Chemical Composition, Larvicidal and Ovicidal Activities, and Enzyme Inhibition Capacity of Thymus serpyllum Essential Oils Against Spodoptera litura (Fabricius)
Abstract
1. Introduction
2. Results
2.1. Chemical Composition of T. serpyllum EO
2.2. Larval Toxicity
2.3. Ovicidal Activity
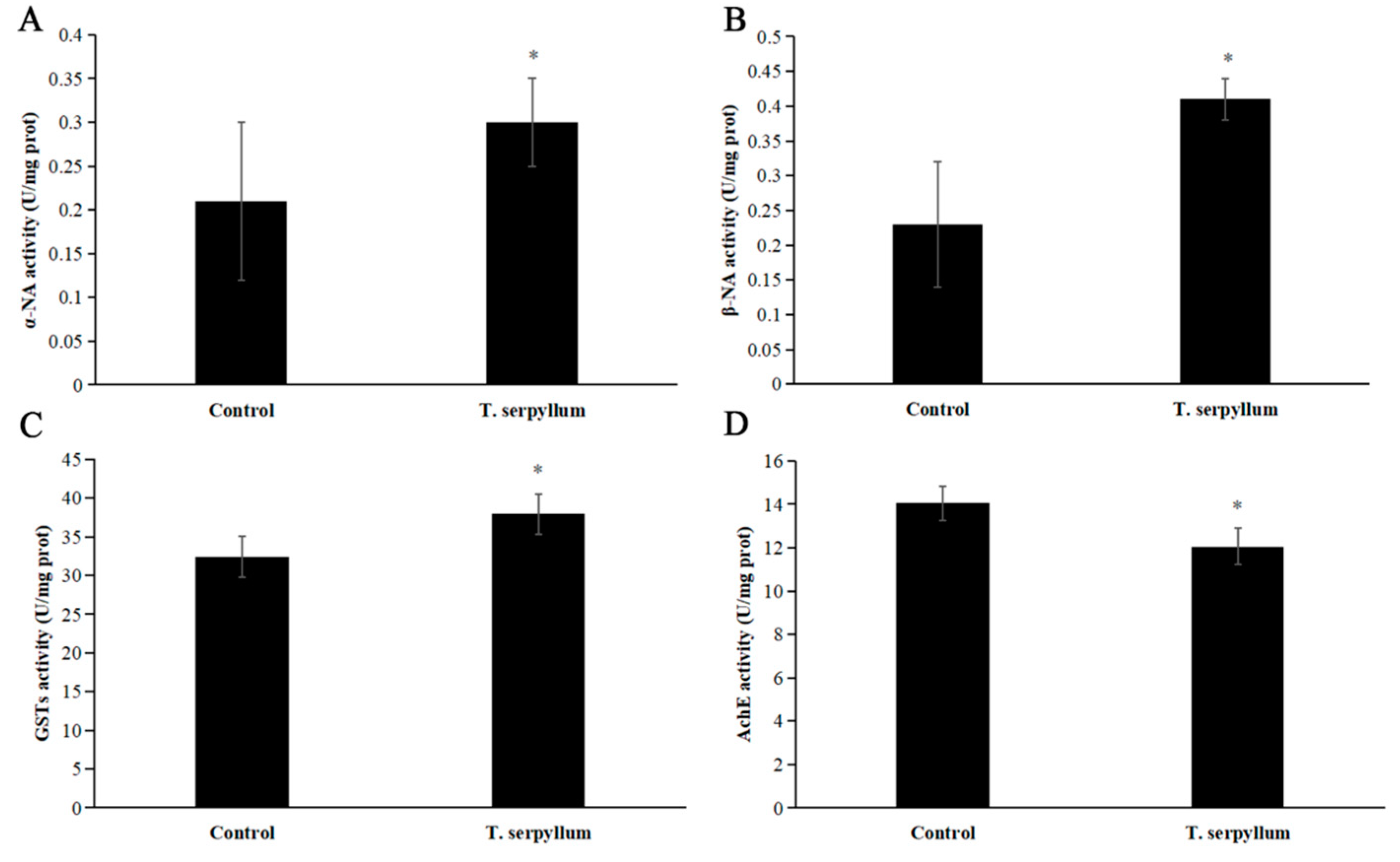
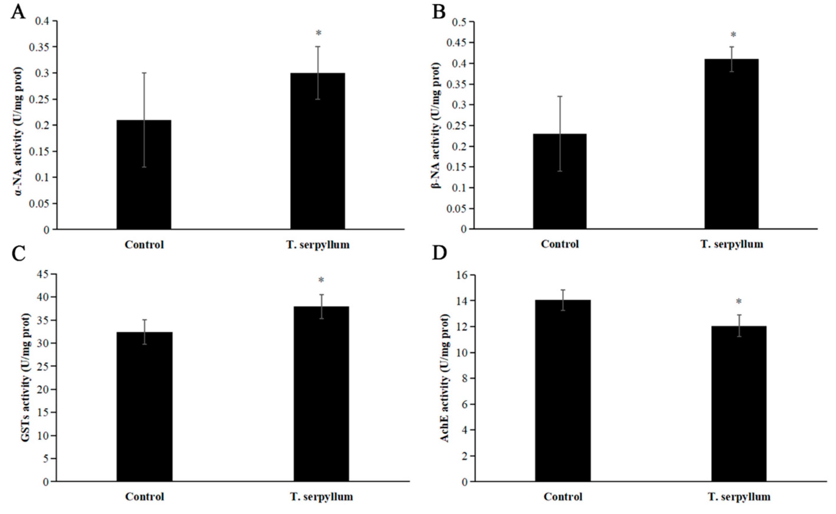
2.4. Activity Against S. litura Cellular Detoxification Enzymes
3. Discussion
4. Materials and Methods
4.1. Insect Rearing
4.2. Essential Oil
4.3. GC-MS Analysis
4.4. Larvicidal Activity
4.5. Ovicidal Bioassays
4.6. Enzyme Activities
4.6.1. Homogenate Preparation
4.6.2. Esterases (ESTs)
4.6.3. Glutathione S-Transferases (GSTs) Activity Assay
4.6.4. Acetylcholinesterase (AChE) Activity Assay
4.7. Statistical Analysis
5. Conclusions
Author Contributions
Funding
Data Availability Statement
Conflicts of Interest
References
- Tian, L.; Gao, X.; Zhang, S.; Zhang, Y.; Ma, D.; Cui, J. Dynamic changes of transcriptome of fifth-instar Spodoptera litura larvae in response to insecticide. 3 Biotech 2021, 11, 98. [Google Scholar] [CrossRef] [PubMed]
- Liang, L.; Li, J.; Jin, L.; Yan, K.; Pan, Y.; Shang, Q. Identification of inducible CYP3 and CYP4 genes associated with abamectin tolerance in the fat body and Malpighian tubules of Spodoptera litura. Pestic. Biochem. Physiol. 2024, 198, 105751. [Google Scholar] [CrossRef] [PubMed]
- Ruttanaphan, T.; Bullangpoti, V. The potential use of thymol and (R)-(+)-pulegone as detoxifying enzyme inhibitors against Spodoptera litura (Lepidoptera: Noctuidae). Phytoparasitica 2022, 50, 913–920. [Google Scholar] [CrossRef]
- Singh, A.; Kumar, S.; Yadav, M.; Kumari, M.; Singh, I.K. Tailored midgut gene expression in Spodoptera litura (Lepidoptera: Noctuidae) feeding on Zea mays indicates a tug of war. Arthropod Plant Interact. 2024, 18, 547–567. [Google Scholar] [CrossRef]
- Islam, S.M.N.; Chowdhury, M.Z.H.; Mim, M.F.; Momtaz, M.B.; Islam, T. Biocontrol potential of native isolates of Beauveria bassiana against cotton leafworm Spodoptera litura (Fabricius). Sci. Rep. 2023, 13, 8331. [Google Scholar] [CrossRef]
- Li, L.L.; Xu, J.W.; Yao, W.C.; Yang, H.H.; Dewer, Y.; Zhang, F.; Zhu, X.Y.; Zhang, Y.N. Chemosensory genes in the head of Spodoptera litura larvae. Bull. Entomol. Res. 2021, 111, 454–463. [Google Scholar] [CrossRef]
- Che, W.N.; Li, Y.Y.; Zhang, D.F.; Qu, C.; Luo, C.; Wang, R. Monitoring and characterization of field-evolved resistance to diamide insecticides in Spodoptera litura collected from eastern China. J. Appl. Entomol. 2024, 148, 253–260. [Google Scholar] [CrossRef]
- Tharamak, S.; Yooboon, T.; Pengsook, A.; Ratwatthananon, A.; Kumrungsee, N.; Bullangpoti, V.; Pluempanupat, W. Synthesis of thymyl esters and their insecticidal activity against Spodoptera litura (Lepidoptera: Noctuidae). Pest Manag. Sci. 2020, 76, 928–935. [Google Scholar] [CrossRef]
- Zhang, Z.; Gao, B.; Qu, C.; Gong, J.; Li, W.; Luo, C.; Wang, R. Resistance monitoring for six Insecticides in vegetable field-collected populations of Spodoptera litura from China. Horticulturae 2022, 8, 255. [Google Scholar] [CrossRef]
- Benelli, G.; Govindarajan, M.; Rajeswary, M.; Vaseeharan, B.; Alyahya, S.A.; Alharbi, N.S.; Kadaikunnan, S.; Khaled, J.M.; Maggi, F. Insecticidal activity of camphene, zerumbone and α-humulene from Cheilocostus speciosus rhizome essential oil against the Old-World bollworm, Helicoverpa armigera. Ecotoxicol. Environ. Safe 2018, 148, 781–786. [Google Scholar] [CrossRef]
- Benelli, G.; Pavela, R.; Petrelli, R.; Cappellacci, L.; Bartolucci, F.; Canale, A.; Maggi, F. Origanum syriacum subsp. syriacum: From an ingredient of Lebanese ‘manoushe’ to a source of effective and eco-friendly botanical insecticides. Ind. Crops Prod. 2019, 134, 26–32. [Google Scholar] [CrossRef]
- Suresh, U.; Murugan, K.; Panneerselvam, C.; Aziz, A.T.; Cianfaglione, K.; Wang, L.; Maggi, F. Encapsulation of sea fennel (Crithmum maritimum) essential oil in nanoemulsion and SiO2 nanoparticles for treatment of the crop pest Spodoptera litura and the dengue vector Aedes aegypti. Ind. Crops Prod. 2020, 158, 113033. [Google Scholar] [CrossRef]
- Ponsankar, A.; Vasantha-Srinivasan, P.; Senthil-Nathan, S.; Thanigaivel, A.; Edwin, E.S.; Selin-Rani, S.; Kalaivani, K.; Hunter, W.B.; Alessandro, R.T.; Abdel-Megeed, A.; et al. Target and non-target toxicity of botanical insecticide derived from Couroupita guianensis L. flower against generalist herbivore, Spodoptera litura Fab. and an earthworm, Eisenia foetida Savigny. Ecotoxicol. Environ. Safe 2016, 133, 260–270. [Google Scholar] [CrossRef] [PubMed]
- Vasantha-Srinivasan, P.; Senthil-Nathan, S.; Thanigaivel, A.; Edwin, E.S.; Ponsankar, A.; Selin-Rani, S.; Pradeepa, V.; Sakthi-Bhagavathy, M.; Kalaivani, K.; Hunter, W.B.; et al. Developmental response of Spodoptera litura Fab. to treatments of crude volatile oil from Piper betle L. and evaluation of toxicity to earthworm, Eudrilus eugeniae Kinb. Chemosphere 2016, 155, 336–347. [Google Scholar] [CrossRef] [PubMed]
- Kaleeswaran, G.; Firake, D.M.; Sanjukta, R.; Behere, G.T.; Ngachan, S.V. Bamboo-Leaf Prickly Ash extract: A potential bio-pesticide against oriental leaf worm, Spodoptera litura (Fabricius) (Lepidoptera: Noctuidae). J. Environ. Manag. 2018, 208, 46–55. [Google Scholar] [CrossRef]
- Kaur, M.; Saraf, I.; Kumar, R.; Singh, I.P.; Kaur, S. Bioefficacy of Hexane Extract of Inula racemosa (Asteraceae) Against Spodoptera litura (Lepidoptera: Noctuidae). Gesunde Pflanz. 2019, 71, 165–174. [Google Scholar] [CrossRef]
- Kumar, A.; Negi, N.; Haider, S.Z.; Negi, D.S. Composition and efficacy of Zanthoxylum alatum essential oils and extracts against Spodoptera litura. Chem. Nat. Compd. 2014, 50, 920–923. [Google Scholar] [CrossRef]
- Manimegalai, T.; Raguvaran, K.; Kalpana, M.; Maheswaran, R. Facile synthesis of silver nanoparticles using Vernonia anthelmintica (L.) Willd. and their toxicity against Spodoptera litura (Fab.), Helicoverpa armigera (Hüb.), Aedes aegypti Linn. and Culex quinquefasciatus Say. J. Clust. Sci. 2022, 33, 2287–2303. [Google Scholar] [CrossRef]
- Benelli, G.; Govindarajan, M.; AlSalhi, M.S.; Devanesan, S.; Maggi, F. High toxicity of camphene and gamma-elemene from Wedelia prostrata essential oil against larvae of Spodoptera litura (Lepidoptera: Noctuidae). Environ. Sci. Pollut. Res. Int. 2018, 25, 10383–10391. [Google Scholar] [CrossRef]
- Kumrungsee, N.; Wiwattanawanichakun, P.; Phankaen, P.; Saiyaitong, C.; Koul, O.; Nobsathian, S.; Bullangpoti, V.; Dunkhunthod, B. Phenolic secondary metabolites from Acorus calamus (Acorales: Acoraceae) rhizomes: The feeding deterrents for Spodoptera litura (Lepidoptera: Noctuidae). J. Econ. Entomol. 2023, 116, 1613–1620. [Google Scholar] [CrossRef]
- Ruttanaphan, T.; Pluempanupat, W.; Aungsirisawat, C.; Boonyarit, P.; Goff, G.L.; Bullangpoti, V. Effect of plant essential oils and their major constituents on cypermethrin tolerance associated detoxification enzyme activities in Spodoptera litura (Lepidoptera: Noctuidae). J. Econ. Entomol. 2019, 112, 2167–2176. [Google Scholar] [CrossRef] [PubMed]
- Koul, O.; Singh, R.; Kaur, B.; Kanda, D. Comparative study on the behavioral response and acute toxicity of some essential oil compounds and their binary mixtures to larvae of Helicoverpa armigera, Spodoptera litura and Chilo partellus. Ind. Crops Prod. 2013, 49, 428–436. [Google Scholar] [CrossRef]
- Huang, S.H.; Xian, J.D.; Kong, S.Z.; Li, Y.C.; Xie, J.H.; Lin, J.; Chen, J.N.; Wang, H.F.; Su, Z.R. Insecticidal activity of pogostone against Spodoptera litura and Spodoptera exigua (Lepidoptera: Noctuidae). Pest Manag. Sci. 2014, 70, 510–516. [Google Scholar] [CrossRef]
- Xie, Y.; Jin, H.; Yang, X.; Gu, Q.; Zhang, D. Toxicity of the essential oil from Thymus serpyllum and thymol to larvae and pupae of the housefly Musca domestica L. (Diptera: Muscidae). Environ. Sci. Pollut. Res. Int. 2020, 27, 35330–35340. [Google Scholar] [CrossRef]
- Dong, Y.; Wei, Z.; Yang, R.; Zhang, Y.; Sun, M.; Bai, H.; Mo, M.; Yao, C.; Li, H.; Shi, L. Chemical compositions of essential oil extracted from eight thyme species and potential biological functions. Plants 2023, 12, 4164. [Google Scholar] [CrossRef]
- Ouedrhiri, W.; Balouiri, M.; Bouhdid, S.; Moja, S.; Chahdi, F.O.; Taleb, M.; Greche, H. Mixture design of Origanum compactum, Origanum majorana and Thymus serpyllum essential oils: Optimization of their antibacterial effect. Ind. Crops Prod. 2016, 89, 1–9. [Google Scholar] [CrossRef]
- Verma, R.S.; Padalia, R.C.; Saikia, D.; Chauhan, A.; Krishna, V.; Sundaresan, V. Chemical composition and antimicrobial activity of the essential oils isolated from the Herbage and Aqueous Distillates of two Thymus Species. J. Essent. Oil Bear. Plants 2016, 19, 936–943. [Google Scholar] [CrossRef]
- Mugnaini, L.; Nardoni, S.; Pistelli, L.; Leonardi, M.; Giuliotti, L.; Benvenuti, M.N.; Pisseri, F.; Mancianti, F. A herbal antifungal formulation of Thymus serpillum, Origanum vulgare and Rosmarinus officinalis for treating ovine dermatophytosis due to Trichophyton mentagrophytes. Mycoses 2013, 56, 333–337. [Google Scholar] [CrossRef]
- Picard, I.; Hollingsworth, R.G.; Salmieri, S.; Lacroix, M. Repellency of essential oils to Frankliniella occidentalis (Thysanoptera: Thripidae) as affected by type of oil and polymer release. J. Econ. Entomol. 2012, 105, 1238–1247. [Google Scholar] [CrossRef]
- Sertkaya, E. Fumigant toxicity of the essential oils from medicinal plants against Bean weevil, Acanthoscelides obtectus (Say) (Coleoptera: Bruchidae). Asian J. Chem. 2013, 25, 553–555. [Google Scholar] [CrossRef]
- Hýbl, M.; Bohatá, A.; Rádsetoulalová, I.; Kopecký, M.; Hoštičková, I.; Vaníčková, A.; Mráz, P. Evaluating the efficacy of 30 different essential oils against Varroa destructor and Honey Bee Workers (Apis mellifera). Insects 2021, 12, 1045. [Google Scholar] [CrossRef] [PubMed]
- Yang, X.; Jin, C.; Wu, Z.; Han, H.; Zhang, Z.; Xie, Y.; Zhang, D. Toxicity and physiological effects of nine Lamiaceae essential oils and their major compounds on Reticulitermes dabieshanensis. Molecules 2023, 28, 2007. [Google Scholar] [CrossRef] [PubMed]
- Rathod, N.B.; Kulawik, P.; Ozogul, F.; Regenstein, J.M.; Ozogul, Y. Biological activity of plant-based carvacrol and thymol and their impact on human health and food quality. Trends Food Sci. Technol. 2021, 116, 733–748. [Google Scholar] [CrossRef]
- De Souza, M.T.; de Souza, M.T.; Bernardi, D.; de Melo, D.J.; Zarbin, P.H.G.; Zawadneak, M.A.C. Insecticidal and oviposition deterrent effects of essential oils of Baccharis spp. and histological assessment against Drosophila suzukii (Diptera: Drosophilidae). Sci. Rep. 2021, 11, 3944. [Google Scholar] [CrossRef]
- Ebadollahi, A.; Jalali Sendi, J.; Ziaee, M.; Krutmuang, P. Acaricidal, insecticidal, and nematicidal efficiency of essential oils isolated from the Satureja genus. Int. J. Environ. Res. Public Health 2021, 18, 6050. [Google Scholar] [CrossRef]
- Sonter, S.; Dwivedi, M.K.; Mishra, S.; Singh, P.; Kumar, R.; Park, S.; Jeon, B.-H.; Singh, P.K. In vitro larvicidal efficacy of Lantana camara essential oil and its nanoemulsion and enzyme inhibition kinetics against Anopheles culicifacies. Sci. Rep. 2024, 14, 16325. [Google Scholar] [CrossRef]
- Yooboon, T.; Bullangpoti, V.; Kainoh, Y. Contact toxicity and antifeedant activity of binary mixtures of piperine and β-asarone against the crop pests, Spodoptera litura and Mythimna separata (Lepidoptera: Noctuidae). Int. J. Pest Manag. 2021, 69, 81–88. [Google Scholar] [CrossRef]
- Li, Z.; Huang, R.; Li, W.; Cheng, D.; Mao, R.; Zhang, Z. Addition of cinnamon oil improves toxicity of rotenone to Spodoptera litura (Lepidoptera: Noctuidae) Larvae. Fla. Entomol. 2017, 100, 515–521. [Google Scholar] [CrossRef]
- da Silva Costa, J.R.; do Vale, T.L.; da Silva, G.F.; da Silva, N.C.S.; da Silva Lima, A.; Costa-Junior, L.M.; Luz, H.R. Encapsulation of carvacrol and thymol with yeast cell wall and its repellent activity against Amblyomma sculptum and Rhipicephalus sanguineus (Sensu Lato). Exp. Appl. Acarol. 2024, 92, 555–565. [Google Scholar] [CrossRef]
- Nascimento, G.; Oliveira, L.; Rique, H.; Leite, R.; Nunes, F. Repellence and insecticidal activity mediated by necrosis in Aedes aegypti mosquitoes exposed to thymol. Arq. Bras. Med. Vet. E Zootec. 2024, 76, 77–83. [Google Scholar] [CrossRef]
- Xie, Q.H.; Tian, L.; Li, B.Y.; Yu, J.N.; Zheng, Y.; Du, S.S.; Borjigidai, A. Bioactivities of thymol and p-cymene from the essential oil of Adenosma buchneroides against three stored-product insects. Environ. Sci. Pollut. Res. Int. 2023, 30, 110841–110850. [Google Scholar] [CrossRef] [PubMed]
- Paudel, P.; Shah, F.M.; Guddeti, D.K.; Ali, A.; Chen, J.; Khan, I.A.; Li, X.-C. Repellency of Carvacrol, Thymol, and their acetates against imported fire ants. Insects 2023, 14, 790. [Google Scholar] [CrossRef] [PubMed]
- Dantas, J.O.; Cavalcanti, S.C.H.; Araújo, A.P.A.; Silva, J.E.; Brito, T.B.; Andrade, V.S.; Pinheiro, H.S.S.; Tavares, S.R.S.A.; Blank, A.F.; Bacci, L. Formicidal potential of Thymol derivatives: Adverse effects on the survival and behavior of Acromyrmex balzani. Agriculture 2023, 13, 1410. [Google Scholar] [CrossRef]
- Basij, M.; Sahebzadeh, N.; Shahriari, M.; Panahandeh, S. Insecticidal potential of Ajwain essential oil and its major components against Chilo suppressalis Walker. J. Plant Dis. Protect. 2023, 130, 735–745. [Google Scholar] [CrossRef]
- Zhao, M.; Tao, Z.; Wang, L.; Wang, T.; Wang, C.; Li, S.; Huang, S.; Wei, Y.; Jiang, T.; Li, P. Structural modification of (3E)-4,8-dimethyl-1,3,7-nontriene enhances its ability to kill Plutella xylostella insect pests. Pest Manag. Sci. 2023, 79, 3280–3289. [Google Scholar] [CrossRef]
- Marsin, A.M.; Muhamad, I.I. Effectiveness of insect-repellent food packaging film incorporating thymol against rice weevil, Sitophylus oryzae. Curr. Sci. 2023, 125, 551. [Google Scholar]
- Amari, R.; Guesmi, F.; Saidi, I.; Bouzenna, H.; Khaled, I.; Ali, M.B.; Hedfi, A.; Alghamdi, A.S.; Hfaiedh, N.; Allagui, M.S.; et al. Insecticidal and antimicrobial potential of the volatile oils of the aerial parts of Teucrium ramosissimum and Thymus hirtus subsp. algeriensis growing in the south-west of Tunisia. J. Essent. Oil Bear. Plants 2022, 25, 1185–1207. [Google Scholar] [CrossRef]
- Rodríguez, A.; Beato, M.; Usseglio, V.L.; Camina, J.; Zygadlo, J.A.; Dambolena, J.S.; Zunino, M.P. Phenolic compounds as controllers of Sitophilus zeamais: A look at the structure-activity relationship. J. Stored Prod. Res. 2022, 99, 102038. [Google Scholar] [CrossRef]
- Goharrostami, M.; Sendi, J.J.; Hosseini, R.; Allah Mahmoodi, N.O. Effect of thyme essential oil and its two components on toxicity and some physiological parameters in mulberry pyralid Glyphodes pyloalis Walker. Pestic. Biochem. Physiol. 2022, 188, 105220. [Google Scholar] [CrossRef]
- Kumrungsee, N.; Dunkhunthod, B.; Manoruang, W.; Koul, O.; Pluempanupat, W.; Kainoh, Y.; Yooboon, T.; Piyasaengthong, N.; Bullangpoti, V.; Nobsathian, S. Synergistic interaction of thymol with Piper ribesioides (Piperales: Piperaceae) extracts and isolated active compounds for enhanced insecticidal activity against Spodoptera exigua (Lepidoptera: Noctuidae). Chem. Biol. Technol. Agric. 2022, 9, 38. [Google Scholar] [CrossRef]
- Lazarevic, J.; Jevremovic, S.; Kostic, I.; Vuleta, A.; Manitasevic Jovanovic, S.; Kostic, M.; Seslija Jovanovic, D. Assessment of sex-specific toxicity and physiological responses to thymol in a common bean pest Acanthoscelides obtectus Say. Front. Physiol. 2022, 13, 842314. [Google Scholar] [CrossRef]
- Cmara, C.D.D.; Doboszewski, B.; Melo, J.D.D.; Nazarenko, A.; Santos, R.D.; Moraes, M. Novel Insecticides from alkylated and acylated derivatives of thymol and eugenol for the control of Plutella xylostella (Lepidoptera: Plutellidae). J. Braz. Chem. Soc. 2022, 33, 196–204. [Google Scholar]
- Pengsook, A.; Tharamak, S.; Keosaeng, K.; Koul, O.; Bullangpoti, V.; Kumrungsee, N.; Pluempanupat, W. Insecticidal and growth inhibitory effects of some thymol derivatives on the beet armyworm, Spodoptera exigua (Lepidoptera: Noctuidae) and their impact on detoxification enzymes. Pest Manag. Sci. 2022, 78, 684–691. [Google Scholar] [CrossRef] [PubMed]
- Sohail, M.; Aqueel, M.A.; Dai, P.; Ellis, J.D. The larvicidal and adulticidal effects of selected plant essential oil constituents on greater wax moths. J. Econ. Entomol. 2020, 114, 397–402. [Google Scholar] [CrossRef] [PubMed]
- Lima, A.P.S.; Santana, E.D.R.; Santos, A.C.C.; Silva, J.E.; Ribeiro, G.T.; Pinheiro, A.M.; Santos, Í.T.B.F.; Blank, A.F.; Araújo, A.P.A.; Bacci, L. Insecticide activity of botanical compounds against Spodoptera frugiperda and selectivity to the predatory bug Podisus nigrispinus. Crop Prot. 2020, 136, 105230. [Google Scholar] [CrossRef]
- Piri, A.; Sahebzadeh, N.; Zibaee, A.; Sendi, J.J.; Shamakhi, L.; Shahriari, M. Toxicity and physiological effects of ajwain (Carum copticum, Apiaceae) essential oil and its major constituents against Tuta absoluta (Meyrick) (Lepidoptera: Gelechiidae). Chemosphere 2020, 256, 127103. [Google Scholar] [CrossRef]
- Lu, X.; Weng, H.; Li, C.; He, J.; Zhang, X.; Ma, Z. Efficacy of essential oil from Mosla chinensis Maxim. cv. Jiangxiangru and its three main components against insect pests. Ind. Crops Prod. 2020, 147, 112237. [Google Scholar] [CrossRef]
- Lee, S.C.; Seo, S.M.; Huh, M.J.; Kwon, J.H.; Nam, I.; Park, J.H.; Park, I.K. Behavioral and electrophysiological effects of Ajowan (Trachyspermum ammi Sprague) (Apiales: Apiaceae) essential oil and its constituents on nymphal and adult bean bugs, Riptortus clavatus (Thunberg) (Hemiptera: Alydidae). Insects 2020, 11, 104. [Google Scholar] [CrossRef]
- Youssefi, M.R.; Tabari, M.A.; Esfandiari, A.; Kazemi, S.; Moghadamnia, A.A.; Sut, S.; Dall’Acqua, S.; Benelli, G.; Maggi, F. efficacy of two monoterpenoids, carvacrol and thymol, and their combinations against eggs and larvae of the west nile vector culex pipiens. Molecules 2019, 24, 1867. [Google Scholar] [CrossRef]
- Youssefi, M.R.; Moghaddas, E.; Tabari, M.A.; Moghadamnia, A.A.; Hosseini, S.M.; Farash, B.R.H.; Ebrahimi, M.A.; Mousavi, N.N.; Fata, A.; Maggi, F.; et al. In vitro and in vivo effectiveness of carvacrol, thymol and linalool against Leishmania infantum. Molecules 2019, 24, 2072. [Google Scholar] [CrossRef]
- Scalerandi, E.; Flores, G.A.; Palacio, M.; Defagó, M.T.; Carpinella, M.C.; Valladares, G.; Bertoni, A.; Palacios, S.M. Understanding synergistic toxicity of terpenes as insecticides: Contribution of metabolic detoxification in Musca domestica. Front. Plant Sci. 2018, 9, 1579. [Google Scholar] [CrossRef] [PubMed]
- Oliveira, A.P.; Santos, A.A.; Santana, A.S.; Lima, A.P.S.; Melo, C.R.; Santana, E.D.R.; Sampaio, T.S.; Blank, A.F.; Araújo, A.P.A.; Cristaldo, P.F.; et al. Essential oil of Lippia sidoides and its major compound thymol: Toxicity and walking response of populations of Sitophilus zeamais (Coleoptera: Curculionidae). Crop Prot. 2018, 112, 33–38. [Google Scholar] [CrossRef]
- Giatropoulos, A.; Kimbaris, A.; Michaelakis, A.; Papachristos, D.P.; Polissiou, M.G.; Emmanouel, N. Chemical composition and assessment of larvicidal and repellent capacity of 14 Lamiaceae essential oils against Aedes albopictus. Parasitol. Res. 2018, 117, 1953–1964. [Google Scholar] [CrossRef]
- Navarro-Rocha, J.; Barrero, A.F.; Burillo, J.; Olmeda, A.S.; González-Coloma, A. Valorization of essential oils from two populations (wild and commercial) of Geranium macrorrhizum L. Ind. Crops Prod. 2018, 116, 41–45. [Google Scholar] [CrossRef]
- Webster, A.E.; Manning, P.; Sproule, J.M.; Faraone, N.; Cutler, G.C. Insecticidal and synergistic activity of two monoterpenes against diamondback moth (Lepidoptera: Plutellidae). Can. Entomol. 2018, 150, 258–264. [Google Scholar] [CrossRef]
- Mesquita, B.M.D.; Nascimento, P.G.D.; Souza, L.G.; Farias, I.F.D.; Silva, R.A.D.; Lemos, T.L.D.; Monte, F.J.Q.; Oliveira, I.R.; Trevisan, M.T.S.; da Silva, H.C.; et al. Synthesis, larvicidal and acetylcholinerase inhibitory activities of carvacrol/thymol and derivatives. Quim. Nova 2018, 41, 412–416. [Google Scholar] [CrossRef]
- Melo, C.R.; Picanço, M.C.; Santos, A.A.; Santos, I.B.; Pimentel, M.F.; Santos, A.C.C.; Blank, A.F.; Araújo, A.P.A.; Cristaldo, P.F.; Bacci, L. Toxicity of essential oils of Lippia gracilis chemotypes and their major compounds on Diaphania hyalinata and non-target species. Crop Prot. 2018, 104, 47–51. [Google Scholar] [CrossRef]
- Gaire, S.; O’Connell, M.; Holguin, F.O.; Amatya, A.; Bundy, S.; Romero, A. Insecticidal properties of essential oils and some of their constituents on the Turkestan Cockroach (Blattodea: Blattidae). J. Econ. Entomol. 2017, 110, 584–592. [Google Scholar] [CrossRef] [PubMed]
- Oliveira, A.P.; Santana, A.S.; Santana, E.D.R.; Lima, A.P.S.; Faro, R.R.N.; Nunes, R.S.; Lima, A.D.; Blank, A.F.; Araújo, A.P.A.; Cristaldo, P.F.; et al. Nanoformulation prototype of the essential oil of Lippia sidoides and thymol to population management of Sitophilus zeamais (Coleoptera: Curculionidae). Ind. Crops Prod. 2017, 107, 198–205. [Google Scholar] [CrossRef]
- Santos, A.A.; de Oliveira, B.M.S.; Melo, C.R.; Lima, A.P.S.; Santana, E.D.R.; Blank, A.F.; Picanco, M.C.; Araujo, A.P.A.; Cristaldo, P.F.; Bacci, L. Sub-lethal effects of essential oil of Lippia sidoides on drywood termite Cryptotermes brevis (Blattodea: Termitoidea). Ecotoxicol. Environ. Safe 2017, 145, 436–441. [Google Scholar] [CrossRef]
- Tabari, M.A.; Youssefi, M.R.; Maggi, F.; Benelli, G. Toxic and repellent activity of selected monoterpenoids (thymol, carvacrol and linalool) against the castor bean tick, Ixodes ricinus (Acari: Ixodidae). Vet. Parasitol. 2017, 245, 86–91. [Google Scholar] [CrossRef] [PubMed]
- Ali, A.; Cantrell, C.L.; Khan, I.A. A New In Vitro Bioassay system for the discovery and quantitative evaluation of mosquito repellents. J. Med. Entomol. 2017, 54, 1328–1336. [Google Scholar] [CrossRef]
- Lee, H.R.; Kim, G.H.; Choi, W.S.; Park, I.K. Repellent activity of apiaceae plant essential oils and their constituents against adult German cockroaches. J. Econ. Entomol. 2016, 110, 552–557. [Google Scholar] [CrossRef]
- Kanda, D.; Kaur, S.; Koul, O. A comparative study of monoterpenoids and phenylpropanoids from essential oils against stored grain insects: Acute toxins or feeding deterrents. J. Pest Sci. 2017, 90, 531–545. [Google Scholar] [CrossRef]
- Rehman, J.U.; Tabanca, N.; Khan, I.A. A Novel in vitro bioassay to explore the repellent effects of compounds against Mosquito Aedes aegypti (Diptera: Culicidae). J. Med. Entomol. 2016, 53, 157–165. [Google Scholar] [CrossRef]
- Seo, S.-M.; Jung, C.-S.; Kang, J.; Lee, H.-R.; Kim, S.-W.; Hyun, J.; Park, I.-K. Larvicidal and Acetylcholinesterase inhibitory activities of apiaceae plant essential oils and their constituents against Aedes albopictus and formulation development. J. Agric. Food Chem. 2015, 63, 9977–9986. [Google Scholar] [CrossRef] [PubMed]
- Huang, T.H.; Tien, N.Y.; Luo, Y.P. An in vitro bioassay for the quantitative evaluation of mosquito repellents against Stegomyia aegypti (Aedes aegypti) mosquitoes using a novel cocktail meal. Med. Vet. Entomol. 2015, 29, 238–244. [Google Scholar] [CrossRef] [PubMed]
- Kumrungsee, N.; Pluempanupat, W.; Koul, O.; Bullangpoti, V. Toxicity of essential oil compounds against diamondback moth, Plutella xylostella, and their impact on detoxification enzyme activities. J. Pest. Sci. 2014, 87, 721–729. [Google Scholar] [CrossRef]
- Tabanca, N.; Bernier, U.R.; Ali, A.; Wang, M.; Demirci, B.; Blythe, E.K.; Khan, S.I.; Baser, K.H.C.; Khan, I.A. Bioassay-Guided Investigation of two Monarda essential oils as repellents of yellow fever Mosquito Aedes aegypti. J. Agric. Food Chem. 2013, 61, 8573–8580. [Google Scholar] [CrossRef]
- Sekine, N.; Shibutani, S. Chemical structures of p-menthane monoterpenes with special reference to their effect on seed germination and termite mortality. J. Wood Sci. 2013, 59, 229–237. [Google Scholar] [CrossRef]
- Azeredo, C.M.O.; Soares, M.J. Combination of the essential oil constituents citral, eugenol and thymol enhance their inhibitory effect on Crithidia fasciculata and Trypanosoma cruzi growth. Rev. Bras. Farmacogn. 2013, 23, 762–768. [Google Scholar] [CrossRef]
- Park, Y.U.; Koo, H.N.; Kim, G.H. Chemical composition, larvicidal action, and adult repellency of Thymus magnus against Aedes albopictus. J. Am. Mosq. Control Assoc. 2012, 28, 192–198. [Google Scholar] [CrossRef] [PubMed]
- Lima, R.K.; Cardoso, M.G.; Moraes, J.C.; Carvalho, S.M.; Rodrigues, V.G.; Guimarães, L.G.L. Chemical composition and fumigant effect of essential oil of Lippia sidoides Cham. and monoterpenes against Tenebrio molitor (L.) (Coleoptera: Tenebrionidae). Ciênc. E Agrotecno. 2011, 35, 664–671. [Google Scholar] [CrossRef]
- Jin, C.; Wu, Z.; Chen, Y.; Gong, X.; Yang, S.; Zhang, Z.; Zhang, D.; Xie, Y. Insights into the toxicity, behavioral responses, biochemical activity, and molecular docking of three Cymbopogon essential oils and their major constituents on Reticulitermes flaviceps. Ind. Crops Prod. 2024, 214, 118563. [Google Scholar] [CrossRef]
- Wu, Z.; Jin, C.; Chen, Y.; Yang, S.; Yang, X.; Zhang, D.; Xie, Y. Mentha spp. essential oils: A potential toxic fumigant with inhibition of acetylcholinesterase activity on Reticulitermes dabieshanensis. Plants 2023, 12, 4034. [Google Scholar] [CrossRef]
- Yang, X.; Han, H.; Li, B.; Zhang, D.; Zhang, Z.; Xie, Y. Fumigant toxicity and physiological effects of spearmint (Mentha spicata, Lamiaceae) essential oil and its major constituents against Reticulitermes dabieshanensis. Ind. Crops Prod. 2021, 171, 113894. [Google Scholar] [CrossRef]
- Pavela, R. Acute, synergistic and antagonistic effects of some aromatic compounds on the Spodoptera littoralis Boisd. (Lep., Noctuidae) larvae. Ind. Crops Prod. 2014, 60, 247–258. [Google Scholar] [CrossRef]
- Pavela, R. Acute toxicity and synergistic and antagonistic effects of the aromatic compounds of some essential oils against Culex quinquefasciatus Say larvae. Parasitol. Res. 2015, 114, 3835–3853. [Google Scholar] [CrossRef]
- Arokiyaraj, C.; Bhattacharyya, K.; Reddy, S.G.E. Toxicity and synergistic activity of compounds from essential oils and their effect on detoxification enzymes against Planococcus lilacinus. Front. Plant Sci. 2022, 13, 1016737. [Google Scholar] [CrossRef]
- Pavela, R.; Maggi, F.; Petrelli, R.; Cappellacci, L.; Buccioni, M.; Palmieri, A.; Canale, A.; Benelli, G. Outstanding insecticidal activity and sublethal effects of Carlina acaulis root essential oil on the housefly, Musca domestica, with insights on its toxicity on human cells. Food Chem. Toxicol. 2020, 136, 111037. [Google Scholar] [CrossRef]
- Ellman, G.L.; Courtney, K.D.; Andres, V., Jr.; Feather-Stone, R.M. A new and rapid colorimetric determination of acetylcholinesterase activity. Biochem. Pharmacol. 1961, 7, 88–95. [Google Scholar] [CrossRef] [PubMed]


| No | Compounds a | RI b | RI c | (%) |
|---|---|---|---|---|
| 1 | α-Pinene | 937 | 936 | 1.6 |
| 2 | Camphene | 954 | 954 | 1.3 |
| 3 | β-Pinene | 977 | 979 | 2.7 |
| 4 | α-Terpinene | 1018 | 1017 | 1.5 |
| 5 | p-Cymene | 1025 | 1025 | 22.4 |
| 6 | Limonene | 1030 | 1029 | 1.2 |
| 7 | γ-Terpinene | 1060 | 1060 | 18.6 |
| 8 | Linalool | 1099 | 1097 | 2.5 |
| 9 | Camphor | 1146 | 1134 | 0.8 |
| 10 | Terpin-4-ol | 1180 | 1177 | 0.6 |
| 11 | α-Terpineol | 1191 | 1186 | 0.3 |
| 12 | Thymol | 1292 | 1290 | 42.1 |
| 13 | Carvacrol | 1307 | 1299 | 3.6 |
| Time (h) | Concentration (mg/mL) | Mortality (%) ± SD | LC50 (mg/mL) (95%CL *) | LC90 (mg/mL) (95%CL) | χ2 |
|---|---|---|---|---|---|
| 12 | 0.25 | 3.3 ± 2.9 b | 1.632 (1.281–2.378) | 4.463 (2.886–11.051) | 15.980 |
| 0.5 | 5.0 ± 5.0 b | ||||
| 1.0 | 18.3 ± 5.8 b | ||||
| 2.0 | 66.7 ± 10.4 a | ||||
| F3,8 = 60.317, p < 0.0001 | |||||
| 24 | 0.25 | 11.7 ± 2.9 c | 1.033 (0.815–1.393) | 3.294 (2.186–7.114) | 15.789 |
| 0.5 | 16.7 ± 2.9 c | ||||
| 1.0 | 35.0 ± 5.0 b | ||||
| 2.0 | 83.3 ± 10.4 a | ||||
| F3,8 = 85.481, p < 0.0001 | |||||
| 36 | 0.25 | 15.0 ± 0.0 c | 0.780 (0.667–0.919) | 2.317 (1.794–3.384) | 10.300 |
| 0.5 | 23.3 ± 7.6 c | ||||
| 1.0 | 53.3 ± 7.6 b | ||||
| 2.0 | 93.3 ± 2.9 a | ||||
| F3,8 = 120.600, p < 0.0001 | |||||
| 48 | 0.25 | 20.0 ± 5.0 c | 0.606 (0.517–0.707) | 1.749 (1.386–2.460) | 10.254 |
| 0.5 | 35.0 ± 8.7 c | ||||
| 1.0 | 65.0 ± 5.0 b | ||||
| 2.0 | 98.3 ± 2.9 a | ||||
| F3,8 = 108.062, p < 0.0001 | |||||
| 60 | 0.25 | 31.7 ± 2.9 c | 0.444 (0.369–0.520) | 1.313 (1.049–1.835) | 8.827 |
| 0.5 | 46.7 ± 10.0 c | ||||
| 1.0 | 80.0 ± 5.0 b | ||||
| 2.0 | 100 ± 0.0 a | ||||
| F3,8 = 81.784, p < 0.0001 | |||||
| 72 | 0.25 | 46.7 ± 2.9 b | 0.300 (0.228–0.365) | 0.959 (0.767–1.357) | 9.744 |
| 0.5 | 65.0 ± 10.0 b | ||||
| 1.0 | 90.0 ± 10.0 a | ||||
| 2.0 | 100 ± 0.0 a | ||||
| F3,8 = 33.640, p < 0.0001 |
| Time (h) | Concentration (mg/mL) | Mortality (%) ± SD | LC50 (mg/mL) (95%CL) | LC90 (mg/mL) (95%CL) | χ2 |
|---|---|---|---|---|---|
| 12 | 0.25 | 1.7 ± 2.9 c | 1.725 (1.458–2.174) | 4.401 (3.205–7.486) | 13.964 |
| 0.5 | 5.0 ± 0.0 c | ||||
| 1.0 | 15.0 ± 5.0 b | ||||
| 2.0 | 63.3 ± 2.9 a | ||||
| F3,8 = 235.933, p < 0.0001 | |||||
| 0.25 | 11.7 ± 2.9 c | 1.159 (0.962–1.462) | 4.218 (2.918–7.646) | 9.307 | |
| 0.5 | 15.0 ± 5.0 c | ||||
| 1.0 | 35.0 ± 5.0 b | ||||
| 2.0 | 78.3 ± 2.9 a | ||||
| F3,8 = 169.333, p < 0.0001 | |||||
| 36 | 0.25 | 13.3 ± 2.9 d | 0.818 (0.696–0.972) | 2.554 (1.945–3.843) | 4.581 |
| 0.5 | 23.3 ± 2.9 c | ||||
| 1.0 | 55.0 ± 5.0 b | ||||
| 2.0 | 88.3 ± 2.9 a | ||||
| F3,8 = 276.000, p < 0.0001 | |||||
| 48 | 0.25 | 18.3 ± 2.9 d | 0.664 (0.560–0.786) | 2.166 (1.657–3.244) | 5.220 |
| 0.5 | 35.0 ± 5.0 c | ||||
| 1.0 | 60.0 ± 5.0 b | ||||
| 2.0 | 93.3 ± 2.9 a | ||||
| F3,8 = 191.667, p < 0.0001 | |||||
| 60 | 0.25 | 31.7 ± 2.9 c | 0.467 (0.389–0.547) | 1.398 (1.112–1.967) | 8.629 |
| 0.5 | 45.0 ± 5.0 c | ||||
| 1.0 | 76.7 ± 5.8 b | ||||
| 2.0 | 100 ± 0.0 a | ||||
| F3,8 = 142.500, p < 0.0001 | |||||
| 72 | 0.25 | 43.3 ± 10.4 c | 0.317 (0.245–0.382) | 0.994 (0.796–1.399) | 6.136 |
| 0.5 | 65.0 ± 5.0 b | ||||
| 1.0 | 88.3 ± 5.8 a | ||||
| 2.0 | 100 ± 0.0 a | ||||
| F3,8 = 45.667, p < 0.0001 |
| Oil/Compounds | Insect Species | LC50 or LD50 | References |
|---|---|---|---|
| Thymus serpyllum EO | Reticulitermes dabieshanensis | 0.092 μL/L | Yang et al. [32] |
| Varroa destructor | 2.549 μL/L | Hýbl et al. [31] | |
| Musca domestica | 20.9 μL/L | Xie et al. [24] | |
| Acanthoscelides obtectus | 1.12 μg/mL | Sertkaya [30] | |
| Frankliniella occidentalis | 0.5% | Picard et al. [29] | |
| thymol | Amblyomma sculptum; | 0.0156 mg/cm2 | da Silva Costa et al. [39] |
| Rhipicephalus sanguineus | 0.0041 mg/cm2 | ||
| Aedes aegypti | 0.1 mg/mL 100% mortality | Nascimento et al. [40] | |
| Reticulitermes dabieshanensis | 0.062 μL/L | Yang et al. [32] | |
| Tribolium castaneum; | 24.65 μg/adult; | Xie et al. [41] | |
| Lasioderma serricorne; | 9.9 μg/adult; | ||
| Liposcelis bostrychophila | 49.36 μg/adult | ||
| Solenopsis invicta | 0.98 μg/g, minimum repellent effective doses | Paudel et al. [42] | |
| Acromyrmex balzani | 2.23 µg/mg | Dantas et al. [43] | |
| Chilo suppressalis | 17.11 μg/larvae | Basij et al. [44] | |
| Plutella xylostella | 2.45 mg/mL | Zhao et al. [45] | |
| Sitophylus oryzae | 51.84%, repellency effects for 2% | Marsin and Muhamad [46] | |
| Tribolium confusum; | 0.3% | Amari et al. [47] | |
| Supella longipalpa | |||
| Sitophilus zeamais | 196 μmol/cm2 | Rodríguez et al. [48] | |
| Glyphodes pyloalis | 32.18 μg/larva | Goharrostami et al. [49] | |
| Spodoptera exigua | 9.54 μg/larva | Kumrungsee et al. [50] | |
| Spodoptera litura | 5.610 μg/larva | Ruttanaphan and Bullangpoti [3] | |
| Acanthoscelides obtectus | Females, 98.4 mg/kg; | Lazarević et al. [51] | |
| Males, 66.0 mg/kg | |||
| Plutella xylostella | 27.94 mg/L | da Camara et al. [52] | |
| Spodoptera exigua | 32.45 μg/larva | Pengsook et al. [53] | |
| Galleria mellonella | 0.5 mg/adult | Sohail et al. [54] | |
| Podisus nigrispinu; | 10.27 mg/g; | Lima et al. [55] | |
| Spodoptera frugiperda | 4.91 mg/g | ||
| Tuta absoluta | 7.72 μL/mL | Piri et al. [56] | |
| Mythimna separate; | 6.67 μL/L; | Lu et al. [57] | |
| Myzus persicae; | 5.58 μL/L; | ||
| Sitophilus zeamais; | 59.20 μL/L; | ||
| Musca domestica; | 1.66 μL/L; | ||
| Tetranychus cinnabarinus | 2.14 μL/L | ||
| Riptortus clavatus | 70.0% repellent activity at 2.83 μg/cm2 | Lee et al. [58] | |
| Culex pipiens | 49 mg/L | Youssefi et al. [59] | |
| Leishmania infantum | 7.22 μg/mL | Youssefi et al. [60] | |
| Musca domestica | 13 mg/L | Scalerandi et al. [61] | |
| Sitophilus zeamais | 84.06 μL/L | Oliveira et al. [62] | |
| Aedes albopictus | 12.9 mg/L | Giatropoulos et al. [63] | |
| Hyalomma lusitanicum | 100% at 5 mg/L | Navarro-Rocha et al. [64] | |
| Plutella xylostella | 0.00018 ppm | Webster et al. [65] | |
| Aedes aegypti | 35.71 ppm | de Mesquita et al. [66] | |
| Diaphania hyalinata | 2.99 μg/mg | Melo et al. [67] | |
| Blatta lateralis | 0.34 mg/nymph | Gaire et al. [68] | |
| Sitophilus zeamais | 17.08 μg/mg | Oliveira et al. [69] | |
| Cryptotermes brevis | 8.20 μg/mg | Santos et al. [70] | |
| Ixodes ricinus | 100% at 1% | Tabari et al. [71] | |
| Aedes aegypti | 11.1 μg/cm2 | Ali et al. [72] | |
| Blattella germanica | 100%, repellency effects for 10 μg/cm2 | Lee et al. [73] | |
| Sitophilus oryzae; | 24.07 μg/cm2; | Kanda et al. [74] | |
| Tribolium castaneum; | 11.21 μg/cm2 | ||
| Rhyzopertha dominica; | 8.8 μg/cm2 | ||
| Aedes aegypti | 0.013 mg/cm2 | Rehman et al. [75] | |
| Aedes albopictus | 100%, larvicidal activity, 0.1 mg/mL | Seo et al. [76] | |
| Stegomyia aegypti | 68.05 μg/cm2 | Huang et al. [77] | |
| Plutella xylostella | 0.22 μg/larva | Kumrungsee et al. [78] | |
| Aedes aegypti | 13.9 ppm | Tabanca et al. [79] | |
| Spodoptera litura | 28.5 μg/larva | Koul et al. [22] | |
| Reticulitermes speratus | 0.65 mg/Petri dish | Sekine and Shibutani [80] | |
| Crithidia fasciculata; | 32.5 μg/mL; | Azeredo and Soares [81] | |
| Trypanosoma cruzi | 62 μg/mL | ||
| Aedes albopictus | 9 μL/L | Park et al. [82] | |
| Tenebrio molitor | 14.71 μL/L | Lima et al. [83] |
Disclaimer/Publisher’s Note: The statements, opinions and data contained in all publications are solely those of the individual author(s) and contributor(s) and not of MDPI and/or the editor(s). MDPI and/or the editor(s) disclaim responsibility for any injury to people or property resulting from any ideas, methods, instructions or products referred to in the content. |
© 2024 by the authors. Licensee MDPI, Basel, Switzerland. This article is an open access article distributed under the terms and conditions of the Creative Commons Attribution (CC BY) license (https://creativecommons.org/licenses/by/4.0/).
Share and Cite
Wang, L.; Jing, S.; Wang, S.; Xing, Z.; Qu, J.; Wang, X. Chemical Composition, Larvicidal and Ovicidal Activities, and Enzyme Inhibition Capacity of Thymus serpyllum Essential Oils Against Spodoptera litura (Fabricius). Plants 2024, 13, 3315. https://doi.org/10.3390/plants13233315
Wang L, Jing S, Wang S, Xing Z, Qu J, Wang X. Chemical Composition, Larvicidal and Ovicidal Activities, and Enzyme Inhibition Capacity of Thymus serpyllum Essential Oils Against Spodoptera litura (Fabricius). Plants. 2024; 13(23):3315. https://doi.org/10.3390/plants13233315
Chicago/Turabian StyleWang, Lijun, Siluo Jing, Shuang Wang, Zhikai Xing, Jiangyong Qu, and Xumin Wang. 2024. "Chemical Composition, Larvicidal and Ovicidal Activities, and Enzyme Inhibition Capacity of Thymus serpyllum Essential Oils Against Spodoptera litura (Fabricius)" Plants 13, no. 23: 3315. https://doi.org/10.3390/plants13233315
APA StyleWang, L., Jing, S., Wang, S., Xing, Z., Qu, J., & Wang, X. (2024). Chemical Composition, Larvicidal and Ovicidal Activities, and Enzyme Inhibition Capacity of Thymus serpyllum Essential Oils Against Spodoptera litura (Fabricius). Plants, 13(23), 3315. https://doi.org/10.3390/plants13233315
