Climate Response and Radial Growth Dynamics of Pedunculate Oak (Quercus robur L.) Plus Trees and Their Half-Sib Progeny in Periods of Severe Droughts in the Forest-Steppe Zone of Eastern Europe
Abstract
1. Introduction
2. Results
2.1. Climate Analysis
2.2. Statistical and Relative Indicators of Oak Radial Growth Chronologies
2.3. Analysis of the Coefficients of Similarity of Tree-Ring Width (TRW) Chronologies
2.4. Analysis of the Cyclicity of Radial Growth Fluctuations
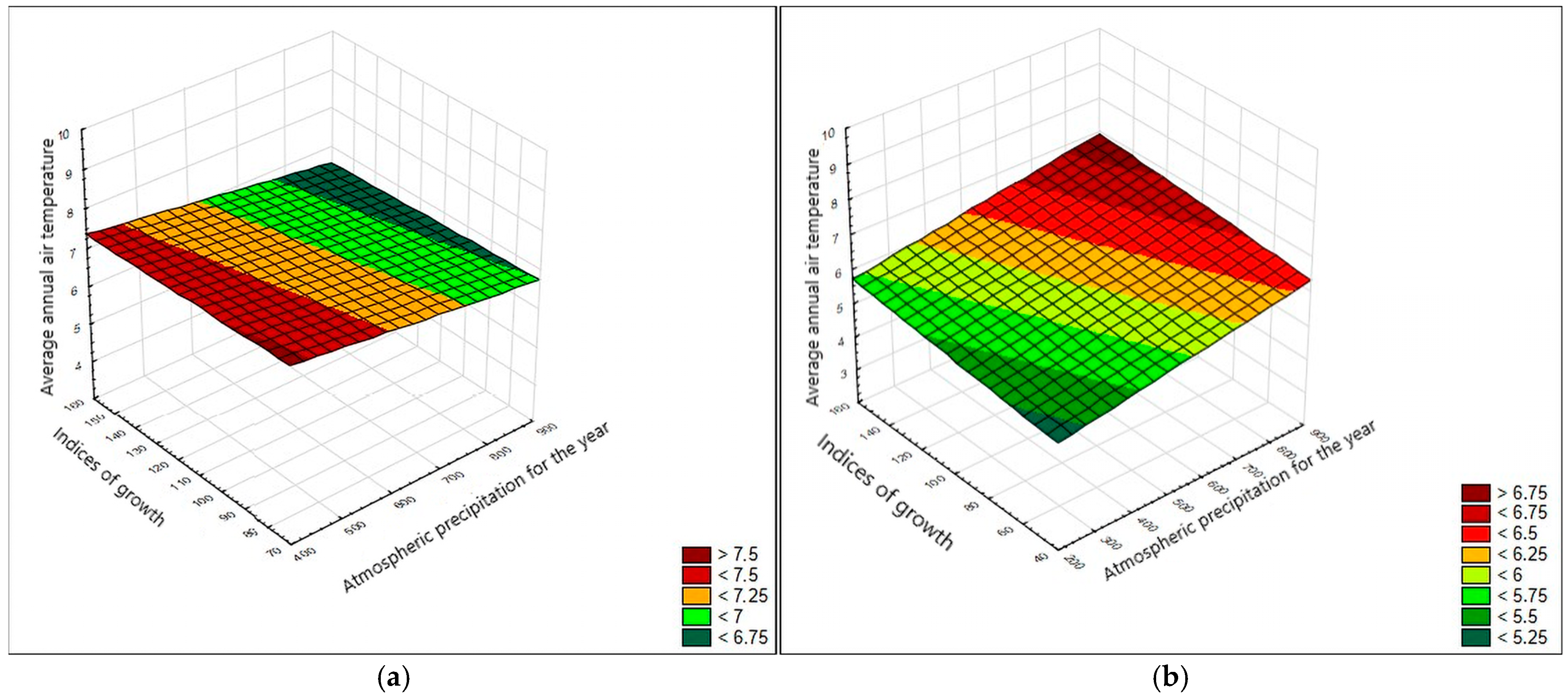
2.5. Identification of Climate Response in the Radial Growth of Pedunculate Oak
3. Discussion
3.1. Radial Growth Responses to Drought
3.2. Climatic Factors Limiting Radial Growth
4. Materials and Methods
4.1. Studied Area and Trees
4.2. Climate of the Study Area
4.3. Wood Core Measurements
4.4. Statistical Analysis
5. Conclusions
- The identified years of the most severe droughts (1939, 1972 and 2010) were characterized by a lack of precipitation for at least two previous years and extremely high average and maximum air temperatures of the warm period (May–August).
- The high frequency of abnormal rings in 142-year-old plus trees was observed during the drought years and for the following next three years with some variations.
- Air temperature was the main limiting factor for the pedunculate oak annual growth. However, precipitation patterns also made a significant contribution to the growth, especially in recent decades.
- Cross-spectral analysis of the total TRW and atmospheric precipitation showed the most significant cycles in the growth in the following order: 12, 6, 9, 4 and 18 years. Plus trees featured a pronounced Brückner–Egeson–Lockyer cycle (32 years). When analyzing the cross-spectral density of air temperature series and growth indices for total oak wood, 2–3-year cycles were the most pronounced; the prevalence of an 18-year cycle was also revealed.
- Reduction in the tree radial growth due to drought stress varied significantly between families, indicating differences in physiological and ecological regulation strategies. The resilience of plus oak trees to drought was higher than that of the progeny. Drought was found to result in reduced growth during the year(s) following the drought; hence, the minimum growth occurred after the actual climate event.
- Plus trees had a high adaptive potential due to the resistance and resilience of radial growth to drought (Rt = 1.29, Rs = 1.09). The offspring of families 1 (Rt = 0.89, Rs = 0.89) and 2 (Rt = 1.04, Rs = 0.87) had similar resistance and resilience. They were lower for the offspring of families 3 and 4.
- Precipitation in the autumn–winter period and weather conditions at the onset of active vegetation in April and May were of great importance. The influence of air temperature in March on oak growth is large (r = 0.39, p < 0.05). The strongest positive relation between precipitation and growth was found in May of the same year, up to 0.38.
Supplementary Materials
Author Contributions
Funding
Data Availability Statement
Conflicts of Interest
References
- Saxe, H.; Cannell, M.G.R.; Johnsen, Ø.; Ryan, M.G.; Vourlitis, G. Tree and forest functioning in response to global warming. New Phytol. 2001, 149, 369–399. [Google Scholar] [CrossRef] [PubMed]
- Dulamsuren, C.; Khishigjargal, M.; Leuschner, C.; Hauck, M. Response of tree-ring width to climate warming and selective logging in larch forests of the Mongolian Altai. J. Plant Ecol. 2013, 7, 24–38. [Google Scholar] [CrossRef]
- Booth, T.H. Assessing species climatic requirements beyond the realized niche: Some lessons mainly from tree species distribution modeling. Clim. Change 2017, 145, 259–271. [Google Scholar] [CrossRef]
- Kijowska-Oberc, J.; Staszak, A.M.; Kamiński, J.; Ratajczak, E. Adaptation of Forest Trees to Rapidly Changing Climate. Forests 2020, 11, 123. [Google Scholar] [CrossRef]
- Vicente, E.; Benito Garzón, M. Tree Germination Sensitivity to Increasing Temperatures: A Global Meta-Analysis Across Biomes, Species and Populations. Glob. Ecol. Biogeogr. 2024, e13921. [Google Scholar] [CrossRef]
- Sun, J.; Liu, Y. Responses of tree-ring growth and crop yield to drought indices in the Shanxi province, North China. Int. J. Biometeorol. 2014, 58, 1521–1530. [Google Scholar] [CrossRef]
- Lloret, F.; Batllori, E. Climate-Induced Global Forest Shifts due to Heatwave-Drought. In Ecosystem Collapse and Climate Change. Ecological Studies; Canadell, J.G., Jackson, R.B., Eds.; Springer: Cham, Switzerland, 2021; Volume 241, pp. 155–186. [Google Scholar] [CrossRef]
- Yadav, R.R.; Misra, K.G.; Yadava, A.K.; Kotlia, B.S.; Misra, S. Tree-ring footprints of drought variability in last ~300 years over Kumaun Himalaya, India and its relationship with crop productivity. Quat. Sci. Rev. 2015, 117, 113–123. [Google Scholar] [CrossRef]
- Easterling, D.R.; Meehl, G.A.; Parmesan, C.; Changnon, S.A.; Karl, T.R.; Mearns, L.O. Climate extremes: Observations, modeling, and impacts. Science 2000, 289, 2068–2074. [Google Scholar] [CrossRef]
- Davi, N.K.; Jacoby, G.C.; Curtis, A.E.; Baatarbileg, N. Extension of drought records for central Asia using tree rings: West-central Mongolia. J. Clim. 2006, 19, 288–299. [Google Scholar] [CrossRef]
- Balducci, L.; Cuny, H.E.; Rathgeber, C.B.; Deslauriers, A.; Giovannelli, A.; Rossi, S. Compensatory mechanisms mitigate the effect of warming and drought on wood formation. Plant Cell. Environ. 2016, 39, 1338–1352. [Google Scholar] [CrossRef]
- Lyu, S.; Wang, X.; Zhang, Y.; Li, Z. Different responses of Korean pine (Pinus koraiensis) and Mongolia oak (Quercus mongolica) growth to recent climate warming in northeast China. Dendrochronologia 2017, 45, 113–122. [Google Scholar] [CrossRef]
- Ren, P.; Rossi, S.; Camarero, J.J.; Ellison, A.M.; Liang, E.; Peñuelas, J. Critical temperature and precipitation thresholds for the onset of xylogenesis of Juniperus przewalskii in a semi-arid area of the north-eastern Tibetan Plateau. Ann. Bot. 2018, 121, 617–624. [Google Scholar] [CrossRef] [PubMed]
- Evdokimenko, M.D. Forest-ecological consequences of fires in light-coniferous forests of Transbaikalia. Russ. J. Ecol. 2011, 42, 205–210. [Google Scholar] [CrossRef]
- Zalibekov, Z.G. Arid lands of the world and their dynamics in conditions of modern climate warming. Arid Ecosyst. 2011, 1, 1–7. [Google Scholar] [CrossRef]
- Mokhov, I.I. Features of the formation of the summer heat of 2010 on the European territory of Russia in the context of general climate changes and its anomalies. Izv. Atmos. Ocean. Phys. 2011, 47, 653–660. [Google Scholar] [CrossRef]
- Cook, E.R.; Kairiukstis, L.A. (Eds.) Methods of Dendrochronology: Application in Environmental Sciences; Kluwer: Dordrecht, The Netherlands, 1990; 394p. [Google Scholar] [CrossRef]
- Johnson, J.S.; Gaddis, K.D.; Cairns, D.M.; Krutovsky, K.V. Seed dispersal at alpine treeline: An assessment of seed movement within the alpine treeline ecotone. Ecosphere 2017, 8, e01649. [Google Scholar] [CrossRef]
- Heer, K.; Behringer, D.; Piermattei, A.; Bässler, C.; Brandl, R.; Fady, B.; Jehl, H.; Liepelt, S.; Lorch, S.; Piotti, A.; et al. Linking dendroecology and association genetics in natural populations: Stress responses archived in tree rings associate with SNP genotypes in silver fir (Abies alba Mill.). Mol. Ecol. 2018, 27, 1428–1438. [Google Scholar] [CrossRef]
- Housset, J.M.; Nadeau, S.; Isabel, N.; Depardieu, C.; Duchesne, I.; Lenz, P.; Girardin, M.P. Tree rings provide a new class of phenotypes for genetic associations that foster insights into adaptation of conifers to climate change. New Phytol. 2018, 2, 630–645. [Google Scholar] [CrossRef]
- Krutovsky, K.V. Dendrogenomics is a new interdisciplinary field of research of the adaptive genetic potential of forest tree populations integrating dendrochronology, dendroecology, dendroclimatology and genomics. Russ. J. Genet. 2022, 58, 1273–1286. [Google Scholar] [CrossRef]
- Novikova, S.V.; Oreshkova, N.V.; Sharov, V.V.; Zhirnova, D.F.; Belokopytova, L.V.; Babushkina, E.A.; Krutovsky, K.V. Study of the Genetic Adaptation Mechanisms of Siberian Larch (Larix sibirica Ledeb.) Regarding Climatic Stresses Based on Dendrogenomic Analysis. Forests 2023, 14, 2358. [Google Scholar] [CrossRef]
- Zacharias, M.; Pampuch, T.; Dauphin, B.; Opgenoorth, L.; Roland, C.; Schnittler, M.; Wiimking, M.; Bog, M.; Heer, K. Genetic basis of growth reaction to brought stress differs in contrasting high-treeline ecotones of a widespread conifer. Mol. Ecol. 2022, 31, 16648. [Google Scholar] [CrossRef] [PubMed]
- Fomin, V.; Ivanova, N.; Mikhailovich, A. Genetic Forest Typology as a Scientific and Methodological Basis for Environmental Studies and Forest Management. IOP Conf. Ser. Earth Environ. Sci. 2020, 609, 012044. [Google Scholar] [CrossRef]
- Pastorino, M.; Marchelli, P. (Eds.) Low Intensity Breeding of Native Forest Trees in Argentina: Genetic Basis for their Domestication and Conservation; Springer: Cham, Switzerland, 2021; 515p. [Google Scholar] [CrossRef]
- Sannikov, S.; Sannikov, D. Felling-system and regeneration of pine forests on ecological-genetic-geographical basis. Sib. Lesn. Žurnal Sib. J. For. Sci. 2015, 6, 3–16, (In Russian with English Abstract). [Google Scholar] [CrossRef]
- Kätzel, R. Conservation of forest genetic resources: The basis for adaptability in managed forests. In Sustainable Forest Management in a Changing World; Spathelf, P., Ed.; Springer: Berlin, Germany, 1993; pp. 93–114. [Google Scholar]
- Arts, B.; Behagel, J.; de Koning, J.; van der Zon, M. Community Forest Management: Weak States or Strong Communities? Politics Gov. 2023, 11, 336–345. [Google Scholar] [CrossRef]
- Ma, Y.; Wang, C.; Chen, Z.; Fei-Hai, Y.; Wan, J. Linking Forest Management Practices to the Functional Composition of Plant Communities. Forests 2023, 14, 1939. [Google Scholar] [CrossRef]
- Yatim, H.; Yusran, Y.; Supratman, S.; Zaman, N. Collaborative Management to support sustainable Community Forest. IOP Conf. Ser. Earth Environ. Sci. 2023, 1131, 012014. [Google Scholar] [CrossRef]
- Sarah, D.; Kelsey, C.; Shannon, H.; Lori, D. Community Forests advance local wildfire governance and proactive management in British Columbia, Canada. Can. J. For. Res. 2023, 54, 290–304. [Google Scholar] [CrossRef]
- Bricca, A.; Sperandii, M.G.; Acosta, A.T.R.; Montagnoli, A.; La Bella, G.; Terzaghi, M.; Carboni, M. Above- and belowground traits along a stress gradient: Trade-off or not? OLKOS 2023, 9, e010043. [Google Scholar] [CrossRef]
- Haddad, N.; Brudvig, L.; Jean, C.; Davies, K.; Gonzalez, A.; Holt, R.; Lovejoy, T.; Sexton, J.; Austin, M.; Collins, C.; et al. Habitat fragmentation and its lasting impact on Earth ecosystems. Sci. Adv. 2015, 1, e1500052. [Google Scholar] [CrossRef]
- Eaton, E.; Caudullo, G.; Oliveira, S.; de Rigo, D. Quercus robur and Quercus petraea in Europe: Distribution, habitat, usage and threats. In European Atlas of Forest Tree Species; San-Miguel-Ayanz, J., de Rigo, D., Caudullo, G., Houston Durrant, T., Mauri, A., Eds.; Publication Official EU: Luxembourg, 2016; pp. 160–163. Available online: https://forest.jrc.ec.europa.eu/en/european-atlas/atlas-download-page (accessed on 4 October 2024).
- EUFORGEN, European Forest Genetic Resources Programme. Quercus robur Pedunculate oak. Available online: https://www.euforgen.org/species/quercus-robur (accessed on 4 October 2024).
- Glaser, R.; Stangl, H. Climate and floods in Central Europe since AD 1000: Data, methods, results and consequences. Surv. Geophys. 2004, 25, 485–510. [Google Scholar] [CrossRef]
- Xoplakii, E.; Luterbacher, J.; Paeth, H.; Dietrich, D.; Steiner, N.; Grosjean, M.; Wanner, H. European spring and autumn temperature variability and change of extremes over the last half millennium. Geophys. Res. Lett. 2005, 32, L15713. [Google Scholar] [CrossRef]
- Borisenkov, E.P.; Pasetsky, V.M. A Thousand-Year Chronicle of Extraordinary Phenomena of Nature; Mysl: Moscow, Russia, 1988; 523p. (In Russian) [Google Scholar]
- Brazdil, R.; Pster, C.; Wanner, H.; von Storch, H.; Luterbacher, J. Historical climatology in Europe—The state of the art. Clim. Change 2005, 70, 363–430. [Google Scholar] [CrossRef]
- Lloret, F.; Keeling, E.G.; Sala, A. Components of tree resilience: Effects of successive low-growth episodes in old ponderosa pine forests. Oikos 2011, 120, 1909–1920. [Google Scholar] [CrossRef]
- Bednarz, Z.; Ptak, J. The influence of temperature and precipitation on ring widths of oak (Quercus robur L.) in the Niepolomice forest near Cracow, Southern Poland. Tree-Ring Bull. 1990, 50, 1–10. Available online: https://repository.arizona.edu/handle/10150/261919 (accessed on 4 October 2024).
- Nechita, C.; Lonel, P.; Eggertsson, O. Climate response of oak (Quercus spp.), an evidence of a bioclimatic boundary induced by the Carpathians. Sci. Total Environ. 2017, 599–600, 1598–1607. [Google Scholar] [CrossRef] [PubMed]
- Losseau, J.; Jonard, M.; Vincke, C. Pedunculate oak decline in southern Belgium: A long-term process highlighting the complex interplay among drought, winter frost, biotic attacks, and masting. Can. J. For. Res. 2020, 50, 380–389. [Google Scholar] [CrossRef]
- Drobyshev, I.; Niklasson, M.; Eggertsson, O.; Linderson, H. Influence of annual weather on growth of pedunculate oak in southern Sweden. Ann. For. Sci. 2008, 65, 512. [Google Scholar] [CrossRef]
- Nechita, C.; Chiriloaei, F. Interpreting the effect of regional climate fluctuations on Quercus robur L. trees under a temperate continental climate (southern Romania). Dendrobiology 2017, 79, 77–89. [Google Scholar] [CrossRef]
- Rybníček, M.; Petr, Ž.; Kolar, T.; Trnka, M.; Büntgen, U. Exploring Growth Variability and Crown Vitality of Sessile Oak (Quercus petraea) in the Czech Republic. Geochronometria 2015, 42, 17–27. [Google Scholar] [CrossRef]
- Rybníček, M.; Čermák, P.; Prokop, O.; Žid, T.; Trnka, M.; Kolar, T. Oak (Quercus spp.) response to climate differs more among sites than among species in central Czech Republic. Dendrobiology 2016, 75, 55–65. [Google Scholar] [CrossRef]
- Sohar, K.; Läänelaid, A.; Eckstein, D.; Helama, S.; Jaagus, J. Dendroclimatic signals of pedunculate oak (Quercus robur L.) in Estonia. Eur. J. For. Res. 2014, 133, 535–549. [Google Scholar] [CrossRef]
- Rubtsov, V.V.; Rubtsova, N.N. Analysis of the Interaction of Leaf-Eating Insects with Oak; Nauka: Moscow, Russia, 1984; 184p, (In Russian with English Abstract). [Google Scholar]
- Patlai, I.N.; Gaida, Y.I. Second-generation provenance trial plantations of Quercus robur. News of Higher Educational Institutions. For. J. Izv. Vyss. Uchebnykh Zaved. Lesn. Zhurnal 1992, 3, 109–112. Available online: https://www.cabidigitallibrary.org/doi/full/10.5555/19950614113 (accessed on 4 October 2024).
- Arsalani, M.; Azizi, G.; Bräuning, A. Dendroclimatic Reconstruction of May–June Maximum Temperatures in the Central Zagros Mountains, Western Iran. Int. J. Climatol. 2015, 35, 408–416. [Google Scholar] [CrossRef]
- Goodarzi, M.; Pourhashemi, M.; Azizi, Z. Investigation on Zagros Forests Cover Changes under the Recent Droughts Using Satellite Imagery. J. For. Sci. 2019, 65, 9–17. [Google Scholar] [CrossRef]
- Habibi, M. Investigating the Impact of Climate Changes on Qualitative and Quantitative Growth of Oak Trees (Case Study: Central Zagros). Open J. Ecol. 2016, 6, 358–366. [Google Scholar] [CrossRef]
- Radmehr, A.; Soosani, J.; Balapour, S.; Ghalebahmani, S.M.; Sepahvand, A. Effects of Climate Variables (Temperature and Precipitation) on the Width of Rings-Growth in Persian Coppice Oak in the Central Zagros (Case Study: Khoramabad). J. Wood For. Sci. Technol. 2015, 22, 93–110, (In Persian with English Abstract). [Google Scholar]
- Azizi, G.; Arsalani, M.; Bräuning, A.; Moghimi, E. Precipitation Variations in the Central Zagros Mountains (Iran) since AD 1840 Based on Oak Tree Rings. Palaeogeogr. Palaeoclimatol. Palaeoecol. 2013, 386, 96–103. [Google Scholar] [CrossRef]
- Degen, B.; Yanbaev, Y.; Mader, M.; Ianbaev, R.; Bakhtina, S.; Schroeder, H.; Blanc-Jolivet, C. Impact of gene flow and introgression on the range wide genetic structure of Quercus robur (L.) in Europe. Forests 2021, 12, 1425. [Google Scholar] [CrossRef]
- Attarod, P.; Pypker, T.G.; Bayramzadeh, V.; Sadeghi, S.M. Oak trees decline; a sign of climate variability impacts in the west of Iran. Casp. J. Environ. Sci. 2018, 15, 375–386. [Google Scholar] [CrossRef]
- Thomas, F.M. Recent Advances in Cause-Effect Research on Oak Decline in Europe. CABI Rev. 2008, 37, 1–12. [Google Scholar] [CrossRef]
- Najafifar, A.; Hosseinzadeh, J.; Karamshahi, A. The role of hillshade, aspect, and toposhape in the woodland dieback of arid and semi-arid ecosystems: A case study in Zagros woodlands of Ilam province, Iran. J. Landsc. Ecol. 2019, 12, 79–91. [Google Scholar] [CrossRef]
- Gheitury, M.; Heshmati, M.; Noroozi, A.; Ahmadi, M.; Parvizi, Y. Monitoring mortality in a semiarid forest under the influence of prolonged drought in Zagros region. Int. J. Environ. Sci. Technol. 2020, 17, 4589–4600. [Google Scholar] [CrossRef]
- Haavik, L.J.; Billings, S.A.; Guldin, J.M.; Stephen, F.M. Emergent insects, pathogens and drought shape changing patterns in oak decline in North America and Europe. For. Ecol. Manag. 2015, 354, 190–205. [Google Scholar] [CrossRef]
- Tulik, M.; Bijak, S. Are climatic factors responsible for the process of oak decline in Poland? Dendrochronologia 2016, 38, 18–25. [Google Scholar] [CrossRef]
- Helama, S.; Sohar, K.; Läänelaid, A.; Mäkelä, H.; Raisio, J. Oak Decline as Illustrated Through Plant–Climate Interactions Near the Northern Edge of Species Range. Bot. Rev. 2016, 82, 1–23. [Google Scholar] [CrossRef]
- Khodwekar, S.; Gailing, O. Evidence for environment-dependent introgression of adaptive genes between two red oak species with different drought adaptations. Am. J. Bot. 2017, 104, 1088–1098. [Google Scholar] [CrossRef] [PubMed]
- Alcaide, F.; Alejandro, S.; Marcello, C.; Claudia, M. Adaptive evolution of chestnut forests to the impact of ink disease in Spain. J. Syst. Evol. 2019, 58, 504–516. [Google Scholar] [CrossRef]
- Hoffmann, A.; Sgro, C. Climate change and evolutionary adaptation. Nature 2011, 470, 479–485. [Google Scholar] [CrossRef]
- Denny, E.G.; Gerst, K.L.; Miller-Rushing, A.J.; Tierney, G.L.; Crimmins, T.M.; Enquist, C.A.; Guertin, P.; Rosemartin, A.H.; Schwartz, M.D.; Thomas, K.A.; et al. Standardized phenology monitoring methods to track plant and animal activity for science and resource management applications. Int. J. Biometeorol. 2014, 58, 591–601. [Google Scholar] [CrossRef]
- Koval, I.M.; Kostyashkin, D.C. The influence of climate and recreation on formation of layers of annual wood of early and late forms Quercus robur L. in Kharkiv Greenbelt. Sci. Bull. UNFU 2015, 25, 52–58. Available online: https://nv.nltu.edu.ua/index.php/journal/article/view/906 (accessed on 4 October 2024).
- Puchałka, R.; Koprowski, M.; Gričar, J.; Przybylak, R. Does tree-ring formation follow leaf phenology in Pedunculate oak (Quercus robur L.)? Eur. J. For. Res. 2017, 136, 259–268. [Google Scholar] [CrossRef]
- Kostić, S.; Orlović, S.; Karaklić, V.; Kesic, L.; Zorić, M.; Stojanović, D. Allometry and Post-Drought Growth Resilience of Pedunculate Oak (Quercus robur L.) Varieties. Forests 2021, 12, 930. [Google Scholar] [CrossRef]
- Puchałka, R.; Koprowski, M.; Przybylak, J.; Przybylak, R.; Dąbrowski, H.P. Did the late spring frost in 2007 and 2011 affect tree-ring width and earlywood vessel size in Pedunculate oak (Quercus robur) in northern Poland? Int. J. Biometeorol. 2016, 60, 1143–1150. [Google Scholar] [CrossRef] [PubMed]
- Kitin, P. Dynamics of cambial activity in the stem of early- and late-flushing forms of oak (Quercus robur vars. praecox and tardiflora) in the Park of Freedom, Sofia. Nauk za Gorata 1992, 27, 3–13. Available online: https://www.cabidigitallibrary.org/doi/full/10.5555/19950620245 (accessed on 4 October 2024).
- Ministry of Natural Resources and Ecology of the Russian Federation. Directive Dated 20 October 2015, No. 438, On Approval of the Rules for the Creation and Allocation of Forest Seed Production Objects (Forest Seed Plantations, Permanent Forest Seed Plots and Similar Objects). Available online: http://publication.pravo.gov.ru/document/0001201602170009?index=2 (accessed on 4 October 2024). (In Russian)
- Matveev, S.M.; Matveeva, S.V.; Shurygin, Y.N. Recurrence of severe droughts and long-term dynamics of radial growth of Scots pine in the Usman and Khrenovoe forests in the Voronezh region. J. Sib. Fed. Univ. Biol. 2012, 5, 27–42, (In Russian with English Abstract). [Google Scholar] [CrossRef]
- Matveev, S.M. Dendroindication of the Dynamics of the State of Pine Plantations in the Central Forest-Steppe Region; VSU Publishing House: Voronezh, Russia, 2003; 272p, (In Russian with English Abstract). [Google Scholar]
- Pang, W.; Li, Q.; Liu, Y.; Song, H.; Sun, C.; Wang, J.; Yan, Y.; Cai, Q.; Ren, M. Precipitation Variations in China’s Altay Mountains Detected from Tree Rings Dating Back to AD 1615. Forests 2023, 14, 1496. [Google Scholar] [CrossRef]
- Shiyatov, S.G.; Mazepa, V.S. Cyclicity of radial growth of trees in the highlands of the Urals. In Dendrochronology and Dendroclimatology; Nauka: Novosibirsk, Russia, 1986; pp. 134–160, (In Russian with English Abstract). [Google Scholar]
- Bitvinskas, T.T. Dendroclimatic Studies; Gidrometeoizdat Publ.: Leningrad, Russia, 1974; 172p. (In Russian) [Google Scholar]
- Zhang, R.B.; Song, H.M.; Yuan, Y.J.; Wei, W.S.; Zhang, T.W.; Chen, F.; Yu, S.; Fan, Z.; Qin, L. Summer precipitation variation in the southern slope of the Altay Mountains recorded by tree-ring δ13C. J. Desert Res. 2015, 35, 106–112. Available online: http://www.desert.ac.cn/EN/10.7522/j.issn.1000-694X.2014.00198 (accessed on 4 October 2024).
- Zhang, T.; Yuan, Y.; Chen, F.; Yu, S.; Zhang, R.; Qin, L.; Jiang, S. Reconstruction of hydrological changes based on tree-ring data of the Haba River, northwestern China. J. Arid. Land 2018, 10, 53–67. [Google Scholar] [CrossRef]
- Tishin, D.V. The influence of extreme climatic phenomena on the formation of pine (Pinus sylvestris L.) growth minima in conditions of the Middle Volga Region. In Materials of the II All-Russian Scientific Conference “Principles and Methods of Preserving the Biodiversity”; Mari State Univedrsity: Yoshkar-Ola, Russia, 2006; pp. 50–51. (In Russian) [Google Scholar]
- Keener, J.M.; Babst, M. Quality control and substrate-dependent downregulation of the nutrient transporter Fur4. Traffic 2013, 14, 412–427. [Google Scholar] [CrossRef]
- Kuznetsova, V.V.; Pozhidaeva, D.S. Possibilities and limitations of reconstructing river flow and aridity conditions in the Volga region using dendrochronological methods. Fundam. I Prikl. Klimatol. (Fundam. Appl. Climatol.) 2017, 4, 46–65. [Google Scholar] [CrossRef]
- Kuzmin, S.R.; Rogovtsev, R.V. Radial growth and percent of latewood in Scots pine provenance trials in Western and Central Siberia. Sib. Lesn. Zurnal (Sib. J. For. Sci.) 2016, 6, 113–125, (In Russian with English Abstract). [Google Scholar] [CrossRef]
- Castagneri, D.; Carrer, M.; Regev, L.; Boaretto, E. Precipitation variability differently affects radial growth, xylem traits and ring porosity of three Mediterranean oak species at xeric and mesic sites. Sci. Total Environ. 2020, 699, 134285. [Google Scholar] [CrossRef] [PubMed]
- Cailleret, M.; Dakos, V.; Jansen, S.; Robert, E.M.; Aakala, T.; Amoroso, M.M.; Antos, J.A.; Bigler, C.; Bugmann, H.; Caccianiga, M.; et al. Early-warning signals of individual tree mortality based on annual radial growth. Front. Plant Sci. 2018, 9, 1964. [Google Scholar] [CrossRef] [PubMed]
- Rozas, V. A dendroecological reconstruction of age structure and past management in an old-growth pollarded parkland in northern Spain. For. Ecol. Manag. 2004, 195, 205–219. [Google Scholar] [CrossRef]
- Rozas, V. Dendrochronology of pedunculate oak (Quercus robur L.) in an old-growth pollarded woodland in northern Spain: Tree-ring growth responses to climate. Ann. For. Sci. 2005, 62, 209–218. [Google Scholar] [CrossRef]
- Gea-Izquierdo, G.; Cañellas, I. Local climate forces instability in long-term productivity of a Mediterranean oak along climatic gradients. Ecosystems 2014, 17, 228–241. [Google Scholar] [CrossRef]
- Kostić, S.; Wagner, W.; Orlović, S.; Levanič, T.; Zlatanov, T.; Goršić, E.; Kesić, L.; Matović, B.; Tsvetanov, N.; Stojanović, D.B. Different tree-ring width sensitivities to satellite-based soil moisture from dry, moderate and wet pedunculate oak (Quercus robur L.) stands across a southeastern distribution margin. Sci. Total Environ. 2021, 800, 149536. [Google Scholar] [CrossRef]
- Stojanović, D.B.; Levanič, T.; Matović, B.; Orlović, S. Growth decrease and mortality of oak floodplain forests as a response to change of water regime and climate. Eur. J. For. Res. 2015, 134, 555–567. [Google Scholar] [CrossRef]
- Nechita, C.; Macovei, I.; Popa, I.; Badea, O.N.; Apostol, E.N.; Eggertsson, Ó. Radial growth-based assessment of sites effects on pedunculate and greyish oak in southern Romania. Sci. Total Environ. 2019, 694, 133709. [Google Scholar] [CrossRef]
- Levanič, T.; Cater, M.; McDowell, N.G. Associations between growth, wood anatomy, carbon isotope discrimination and mortality in a Quercus robur forest. Tree Physiol. 2011, 31, 298–308. [Google Scholar] [CrossRef]
- Fritts, H.C. Tree Rings and Climate; Academic Press: London, UK; San Francisco, CA, USA; New York, NY, USA, 1976; 566p. [Google Scholar]
- Dai, A. Characteristics and trends in various forms of the Palmer Drought Severity Index during 1900–2008. J. Geophys. Res. 2011, 116, D12115. [Google Scholar] [CrossRef]
- Schweingruber, F.H.; Kairiukstis, L.; Shiyatov, S. Sample selection. In Methods of Dendrochronology; Cook, E.R., Kairiukstis, L.A., Eds.; Kluwer Academic Publishers: Dordrecht, The Netherlands, 1990; pp. 23–35. [Google Scholar]
- Raza, A.; Mubarik, M.S.; Sharif, R.; Habib, M.; Jabeen, W.; Zhang, C.; Chen, H.; Chen, Z.-H.; Siddique, K.H.M.; Zhuang, W.; et al. Developing drought-smart, ready-to-grow future crops. Plant Genome 2023, 16, e20279. [Google Scholar] [CrossRef] [PubMed]
- Cortés, A.J.; Restrepo-Montoya, M.; Bedoya-Canas, L.E. Modern strategies to assess and breed forest tree adaptation to changing climate. Front. Plant Sci. 2020, 11, 58332. [Google Scholar] [CrossRef] [PubMed]
- Solomina, O.N.; Kuznetsova, V.V.; Matskovskii, V.V.; Dolgova, E.A. What Determines the Width of Annual Tree Rings in the Central Part of East-European Plain? Izv. Ross. Akad. Nauk. Seriya Geogr. 2016, 3, 47–64, (In Russian with English Abstract). [Google Scholar] [CrossRef]
- Demakov, Y.P.; Andreyev, N.V. Patterns of Radial Growth of Pine Trees in Lacustrine Biotopes of the Mari Chodra National Park. Eko-potentsial 2014, 3, 48–58. Available online: https://elar.usfeu.ru/handle/123456789/3550 (accessed on 4 October 2024). (In Russian).
- Krutovsky, K.V.; Burczyk, J.; Chybicki, I.; Finkeldey, R.; Pyhäjärvi, T.; Robledo-Arnuncio, J.J. Gene Flow, Spatial Structure, Local Adaptation, and Assisted Migration in Trees. In Genomics of Tree Crops; Schnell, R.J., Priyadarshan, P.M., Eds.; Springer: New York, NY, USA, 2012; pp. 71–116. [Google Scholar] [CrossRef]
- Woodbridge, J.; Roberts, N.; Fyfe, R. Pan-Mediterranean Holocene vegetation and land-cover dynamics from synthesized pollen data. J. Biogeogr. 2018, 45, 2159–2174. [Google Scholar] [CrossRef]
- Hanewinkel, M.; Cullmann, D.; Schelhaas, M.J.; Nabuurs, G.J.; Zimmermann, N.E. Climate change may cause severe loss in the economic value of European forest land. Nat. Clim. Change 2013, 3, 203–207. [Google Scholar] [CrossRef]
- Klein, T.; Yakir, D.; Buchmann, N.; Grünzweig, J.M. Towards an advanced assessment of the hydrological vulnerability of forests to climate change-induced drought. New Phytol. 2014, 201, 712–716. [Google Scholar] [CrossRef]
- Mironenko, A.V.; Matveev, S.M.; Litovchenko, D.A. Program for Processing Time Series Using Sliding Average and Mathematical Modeling Methods. Certificate of State Registration for Computers 2023615502, 03/15/2023. Application No. 2023614622 Dated 03/15/2023. Available online: https://www.elibrary.ru/item.asp?id=50428361 (accessed on 4 October 2024). (In Russian).
- Strashnaya, A.I.; Maksimenkova, T.A.; Chub, O.V. Agrometeorological features of the 2010 drought in Russia compared to droughts of previous years. Proc. Russ. Hydromet. Center 2011, 345, 171–188. Available online: https://www.elibrary.ru/download/elibrary_16555543_84684731.pdf (accessed on 4 October 2024). (In Russian).
- Dospehov, B.A.; Armor, B.A. Methodology of Field Experience with the Basics of Statistical Processing: Textbook; Kolos: Moscow, Russia, 2011; 547p. (In Russian) [Google Scholar]
- Rinn, F. TSAP. Version 3.0. Reference Manual. Computer Program for Time Series Analysis and Presentation; Frank Rinn Distribution: Heidelberg, Germany, 1996; 262p. [Google Scholar]










| Drought Year | Total Precipitation in July, mm | Average Temperature in July, °C |
|---|---|---|
| 1938 | 10 | 24.7 ± 0.003 |
| 1939 | 15 | 22.3 ± 0.003 |
| 1971 | 31 | 20.6 ± 0.002 |
| 1972 | 37 | 23.5 ± 0.003 |
| 1992 | 50 | 18.9 ± 0.001 |
| 2010 | 38 | 26.4 ± 0.002 |
| Indicator | 1 | 2 | 3 | 4 | Plus Trees |
|---|---|---|---|---|---|
| Time span of chronologies | 1982–2022 | 1983–2022 | 1983–2022 | 1982–2022 | 1881–2022 |
| Number of wood core samples | 15 | 22 | 15 | 15 | 30 |
| MS | 0.26 | 0.25 | 0.31 | 0.25 | 0.29 |
| rav | 0.429 | 0507 | 0.517 | 0.564 | 0.547 |
| EPS > 0.85 * | 1985 | 1987 | 1984 | 1983 | 1883 |
| Individual Chronologies of Radial Growth | GLK, % | GSL | CC, % | CDI, % |
|---|---|---|---|---|
| Family 1 | ||||
| ARW | 66 ± 1.5 | 2 | 79 ± 1.5 | 31 ± 1.1 |
| EWW | 65 ± 1.8 | 2 | 66 ± 2.3 | 21 ±1.2 |
| LWW | 73 ± 2.5 | 3 | 78 ± 1.3 | 32 ± 0.8 |
| Family 2 | ||||
| ARW | 78 ± 2.6 | 3 | 79 ± 2.6 | 76 ± 2.5 |
| EWW | 76 ± 2.3 | 3 | 79 ± 2.5 | 55 ± 1.5 |
| LWW | 74 ± 2.4 | 3 | 66 ± 2.4 | 26 ± 0.2 |
| Family 3 | ||||
| ARW | 60 ± 1.3 | 1 | 65 ± 1.5 | 20 ± 0.3 |
| EWW | 55 ± 0.8 | 0 | 64 ± 1.4 | 18 ± 0.2 |
| LWW | 52 ± 1.2 | 0 | 70 ± 1.9 | 35 ± 0.4 |
| Family 4 | ||||
| ARW | 62 ± 1.5 | 2 | 58 ± 2.3 | 36 ± 0.2 |
| EWW | 50 ± 1.3 | 0 | 61 ± 2.5 | 15 ± 0.1 |
| LWW | 65 ± 1.8 | 2 | 59 ± 1.6 | 16 ± 0.1 |
| Plus trees | ||||
| ARW | 81 ± 1.9 | 3 | 79 ± 1.4 | 78 ± 1.2 |
| EWW | 80 ± 2.3 | 3 | 82 ± 1.6 | 75 ± 0.9 |
| LWW | 82 ± 2.4 | 3 | 85 ± 1.8 | 80 ± 2.3 |
| Trees | Rt | Rs | Rc |
|---|---|---|---|
| Family 1 | 0.89 ± 0.002 | 0.89 ± 0.002 | 0.99 ± 0.002 |
| Family 2 | 1.04 ± 0.003 | 0.87 ± 0.001 | 0.84 ± 0.001 |
| Family 3 | 0.75 ± 0.001 | 0.68 ± 0.001 | 0.82 ± 0.001 |
| Family 4 | 0.71 ± 0.001 | 0.63 ± 0.001 | 0.62 ± 0.001 |
| Plus trees | 1.29 ± 0.001 | 1.09 ± 0.004 | 0.85 ± 0.004 |
| Oak Trees | Number | Age ± s.e., Year | Height ± s.e., m | DBH ± s.e., cm |
|---|---|---|---|---|
| Plus trees | 20 | 142 ± 3.0 | 30 ± 0.8 | 49 ± 1.6 |
| Family 1 | 20 | 40 ± 1.0 | 19 ± 0.09 | 23 ± 0.5 |
| Family 2 | 20 | 40 ± 1.0 | 20 ± 0.6 | 27 ± 0.8 |
| Family 3 | 20 | 40 ± 1.0 | 21 ± 0.2 | 28 ± 0.9 |
| Family 4 | 17 | 40 ± 1.0 | 22 ± 0.6 | 29 ± 0.9 |
Disclaimer/Publisher’s Note: The statements, opinions and data contained in all publications are solely those of the individual author(s) and contributor(s) and not of MDPI and/or the editor(s). MDPI and/or the editor(s) disclaim responsibility for any injury to people or property resulting from any ideas, methods, instructions or products referred to in the content. |
© 2024 by the authors. Licensee MDPI, Basel, Switzerland. This article is an open access article distributed under the terms and conditions of the Creative Commons Attribution (CC BY) license (https://creativecommons.org/licenses/by/4.0/).
Share and Cite
Litovchenko, D.A.; Popova, A.A.; Shestibratov, K.A.; Krutovsky, K.V. Climate Response and Radial Growth Dynamics of Pedunculate Oak (Quercus robur L.) Plus Trees and Their Half-Sib Progeny in Periods of Severe Droughts in the Forest-Steppe Zone of Eastern Europe. Plants 2024, 13, 3213. https://doi.org/10.3390/plants13223213
Litovchenko DA, Popova AA, Shestibratov KA, Krutovsky KV. Climate Response and Radial Growth Dynamics of Pedunculate Oak (Quercus robur L.) Plus Trees and Their Half-Sib Progeny in Periods of Severe Droughts in the Forest-Steppe Zone of Eastern Europe. Plants. 2024; 13(22):3213. https://doi.org/10.3390/plants13223213
Chicago/Turabian StyleLitovchenko, Daria A., Anna A. Popova, Konstantin A. Shestibratov, and Konstantin V. Krutovsky. 2024. "Climate Response and Radial Growth Dynamics of Pedunculate Oak (Quercus robur L.) Plus Trees and Their Half-Sib Progeny in Periods of Severe Droughts in the Forest-Steppe Zone of Eastern Europe" Plants 13, no. 22: 3213. https://doi.org/10.3390/plants13223213
APA StyleLitovchenko, D. A., Popova, A. A., Shestibratov, K. A., & Krutovsky, K. V. (2024). Climate Response and Radial Growth Dynamics of Pedunculate Oak (Quercus robur L.) Plus Trees and Their Half-Sib Progeny in Periods of Severe Droughts in the Forest-Steppe Zone of Eastern Europe. Plants, 13(22), 3213. https://doi.org/10.3390/plants13223213

