Induction of Salt Stress Tolerance in Wheat Seeds by Parental Treatment with Salicylic Acid
Abstract
1. Introduction
2. Materials and Methods
2.1. Chemical Treatments and Seed Collection
2.2. Salt Stress Treatment During Seed Germination
2.3. Grain Yield and 1000-Kernel Weight
2.4. Germination Rate and Mean Germination Time
2.5. Dry and Fresh Weight of Germinating Seeds
2.6. Water Content Determination
2.7. Starch and Soluble Sugars Contents
2.8. α-Amylase and β-Amylase Activities
2.9. ATP Content and Respiration Rate in Seeds
2.10. Antioxidant Capacity
2.11. K+ and Na+ Contents
2.12. Statistical Analysis
3. Results
3.1. Effects of Exogenous SA Treatment During the Grain-Filling Stage on Grain Weight and Yield in Wheat
3.2. Effects of Exogenous SA Treatment During the Grain Filling in Parental Wheat Plants on Seed Germination Under Salt Stress
3.3. Effects of Exogenous SA Treatment During the Grain Filling in Parental Wheat Plants on the Imbibition Rate of Progeny Seeds Under Salt Stress
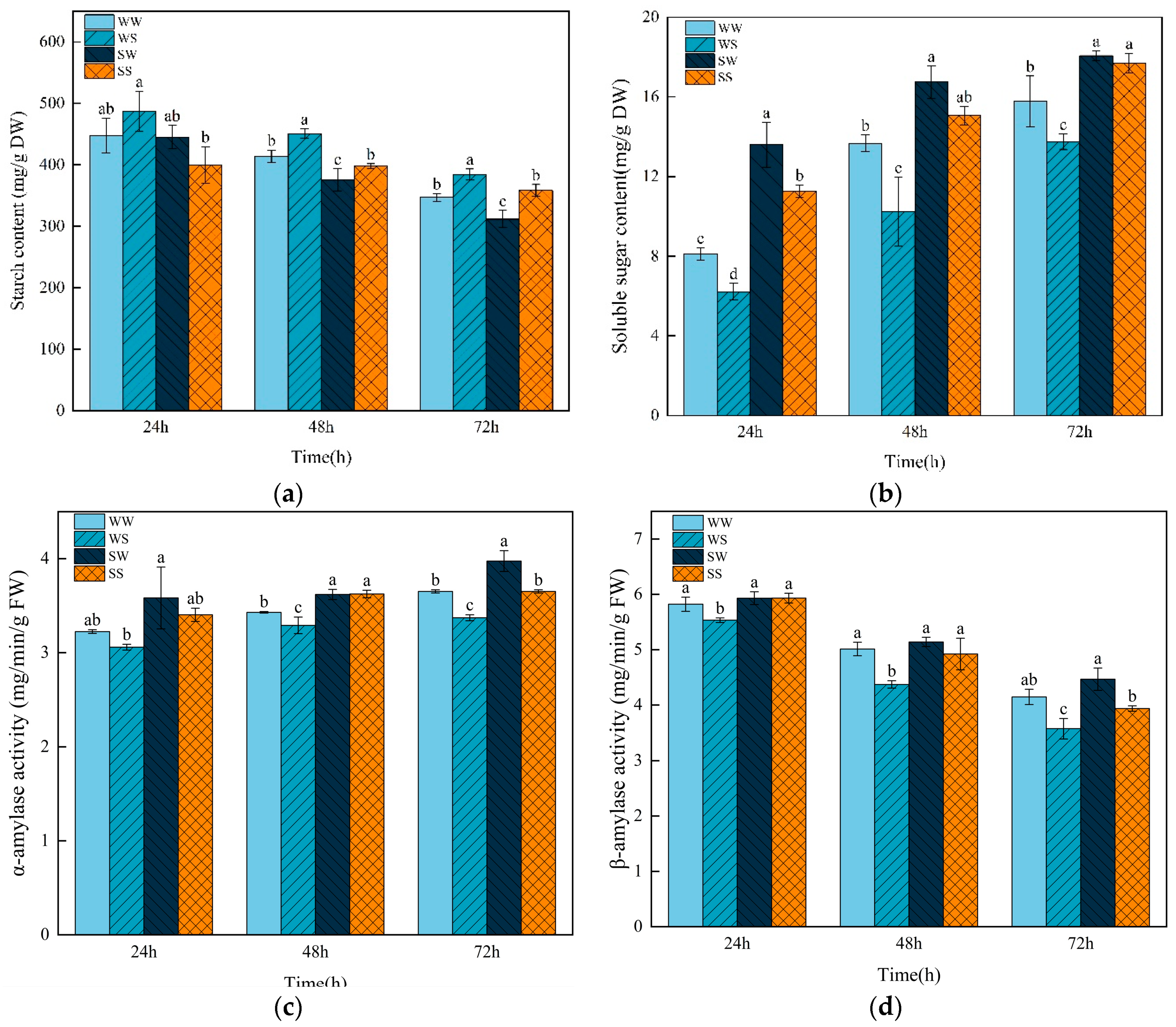
3.4. Effects of Exogenous SA Treatment During the Grain Filling in Parental Plants on the Degradation of Starch in Progeny Seeds Under Salt Stress
3.5. Effects of Exogenous SA Treatment During the Grain Filling in Parental Wheat Plants on ATP Content and Respiration Rate in Progeny Seeds Under Salt Stress
3.6. Effects of Exogenous SA Treatment During the Grain Filling in Parental Plants on MDA Content and ROS Release Rate in Progeny Seeds Under Salt Stress
3.7. Effects of Exogenous SA Treatment During the Grain Filling in Parental Plants on the Activities of Antioxidant Enzymes in Progeny Seeds Under Salt Stress
3.8. Effects of Exogenous SA Treatment During the Grain Filling in Parental Plants on Sodium (Na+) and Potassium (K+) Ion Contents in Progeny Seeds Under Salt Stress
4. Discussion
Author Contributions
Funding
Data Availability Statement
Conflicts of Interest
References
- Kettlewell, P.; Byrne, R.; Jeffery, S. Wheat Area Expansion into Northern Higher Latitudes and Global Food Security. Agric. Ecosyst. Environ. 2023, 351, 108499. [Google Scholar] [CrossRef]
- Zhao, C.; Zhang, H.; Song, C.; Zhu, J.-K.; Shabala, S. Mechanisms of Plant Responses and Adaptation to Soil Salinity. Innovation 2020, 1, 100017. [Google Scholar] [CrossRef]
- Chen, D.; Yin, L.; Deng, X.; Wang, S. Silicon Increases Salt Tolerance by Influencing the Two-Phase Growth Response to Salinity in Wheat (Triticum aestivum L.). Acta Physiol. Plant. 2014, 36, 2531–2535. [Google Scholar] [CrossRef]
- Zheng, L.; Ma, H.Y.; Jiao, Q.Q.; Ma, C.L.; Wang, P.P. Phytohormones: Important Participators in Plant Salt Tolerance. Int. J. Agric. Biol. 2020, 24, 319–332. [Google Scholar]
- Jumaah, W.N.; Nabi, R.B.S.; Rolly, N.K.; Adamu, T.A.; Tayade, R.; Aye, N.C.; Hussain, A.; Yun, B.-W. Nitric Oxide Mediated Growth Enhancement of Tomato under Salinity Stress. Plant Biotechnol. Rep. 2024, 18, 437–446. [Google Scholar] [CrossRef]
- Li, H.; Sun, H.; Ping, W.; Liu, L.; Zhang, Y.; Zhang, K.; Bai, Z.; Li, A.; Zhu, J.; Li, C. Exogenous Ethylene Promotes the Germination of Cotton Seeds under Salt Stress. J. Plant Growth Regul. 2023, 42, 3923–3933. [Google Scholar] [CrossRef]
- Hameed, A.; Rasheed, A.; Gul, B.; Khan, M. Salinity Inhibits Seed Germination of Perennial Halophytes Limonium stocksii and Suaeda fruticosa by Reducing Water Uptake and Ascorbate Dependent Antioxidant System. Environ. Exp. Bot. 2014, 107, 32–38. [Google Scholar] [CrossRef]
- Wang, J.; Lv, P.; Yan, D.; Zhang, Z.; Xu, X.; Wang, T.; Wang, Y.; Peng, Z.; Yu, C.; Gao, Y.; et al. Exogenous Melatonin Improves Seed Germination of Wheat (Triticum aestivum L.) under Salt Stress. Int. J. Mol. Sci. 2022, 23, 8436. [Google Scholar] [CrossRef]
- Xia, K.; Liu, A.; Wang, Y.; Yang, W.; Jin, Y. Mechanism of Salt-Inhibited Early Seed Germination Analysed by Transcriptomic Sequencing. Seed Sci. Res. 2019, 29, 73–84. [Google Scholar] [CrossRef]
- Hajihashemi, S.; Skalicky, M.; Brestic, M.; Pavla, V. Cross-Talk between Nitric Oxide, Hydrogen Peroxide and Calcium in Salt-Stressed Chenopodium quinoa Willd. At Seed Germination Stage. Plant Physiol. Biochem. 2020, 154, 657–664. [Google Scholar] [CrossRef]
- Kumar, A.; Rodrigues, V.; Verma, S.; Singh, M.; Hiremath, C.; Shanker, K.; Shukla, A.K.; Sundaresan, V. Effect of Salt Stress on Seed Germination, Morphology, Biochemical Parameters, Genomic Template Stability, and Bioactive Constituents of Andrographis paniculata Nees. Acta Physiol. Plant. 2021, 43, 68. [Google Scholar] [CrossRef]
- Zhu, J.K. Regulation of Ion Homeostasis under Salt Stress. Curr. Opin. Plant Biol. 2003, 6, 441–445. [Google Scholar] [CrossRef] [PubMed]
- Molinier, J.; Ries, G.; Zipfel, C.; Hohn, B. Transgeneration Memory of Stress in Plants. Nature 2006, 442, 1046–1049. [Google Scholar] [CrossRef]
- Robinson, G.I.; Robinson, J.W. Digest: Transgenerational Stress Memory Mechanisms in Arabidopsis thaliana. Evolution 2020, 74, 2423–2424. [Google Scholar] [CrossRef] [PubMed]
- Feng, K.; Wang, X.; Zhou, Q.; Dai, T.; Cao, W.; Jiang, D.; Cai, J. Waterlogging Priming Enhances Hypoxia Stress Tolerance of Wheat Offspring Plants by Regulating Root Phenotypic and Physiological Adaption. Plants 2022, 11, 1969. [Google Scholar] [CrossRef] [PubMed]
- Youngson, N.A.; Whitelaw, E. Transgenerational Epigenetic Effects. Annu. Rev. Genomics Hum. Genet. 2008, 9, 233–257. [Google Scholar] [CrossRef]
- Shakirova, F.M.; Sakhabutdinova, A.R.; Bezrukova, M.V.; Fatkhutdinova, R.A.; Fatkhutdinova, D.R. Changes in the Hormonal Status of Wheat Seedlings Induced by Salicylic Acid and Salinity. Plant Sci. 2003, 164, 317–322. [Google Scholar] [CrossRef]
- Song, W.; Shao, H.; Zheng, A.; Zhao, L.; Xu, Y. Advances in Roles of Salicylic Acid in Plant Tolerance Responses to Biotic and Abiotic Stresses. Plants 2023, 12, 3475. [Google Scholar] [CrossRef]
- Jia, X.; Jiang, Z. Salicylic Acid Alleviates Salt Stress in Soybean by Improving Anti-Oxidant Capacity and Growth Performance. Pak. J. Bot. 2023, 55, 37–44. [Google Scholar] [CrossRef] [PubMed]
- Liu, Z.; Ma, C.; Hou, L.; Wu, X.; Wang, D.; Zhang, L.; Liu, P. Exogenous SA Affects Rice Seed Germination under Salt Stress by Regulating Na+/K+ Balance and Endogenous GAs and ABA Homeostasis. Int. J. Mol. Sci. 2022, 23, 3293. [Google Scholar] [CrossRef]
- Wang, Z.; Dong, S.; Teng, K.; Chang, Z.; Zhang, X. Exogenous Salicylic Acid Optimizes Photosynthesis, Antioxidant Metabolism, and Gene Expression in Perennial Ryegrass Subjected to Salt Stress. Agronomy 2022, 12, 1920. [Google Scholar] [CrossRef]
- Liu, J.; Li, L.; Yuan, F.; Chen, M. Exogenous Salicylic Acid Improves the Germination of Limonium Bicolor Seeds under Salt Stress. Plant Signal. Behav. 2019, 14, e1644595. [Google Scholar] [CrossRef] [PubMed]
- de Sousa, T.; Ribeiro, M.; Sabenca, C.; Igrejas, G. The 10,000-Year Success Story of Wheat! Foods 2021, 10, 2124. [Google Scholar] [CrossRef] [PubMed]
- Li, S.Q.; Shao, M.A.; Li, Z.Y.; Wu, W.M.; Zhang, X.C. Research Progress on Grain Filling Characteristics and Influencing Factors of Wheat. Acta Bot. Bor.-Occid. Sin. 2003, 23, 2030–2038. [Google Scholar]
- Liu, H.Y.; Guo, T.C.; Zhu, Y.J.; Wang, C.Y.; Ma, D.Y.; Liu, S.B.; Yue, C.F.; Yang, W.P.; Wang, H.H. Effects of salicylic acid spraying at flowering stage on grain starch and yield of different types of special wheat varieties. J. Triticeae Crops 2006, 4, 123–127. [Google Scholar]
- Ellis, R.; Roberts, E.H. Towards a Rational Basis for Testing Seed Quality; Butterworths: London, UK, 1980. [Google Scholar]
- Brzezinski, C.R.; Abati, J.; Zucareli, C.; Krzyzanowski, F.C.; França-Neto, J.d.B.; Henning, F.A. Water Uptake of Soybean Pods and Seeds with Different Lignin Contents. Rev. Ceres 2022, 69, 476–482. [Google Scholar] [CrossRef]
- Xie, Z.; Jiang, D.; Cao, W.; Dai, T.; Jing, Q. Relationships of Endogenous Plant Hormones to Accumulation of Grain Protein and Starch in Winter Wheat under Different Post-Anthesis Soil Water Statusses. Plant Growth Regul. 2003, 41, 117–127. [Google Scholar] [CrossRef]
- Fales, F.W. The assimilation and degradation of carbohydrates by yeast cells. J. Biol. Chem. 1951, 193, 113–124. [Google Scholar] [CrossRef]
- Cui, G.; Zhao, X.; Liu, S.; Sun, F.; Zhang, C.; Xi, Y. Beneficial Effects of Melatonin in Overcoming Drought Stress in Wheat Seedlings. Plant Physiol. Biochem. 2017, 118, 138–149. [Google Scholar] [CrossRef]
- Chen, S.; Zhao, C.-B.; Ren, R.-M.; Jiang, J.-H. Salicylic Acid Had the Potential to Enhance Tolerance in Horticultural Crops against Abiotic Stress. Front. Plant Sci. 2023, 14, 1141918. [Google Scholar] [CrossRef]
- Matysiak, K.; Siatkowski, I.; Kierzek, R.; Kowalska, J.; Krawczyk, R. Effect of Foliar Applied Acetylsalicilic Acid on Wheat (Triticum aestivum L.) under Field Conditions. Agron 2020, 10, 1918. [Google Scholar] [CrossRef]
- Ibrahim, O.M.; Bakry, B.A.; Thalooth, A.T.; El-Karamany, M.F. Influence of Nitrogen Fertilizer and Foliar Application of Salicylic Acid on Wheat. Agric. Sci. 2014, 5, 1316–1321. [Google Scholar]
- Kumar, S.; Kumar, C.; Bose, B. Effects of Salicylic Acid on Seedling Growth and Nitrogen Metabolism in Cucumber (Cucumis sativus L.). J. Stress Physiol. Biochem. 2010, 6, 102–113. [Google Scholar]
- Janda, T.; Kinga, B.; Yordanova, R.; Szalai, G.; Pál, M. Salicylic Acid and Photosynthesis: Signalling and Effects. Acta Physiol. Plant. 2014, 36, 2537–2546. [Google Scholar] [CrossRef]
- Miura, K.; Tada, Y. Regulation of Water, Salinity, and Cold Stress Responses by Salicylic Acid. Front. Plant Sci. 2014, 5, 4. [Google Scholar] [CrossRef] [PubMed]
- Singh, D.P.; Moore, C.A.; Gilliland, A.; Carr, J.P. Activation of Multiple Antiviral Defence Mechanisms by Salicylic Acid. Mol. Plant Pathol. 2004, 5, 57–63. [Google Scholar]
- White, R.F. Acetylsalicylic Acid (Aspirin) Induces Resistance to Tobacco Mosaic Virus in Tobacco. Virology 1979, 99, 410–412. [Google Scholar] [PubMed]
- Bastam, N.; Baninasab, B.; Ghobadi, C. Improving Salt Tolerance by Exogenous Application of Salicylic Acid in Seedlings of Pistachio. Plant Growth Regul. 2013, 69, 275–284. [Google Scholar]
- Liu, S.; Dong, Y.; Xu, L.; Kong, J. Effects of Foliar Applications of Nitric Oxide and Salicylic Acid on Salt-Induced Changes in Photosynthesis and Antioxidative Metabolism of Cotton Seedlings. Plant Growth Regul. 2014, 73, 67–78. [Google Scholar]
- Maqsood, M.F.; Shahbaz, M.; Zulfiqar, U.; Saman, R.U.; Rehman, A.; Naz, N.; Akram, M.; Haider, F.U. Enhancing Wheat Growth and Yield through Salicylic Acid-Mediated Regulation of Gas Exchange, Antioxidant Defense, and Osmoprotection under Salt Stress. Stresses 2023, 3, 372–386. [Google Scholar] [CrossRef]
- Nautiyal, P.C.; Sivasubramaniam, K.; Dadlani, M. Seed Dormancy and Regulation of Germination. In Seed Science and Technology, Biology, Production, Quality; Springer: Berlin/Heidelberg, Germany, 2023; pp. 39–66. [Google Scholar]
- Dong, K.; Zhen, S.; Cheng, Z.; Cao, H.; Ge, P.; Yan, Y. Proteomic Analysis Reveals Key Proteins and Phosphoproteins upon Seed Germination of Wheat (Triticum aestivum L.). Front. Plant Sci. 2015, 6, 1017. [Google Scholar] [CrossRef] [PubMed]
- Sami, F.; Yusuf, M.; Faizan, M.; Faraz, A.; Hayat, S. Role of Sugars under Abiotic Stress. Plant Physiol. Biochem. 2016, 109, 54–61. [Google Scholar] [CrossRef]
- Xie, Z.; Zhang, Z.-L.; Hanzlik, S.; Cook, E.; Shen, Q.J. Salicylic Acid Inhibits Gibberellin-Induced Alpha-Amylase Expression and Seed Germination via a Pathway Involving an Abscisic-Acid-Inducible WRKY Gene. Plant Mol. Biol. 2007, 64, 293–303. [Google Scholar] [CrossRef] [PubMed]
- Che-Othman, M.H.; Jacoby, R.P.; Millar, A.H.; Taylor, N.L. Wheat Mitochondrial Respiration Shifts from the Tricarboxylic Acid Cycle to the GABA Shunt under Salt Stress. New Phytol. 2020, 225, 1166–1180. [Google Scholar] [CrossRef] [PubMed]
- Livne, A.; Levin, N. Tissue Respiration and Mitochondrial Oxidative Phosphorylation of NaCl-Treated Pea Seedlings. Plant Physiol. 1967, 42, 407–414. [Google Scholar] [CrossRef] [PubMed]
- Robertson, R.N.; Turner, J.S.; Wilkins, M.J. Studies in the Metabolism of Plant Cells; Salt Respiration and Accumulation in Red Beet Tissue. Aust. J. Exp. Biol. Med. Sci. 1947, 25, 1–8. [Google Scholar] [CrossRef] [PubMed]
- Zapata, P.J.; Serrano, M.; Pretel, A.T.; Amorós, A.; Botella, M.A. Polyamines and Ethylene Changes during Germination of Different Plant Species under Salinity. Plant Sci. 2004, 167, 781–788. [Google Scholar] [CrossRef]
- Balasubramaniam, T.; Shen, G.; Esmaeili, N.; Zhang, H. Plants’ Response Mechanisms to Salinity Stress. Plants 2023, 12, 2253. [Google Scholar] [CrossRef] [PubMed]
- Parvin, K.; Ahamed, K.; Mahbub Islam, M.; Haque, M. Modulation of Ion Uptake in Tomato (Lycopersicon esculentum L.) Plants with Exogenous Application of Calcium under Salt Stress Condition. Poljoprivreda 2016, 22, 40–49. [Google Scholar] [CrossRef]
- Komatsu, S.; Diniyah, A.; Zhu, W.; Nakano, M.; Rehman, S.U.; Yamaguchi, H.; Hitachi, K.; Tsuchida, K. Metabolomic and Proteomic Analyses to Reveal the Role of Plant-Derived Smoke Solution on Wheat under Salt Stress. Int. J. Mol. Sci. 2024, 25, 8216. [Google Scholar] [CrossRef]
- Lee, S.; Kim, S.-G.; Park, C.-M. Salicylic Acid Promotes Seed Germination under High Salinity by Modulating Antioxidant Activity in Arabidopsis. New Phytol. 2010, 188, 626–637. [Google Scholar] [CrossRef]
- Singh, A.; Roychoudhury, A. Salicylic Acid-Mediated Alleviation of Fluoride Toxicity in Rice by Restricting Fluoride Bioaccumulation and Strengthening the Osmolyte, Antioxidant and Glyoxalase Systems. Environ. Sci. Pollut. Res. 2023, 30, 25024–25036. [Google Scholar] [CrossRef] [PubMed]
- Talaat, N.B.; Mahmoud, A.W.M.; Hanafy, A.M.A. Co-Application of Salicylic Acid and Spermine Alleviates Salt Stress Toxicity in Wheat: Growth, Nutrient Acquisition, Osmolytes Accumulation, and Antioxidant Response. Acta Physiol. Plant. 2023, 45, 1. [Google Scholar] [CrossRef]
- Yu, L.-L.; Liu, Y.; Zhu, F.; Geng, X.-X.; Yang, Y.; He, Z.-Q.; Xu, F. The Enhancement of Salt Stress Tolerance by Salicylic Acid Pretreatment in Arabidopsis thaliana. Biol. Plant. 2020, 64, 150–158. [Google Scholar] [CrossRef]
- Abedini, M.; Hassani, B.D. Salicylic Acid Affects Wheat Cultivars Antioxidant System under Saline and Non-Saline Condition. Russ. J. Plant Physiol. 2015, 62, 604–610. [Google Scholar] [CrossRef]
- Li, G.; Peng, X.; Wei, L.; Kang, G. Salicylic Acid Increases the Contents of Glutathione and Ascorbate and Temporally Regulates the Related Gene Expression in Salt-Stressed Wheat Seedlings. Gene 2013, 529, 321–325. [Google Scholar] [CrossRef] [PubMed]
- Chen, J.; Clinton, M.; Qi, G.; Wang, D.; Liu, F.; Fu, Z.Q. Reprogramming and Remodeling: Transcriptional and Epigenetic Regulation of Salicylic Acid-Mediated Plant Defense. J. Exp. Bot. 2020, 71, 5256–5268. [Google Scholar] [CrossRef]
- Gully, K.; Celton, J.-M.; Degrave, A.; Pelletier, S.; Brisset, M.-N.; Bucher, E. Biotic Stress-Induced Priming and de-Priming of Transcriptional Memory in Arabidopsis and Apple. Epigenomes 2019, 3, 3. [Google Scholar] [CrossRef]
- Javed, T.; Wang, W.; Yang, B.; Shen, L.; Sun, T.; Gao, S.-J.; Zhang, S. Pathogenesis Related-1 Proteins in Plant Defense: Regulation and Functional Diversity. Crit. Rev. Biotechnol. 2024. [Google Scholar] [CrossRef]









| Treatment | Germination Rate (%) | Mean Germination Time (Day) | Length (cm) | Dry Weight (mg seed−1) | |||
|---|---|---|---|---|---|---|---|
| Coleoptile | Radicle | Seed Residue | Coleoptile | Radicle | |||
| WW | 98.00 ± 0.02 a | 3.27 ± 0.04 d | 9.88 ± 0.13 a | 7.76 ± 0.13 a | 22.13 ± 0.46 d | 7.67 ± 0.24 a | 3.98 ± 0.19 a |
| WS | 64.00 ± 0.03 d | 3.72 ± 0.05 a | 4.72 ± 0.09 e | 4.37 ± 0.07 d | 30.84 ± 0.41 a | 4.37 ± 0.43 d | 1.87 ± 0.28 c |
| S50S | 73.33 ± 0.04 c | 3.63 ± 0.07 ab | 5.18 ± 0.12 d | 4.59 ± 0.09 d | 28.27 ± 0.83 b | 5.28 ± 0.40 c | 2.42 ± 0.07 b |
| S150S | 80.00 ± 0.02 b | 3.50 ± 0.08 c | 5.78 ± 0.06 b | 5.43 ± 0.12 b | 24.60 ± 0.53 c | 6.22 ± 0.10 b | 2.56 ± 0.10 b |
| S450S | 76.67 ± 0.03 bc | 3.55 ± 0.06 bc | 5.47 ± 0.14 c | 5.03 ± 0.26 c | 27.75 ± 0.59 b | 5.58 ± 0.13 c | 2.44 ± 0.12 b |
Disclaimer/Publisher’s Note: The statements, opinions and data contained in all publications are solely those of the individual author(s) and contributor(s) and not of MDPI and/or the editor(s). MDPI and/or the editor(s) disclaim responsibility for any injury to people or property resulting from any ideas, methods, instructions or products referred to in the content. |
© 2024 by the authors. Licensee MDPI, Basel, Switzerland. This article is an open access article distributed under the terms and conditions of the Creative Commons Attribution (CC BY) license (https://creativecommons.org/licenses/by/4.0/).
Share and Cite
Yan, L.; Jiang, X.; Zhang, Y.; Dong, Y.; Zhao, C.; Xu, K.; Huo, Z.; Wang, W. Induction of Salt Stress Tolerance in Wheat Seeds by Parental Treatment with Salicylic Acid. Plants 2024, 13, 3373. https://doi.org/10.3390/plants13233373
Yan L, Jiang X, Zhang Y, Dong Y, Zhao C, Xu K, Huo Z, Wang W. Induction of Salt Stress Tolerance in Wheat Seeds by Parental Treatment with Salicylic Acid. Plants. 2024; 13(23):3373. https://doi.org/10.3390/plants13233373
Chicago/Turabian StyleYan, Lei, Xue Jiang, Yuman Zhang, Yongwen Dong, Can Zhao, Ke Xu, Zhongyang Huo, and Weiling Wang. 2024. "Induction of Salt Stress Tolerance in Wheat Seeds by Parental Treatment with Salicylic Acid" Plants 13, no. 23: 3373. https://doi.org/10.3390/plants13233373
APA StyleYan, L., Jiang, X., Zhang, Y., Dong, Y., Zhao, C., Xu, K., Huo, Z., & Wang, W. (2024). Induction of Salt Stress Tolerance in Wheat Seeds by Parental Treatment with Salicylic Acid. Plants, 13(23), 3373. https://doi.org/10.3390/plants13233373

