, 296–315. [Google Scholar] [CrossRef]
- Oladzad, S.; Fallah, N.; Mahboubi, A.; Afsham, N.; Taherzadeh, M.J. Date fruit processing waste and approaches to its valorization: A review. Bioresour. Technol. 2021, 340, 125625. [Google Scholar] [CrossRef]
- Fernández-López, J.; Viuda-Martos, M.; Sayas-Barberá, E.; Navarro-Rodríguez de Vera, C.; Pérez-Álvarez, J.A. Biological, nutritive, functional, and healthy potential of date palm fruit (Phoenix dactylifera L.): Current research and future prospects. Agronomy 2022, 12, 876. [Google Scholar] [CrossRef]
- Selim, S.; Abdel-Mawgoud, M.; Al-Sharary, T.; Almuhayawi, M.S.; Alruhaili, M.H.; Al Jaouni, S.K.; Warrad, M.; Mohamed, H.S.; Akhtar, N.; Abdelgawad, H. Pits of date palm: Bioactive composition, antibacterial activity and antimutagenicity potentials. Agronomy 2021, 12, 54. [Google Scholar] [CrossRef]
- Gulayin, P.E.; Lozada, A.; Schreier, L.; Gutierrez, L.; López, G.; Poggio, R.; Mores, N.; Ponzo, J.; Calandrelli, M.; Lanas, F.; et al. Elevated Lipoprotein(a) prevalence and association with family history of premature cardiovascular disease in general population with moderate cardiovascular risk and increased LDL cholesterol. IJC Heart Vasc. 2022, 42, 101100. [Google Scholar] [CrossRef]
- Wang, H.; Huang, X.; Tan, H.; Chen, X.; Chen, C.; Nie, S. Interaction between dietary fiber and bifidobacteria in promoting intestinal health. Food Chem. 2022, 393, 133407. [Google Scholar] [CrossRef] [PubMed]
- Ourradi, H.; Ennahli, S.; Viuda Martos, M.; Hernadez, F.; Dilorenzo, C.; Hssaini, L.; Elantari, A.; Hanine, H. Proximate composition of polyphenolic, phytochemical, antioxidant activity content and lipid profiles of date palm seeds oils (Phoenix dactylifera L.). J. Agric. Food Res. 2021, 6, 100217. [Google Scholar] [CrossRef]
- Al-Farsi, M.A.; Lee, C.Y. Nutritional and functional properties of dates: A review. Crit. Rev. Food Sci. Nutr. 2008, 48, 877–887. [Google Scholar] [CrossRef] [PubMed]
- Ahmad, A.; Imtiaz, H. Chemical composition of date pits: Potential to extract and characterize the lipid fraction. In Sustainable Agriculture Reviews 34; Springer: Cham, Switzerland, 2019; pp. 55–77. ISBN 9783030113452. [Google Scholar]
- Maqsood, S.; Adiamo, O.; Ahmad, M.; Mudgil, P. Bioactive compounds from date fruit and seed as potential nutraceutical and functional food ingredients. Food Chem. 2020, 308, 125522. [Google Scholar] [CrossRef]
- Nabil, B.; Ouaabou, R.; Ouhammou, M.; Saadouni, L.; Mahrouz, M. Impact of particle size on functional, physicochemical properties and antioxidant activity of cladode powder (Opuntia ficus-indica). J. Food Sci. Technol. 2020, 57, 943–954. [Google Scholar] [CrossRef]
- Lucas-González, R.; Viuda-Martos, M.; Pérez-Álvarez, J.A.; Fernández-López, J. Evaluation of particle size influence on proximate composition, physicochemical, techno-functional, and physio-functional properties of flours obtained from persimmon (Diospyros kaki Trumb.) co-products. Plant Foods Hum. Nutr. 2017, 72, 67–73. [Google Scholar] [CrossRef] [PubMed]
- Botella-Martínez, C.; Lucas-Gonzalez, R.; Ballester-Costa, C.; Pérez-álvarez, J.A.; Fernández-López, J.; Delgado-Ospina, J.; Chaves-López, C.; Viuda-Martos, M. Ghanaian cocoa (Theobroma cacao L.) bean shells co-products: Effect of particle size on chemical composition, bioactive compound content and antioxidant activity. Agronomy 2021, 11, 401. [Google Scholar] [CrossRef]
- Salomón-Torres, R.; Sol-Uribe, J.A.; Valdez-Salas, B.; García-González, C.; Krueger, R.; Hernández-Balbuena, D.; Norzagaray-Plasencia, S.; García-Vázquez, J.P.; Ortiz-Uribe, N. Effect of four pollinating sources on nutritional properties of Medjool date. Agriculture 2020, 10, 45. [Google Scholar] [CrossRef]
- Salomón-Torres, R.; Ortiz-Uribe, N.; Valdez-Salas, B.; Rosas-González, N.; García-González, C.; Chávez, D.; Córdova-Guerrero, I.; Díaz-Rubio, L.; Del Pilar Haro-Vázquez, M.; Mijangos-Montiel, J.L.; et al. Nutritional assessment, phytochemical composition and antioxidant analysis of the pulp and seed of medjool date grown in Mexico. PeerJ 2019, 7, e6821. [Google Scholar] [CrossRef] [PubMed]
- Vinita; Punia, D. Dietary fiber and mineral composition of date palm (Phoenix dactylifera L.) seeds. J. Pharmacogn. Phytochem. 2018, 7, 697–699. [Google Scholar]
- Shah, B.R.; Li, B.; Al Sabbah, H.; Xu, W.; Mráz, J. Effects of prebiotic dietary fibers and probiotics on human health: With special focus on recent advancement in their encapsulated formulations. Trends Food Sci. Technol. 2020, 102, 178–192. [Google Scholar] [CrossRef] [PubMed]
- Bijami, A.; Rezanejad, F.; Oloumi, H.; Mozafari, H. Minerals, antioxidant compounds and phenolic profile regarding date palm (Phoenix dactylifera L.) seed development. Sci. Hortic. 2020, 262, 109017. [Google Scholar] [CrossRef]
- Mrabet, A.; Jiménez-Araujo, A.; Guillén-Bejarano, R.; Rodríguez-Arcos, R.; Sindic, M. Date seeds: A promising source of oil with functional properties. Foods 2020, 9, 787. [Google Scholar] [CrossRef]
- Labanca, R.A.; Svelander, C.; Alminger, M. Effect of particle size of chia seeds on bioaccessibility of phenolic compounds during in vitro digestion. Cogent Food Agric. 2019, 5, 1694775. [Google Scholar] [CrossRef]
- Savlak, N.; Türker, B.; Yeşilkanat, N. Effects of particle size distribution on some physical, chemical, and functional properties of unripe banana flour. Food Chem. 2016, 213, 180–186. [Google Scholar] [CrossRef]
- Ahmed, J.; Taher, A.; Mulla, M.Z.; Al-Hazza, A.; Luciano, G. Effect of sieve particle size on functional, thermal, rheological, and pasting properties of Indian and Turkish lentil flour. J. Food Eng. 2016, 186, 34–41. [Google Scholar] [CrossRef]
- Bouaziz, M.A.; Bchir, B.; Ben Salah, T.; Mokni, A.; Ben Hlima, H.; Smaoui, S.; Attia, H.; Besbes, S. Use of endemic date palm (Phoenix dactylifera L.) seeds as an insoluble dietary fiber: Effect on turkey meat quality. J. Food Qual. 2020, 2020, 13. [Google Scholar] [CrossRef]
- Bouaziz, M.A.; Amara, W.B.; Attia, H.; Blecker, C.; Besbes, S. Effect of the addition of defatted date seeds on wheat dough performance and bread quality. J. Texture Stud. 2010, 41, 511–531. [Google Scholar] [CrossRef]
- Noort, M.W.J.; van Haaster, D.; Hemery, Y.; Schols, H.A.; Hamer, R.J. The effect of particle size of wheat bran fractions on bread quality—Evidence for fibre-protein interactions. J. Cereal Sci. 2010, 52, 59–64. [Google Scholar] [CrossRef]
- Kelany, M.; Yemiş, O. Improving the functional performance of date seed protein concentrate by High-Intensity Ultrasonic treatment. Molecules 2023, 28, 209. [Google Scholar] [CrossRef]
- Gökşen, G.; Durkan, Ö.; Sayar, S.; Ekiz, H.İ. Potential of date seeds as a functional food components. Food Measure 2018, 12, 1904–1909. [Google Scholar] [CrossRef]
- Zaiter, A.; Becker, L.; Baudelaire, E.; Dicko, A. Optimum polyphenol and triterpene contents of Hedera helix (L.) and Scrophularia nodosa (L.): The role of powder particle size. Microchem. J. 2018, 137, 168–173. [Google Scholar] [CrossRef]
- Pătrăuţanu, O.A.; Lazăr, L.; Popa, V.I.; Volf, I. Influence of particle size and size distribution on kinetic mechanism of spruce bark polyphenols extraction. Cellulose Chem. Technol. 2019, 53, 71–78. [Google Scholar] [CrossRef]
- Meullemiestre, A.; Petitcolas, E.; Maache-Rezzoug, Z.; Chemat, F.; Rezzoug, S.A. Impact of ultrasound on solid-liquid extraction of phenolic compounds from maritime pine sawdust waste. Kinetics, optimization and large scale experiments. Ultrason. Sonochem. 2016, 28, 230–239. [Google Scholar] [CrossRef]
- Ranasinghe, M.; Mostafa, H.; Sivapragasam, N.; Stathopoulos, C.; Manikas, I.; Maqsood, S. Sustainable approach for defatted date seed valorization through ultrasonication-based green extraction: A prospective approach for nutraceutical applications. Sustain. Chem. Pharm. 2023, 35, 101138. [Google Scholar] [CrossRef]
- Bouhlali, E.d.T.; Hmidani, A.; Bourkhis, B.; Khouya, T.; Ramchoun, M.; Filali-Zegzouti, Y.; Alem, C. Phenolic profile and anti-inflammatory activity of four Moroccan date (Phoenix dactylifera L.) seed varieties. Heliyon 2020, 6, e03436. [Google Scholar] [CrossRef]
- Al Juhaimi, F.; Özcan, M.M.; Adiamo, O.Q.; Alsawmahi, O.N.; Ghafoor, K.; Babiker, E. Effect of date varieties on physicochemical properties, fatty acid composition, tocopherol contents, and phenolic compounds of some date seed and oils. J. Food Process. Preserv. 2018, 42, e13584. [Google Scholar] [CrossRef]
- Bouhlali, E.d.T.; El Hilaly, J.; Ennassir, J.; Benlyas, M.; Alem, C.; Amarouch, M.Y.; Filali-Zegzouti, Y. Anti-inflammatory properties and phenolic profile of six Moroccan date fruit (Phoenix dactylifera L.) varieties. J. King Saud Uni. Sci. 2018, 30, 519–526. [Google Scholar] [CrossRef]
- Djaoudene, O.; Mansinhos, I.; Gonçalves, S.; Jara-Palacios, M.J.; Bachir bey, M.; Romano, A. Phenolic profile, antioxidant activity and enzyme inhibitory capacities of fruit and seed extracts from different Algerian cultivars of date (Phoenix dactylifera L.) were affected by in vitro simulated gastrointestinal digestion. S. Afr. J. Bot. 2021, 137, 133–148. [Google Scholar] [CrossRef]
- Bouhlali, E.d.T.; Alem, C.; Ennassir, J.; Benlyas, M.; Mbark, A.N.; Zegzouti, Y.F. Phytochemical compositions and antioxidant capacity of three date (Phoenix dactylifera L.) seeds varieties grown in the South East Morocco. J. Saudi Soc. Agric. Sci. 2017, 16, 350–357. [Google Scholar] [CrossRef]
- AOAC. Official Methods of Analysis, 18th ed.; Association of Official Analytical Chemists: Gaithersburgs, MD, USA, 2006. [Google Scholar]
- Folch, J.; Lees, M.; Sloane Stanley, G.H. A simple method for the isolation and purification of total lipides from animal tissues. J. Biol. Chem. 1957, 226, 497–509. [Google Scholar] [CrossRef]
- AOAC. Official Methods of Analysis of AOAC International; AOAC: Washington, DC, USA, 2010. [Google Scholar]
- Pellegrini, M.; Lucas-Gonzales, R.; Ricci, A.; Fontecha, J.; Fernández-López, J.; Pérez-Álvarez, J.A.; Viuda-Martos, M. Chemical, fatty acid, polyphenolic profile, techno-functional and antioxidant properties of flours obtained from quinoa (Chenopodium quinoa Willd) seeds. Ind. Crops Prod. 2018, 111, 38–46. [Google Scholar] [CrossRef]
- Muñoz-Bas, C.; Muñoz-Tebar, N.; Candela-Salvador, L.; Sayas-Barberá, E.; Viuda-Martos, M.; Pérez-Alvarez, J.A.; Fernández-López, J. Development of value-added products suitable for food applications from fresh date fruit (Confitera cv.) and its co-products. Food Bioprocess Technol. 2023. [Google Scholar] [CrossRef]
- Genskowsky, E.; Puente, L.A.; Pérez-Álvarez, J.A.; Fernández-López, J.; Muñoz, L.A.; Viuda-Martos, M. Determination of polyphenolic profile, antioxidant activity and antibacterial properties of maqui [Aristotelia chilensis (Molina) Stuntz] a Chilean blackberry. J. Sci. Food Agric. 2016, 96, 4235–4242. [Google Scholar] [CrossRef]
- Brand-Williams, W.; Cuvelier, M.E.; Berset, C. Use of a free radical method to evaluate antioxidant activity. LWT Food Sci. Technol. 1995, 28, 25–30. [Google Scholar] [CrossRef]
- Gullon, B.; Pintado, M.E.; Barber, X.; Fernández-López, J.; Pérez-Álvarez, J.A.; Viuda-Martos, M. Bioaccessibility, changes in the antioxidant potential and colonic fermentation of date pits and apple bagasse flours obtained from co-products during simulated in vitro gastrointestinal digestion. Food Res. Int. 2015, 78, 169–176. [Google Scholar] [CrossRef] [PubMed]
- Oyaizu, M. Studies on products of browning reaction. Antioxidative activities of products of browning reaction prepared from glucosamine. Jpn. J. Nutr. Diet. 1986, 44, 307–315. [Google Scholar] [CrossRef]



| Moisture | Protein | Fat | Ash | Total Dietary Fiber | |
|---|---|---|---|---|---|
| HDSF | 12.03 ± 0.36 a | 4.47 ± 0.09 a | 2.73 ± 0.27 d | 2.87 ± 0.18 a | 76.67 ± 0.81 a |
| MHDSF | 10.25 ± 0.11 b | 4.01 ± 0.04 b | 3.35 ± 0.22 c | 2.70 ± 0.12 a | 72.78 ± 0.98 b |
| MLDSF | 9.30 ± 0.08 c | 3.82 ± 0.05 c | 4.19 ± 0.19 b | 2.87 ± 0.07 a | 70.42 ± 0.75 b |
| LDSF | 9.06 ± 0.12 d | 3.64 ± 0.03 d | 5.01 ± 0.12 a | 2.93 ± 0.48 a | 67.89 ± 0.51 c |
| Calcium | Iron | Potasium | Copper | Zinc | Manganese | Magnesium | Sodium | |
|---|---|---|---|---|---|---|---|---|
| HDSF | 157.97 ± 3.55 aC | 9.33 ± 0.09 aE | 552.13 ± 6.87 dA | 0.49 ± 0.05 aG | 0.52 ± 0.01 aG | 51.98 ± 1.07 aD | 8.53 ± 0.37 aF | 212.36 ± 13.11 aB |
| MHDSF | 152.56 ± 4.69 bC | 10.65 ± 0.43 cE | 595.30 ± 5.97 cA | 0.53 ± 0.00 aG | 0.53 ± 0.01 aG | 53.48 ± 1.12 aD | 9.09 ± 0.17 aF | 192.74 ± 22.71 aB |
| MLDSF | 165.48 ± 5.34 cC | 12.74 ± 0.55 bE | 623.23 ± 8.84 bA | 0.51 ± 0.01 aG | 0.54 ± 0.01 aG | 53.27 ± 1.26 aD | 9.11 ± 0.13 aF | 213.70 ± 10.71 aB |
| LDSF | 175.06 ± 2.36 dC | 17.63 ± 1.46 aE | 642.05 ± 7.90 aA | 0.51 ± 0.03 aG | 0.55 ± 0.01 aG | 52.12 ± 0.23 aD | 12.15 ± 0.07 bF | 218.98 ± 18.08 aB |
| Lauric Acid | Myristic Acid | Palmitic Acid | Stearic Acid | Oleic Acid | Linoleic Acid | |
|---|---|---|---|---|---|---|
| HDSF | 5.48 ± 0.37 aB | 2.57 ± 0.23 aC | 2.41 ± 0.15 aC | 0.92 ± 0.15 aE | 11.23 ± 0.78 aA | 2.18 ± 0.12 aD |
| MHDSF | 7.23 ± 0.14 bB | 3.49 ± 0.06 bC | 3.17 ± 0.11 bC | 1.20 ± 0.08 bE | 14.91 ± 0.12 bA | 2.78 ± 0.18 bD |
| MLDSF | 9.71 ± 0.10 cB | 4.62 ± 0.11 cC | 4.04 ± 0.12 cD | 1.51 ± 0.10 cF | 19.07 ± 0.14 cA | 3.49 ± 0.09 dE |
| LDSF | 10.88 ± 0.16 dB | 5.29 ± 0.04 dC | 4.72 ± 0.07 dD | 1.75 ± 0.05 dF | 22.79 ± 0.23 dA | 4.14 ± 0.03 dE |
| pH | Aw | Color Coordinates | |||
|---|---|---|---|---|---|
| L* | a* | b* | |||
| HDSF | 5.55 ± 0.09 b | 0.523 ± 0.000 a | 51.98 ± 1.07 a | 8.53 ± 0.37 a | 11.84 ± 0.62 a |
| MHDSF | 4.86 ± 0.04 a | 0.534 ± 0.002 b | 53.48 ± 1.12 a | 9.09 ± 0.17 a | 13.09 ± 0.55 b |
| MLDSF | 4.88 ± 0.04 a | 0.544 ± 0.001 c | 53.27 ± 1.26 a | 9.81 ± 0.13 b | 13.36 ± 0.16 b |
| LDSF | 4.93 ± 0.03 a | 0.555 ± 0.003 d | 52.12 ± 0.23 a | 12.15 ± 0.07 c | 13.59 ± 0.08 b |
| HDSF | MHDSF | MLDSF | LDSF | |
|---|---|---|---|---|
| Protocatechuic acid | 0.38 ± 0.02 dH | 0.48 ± 0.03 cF | 0.55 ± 0.04 bG | 0.65 ± 0.04 aH |
| Catechin | 10.57 ± 0.29 dA | 13.05 ± 0.32 cA | 16.93 ± 0.28 bA | 19.94 ± 0.15 aA |
| Epicatechin | 7.70 ± 0.15 dB | 9.55 ± 0.23 cB | 11.98 ± 0.19 bC | 15.67 ± 0.21 aB |
| Epigallocatechin-3-gallate | 6.27 ± 0.19 dC | 8.93 ± 0.20 cB | 13.19 ± 0.31 bB | 15.71 ± 0.22 aB |
| Gallocatechin-3-gallate | 0.54 ± 0.03 dG | 0.81 ± 0.05 cE | 1.31 ± 0.04 bE | 1.69 ± 0.07 aE |
| caffeic acid | 0.70 ± 0.06 cF | 0.72 ± 0.05 cEF | 0.92 ± 0.06 bF | 1.24 ± 0.08 aF |
| 5-O-Caffeoylshikimic acid | 0.63 ± 0.05 cF | 0.67 ± 0.04 cF | 0.87 ± 0.03 bF | 1.23 ± 0.09 aF |
| 4-O-Caffeoylshikimic acid | 0.36 ± 0.04 bH | 0.38 ± 0.04 bG | 0.37 ± 0.03 bH | 0.58 ± 0.05 aH |
| 3-O-Caffeoylshikimic acid | 0.20 ± 0.02 aI | 0.19 ± 0.03 aH | 0.18 ± 0.02 aI | 0.18 ± 0.01 aI |
| p-Coumaric | 1.68 ± 0.12 cD | 2.07 ± 0.16 bC | 2.16 ± 0.13 bD | 2.77 ± 0.12 aC |
| Quercetin 3-rutinoside | 0.99 ± 0.08 cE | 1.15 ± 0.16 bD | 1.34 ± 0.12 bE | 2.01 ± 0.28 aD |
| Quercetin 3-β-d-glucoside | 0.51 ± 0.02 aG | 0.53 ± 0.02 aF | 0.54 ± 0.04 aG | 0.60 ± 0.04 aH |
| Quercetin 3-rhamnoside | 0.85 ± 0.03 aE | 0.83 ± 0.03 aE | 0.87 ± 0.02 aF | 0.84 ± 0.03 aG |
Disclaimer/Publisher’s Note: The statements, opinions and data contained in all publications are solely those of the individual author(s) and contributor(s) and not of MDPI and/or the editor(s). MDPI and/or the editor(s) disclaim responsibility for any injury to people or property resulting from any ideas, methods, instructions or products referred to in the content. |
© 2024 by the authors. Licensee MDPI, Basel, Switzerland. This article is an open access article distributed under the terms and conditions of the Creative Commons Attribution (CC BY) license (https://creativecommons.org/licenses/by/4.0/).
Share and Cite
Muñoz-Tebar, N.; Candela-Salvador, L.; Pérez-Álvarez, J.Á.; Lorenzo, J.M.; Fernández-López, J.; Viuda-Martos, M. Date (Phoenix dactylifera L. cv. Medjool) Seed Flour, a Potential Ingredient for the Food Industry: Effect of Particle Size on Its Chemical, Technological, and Functional Properties. Plants 2024, 13, 335. https://doi.org/10.3390/plants13030335
Muñoz-Tebar N, Candela-Salvador L, Pérez-Álvarez JÁ, Lorenzo JM, Fernández-López J, Viuda-Martos M. Date (Phoenix dactylifera L. cv. Medjool) Seed Flour, a Potential Ingredient for the Food Industry: Effect of Particle Size on Its Chemical, Technological, and Functional Properties. Plants. 2024; 13(3):335. https://doi.org/10.3390/plants13030335
Chicago/Turabian StyleMuñoz-Tebar, Nuria, Laura Candela-Salvador, José Ángel Pérez-Álvarez, José Manuel Lorenzo, Juana Fernández-López, and Manuel Viuda-Martos. 2024. "Date (Phoenix dactylifera L. cv. Medjool) Seed Flour, a Potential Ingredient for the Food Industry: Effect of Particle Size on Its Chemical, Technological, and Functional Properties" Plants 13, no. 3: 335. https://doi.org/10.3390/plants13030335
APA StyleMuñoz-Tebar, N., Candela-Salvador, L., Pérez-Álvarez, J. Á., Lorenzo, J. M., Fernández-López, J., & Viuda-Martos, M. (2024). Date (Phoenix dactylifera L. cv. Medjool) Seed Flour, a Potential Ingredient for the Food Industry: Effect of Particle Size on Its Chemical, Technological, and Functional Properties. Plants, 13(3), 335. https://doi.org/10.3390/plants13030335

