Defense-Related Enzyme Activities and Metabolomic Analysis Reveal Differentially Accumulated Metabolites and Response Pathways for Sheath Blight Resistance in Rice
Abstract
1. Introduction
2. Results and Discussion
2.1. Phenoty Ences in Response to R. solani Infection Between Tolerant and Susceptible Rice Cultivars
2.2. ROS Response to R. solani Between Tolerant and Susceptible Rice Cultivars
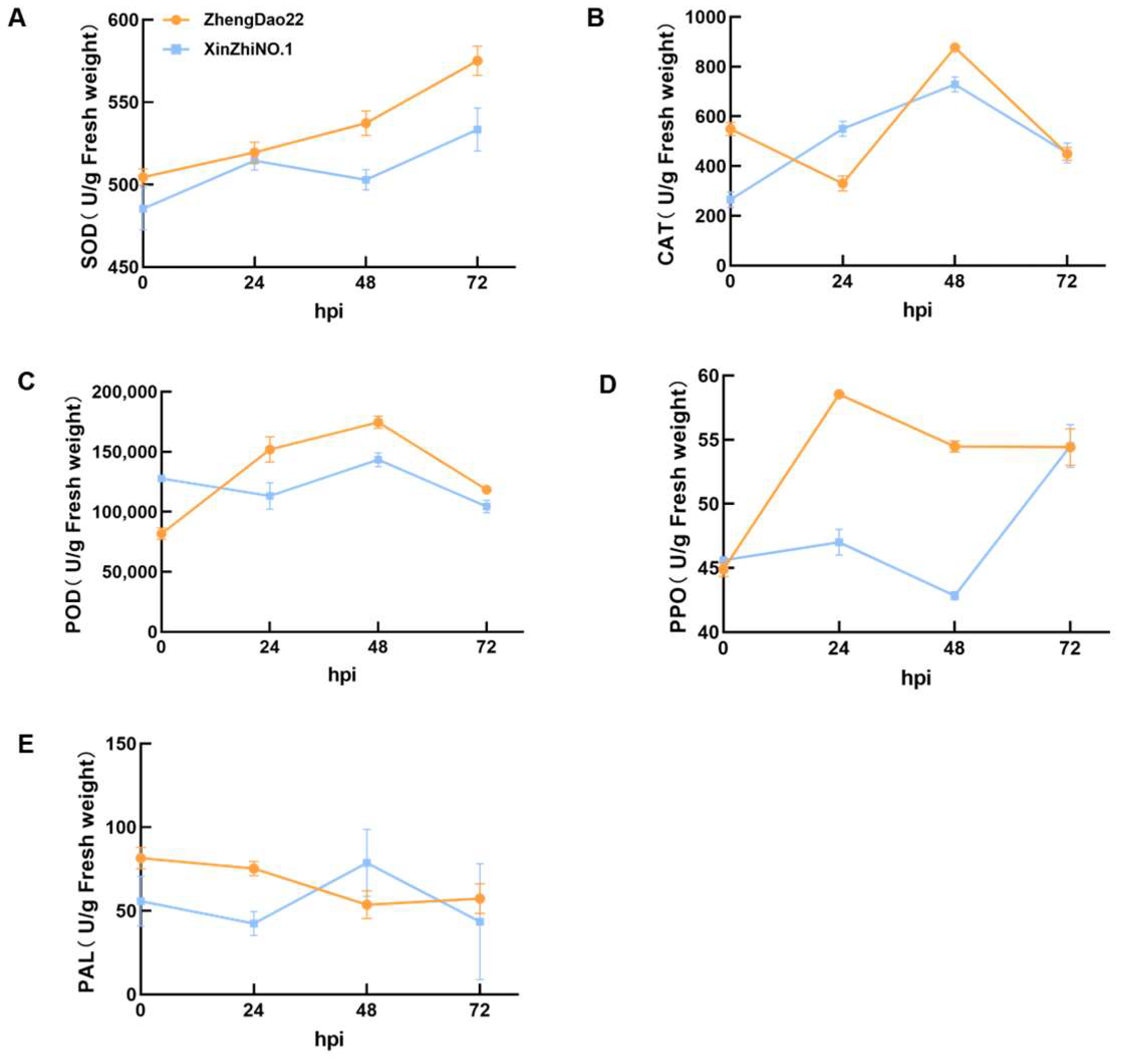
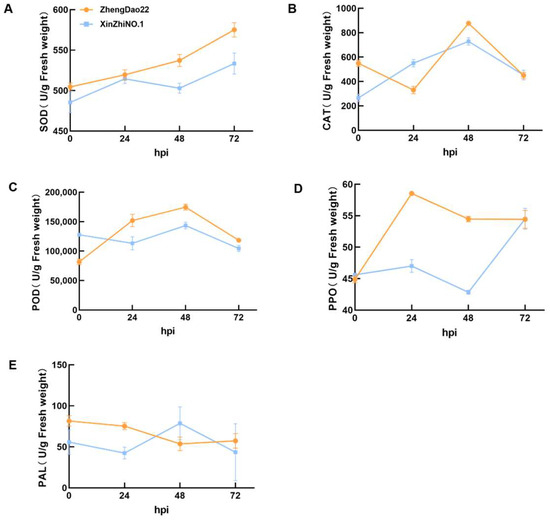
2.3. Dynamic Changes in Defense Enzyme Activities in Tolerant and Susceptible Rice Cultivars Following R. solani Infection
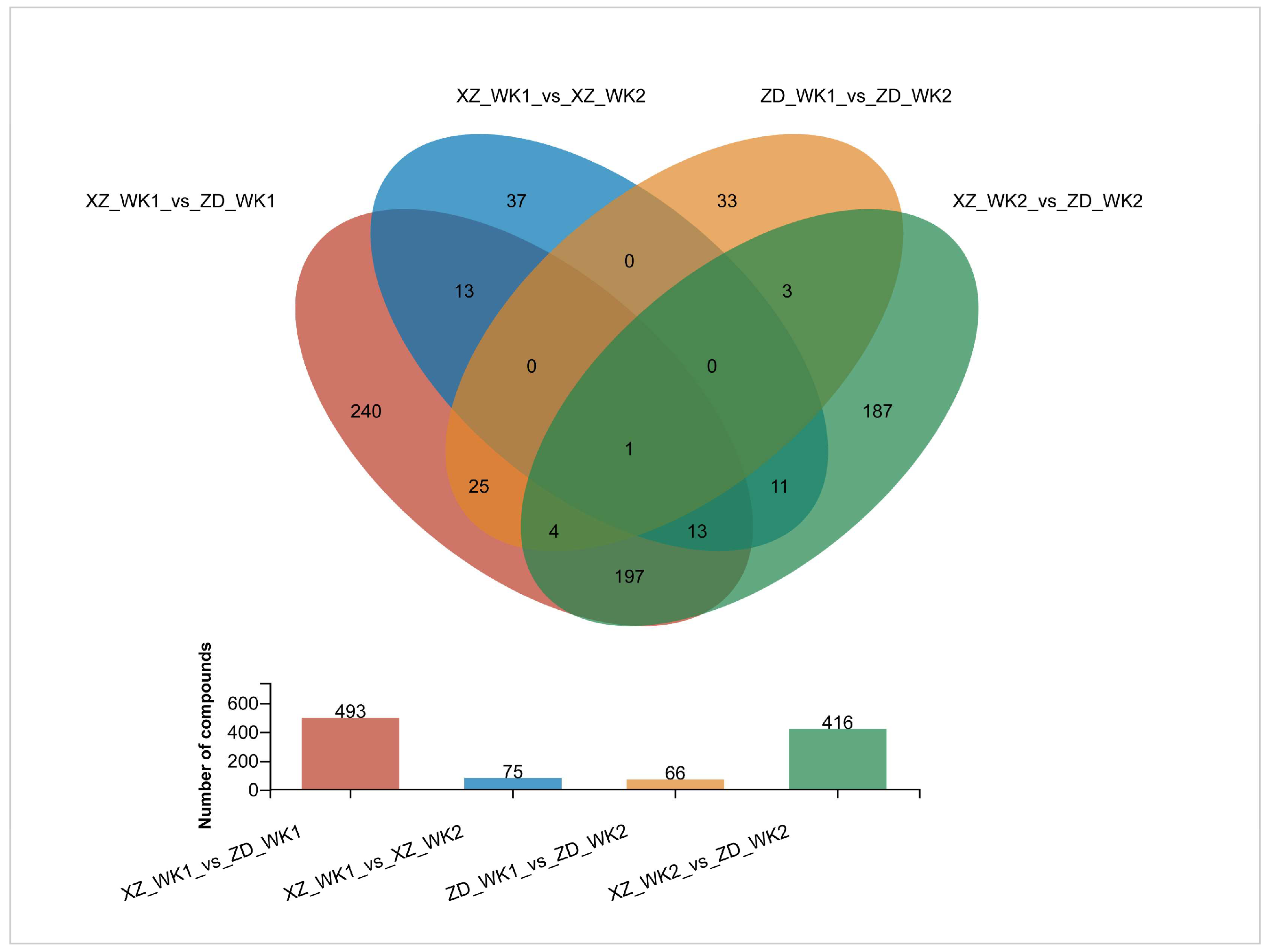
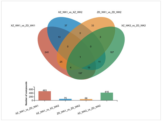
2.4. Metabolic Profiling via Ultra-Performance LC-MS Analysis
2.5. Metabolomic Differences Between Tolerant and Susceptible Rice Cultivars in Response to R. solani
2.6. Analysis of the Inhibitory Effect of P-Coumaraldehyde Against Pathogens
2.7. DAMs Related to RSB Resistance
2.8. Metabolic Pathways of Related to Rice RSB Resistance
3. Materials and Methods
3.1. Plant Materials and Growth Conditions
3.2. R. solani Strains, Culture Conditions, and Inoculation
3.3. Colonization Observation of R. solani
3.4. Enzyme Activity Determination
3.5. Stress Tolerance Assay
3.6. Untargeted Metabolomic Profiling
3.7. Data Analysis
4. Conclusions
Supplementary Materials
Author Contributions
Funding
Data Availability Statement
Conflicts of Interest
References
- Bhaskar Rao, T.; Chopperla, R.; Prathi, N.B.; Balakrishnan, M.; Prakasam, V.; Laha, G.S.; Balachandran, S.M.; Mangrauthia, S.K. A comprehensive gene expression profile of pectin degradation enzymes reveals the molecular events during cell wall degradation and pathogenesis of rice sheath blight pathogen Rhizoctonia solani AG1-IA. J. Fungi 2020, 6, 71. [Google Scholar] [CrossRef] [PubMed]
- Molla, K.A.; Karmakar, S.; Molla, J.; Bajaj, P.; Varshney, R.K.; Datta, S.K.; Datta, K. Understanding sheath blight resistance in rice: The road behind and the road ahead. Plant Biotechnol. J. 2020, 18, 895–915. [Google Scholar] [CrossRef] [PubMed]
- Zheng, A.; Lin, R.; Zhang, D.; Qin, P.; Xu, L.; Ai, P.; Ding, L.; Wang, Y.; Chen, Y.; Liu, Y.; et al. The evolution and pathogenic mechanisms of the rice sheath blight pathogen. Nat. Commun. 2013, 4, 1424. [Google Scholar] [CrossRef] [PubMed]
- Zhu, G.; Liang, E.; Lan, X.; Li, Q.; Qian, J.; Tao, H.; Zhang, M.; Xiao, N.; Zuo, S.; Chen, J.; et al. ZmPGIP3 gene encodes a polygalacturonase-inhibiting protein that enhances resistance to sheath blight in rice. Phytopathology 2019, 109, 1732–1740. [Google Scholar] [CrossRef] [PubMed]
- Garg, S.; Kumar, D.R.; Yadav, S.; Yadav, J. Alternaria blight of tomato: A review of disease and pathogen management approaches. Acta Sci. Agric. 2020, 11, 8–15. [Google Scholar] [CrossRef]
- Singh, P.; Mazumdar, P.; Harikrishna, J.A.; Babu, S. Sheath blight of rice: A review and identification of priorities for future research. Planta 2019, 250, 387–1407. [Google Scholar] [CrossRef]
- Chen, J.; Xuan, Y.; Yi, J.; Xiao, G.; Yuan, P.; Li, D. Progress in rice sheath blight resistance research. Front. Plant Sci. 2023, 14, 1141697. [Google Scholar]
- Bigeard, J.; Colcombet, J.; Hirt, H. Signaling mechanisms in pattern-triggered immunity (PTI). Mol. Plant 2015, 8, 521–539. [Google Scholar] [CrossRef]
- Yu, X.; Feng, B.; He, P.; Shan, L. From chaos to harmony: Responses and signaling upon microbial pattern recognition. Annu. Rev. Phytopathol. 2017, 55, 109–137. [Google Scholar] [CrossRef]
- Liu, X.; Cai, Y.; Zhang, X.; Zhang, H.; Zheng, X.; Zhang, Z. Carbamoyl phosphate synthetase subunit moCpa2 affects development and pathogenicity by modulating arginine biosynthesis in Magnaporthe oryzae. Front. Microbiol. 2016, 19, 7. [Google Scholar] [CrossRef]
- Li, D.; Li, S.; Wei, S.; Sun, W. Strategies to manage rice sheath blight: Lessons from interactions between rice and Rhizoctonia solani. Rice 2021, 14, 21. [Google Scholar] [CrossRef] [PubMed]
- Brooks, S.A. Sensitivity to a phytotoxin from Rhizoctonia solani correlates with sheath blight susceptibility in rice. Phytopathology 2007, 97, 1207–1212. [Google Scholar] [CrossRef] [PubMed]
- Lin, R.; He, L.; He, J.; Qin, P.; Wang, Y.; Deng, Q.; Yang, X.; Li, S.; Wang, S.; Wang, W.; et al. Comprehensive analysis of microRNA-Seq and target mRNAs of rice sheath blight pathogen provides new insights into pathogenic regulatory mechanisms. DNA Res. 2016, 23, 415–425. [Google Scholar] [CrossRef] [PubMed]
- Oreiro, E.G.; Grimares, E.K.; Atienza-Grande, G.; Quibod, I.L.; Roman-Reyna, V.; Oliva, R. Genome-Wide associations and transcriptional profiling reveal ROS regulation as one underlying mechanism of sheath blight resistance in rice. Mol. Plant Microbe Interact. 2020, 33, 212–222. [Google Scholar] [CrossRef] [PubMed]
- Molla, K.A.; Karmakar, S.; Chanda, P.K.; Ghosh, S.; Sarkar, S.N.; Datta, S.K.; Datta, K. Rice oxalate oxidase gene driven by green tissue-specific promoter increases tolerance to sheath blight pathogen (Rhizoctonia solani) in transgenic rice. Mol. Plant Pathol. 2013, 14, 910–922. [Google Scholar] [CrossRef]
- Wang, A.; Shu, X.; Jing, X.; Jiao, C.; Chen, L.; Zhang, J.; Ma, L.; Jiang, Y.; Yamamoto, N.; Li, S.; et al. Identification of rice (Oryza sativa L.) genes involved in sheath blight resistance via a genome-wide association study. Plant Biotechnol. J. 2021, 19, 1553–1566. [Google Scholar] [CrossRef]
- Alam, N.B.; Ghosh, A. Comprehensive analysis and transcript profiling of Arabidopsis thaliana and Oryza sativa catalase gene family suggests their specific roles in development and stress responses. Plant Physiol. Biochem. 2017, 123, 54–64. [Google Scholar] [CrossRef]
- Bindschedler, L.V.; Dewdney, J.; Blee, K.A.; Stone, J.M.; Asai, T.; Plotnikov, J.; Denoux, C.; Hayes, T.; Gerrish, C.; Davies, D.R.; et al. Peroxidase-dependent apoplastic oxidative burst in Arabidopsis required for pathogen resistance. Plant J. 2006, 47, 851–863. [Google Scholar] [CrossRef]
- Yang, X.; Yan, S.; Li, Y.; Li, G.; Sun, S.; Li, J.; Cui, Z.; Huo, J.; Sun, Y.; Wang, X.; et al. Comparison of transcriptome between tolerant and susceptible rice cultivar reveals positive and negative regulators of response to Rhizoctonia solani in rice. Int. J. Mol. Sci. 2023, 24, 14310. [Google Scholar] [CrossRef]
- Zhang, J.; Chen, L.; Fu, C.; Wang, L.; Liu, H.; Cheng, Y.; Li, S.; Deng, Q.; Wang, S.; Zhu, J.; et al. Comparative transcriptome analyses of gene expression changes triggered by Rhizoctonia solani AG1 IA infection in resistant and susceptible rice varieties. Front. Plant Sci. 2017, 8, 1422. [Google Scholar] [CrossRef]
- Shi, W.; Zhao, S.-L.; Liu, K.; Sun, Y.-B.; Ni, Z.-B.; Zhang, G.-Y.; Tang, H.-S.; Zhu, J.-W.; Wan, B.-J.; Sun, H.-Q.; et al. Comparison of leaf transcriptome in response to Rhizoctonia solani infection between resistant and susceptible rice cultivars. BMC Genom. 2020, 21, 245. [Google Scholar] [CrossRef] [PubMed]
- Varbanova, M.; Porter, K.; Lu, F.; Ralph, J.; Hammerschmidt, R.; Jones, A.D.; Day, B. Molecular and biochemical basis for stress-induced accumulation of free and bound p-coumaraldehyde in cucumber. Plant Physiol. 2011, 157, 1056–1066. [Google Scholar] [CrossRef] [PubMed]
- Sang, Y.; Macho, A.P. Analysis of PAMP-triggered ROS burst in plant immunity. Methods Mol. Biol. 2017, 1578, 143–153. [Google Scholar] [PubMed]
- El-Komy, M.H. Comparative analysis of defense responses in chocolate spot-resistant and -susceptible Faba Bean (Vicia faba) cultivars following infection by the necrotrophic fungus Botrytis fabae. Plant Pathol. J. 2014, 30, 355–366. [Google Scholar] [CrossRef]
- Yang, X.; Yan, S.; Li, G.; Li, Y.; Li, J.; Cui, Z.; Sun, S.; Huo, J.; Sun, Y. Rice-Magnaporthe oryzae interactions in resistant and susceptible rice cultivars under panicle blast infection based on defense-related enzyme activities and metabolomics. PLoS ONE 2024, 19, e0299999. [Google Scholar] [CrossRef]
- Navarro, B.B.; Del Frari, B.K.; Dias, P.V.d.C.; Lemainski, L.E.; Mario, R.B.; Ponte, L.R.; Goergen, A.; Tarouco, C.P.; Neves, V.M.; Dressler, V.L.; et al. The copper economy response is partially conserved in rice (Oryza sativa L.). Plant Physiol. Biochem. 2020, 158, 113–124. [Google Scholar] [CrossRef]
- Sanya, R.P.; Samant, A.; Prashar, V.; Misra, H.S.; Saini, A. Biochemical and functional characterization of OsCSD3, a novel CuZn superoxide dismutase from rice. Biochem. J. 2018, 475, 3105–3121. [Google Scholar]
- Alfatih, A.; Wu, J.; Jan, S.U.; Zhang, Z.S.; Xia, J.Q.; Xiang, C.B. Loss of rice PARAQUAT TOLERANCE 3 confers enhanced resistance to abiotic stresses and increases grain yield in field. Plant Cell Environ. 2020, 43, 2743–2754. [Google Scholar] [CrossRef]
- Li, C.; Liang, D.; Li, J.; Duan, Y.; Li, H.; Yang, Y.; Qin, R.; Li, L.; Wei, P.; Yang, J. Unravelling mitochondrial retrograde regulation in the abiotic stress induction of rice ALTERNATIVE OXIDASE 1 genes. Plant Cell Environ. 2012, 6, 775–788. [Google Scholar] [CrossRef]
- Ge, Q.; Zhang, Y.; Xu, Y.; Bai, M.; Luo, W.; Wang, B.; Niu, Y.; Zhao, Y.; Li, S.; Weng, Y.; et al. Cyclophilin OsCYP20-2 with a novel variant integrates defense and cell elongation for chilling response in rice. New Phytol. 2020, 225, 2453–2467. [Google Scholar] [CrossRef]
- Zhang, J.; Sun, X. Recent advances in polyphenol oxidase-mediated plant stress responses. Phytochemistry 2021, 181, 112588. [Google Scholar] [CrossRef] [PubMed]
- Yu, Y.; Tang, T.; Qian, Q.; Wang, Y.; Yan, M.; Zeng, D.; Han, B.; Wu, C.-I.; Shi, S.; Li, J. Independent losses of function in a polyphenol oxidase in rice: Differentiation in grain discoloration between subspecies and the role of positive selection under domestication. Plant Cell 2008, 20, 2946–2959. [Google Scholar] [CrossRef] [PubMed]
- Molokoane, T.L.; Kemboi, D.; Siwe-Noundou, X.; Famuyide, I.M.; McGaw, L.J.; Tembu, V.J. Extractives from Artemisia afra with anti-bacterial and anti-fungal properties. Plants 2023, 12, 3369. [Google Scholar] [CrossRef] [PubMed]
- Hou, Q.; Ufer, G.; Bartels, D. Lipid signalling in plant responses to abiotic stress. Plant Cell Environ. 2016, 39, 1029. [Google Scholar] [CrossRef]
- Mousa, W.K.; Raizada, M.N. The diversity of anti-microbial secondary metabolites produced by fungal endophytes: An interdisciplinary perspective. Front. Microbiol. 2013, 4, 65. [Google Scholar] [CrossRef]
- Zhao, H.; Kosma, D.K.; Lü, S. Functional role of long-chain acyl-CoA synthetases in plant development and stress responses. Front. Plant Sci. 2021, 12, 640996. [Google Scholar] [CrossRef]
- Solomon, P.S.; Tan, K.C.; Oliver, R.P. The nutrient supply of pathogenic fungi; a fertile field for study. Mol. Plant Pathol. 2003, 4, 203. [Google Scholar] [CrossRef]
- Mmbando, G.S. The link between changing in host carbon allocation and resistance to Magnaporthe oryzae: A possible tactic for mitigating the rice blast fungus. Plant Signal Behav. 2024, 19, 2326870. [Google Scholar] [CrossRef]
- Morkunas, I.; Ratajczak, L. The role of sugar signaling in plant defense responses against fungal pathogens. Acta Physiol. Plant 2014, 35, 1607–1619. [Google Scholar] [CrossRef]
- Motoyama, T.; Yun, C.-S.; Osada, H. Biosynthesis and biological function of secondary metabolites of the rice blast fungus (Pyricularia oryzae). Int. J. Mol. Sci. 2020, 21, 8698. [Google Scholar] [CrossRef]
- Sulpice, R.; McKeown, P.C. Moving toward a comprehensive map of central plant metabolism. Annu. Rev. Plant Biol. 2015, 66, 187. [Google Scholar] [CrossRef]
- Wilson, R.A.; Fernandez, J.; Quispe, C.F.; Gradnigo, J.; Seng, A.; Moriyama, E.; Wright, J.D. Towards defining nutrient conditions encountered by the rice blast fungus during host infection. PLoS ONE 2012, 7, e47392. [Google Scholar] [CrossRef]
- Yan, X.; Que, Y.; Wang, H.; Wang, C.; Li, Y.; Yue, X.; Ma, Z.; Talbot, N.J.; Wang, Z. The MET13 methylenetetrahydrofolate reductase gene is essential for infection-related morphogenesis in the rice blast fungus Magnaporthe oryzae. PLoS ONE 2013, 8, e76914. [Google Scholar] [CrossRef]
- Du, Y.; Zhang, H.; Hong, L.; Wang, J.; Zheng, X.; Zhang, Z. Acetolactate synthases MoIlv2 and MoIlv6 are required for infection-related morphogenesis in Magnaporthe oryzae. Mol. Plant Pathol. 2013, 14, 870–884. [Google Scholar] [CrossRef]
- Castro-Moretti, F.R.; Gentzel, I.N.; Mackey, D.; Alonso, A.P. Metabolomics as an emerging tool for the study of plant-pathogen interactions. Metabolites 2020, 10, 52. [Google Scholar] [CrossRef]
- International Rice Research Institute. Standard Evaluation System for Rice (SES); IRRI: Los Baños, Philippines, 2002. [Google Scholar]
- Li, Y.; Bi, M.; Sun, S.; Li, G.; Wang, Q.; Ying, M.; Li, L.; Yang, X. Comparative metabolomic profiling reveals molecular mechanisms underlying growth promotion and disease resistance in wheat conferred by Piriformospora indica in the field. Plant Signal Behav. 2023, 18, 2213934. [Google Scholar] [CrossRef]
- Van Ewijk, P.H.; Hoekstra, J.A. Calculation of the EC50 and its confidence interval when subtoxic stimulus is present. Ecotoxicol. Environ. Saf. 1993, 25, 25–32. [Google Scholar] [CrossRef]










| Variety | Spot Length/mm | Plant Height/mm | Ratio | Resistance |
|---|---|---|---|---|
| XZ | 545.0 ± 18.0 | 698.0 ± 20.9 | 0.78 ± 0.02 | High susceptible |
| ZD | 140.0 ± 8.7 | 818.0 ± 20.2 | 0.17 ± 0.01 | Moderately resistant |
| Samples | Total Metabolites | Descriptions |
|---|---|---|
| ZD_WK1 | 3003 | Infected ZD sampled at 48 hpi |
| ZD_WK2 | 3235 | Non-infected ZD control sampled at 48 hpi |
| XZ_WK1 | 3313 | Infected XZ sampled at 48 hpi |
| XZ_Wk2 | 3234 | Non-infected XZ control sampled at 48 hpi |
| Target | Correlation Coefficient | Toxicity Regression Equation | EC50 (mg/L) | Confidence Interval (95%) |
|---|---|---|---|---|
| Rhizoctonia solani | 1.0000 | Y = 3.7287 + 0.6589X | 85.2409 | 17.81–408.04 |
| Magnaporthe grisea | 0.9903 | Y = 3.8223 + 1.2721X | 12.7890 | 3.64–44.94 |
| Ustilaginoidea virens | 0.9974 | Y = 5.1211 + 1.4632X | 0.8265 | 0.11–6.13 |
Disclaimer/Publisher’s Note: The statements, opinions and data contained in all publications are solely those of the individual author(s) and contributor(s) and not of MDPI and/or the editor(s). MDPI and/or the editor(s) disclaim responsibility for any injury to people or property resulting from any ideas, methods, instructions or products referred to in the content. |
© 2024 by the authors. Licensee MDPI, Basel, Switzerland. This article is an open access article distributed under the terms and conditions of the Creative Commons Attribution (CC BY) license (https://creativecommons.org/licenses/by/4.0/).
Share and Cite
Yang, X.; Yan, S.; Li, Y.; Li, G.; Zhao, Y.; Sun, S.; Su, J.; Cui, Z.; Huo, J.; Sun, Y.; et al. Defense-Related Enzyme Activities and Metabolomic Analysis Reveal Differentially Accumulated Metabolites and Response Pathways for Sheath Blight Resistance in Rice. Plants 2024, 13, 3554. https://doi.org/10.3390/plants13243554
Yang X, Yan S, Li Y, Li G, Zhao Y, Sun S, Su J, Cui Z, Huo J, Sun Y, et al. Defense-Related Enzyme Activities and Metabolomic Analysis Reveal Differentially Accumulated Metabolites and Response Pathways for Sheath Blight Resistance in Rice. Plants. 2024; 13(24):3554. https://doi.org/10.3390/plants13243554
Chicago/Turabian StyleYang, Xiurong, Shuangyong Yan, Yuejiao Li, Guangsheng Li, Yujiao Zhao, Shuqin Sun, Jingping Su, Zhongqiu Cui, Jianfei Huo, Yue Sun, and et al. 2024. "Defense-Related Enzyme Activities and Metabolomic Analysis Reveal Differentially Accumulated Metabolites and Response Pathways for Sheath Blight Resistance in Rice" Plants 13, no. 24: 3554. https://doi.org/10.3390/plants13243554
APA StyleYang, X., Yan, S., Li, Y., Li, G., Zhao, Y., Sun, S., Su, J., Cui, Z., Huo, J., Sun, Y., Yi, H., Li, Z., & Wang, S. (2024). Defense-Related Enzyme Activities and Metabolomic Analysis Reveal Differentially Accumulated Metabolites and Response Pathways for Sheath Blight Resistance in Rice. Plants, 13(24), 3554. https://doi.org/10.3390/plants13243554

