Mitigation of Salt Stress in Lactuca sativa L. var. Gentile Rossa Using Microalgae as Priming Agents
Abstract
1. Introduction
2. Results
2.1. Characteristics of the Microalgae-Based Product
2.1.1. Elemental Analysis and Lipid Content
2.1.2. Content in Amino Acids
2.1.3. Spectroscopic Characterization of Microalgal-Based Product (MR)
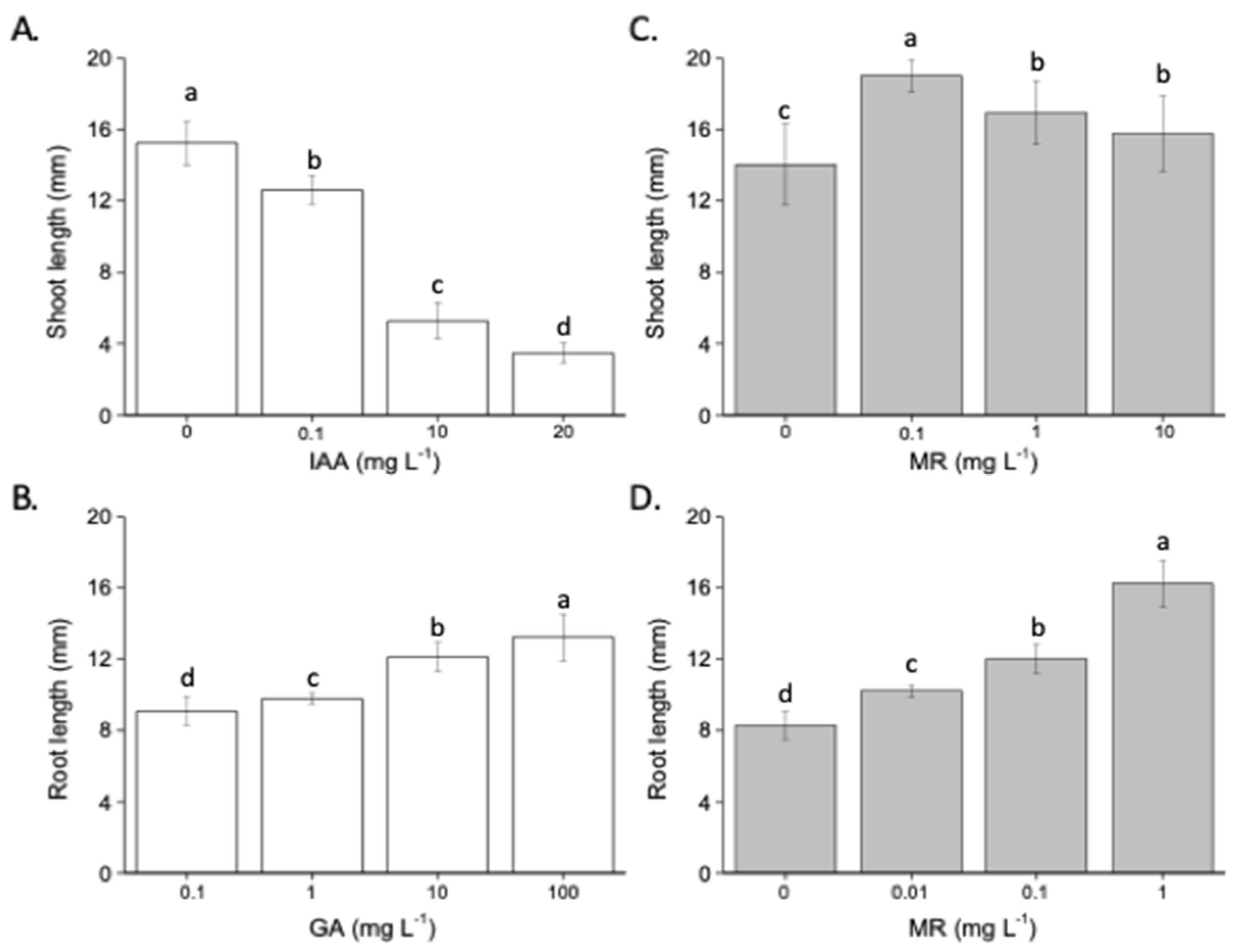
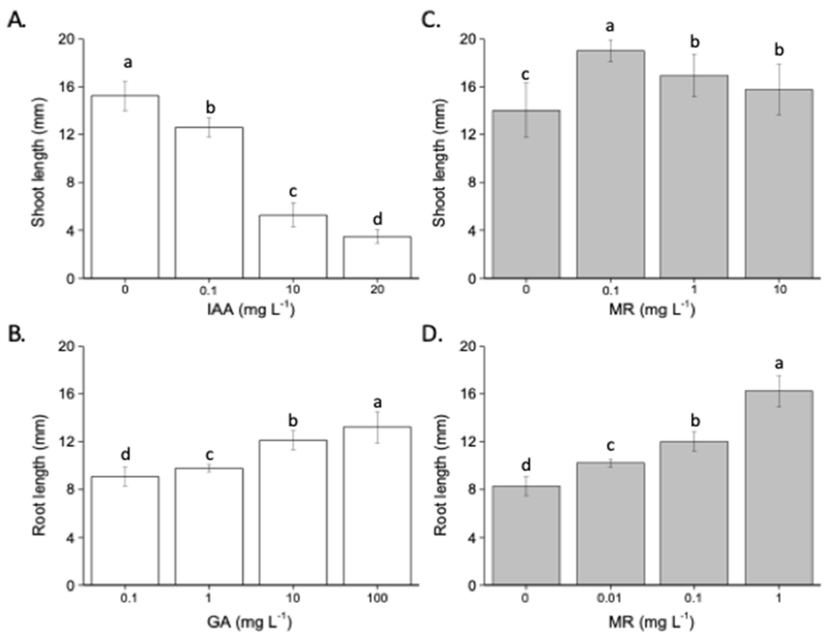
2.2. Hormone-like Activities
2.3. Effect of MR on Root Morphology
2.4. Effects of the Microalgae-Based Product and NaCl on Leaf and Root Biomass, Chlorophyll and Protein Content
2.5. Effects of the Microalgae-Based Product on Total Phenol Content
2.6. Effects of the Microalgae-Based Product on the Accumulation of Na+ and K+
2.7. Effects of the Microalgae-Based Product and NaCl on Lipid Peroxidation and Antioxidants
3. Discussion
4. Materials and Methods
4.1. Chemical Characterization of the Microalgae-Based Product
4.1.1. Elemental Analysis, Quantification of Moisture and Ashes
4.1.2. Analysis of Functional Groups and Structure via Attenuated Total Reflectance (ATR-IR) and Nuclear Magnetic Resonance (NMR) Spectroscopies
4.1.3. Lipid Content
4.1.4. Amino Acid Composition
4.1.5. Assessment of Hormone-like Activities
4.2. Experimental Design
4.3. Root Morphological Analysis
4.4. Elemental Analyses
4.5. Analysis of Soluble Proteins, Chlorophyll Content and Total Phenols
4.6. Lipid Peroxidation and Antioxidant Enzyme Activities
4.7. Statistical Analysis
5. Conclusions
Supplementary Materials
Author Contributions
Funding
Data Availability Statement
Conflicts of Interest
References
- Gonçalves, A.L. The Use of Microalgae and Cyanobacteria in the Improvement of Agricultural Practices: A Review on Their Biofertilising, Biostimulating and Biopesticide Roles. Appl. Sci. 2021, 11, 871. [Google Scholar] [CrossRef]
- Abinandan, S.; Subashchandrabose, S.R.; Panneerselvan, L.; Venkateswarlu, K.; Megharaj, M. Potential of Acid-Tolerant Microalgae, Desmodesmus sp. MAS1 and Heterochlorella Sp. MAS3, in Heavy Metal Removal and Biodiesel Production at Acidic pH. Bioresour. Technol. 2019, 278, 9–16. [Google Scholar] [CrossRef] [PubMed]
- Kapoor, S.; Singh, M.; Srivastava, A.; Chavali, M.; Chandrasekhar, K.; Verma, P. Extraction and Characterization of Microalgae-derived Phenolics for Pharmaceutical Applications: A Systematic Review. J. Basic. Microbiol. 2022, 62, 1044–1063. [Google Scholar] [CrossRef] [PubMed]
- Kapoore, R.V.; Wood, E.E.; Llewellyn, C.A. Algae Biostimulants: A Critical Look at Microalgal Biostimulants for Sustainable Agricultural Practices. Biotechnol. Adv. 2021, 49, 107754. [Google Scholar] [CrossRef] [PubMed]
- Garg, M.; Sharma, N.; Sharma, S.; Kapoor, P.; Kumar, A.; Chunduri, V.; Arora, P. Biofortified Crops Generated by Breeding, Agronomy, and Transgenic Approaches Are Improving Lives of Millions of People around the World. Front. Nutr. 2018, 5, 12. [Google Scholar] [CrossRef] [PubMed]
- Rady, M.M.; Elrys, A.S.; Selem, E.; Mohsen, A.A.A.; Arnaout, S.M.A.I.; El-Sappah, A.H.; El-Tarabily, K.A.; Desoky, E.-S.M. Spirulina platensis Extract Improves the Production and Defenses of the Common Bean Grown in a Heavy Metals-Contaminated Saline Soil. J. Environ. Sci. 2023, 129, 240–257. [Google Scholar] [CrossRef]
- Ahmed, S.F.; Mofijur, M.; Parisa, T.A.; Islam, N.; Kusumo, F.; Inayat, A.; Le, V.G.; Badruddin, I.A.; Khan, T.M.Y.; Ong, H.C. Progress and Challenges of Contaminate Removal from Wastewater Using Microalgae Biomass. Chemosphere 2022, 286, 131656. [Google Scholar] [CrossRef]
- Wang, C.; Qi, M.; Guo, J.; Zhou, C.; Yan, X.; Ruan, R.; Cheng, P. The Active Phytohormone in Microalgae: The Characteristics, Efficient Detection, and Their Adversity Resistance Applications. Molecules 2021, 27, 46. [Google Scholar] [CrossRef] [PubMed]
- Zhou, J.-L.; Yang, L.; Huang, K.-X.; Chen, D.-Z.; Gao, F. Mechanisms and Application of Microalgae on Removing Emerging Contaminants from Wastewater: A Review. Bioresour. Technol. 2022, 364, 128049. [Google Scholar] [CrossRef] [PubMed]
- Cordeiro, E.C.N.; Mógor, Á.F.; Amatussi, J.O.; Mógor, G.; Marques, H.M.C.; De Lara, G.B. Microalga Biofertilizer Improves Potato Growth and Yield, Stimulating Amino Acid Metabolism. J. Appl. Phycol. 2022, 34, 385–394. [Google Scholar] [CrossRef]
- Berthon, J.-Y.; Michel, T.; Wauquier, A.; Joly, P.; Gerbore, J.; Filaire, E. Seaweed and Microalgae as Major Actors of Blue Biotechnology to Achieve Plant Stimulation and Pest and Pathogen Biocontrol—A Review of the Latest Advances and Future Prospects. J. Agric. Sci. 2021, 159, 523–534. [Google Scholar] [CrossRef]
- Yang, T.; Samarakoon, U.; Altland, J.; Ling, P. Photosynthesis, Biomass Production, Nutritional Quality, and Flavor-Related Phytochemical Properties of Hydroponic-Grown Arugula (Eruca sativa Mill.) ‘Standard’ under Different Electrical Conductivities of Nutrient Solution. Agronomy 2021, 11, 1340. [Google Scholar] [CrossRef]
- Puglisi, I.; La Bella, E.; Rovetto, E.I.; Stevanato, P.; Fascella, G.; Baglieri, A. Morpho-Biometric and Biochemical Responses in Lettuce Seedlings Treated by Different Application Methods of Chlorella vulgaris Extract: Foliar Spray or Root Drench? J. Appl. Phycol. 2022, 34, 889–901. [Google Scholar] [CrossRef]
- Grzesik, M.; Romanowska-Duda, Z. Improvements in Germination, Growth, and Metabolic Activity of Corn Seedlings by Grain Conditioning and Root Application with Cyanobacteria and Microalgae. Pol. J. Environ. Stud. 2014, 23, 1147–1153. [Google Scholar]
- Guzmán-Murillo, M.A.; Ascencio, F.; Larrinaga-Mayoral, J.A. Germination and ROS Detoxification in Bell Pepper (Capsicum annuum L.) under NaCl Stress and Treatment with Microalgae Extracts. Protoplasma 2013, 250, 33–42. [Google Scholar] [CrossRef]
- Parmar, P.; Kumar, R.; Neha, Y.; Srivatsan, V. Microalgae as next Generation Plant Growth Additives: Functions, Applications, Challenges and Circular Bioeconomy Based Solutions. Front. Plant Sci. 2023, 14, 1073546. [Google Scholar] [CrossRef] [PubMed]
- Rachidi, F.; Benhima, R.; Sbabou, L.; El Arroussi, H. Microalgae Polysaccharides Bio-Stimulating Effect on Tomato Plants: Growth and Metabolic Distribution. Biotechnol. Rep. 2020, 25, e00426. [Google Scholar] [CrossRef]
- Mutale-joan, C.; Rachidi, F.; Mohamed, H.A.; Mernissi, N.E.; Aasfar, A.; Barakate, M.; Mohammed, D.; Sbabou, L.; Arroussi, H.E. Microalgae-Cyanobacteria–Based Biostimulant Effect on Salinity Tolerance Mechanisms, Nutrient Uptake, and Tomato Plant Growth under Salt Stress. J. Appl. Phycol. 2021, 33, 3779–3795. [Google Scholar] [CrossRef]
- Hassani, A.; Azapagic, A.; Shokri, N. Global Predictions of Primary Soil Salinization under Changing Climate in the 21st Century. Nat. Commun. 2021, 12, 6663. [Google Scholar] [CrossRef]
- Van Zelm, E.; Zhang, Y.; Testerink, C. Salt Tolerance Mechanisms of Plants. Annu. Rev. Plant Biol. 2020, 71, 403–433. [Google Scholar] [CrossRef] [PubMed]
- Zhao, S.; Zhang, Q.; Liu, M.; Zhou, H.; Ma, C.; Wang, P. Regulation of Plant Responses to Salt Stress. Int. J. Mol. Sci. 2021, 22, 4609. [Google Scholar] [CrossRef] [PubMed]
- Zhou, H.; Shi, H.; Yang, Y.; Feng, X.; Chen, X.; Xiao, F.; Lin, H.; Guo, Y. Insights into Plant Salt Stress Signaling and Tolerance. J. Genet. Genom. 2024, 51, 16–34. [Google Scholar] [CrossRef] [PubMed]
- Seifikalhor, M.; Aliniaeifard, S.; Shomali, A.; Azad, N.; Hassani, B.; Lastochkina, O.; Li, T. Calcium Signaling and Salt Tolerance Are Diversely Entwined in Plants. Plant Signal. Behav. 2019, 14, 1665455. [Google Scholar] [CrossRef]
- Gupta, B.; Shrestha, J. Editorial: Abiotic Stress Adaptation and Tolerance Mechanisms in Crop Plants. Front. Plant Sci. 2023, 14, 1278895. [Google Scholar] [CrossRef] [PubMed]
- Rouphael, Y.; Kyriacou, M.C. Enhancing Quality of Fresh Vegetables Through Salinity Eustress and Biofortification Applications Facilitated by Soilless Cultivation. Front. Plant Sci. 2018, 9, 1254. [Google Scholar] [CrossRef]
- Petropoulos, S.A.; Levizou, E.; Ntatsi, G.; Fernandes, Â.; Petrotos, K.; Akoumianakis, K.; Barros, L.; Ferreira, I.C.F.R. Salinity Effect on Nutritional Value, Chemical Composition and Bioactive Compounds Content of Cichorium spinosum L. Food Chem. 2017, 214, 129–136. [Google Scholar] [CrossRef] [PubMed]
- El-Nakhel, C.; Cozzolino, E.; Ottaiano, L.; Petropoulos, S.A.; Nocerino, S.; Pelosi, M.E.; Rouphael, Y.; Mori, M.; Di Mola, I. Effect of Biostimulant Application on Plant Growth, Chlorophylls and Hydrophilic Antioxidant Activity of Spinach (Spinacia oleracea L.) Grown under Saline Stress. Horticulturae 2022, 8, 971. [Google Scholar] [CrossRef]
- Acosta-Motos, J.; Ortuño, M.; Bernal-Vicente, A.; Diaz-Vivancos, P.; Sanchez-Blanco, M.; Hernandez, J. Plant Responses to Salt Stress: Adaptive Mechanisms. Agronomy 2017, 7, 18. [Google Scholar] [CrossRef]
- Hassan, M.N.; Mekkawy, S.A.; Mahdy, M.; Salem, K.F.M.; Tawfik, E. Recent Molecular and Breeding Strategies in Lettuce (Lactuca spp.). Genet. Resour. Crop Evol. 2021, 68, 3055–3079. [Google Scholar] [CrossRef]
- Grace, C.E.E.; Lakshmi, P.K.; Meenakshi, S.; Vaidyanathan, S.; Srisudha, S.; Mary, M.B. Biomolecular Transitions and Lipid Accumulation in Green Microalgae Monitored by FTIR and Raman Analysis. Spectrochim. Acta Part A Mol. Biomol. Spectrosc. 2020, 224, 117382. [Google Scholar] [CrossRef]
- Bellamy, L.J. The Infrared Spectra of Complex Molecules: Volume Two Advances in Infrared Group Frequencies; Springer: Dordrecht, The Netherlands, 1980; ISBN 978-0-412-22350-1. [Google Scholar]
- Pereira, L.; Gheda, S.F.; Ribeiro-Claro, P.J.A. Analysis by Vibrational Spectroscopy of Seaweed Polysaccharides with Potential Use in Food, Pharmaceutical, and Cosmetic Industries. Int. J. Carbohydr. Chem. 2013, 2013, 537202. [Google Scholar] [CrossRef]
- Akhter, M.; Dutta Majumdar, R.; Fortier-McGill, B.; Soong, R.; Liaghati-Mobarhan, Y.; Simpson, M.; Arhonditsis, G.; Schmidt, S.; Heumann, H.; Simpson, A.J. Identification of Aquatically Available Carbon from Algae through Solution-State NMR of Whole 13C-Labelled Cells. Anal. Bioanal. Chem. 2016, 408, 4357–4370. [Google Scholar] [CrossRef]
- Hatzakis, E.; Agiomyrgianaki, A.; Kostidis, S.; Dais, P. High-Resolution NMR Spectroscopy: An Alternative Fast Tool for Qualitative and Quantitative Analysis of Diacylglycerol (DAG) Oil. J. Am. Oil Chem. Soc. 2011, 88, 1695–1708. [Google Scholar] [CrossRef]
- Paes De Melo, B.; Carpinetti, P.D.A.; Fraga, O.T.; Rodrigues-Silva, P.L.; Fioresi, V.S.; De Camargos, L.F.; Ferreira, M.F.D.S. Abiotic Stresses in Plants and Their Markers: A Practice View of Plant Stress Responses and Programmed Cell Death Mechanisms. Plants 2022, 11, 1100. [Google Scholar] [CrossRef]
- Zinn, K.E.; Tunc-Ozdemir, M.; Harper, J.F. Temperature Stress and Plant Sexual Reproduction: Uncovering the Weakest Links. J. Exp. Bot. 2010, 61, 1959–1968. [Google Scholar] [CrossRef]
- Kusvuran, S. Microalgae (Chlorella vulgaris Beijerinck) Alleviates Drought Stress of Broccoli Plants by Improving Nutrient Uptake, Secondary Metabolites, and Antioxidative Defense System. Hortic. Plant J. 2021, 7, 221–231. [Google Scholar] [CrossRef]
- Stirk, W.A.; Bálint, P.; Tarkowská, D.; Novák, O.; Strnad, M.; Ördög, V.; Van Staden, J. Hormone Profiles in Microalgae: Gibberellins and Brassinosteroids. Plant Physiol. Biochem. 2013, 70, 348–353. [Google Scholar] [CrossRef]
- Siddhnath; Surasani, V.K.R.; Singh, A.; Singh, S.M.; Hauzoukim; Murthy, L.N.; Baraiya, K.G. Bioactive Compounds from Micro-Algae and Its Application in Foods: A Review. Discov. Food 2024, 4, 27. [Google Scholar] [CrossRef]
- Ertani, A.; Nardi, S.; Francioso, O.; Sanchez-Cortes, S.; Foggia, M.D.; Schiavon, M. Effects of Two Protein Hydrolysates Obtained From Chickpea (Cicer arietinum L.) and Spirulina platensis on Zea mays (L.) Plants. Front. Plant Sci. 2019, 10, 954. [Google Scholar] [CrossRef]
- Mazepa, E.; Malburg, B.V.; Mógor, G.; de Oliveira, A.C.; Amatussi, J.O.; Corrêa, D.O.; Lemos, J.S.; Ducatti, D.R.; Duarte, M.E.R.; Mogor, A.F.; et al. Plant Growth Biostimulant Activity of the Green Microalga Desmodesmus subspicatus. Algal Res. 2021, 59, 102434. [Google Scholar] [CrossRef]
- Mishra, N.; Jiang, C.; Chen, L.; Paul, A.; Chatterjee, A.; Shen, G. Achieving Abiotic Stress Tolerance in Plants through Antioxidative Defense Mechanisms. Front. Plant Sci. 2023, 14, 1110622. [Google Scholar] [CrossRef]
- Srivastava, R. Physicochemical, Antioxidant Properties of Carotenoids and Its Optoelectronic and Interaction Studies with Chlorophyll Pigments. Sci. Rep. 2021, 11, 18365. [Google Scholar] [CrossRef]
- Carrasco-Ríos, L.; Pinto, M. Effect of Salt Stress on Antioxidant Enzymes and Lipid Peroxidation in Leaves in Two Contrasting Corn, “Lluteño” and “Jubilee”. Chil. J. Agric. Res. 2014, 74, 89–95. [Google Scholar] [CrossRef]
- Van Oosten, M.J.; Pepe, O.; De Pascale, S.; Silletti, S.; Maggio, A. The Role of Biostimulants and Bioeffectors as Alleviators of Abiotic Stress in Crop Plants. Chem. Biol. Technol. Agric. 2017, 4, 5. [Google Scholar] [CrossRef]
- İkiz, B.; Dasgan, H.Y.; Balik, S.; Kusvuran, S.; Gruda, N.S. The Use of Biostimulants as a Key to Sustainable Hydroponic Lettuce Farming under Saline Water Stress. BMC Plant Biol. 2024, 24, 808. [Google Scholar] [CrossRef]
- Gaschler, M.M.; Stockwell, B.R. Lipid Peroxidation in Cell Death. Biochem. Biophys. Res. Commun. 2017, 482, 419–425. [Google Scholar] [CrossRef]
- Chokshi, K.; Pancha, I.; Ghosh, A.; Mishra, S. Salinity Induced Oxidative Stress Alters the Physiological Responses and Improves the Biofuel Potential of Green Microalgae Acutodesmus dimorphus. Bioresour. Technol. 2017, 244, 1376–1383. [Google Scholar] [CrossRef]
- Boselli, E.; Velazco, V.; Fiorenza Caboni, M.; Lercker, G. Pressurized Liquid Extraction of Lipids for the Determination of Oxysterols in Egg-Containing Food. J. Chromatogr. A 2001, 917, 239–244. [Google Scholar] [CrossRef]
- Folch, J.; Lees, M.; Stanley, G.H.S. A Simple Method for the Isolation and Purification of total Lipides from Animal Tissues. J. Biol. Chem. 1957, 226, 497–509. [Google Scholar] [CrossRef]
- Toschi, T.G.; Cardenia, V.; Bonaga, G.; Mandrioli, M.; Rodriguez-Estrada, M.T. Coffee Silverskin: Characterization, Possible Uses, and Safety Aspects. J. Agric. Food Chem. 2014, 62, 10836–10844. [Google Scholar] [CrossRef]
- Świder, O.; Roszko, M.Ł.; Wójcicki, M.; Szymczyk, K. Biogenic Amines and Free Amino Acids in Traditional Fermented Vegetables—Dietary Risk Evaluation. J. Agric. Food Chem. 2020, 68, 856–868. [Google Scholar] [CrossRef] [PubMed]
- Ertani, A.; Francioso, O.; Tinti, A.; Schiavon, M.; Pizzeghello, D.; Nardi, S. Evaluation of Seaweed Extracts From Laminaria and Ascophyllum nodosum spp. as Biostimulants in Zea mays L. Using a Combination of Chemical, Biochemical and Morphological Approaches. Front. Plant Sci. 2018, 9, 428. [Google Scholar] [CrossRef] [PubMed]
- Ertani, A.; Francioso, O.; Tugnoli, V.; Righi, V.; Nardi, S. Effect of Commercial Lignosulfonate-Humate on Zea Mays L. Metabolism. J. Agric. Food Chem. 2011, 59, 11940–11948. [Google Scholar] [CrossRef] [PubMed]
- Bradford, M.M. A Rapid and Sensitive Method for the Quantitation of Microgram Quantities of Protein Utilizing the Principle of Protein-Dye Binding. Anal. Biochem. 1976, 72, 248–254. [Google Scholar] [CrossRef] [PubMed]
- López Arnaldos, T.; Muñoz, R.; Ferrer, M.A.; Calderón, A.A. Changes in Phenol Content during Strawberry (Fragaria × Ananassa, Cv. Chandler) Callus Culture. Physiol. Plant. 2001, 113, 315–322. [Google Scholar] [CrossRef]
- Heath, R.L.; Packer, L. Photoperoxidation in Isolated Chloroplasts. Arch. Biochem. Biophys. 1968, 125, 189–198. [Google Scholar] [CrossRef]
- Tijssen, P. Practice and Theory of Enzyme Immunoassays. In Laboratory Techniques in Biochemistry and Molecular Biology; Elsevier: Amsterdam, The Netherlands, 1985; ISBN 978-0-08-085884-5. [Google Scholar]
- Nakano, Y.; Asada, K. Hydrogen Peroxide Is Scavenged by Ascorbate-Specific Peroxidase in Spinach Chloroplasts. Plant Cell Physiol. 1981, 22, 867–880. [Google Scholar] [CrossRef]
- Sokal, R.R.; Rohlf, F.J. Biometry: The Principles and Practice of Statistics in Biological Research, 4th ed.; [Extensively Rev.]; W.H. Freeman: New York, NY, USA, 2012; ISBN 978-0-7167-8604-7. [Google Scholar]
- Carr, H.Y.; Purcell, E.M. Effects of Diffusion on Free Precession in Nuclear Magnetic Resonance Experiments. Phys. Rev. 1954, 94, 630. [Google Scholar] [CrossRef]
- Meiboom, S.; Gill, D. Modified Spin-Echo Method for Measuring Nuclear Relaxation Times. Rev. Sci. Instrum. 1958, 29, 688–691. [Google Scholar] [CrossRef]









| Parameters | Concentration |
|---|---|
| TOC (g kg−1) | 30 ± 2.90 |
| TKN (g kg−1) | 70 ± 1.78 |
| P (mg kg−1) | 749 ± 37.84 |
| K (mg kg−1) | 2452 ± 38.8 |
| Ca (mg kg−1) | 190 ± 8.70 |
| Mg (mg kg−1) | 231 ± 9.81 |
| Cu (mg kg−1) | 1.76 ± 0.38 |
| Zn (mg kg−1) | 2.23 ± 0.18 |
| Fe (mg kg−1) | 63 ± 3.82 |
| Mn (mg kg−1) | 2.10 ± 0.11 |
| pH | 3.8 ± 0.06 |
| Moisture (%) | 8.84 ± 0.07 |
| Ash (%) | 6.75 ± 0.20 |
| Parameters | Concentration |
|---|---|
| Total lipid | 11.11 ± 0.10 |
| MAG | 2.91 ± 0.02 |
| DAG | 38.51 ± 0.18 |
| TAG | 0.84 ± 0.08 |
| FFA | 42.31 ± 0.17 |
| HYCA | 14.67 ± 0.11 |
| PSTOC | 0.75 ± 0.01 |
| Total lipid | 11.11 ± 0.10 |
| Amino Acid | % (g/g) |
|---|---|
| Glutamic acid | 0.43 |
| Leucine | 0.42 |
| Alanine | 0.38 |
| Valine | 0.31 |
| Lysine | 0.29 |
| Isoleucine | 0.26 |
| Threonine | 0.26 |
| Serine | 0.22 |
| Histidine | 0.19 |
| Asparagine | 0.17 |
| Glycine | 0.14 |
| Phenylalanine | 0.12 |
| Tryptophan | 0.10 |
| Methionine | 0.10 |
| Aspartic acid | 0.09 |
| Arginine | 0.07 |
| Tyrosine | 0.07 |
| Proline | 0.07 |
| Cysteine | 0.04 |
| Glutamine | 0.03 |
| Parameters | C | MR | % Increase |
|---|---|---|---|
| Projected Area (cm2) | 47.34 ± 12.22 a | 53.49 ± 8.28 a | 113 |
| Surface Area (cm2) | 148.73 ± 24.80 b | 168.05 ± 23.1 a | 114 |
| Average Diameter (mm) | 0.74 ± 0.046 b | 0.57 ± 0.05 a | 77 |
| Root Volume (cm3) | 2.74 ± 0.14 b | 2.38 ± 0.09 a | 87 |
| Tips | 942 ± 23 b | 1186 ± 38 a | 126 |
| Forks | 6254 ± 56 b | 7990 ± 37 a | 128 |
| Crossings | 942 ± 57 b | 1568 ± 67 a | 166 |
| K+ | Na+ | K+/Na+ | |
|---|---|---|---|
| Leaf | mg kg−1 D.W. | ||
| C | 7.74 ± 0.82 c | 1.96 ± 0.21 c | 3.95 ± 0.20 a |
| MR | 7.61 ± 0.38 c | 1.87 ± 0.06 c | 4.07 ± 0.31 a |
| NaCl 50 | 8.99 ± 0.11 b | 3.33 ± 0.22 a | 2.70 ± 0.11 d |
| NaCl 100 | 9.42 ± 0.15 b | 3.17 ± 0.20 a | 2.97 ± 0.10 d |
| MR + NaCl 50 | 9.17 ± 0.12 b | 2.54 ± 0.12 b | 3.54 ± 0.23 c |
| MR + NaCl 100 | 10.24 ± 0.55 a | 2.37 ± 0.13 b | 4.32 ± 0.27 a |
| Root | |||
| C | 10.03 ± 0.97 a | 3.02 ± 0.41 c | 3.33 ± 0.32 a |
| MR | 9.60 ± 0.53 a | 3.03 ± 0.05 c | 3.17 ± 0.13 a |
| NaCl 50 | 9.06 ± 0.16 b | 4.10 ± 0.25 a | 2.21 ± 0.09 c |
| NaCl 100 | 8.27 ± 0.12 c | 4.28 ± 0.19 a | 1.93 ± 0.23 c |
| MR + NaCl 50 | 10.29 ± 0.18 a | 3.56 ± 0.09 b | 2.89 ± 0.13 b |
| MR + NaCl 100 | 9.94 ± 0.85 a | 2.94 ± 0.10 c | 3.38 ± 0.22 a |
Disclaimer/Publisher’s Note: The statements, opinions and data contained in all publications are solely those of the individual author(s) and contributor(s) and not of MDPI and/or the editor(s). MDPI and/or the editor(s) disclaim responsibility for any injury to people or property resulting from any ideas, methods, instructions or products referred to in the content. |
© 2024 by the authors. Licensee MDPI, Basel, Switzerland. This article is an open access article distributed under the terms and conditions of the Creative Commons Attribution (CC BY) license (https://creativecommons.org/licenses/by/4.0/).
Share and Cite
Francioso, O.; Schiavon, M.; Nardi, S.; Castellani, D.; Ferrari, E.; Estrada, M.T.R.; della Lucia, M.C.; Zuffi, V.; Ertani, A. Mitigation of Salt Stress in Lactuca sativa L. var. Gentile Rossa Using Microalgae as Priming Agents. Plants 2024, 13, 3311. https://doi.org/10.3390/plants13233311
Francioso O, Schiavon M, Nardi S, Castellani D, Ferrari E, Estrada MTR, della Lucia MC, Zuffi V, Ertani A. Mitigation of Salt Stress in Lactuca sativa L. var. Gentile Rossa Using Microalgae as Priming Agents. Plants. 2024; 13(23):3311. https://doi.org/10.3390/plants13233311
Chicago/Turabian StyleFrancioso, Ornella, Michela Schiavon, Serenella Nardi, Davide Castellani, Erika Ferrari, Maria Teresa Rodriguez Estrada, Maria Cristina della Lucia, Veronica Zuffi, and Andrea Ertani. 2024. "Mitigation of Salt Stress in Lactuca sativa L. var. Gentile Rossa Using Microalgae as Priming Agents" Plants 13, no. 23: 3311. https://doi.org/10.3390/plants13233311
APA StyleFrancioso, O., Schiavon, M., Nardi, S., Castellani, D., Ferrari, E., Estrada, M. T. R., della Lucia, M. C., Zuffi, V., & Ertani, A. (2024). Mitigation of Salt Stress in Lactuca sativa L. var. Gentile Rossa Using Microalgae as Priming Agents. Plants, 13(23), 3311. https://doi.org/10.3390/plants13233311

