Response of Typical Shrubs Growth and Soil Nutrients to Graphene Addition in Impoverished Land of the Ulan Buh Desert
Abstract
1. Introduction
2. Results
2.1. The Effect of Graphene Addition on the Morphological Characteristics of Different Shrubs
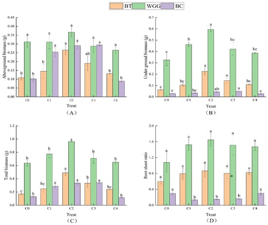
2.2. The Effect of Graphene Addition on Biomass of Different Shrubs
2.3. The Effect of Graphene Addition on Nutrients in Different Shrubs Soil
2.4. Analysis of the Influencing Factors of Graphene Addition on the Growth of Different Shrubs and Soil Nutrients
2.5. Analysis of Shrub Growth and Soil Nutrient Redundancy Under Graphene Addition
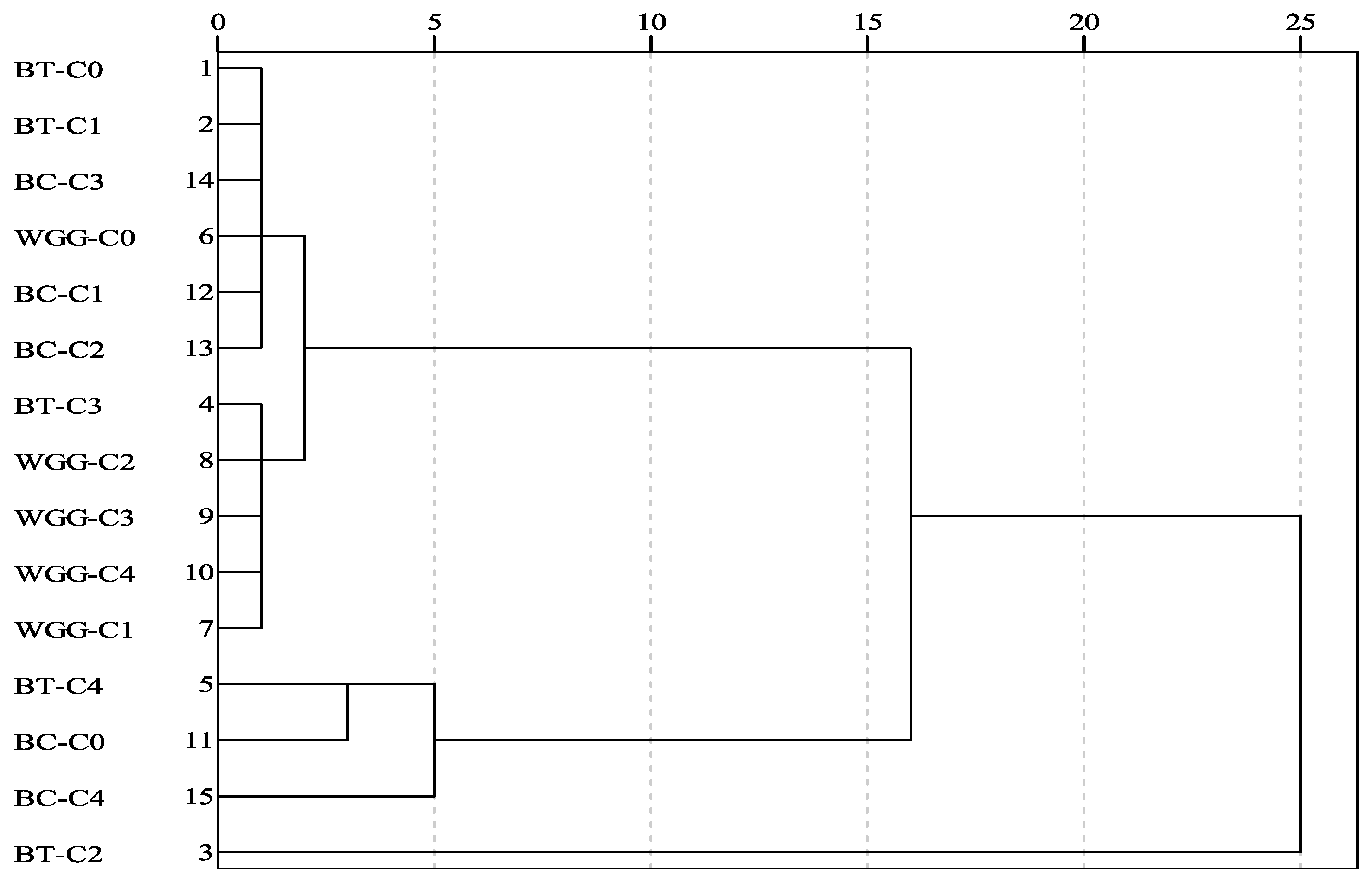
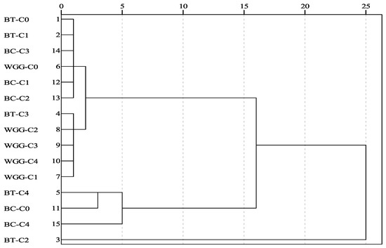
2.6. Cluster Analysis and Comprehensive Analysis of Different Shrub Growth and Soil Nutrients Under Graphene Addition
3. Discussion
3.1. The Effect of Different Levels of Graphene Addition on the Growth of Different Shrubs
3.2. Effects of Different Graphene Addition Levels on Nutrients in Different Shrubs Soil
3.3. Comprehensive Analysis
4. Materials and Methods
4.1. Research Materials
4.2. Experimental Design
4.3. Soil Sampling Methods
4.4. Indicator Measurement and Methods
4.4.1. Determination of Plant Growth Indicators
4.4.2. Plant Biomass Measurement
4.4.3. Determination of Soil Physical and Chemical Properties
4.4.4. Comprehensive Evaluation
4.5. Statistical Analysis
5. Conclusions
Author Contributions
Funding
Data Availability Statement
Conflicts of Interest
References
- Liu, Z.M.; Zhao, W.Z. Investigating the Problems on Harnessing Desert in the Country. World Sci. Technol. Res. Dev. 1997, 4, 58–60. [Google Scholar] [CrossRef]
- Gao, N. Practical Reflection on Desert Governance in China and Its Contemporary Value to Ecological Civilization Construction. Master’s Thesis, Yanan University, Yanan, China, 2022. [Google Scholar] [CrossRef]
- Stepanov, A.A.; Yakimenko, O.S. Humic Soil Modifiers from Peat and Coal, Effect on Chemical and Biological Properties of Model Soil Mixtures. Russ. Agric. Sci. 2024, 49, 174–179. [Google Scholar] [CrossRef]
- Chen, H.Q.; Hao, Y.A.; Ma, Y.Q.; Wang, C.L.; Liu, M.Q.; Imran, M.; Fan, M.S.; Alain, F. Plante. Maize straw-based organic amendments and nitrogen fertilizer effects on soil and aggregate-associated carbon and nitrogen. Geoderma 2024, 443, 116820. [Google Scholar] [CrossRef]
- Zhang, Y.; Yin, Q.X.; Guo, L.L.; Guo, J.Y.; Chen, Y.H.; Li, M.Y. Chicken manure-derived biochar enhanced the potential of Comamonas testosteroni ZG2 to remediate Cd contaminated soil. Environ. Geochem. Health 2024, 46, 198. [Google Scholar] [CrossRef]
- Wang, X.X.; Li, J.Q.; Wang, D.L.; An, T.T.; Qin, W.; Zou, H.T.; Rengel, Z. Straw Incorporation Effects on Net Photosynthetic Carbon Assimilation and Maize Growth. Front. Agron. 2022, 4, 805320. [Google Scholar] [CrossRef]
- Lin, Y.C.; Yu, C.L.; Zhang, Y.B.; Liu, L.; Xu, D.; Peng, X.L. Biochar modification methods and mechanisms for salt-affected soil and saline-alkali soil improvement, A review. Soil Use Manag. 2023, 40, 12992. [Google Scholar] [CrossRef]
- Molnar, M.; Vaszita, E.; Farkas, E.; Ujaczki, E.; Fekete-Kertesz, I.; Tolner, M.; Klebercz, O.; Kirchkeszner, C.; Gruiz, K.; Uzinger, N.; et al. Acidic sandy soil improvement with biochar—A microcosm study. Sci. Total Environ. 2016, 563–564, 855–865. [Google Scholar] [CrossRef]
- Xu, M.; Wu, J.; Zhang, X.H.; Yang, G. Impact of biochar application on carbon sequestration, soil fertility andcrop productivity. Acta Ecol. Sin. 2018, 38, 393–404. [Google Scholar] [CrossRef]
- He, Y.J.; Hu, R.R.; Zhong, Y.J.; Zhao, X.L.; Chen, Q.; Zhu, H.W. Graphene oxide as a water transporter promoting germination of plants in soil. Nano Res. 2018, 11, 1928–1937. [Google Scholar] [CrossRef]
- Yang, Y.; Zhang, R.X.; Zhang, X.; Chen, Z.Z.; Wang, H.L.; Li, P.C.H. Effects of graphene oxide on plant growth, a review. Plants 2022, 11, 2826. [Google Scholar] [CrossRef]
- Zhang, X.; Cao, H.F.; Wang, H.Y.; Zhao, J.G.; Gao, K.; Qiao, J.; Li, J.W.; Ge, S. The effects of graphene-family nanomaterials on plant growth, a review. Nanomaterials 2022, 12, 936. [Google Scholar] [CrossRef] [PubMed]
- Mahmoud, N.E.; Abdelhameed, R.M. Superiority of modified graphene oxide for enhancing the growth, yield, and antioxidant potential of pearl millet (Pennisetum glaucum L.) under salt stress. Plant Stress 2021, 2, 100025. [Google Scholar] [CrossRef]
- Liu, D.; Lv, Y.L.; Luo, H. Effects of Oxidized Graphene on Seed Germination and Seedling Growth of Amorpha fruticosa. Seed 2022, 41, 14–18+37. [Google Scholar] [CrossRef]
- Zhao, D.Q.; Fang, Z.W.; Tang, Y.H.; Tao, J. Graphene Oxide as an Effective Soil Water Retention Agent Can Confer Drought Stress Tolerance to Paeonia ostii without Toxicity. Environ. Sci. Technol. 2020, 54, 8269–8279. [Google Scholar] [CrossRef]
- Ge, Y.; Priester, J.H.; Mortimer, M.; Chang, C.H.Y.; Ji, Z.X.; Schimel, J.P.; Holden, P.A. Long-term effects of multiwalled carbon nanotubes and graphene on microbial communities in dry soil. Environ. Sci. Technol. 2016, 50, 65–74. [Google Scholar] [CrossRef]
- Alessandrino, L.; Colombani, N.; Mastrocicco, M. Modelling biogeochemical reactions triggered by graphene’s addition in a fertilized calcareous sandy soil. Sci. Total Environ. 2023, 898, 165558. [Google Scholar] [CrossRef]
- Wang, S.Y.; Liu, Y.; Wang, X.Y.; Xiang, H.T.; Kong, D.Y.; Wei, N.; Guo, W.; Sun, H.Y. Effects of concentration-dependent graphene on maize seedling development and soil nutrients. Sci. Rep. 2023, 13, 2650. [Google Scholar] [CrossRef]
- Jin, M.Q.; Liu, J.S.; Wu, W.H.; Zhou, Q.W.; Fu, L.; Zare, N.; Karimi, F.; Yu, J.H.; Lin, C.T. Relationship between graphene and pedosphere, a scientometric analysis. Chemosphere 2022, 300, 134599. [Google Scholar] [CrossRef]
- Chung, H.; Son, Y.H.; Yoon, T.K.; Kim, S.; Kim, W. The effect of multi-walled carbon nanotubes on soil microbial activity. Ecotoxicol. Environ. Saf 2011, 74, 569–575. [Google Scholar] [CrossRef]
- Ren, W.; Ren, G.D.; Teng, Y.; Li, Z.G.; Li, L.N. Time-dependent effect of graphene on the structure, abundance, and function of the soil bacterial community. J. Hazard. Mater. 2015, 297, 286–294. [Google Scholar] [CrossRef]
- Chen, L.Y.; Wang, C.L.; Li, H.L.; Qu, X.L.; Yang, S.T.; Chang, X.L. Bioaccumulation and toxicity of 13C-skeleton labeled graphene oxide in wheat. Environ. Sci. Technol. 2017, 51, 10146–10153. [Google Scholar] [CrossRef] [PubMed]
- Liu, Z.Y.; Zhang, H.; Eredia, M.; Qiu, H.; Samori, P. Water-Dispersed High-Quality Graphene: A Green Solution for Efficient EnergyStorage Applications. ACS Nano 2019, 13, 9431–9441. [Google Scholar] [CrossRef] [PubMed]
- Hong, S.B.; Piao, S.L.; Chen, A.P.; Liu, Y.W.; Liu, L.L.; Peng, S.S.; Sardans, J.; Sun, Y.; Peñuelas, J.; Zeng, H. Afforestation neutralizes soil pH. Nat. Commun. 2018, 9, 520. [Google Scholar] [CrossRef] [PubMed]
- Li, J.Q.; Li, Z.L.; Dong, S.P.; Wei, M.H.; Zhou, J.Y. Spatial and temporal changes in vegetation and desertification (1982–2018) and their responses to climate change in the Ulan Buh Desert, Northwest China. Theor. Appl. Climatol. 2021, 143, 1643–1654. [Google Scholar] [CrossRef]
- Zhou, Z.X.; Li, J.X.; Li, C.; Guo, Q.; Hou, X.C.; Zhao, C.Q.; Wang, Y.; Chen, C.S.; Wang, Q.H. Effects of Graphene Oxide on the Growth and Photosynthesis of the Emergent Plant Iris pseudacorus. Plants 2023, 12, 1738. [Google Scholar] [CrossRef]
- Hu, X.G.; Lu, K.C.; Liu, M. Interactions between graphene oxide and plant cells: Regulation of cell morphology, uptake, organelle damage, oxidative effects and metabolic disorders. Carbon 2014, 80, 665–676. [Google Scholar] [CrossRef]
- Zhang, X.; Cao, H.F.; Zhao, J.G.; Wang, H.Y.; Yao, J.Z.; Wang, L.T.; Zhang, Q.Q.; Ma, L.J. Effects of graphene on the physiological.biochemical characteristics and growth of elm(Ulmus pumila L.) cutting seedlings. J. Shanxi Agric. Univ. 2020, 40, 97–103. [Google Scholar] [CrossRef]
- Zakharova, O.; Kolesnikova, E.; Muratov, D.S.; Llinikh, L.; Tsukanova, E.; Yevtushenko, N.; Strekalova, N.; Gusev, A. Effects of graphene oxide on white poplar X ASPEN (Populus alba x Populus tremula) hybrid microsprouts at various growth stages. IOP Conf. Ser. Mater. Sci. Eng. 2019, 693, 012–037. [Google Scholar] [CrossRef]
- Ren, M.Y.; Li, Y.; Zhu, J.S.; Zhao, K.J.; Wu, Z.C.; Mao, C.Z. Phenotypes and Molecular Mechanisms Underlying the Root Response to Phosphate Deprivation in Plants. Int. J. Mol. Sci. 2023, 24, 5107. [Google Scholar] [CrossRef]
- Zhang, X.; Cao, H.F.; Zhao, J.G.; Wang, H.Y.; Xing, B.Y.; Chen, Z.W.; Li, X.Y.; Zhang, J. Graphene oxide exhibited positive effects on the growth of Aloe vera L. Physiol. Mol. Biol. Plants 2021, 27, 815–824. [Google Scholar] [CrossRef]
- Zhao, S.L.; Wang, W.; Chen, X.J.; Gao, Y.X.; Wu, X.; Ding, M.J.; Duo, L. Graphene oxide affected root growth, anatomy, and nutrient uptake in alfalfa. Ecotoxicol. Environ. Saf. 2022, 250, 114483. [Google Scholar] [CrossRef] [PubMed]
- JiYeon, L.; MinJi, K.; Haegeun, C. Effects of Graphene Oxide on Germination and Early Growth of Plants. J. Nanosci. Nanotechnol. 2021, 21, 5282–5288. [Google Scholar] [CrossRef]
- Alessandrino, L.; Pavlakis, C.; Colombani, N.; Mastrocicco, M.; Aschonitis, V. Effects of Graphene on Soil Water-Retention Curve, van Genuchten Parameters, and Soil Pore Size Distribution—A Comparison with Traditional Soil Conditioners. Water 2023, 15, 1297. [Google Scholar] [CrossRef]
- Pang, M.H.; Li, L.X.; Dong, S.Q.; Liu, D.S.; Li, H.Y.; Liang, L.N. Research progress on nano-materials applicationin slow/controlled-release fertilizers. J. Plant Nutr. Fertil. 2022, 28, 1708–1719. [Google Scholar] [CrossRef]
- Partho, D.; Kelsie, D.; Ryan, C.P.; Paul, W.; Bi, Y.Q. Impacts of graphitic nanofertilizers on nitrogen cycling in a sandy, agricultural soil. J. Nanoparticle Res. 2022, 24, 120. [Google Scholar] [CrossRef]
- Zhong, Y.J.; Zhen, Z.; Zhu, H.W. Graphene: Fundamental research and potential applications. FlatChem 2017, 4, 20–32. [Google Scholar] [CrossRef]
- Zhang, D. Study on the Preparation of Jujube Branch Biochar and Its Adsorption Characteristics and Mechanism for Nitrate and Ammonium Nitrogen. Master’s Thesis, Tarim University, Tarim China, 2021. [Google Scholar] [CrossRef]
- Qiu, J.W.; Zhang, J.F.; Zhang, X.; Wei, Y.P.; Chen, A.L.; Zhao, J.G.; Ye, Y.Q.; Cao, G.Q. Effects of graphene on soil enzyme activities and microbial diversity in rhizosphere of Cunninghamia lanceolata seedlings. Acta Agric. Univ. Jiangxiensis 2023, 45, 243–251. [Google Scholar] [CrossRef]
- Marek, S.; Ales, S.; Edita, T. Potassium in Root Growth and Development. Plants 2019, 8, 435. [Google Scholar] [CrossRef]
- Fan, L.C.; Sun, L.; Wang, L.H.; Ji, J.H.; Gao, Z.C.; Liu, S.Q.; Wang, S. Effect of different fertilization combined with nano carbon fertilizer synergist on yield and quality of potato. Soil Fertil. Sci. China 2021, 04, 208–212. [Google Scholar] [CrossRef]
- Liu, Z.Y. Study on Graphene Nutrient Enhancement and Design of Small Agricultural Fertilizer Machine. Master’s Thesis, Guangxi University of Science and Technology, Liuzhou, China, 2023. [Google Scholar] [CrossRef]
- Ma, L.; Wang, Z.X.; Jiang, J.Y.; Miao, Y.H.; Zhao, T.T.; Guo, L.P.; Liu, D.H. Assessment of soil fertility in Artemisia argyi planting areas in Qichun county based on minimum data set. China J. Chin. Mater. Medica 2022, 47, 3738–3748. [Google Scholar] [CrossRef]
- Li, Z.W.; Qiao, J.; Zhi, C.Y.; Lei, Z.Y.; Huo, J.X.; Zhao, J.G. Effects of graphene soaking and treatment on radish growth and quality. Trans. Chin. Soc. Agric. Eng. 2022, 38, 87–93. [Google Scholar] [CrossRef]
- Song, J.F.; Cao, K.; Duan, C.W.; Luo, N.; Cui, X.Y. Effects of Graphene on Larix olgensis Seedlings and Soil Properties of Haplic Cambisols in Northeast China. Forests 2020, 11, 258. [Google Scholar] [CrossRef]
- Li, A.; Wu, Y.Z.; Tai, X.S.; Cao, S.Z.; Gao, T.P. Effects of Alfalfa Crop Rotation on Soil Nutrients and Loss of Soil and Nutrients in Semi-Arid Regions. Sustainability 2023, 15, 15164. [Google Scholar] [CrossRef]
- Bao, S. Soil Agrochemical Analysis, 3rd ed.; China Agricultural Publishing House: Beijing, China, 2000. [Google Scholar]
- Shrestha, S.; Kazama, F. Assessment of surface water quality using multivariate statistical techniques: A case study of the Fuji river basin, Japan. Environ. Model. Softw. 2006, 22, 464–475. [Google Scholar] [CrossRef]
- Legedre, P.; Legendre, L. Numerical Ecology; Elsevier: Amsterdam, The Netherlands, 2012; 126p. [Google Scholar]
- Jin, H.F.; Shi, D.M.; Chen, Z.F.; Liu, Y.J.; Lou, Y.B.; Yang, X. Evaluation indicators of cultivated layer soil quality for red soil slope farmland based on cluster and PCA analysis. Trans. Chin. Soc. Agric. Eng. 2018, 34, 155–164. [Google Scholar] [CrossRef]
- Zhang, Y.; Wang, F.Y.; Du, Z.J.; Dou, M.; Liang, Z.J.; Gao, Y.; Li, P. Spatio-Temporal Distribution Characteristics and Driving Factors of Main Grain Crop Water Productivity in the Yellow River Basin. Plants 2023, 12, 580. [Google Scholar] [CrossRef]






| Time | Treat | Heigh (cm) | Base Diameter (mm) | Leaf Width (mm) | Leaf Length (mm) | ||||||||
|---|---|---|---|---|---|---|---|---|---|---|---|---|---|
| BT | WGG | BC | BT | WGG | BC | BT | WGG | BC | BT | WGG | BC | ||
| 30 | C0 | 8.49 ± 0.64 a | 14.63 ± 0.85 b | 3.58 ± 0.27 b | 1.24 ± 0.05 b | 1.67 ± 0.04 ab | 0.80 ± 0.21 b | 9.15 ± 0.27 b | 5.21 ± 0.21 c | 3.34 ± 0.16 a | 18.33 ± 1.45 b | 15.97 ± 0.52 b | 14.00 ± 0.71 a |
| C1 | 11.99 ± 2.12 a | 18.80 ± 0.51 a | 4.38 ± 0.55 a | 1.23 ± 0.05 b | 1.74 ± 0.12 ab | 1.04 ± 0.04 a | 8.56 ± 0.22 bc | 6.18 ± 0.20 ab | 3.82 ± 0.22 a | 18.71 ± 0.65 b | 20.67 ± 0.62 a | 14.17 ± 1.08 a | |
| C2 | 13.13 ± 1.73 a | 16.83 ± 1.64 ab | 4.17 ± 0.40 a | 1.53 ± 0.04 a | 1.99 ± 0.20 a | 0.94 ± 0.05 a | 12.49 ± 0.82 a | 7.05 ± 0.39 a | 3.86 ± 0.20 a | 23.60 ± 0.48 a | 20.83 ± 1.66 a | 15.14 ± 1.12 a | |
| C3 | 10.83 ± 0.69 a | 15.67 ± 2.35 ab | 4.36 ± 0.48 a | 1.32 ± 0.01 b | 1.79 ± 0.12 ab | 0.94 ± 0.06 a | 10.13 ± 0.34 b | 6.48 ± 0.49 ab | 3.66 ± 0.16 a | 20.25 ± 1.14 b | 19.33 ± 0.88 a | 14.38 ± 0.60 a | |
| C4 | 11.80 ± 0.72 a | 17.88 ± 0.84 ab | 4.00 ± 0.54 a | 1.55 ± 0.08 a | 1.58 ± 0.07 b | 0.94 ± 0.04 a | 7.45 ± 0.57 c | 5.56 ± 0.21 bc | 3.32 ± 0.17 a | 19.30 ± 1.45 b | 14.00 ± 0.89 b | 12.44 ± 1.21 a | |
| 60 | C0 | 12.50 ± 1.85 a | 17.88 ± 1.99 a | 12.03 ± 0.21 a | 1.50 ± 0.14 c | 2.28 ± 0.08 b | 0.81 ± 0.07 b | 10.08 ± 0.50 a | 6.88 ± 0.37 b | 4.08 ± 0.19 a | 22.75 ± 1.49 a | 21.00 ± 0.71 ab | 17.67 ± 2.85 a |
| C1 | 14.51 ± 2.05 a | 20.25 ± 1.43 a | 13.32 ± 1.44 a | 2.25 ± 0.08 a | 2.37 ± 0.10 ab | 1.16 ± 0.08 a | 11.14 ± 0.26 a | 8.15 ± 0.46 a | 4.12 ± 0.22 a | 22.00 ± 1.14 a | 24.25 ± 1.11 a | 19.50 ± 1.48 a | |
| C2 | 14.65 ± 2.20 a | 20.15 ± 0.89 a | 15.94 ± 1.63 a | 1.83 ± 0.12 bc | 2.36 ± 0.11 ab | 1.20 ± 0.10 a | 12.03 ± 2.30 a | 8.46 ± 0.23 a | 4.00 ± 0.31 a | 25.33 ± 1.78 a | 23.67 ± 0.62 a | 19.53 ± 1.33 a | |
| C3 | 15.13 ± 1.31 a | 19.07 ± 1.53 a | 13.44 ± 1.99 a | 1.99 ± 0.05 ab | 2.69 ± 0.01 a | 0.97 ± 0.09 ab | 13.42 ± 0.20 a | 6.77 ± 0.35 b | 4.03 ± 0.20 a | 22.33 ± 0.67 a | 21.67 ± 2.40 a | 19.40 ± 1.50 a | |
| C4 | 14.00 ± 2.52 a | 18.94 ± 2.38 a | 11.10 ± 0.59 a | 1.84 ± 0.03 bc | 2.52 ± 0.12 ab | 1.04 ± 0.05 ab | 11.61 ± 2.03 a | 6.54 ± 0.12 b | 3.60 ± 0.18 a | 21.67 ± 0.33 a | 17.00 ± 1.52 b | 15.00 ± 2.00 a | |
| 90 | C0 | 16.33 ± 0.66 a | 18.08 ± 1.34 a | 15.03 ± 0.77 a | 1.63 ± 0.05 c | 2.55 ± 0.10 a | 0.99 ± 0.04 a | 11.39 ± 0.30 a | 7.12 ± 0.39 a | 4.80 ± 0.22 a | 24.00 ± 1.32 a | 22.50 ± 1.19 ab | 22.77 ± 0.23 a |
| C1 | 17.88 ± 1.93 a | 22.40 ± 1.32 a | 16.67 ± 1.30 a | 2.45 ± 0.12 a | 2.61 ± 0.09 a | 1.20 ± 0.15 a | 11.55 ± 0.66 a | 8.29 ± 0.50 a | 5.00 ± 0.19 a | 24.12 ± 0.96 a | 25.33 ± 0.53 ab | 23.72 ± 1.55 a | |
| C2 | 16.78 ± 1.70 a | 22.03 ± 0.84 a | 17.20 ± 1.24 a | 2.04 ± 0.15 b | 2.54 ± 0.12 a | 1.34 ± 0.15 a | 13.26 ± 1.18 a | 8.79 ± 0.24 a | 4.99 ± 0.35 a | 31.07 ± 2.24 a | 27.67 ± 1.25 a | 22.32 ± 1.22 a | |
| C3 | 16.67 ± 1.96 a | 21.10 ± 1.22 a | 16.90 ± 1.77 a | 2.10 ± 0.07 ab | 2.84 ± 0.04 a | 1.16 ± 0.08 a | 14.62 ± 0.26 a | 7.32 ± 0.40 a | 5.1 ± 0.67 a | 29.23 ± 3.24 a | 23.63 ± 3.18 ab | 23.76 ± 1.61 a | |
| C4 | 19.47 ± 1.49 a | 19.40 ± 1.19 a | 13.50 ± 1.95 a | 2.08 ± 0.07 ab | 2.74 ± 0.10 a | 1.08 ± 0.03 a | 12.11 ± 1.25 a | 7.49 ± 0.69 a | 3.89 ± 0.28 b | 25.67 ± 3.21 a | 19.76 ± 1.90 b | 18.33 ± 2.03 a | |
| Plants | Treat | Organic Matter (g/kg) | Total Nitrogen (g/kg) | Total Phosphorus (g/kg) | Total Potassium (g/kg) | Available Nitrogen (mg/kg) | Available Phosphorus (mg/kg) | Available Potassium (mg/kg) |
|---|---|---|---|---|---|---|---|---|
| BT | C0 | 88.61 ± 3.71 a | 2.16 ± 0.03 c | 0.68 ± 0.01 a | 14.81 ± 0.47 b | 433.01 ± 21.47 c | 41.63 ± 3.68 a | 1752.50 ± 60.62 c |
| C1 | 99.77 ± 7.18 a | 2.98 ± 0.04 b | 0.72 ± 0.02 a | 14.89 ± 0.71 b | 436.46 ± 10.55 c | 50.00 ± 2.89 a | 1762.50 ± 8.66 c | |
| C2 | 100.17 ± 1.37 a | 3.71 ± 0.19 ab | 0.68 ± 0.01 a | 16.49 ± 0.08 a | 592.14 ± 7.10 a | 44.13 ± 2.38 a | 2396.25 ± 23.82 a | |
| C3 | 105.75 ± 0.22 a | 3.89 ± 0.12 a | 0.68 ± 0.07 a | 14.00 ± 0.08 b | 511.99 ± 7.12 b | 50.13 ± 1.52 a | 2002.46 ± 86.60 b | |
| C4 | 99.29 ± 8.78 a | 3.29 ± 0.47 ab | 0.64 ± 0.01 a | 14.57 ± 0.43 b | 483.57 ± 22.70 bc | 43.38 ± 1.80 a | 1162.74 ± 37.53 d | |
| WGG | C0 | 89.61 ± 5.40 a | 2.83 ± 0.10 b | 0.64 ± 0.10 b | 15.21 ± 0.40 a | 451.78 ± 72.28 b | 39.13 ± 0.22 cd | 1692.50 ± 135.68 b |
| C1 | 96.98 ± 0.76 a | 3.06 ± 0.04 a | 0.65 ± 0.00 b | 15.06 ± 0.36 a | 566.38 ± 29.57 ab | 43.75 ± 0.81 b | 1970.00 ± 33.20 a | |
| C2 | 98.01 ± 4.00 a | 3.21 ± 0.01 a | 0.72 ± 0.01 a | 16.14 ± 0.23 a | 588.95 ± 20.64 a | 45.88 ± 0.79 a | 1810.00 ± 1.44 ab | |
| C3 | 95.05 ± 2.84 a | 3.10 ± 0.07 a | 0.65 ± 0.00 b | 16.06 ± 0.53 a | 523.59 ± 18.38 ab | 38.88 ± 0.65 d | 1890.00 ± 62.07 ab | |
| C4 | 99.64 ± 1.52 a | 2.77 ± 0.09 b | 0.73 ± 0.00 a | 15.71 ± 0.23 a | 499.90 ± 7.71 ab | 41.00 ± 0.43 c | 1852.50 ± 11.55 ab | |
| BC | C0 | 88.46 ± 0.40 a | 2.67 ± 0.01 ab | 0.65 ± 0.02 ab | 15.48 ± 0.43 abc | 267.69 ± 25.03 b | 39.00 ± 1.15 b | 1250.00 ± 125.57 c |
| C1 | 84.79 ± 3.63 a | 2.63 ± 0.10 ab | 0.66 ± 0.01 a | 14.11 ± 0.27 c | 390.60 ± 16.91 a | 44.38 ± 1.66 a | 1705.00 ± 36.08 ab | |
| C2 | 87.67 ± 4.05 a | 2.55 ± 0.08 c | 0.60 ± 0.01 ab | 16.45 ± 0.33 ab | 388.56 ± 18.40 a | 33.50 ± 2.45 c | 1842.50 ± 127.02 a | |
| C3 | 89.84 ± 1.52 a | 2.93 ± 0.03 a | 0.64 ± 0.02 ab | 14.54 ± 1.08 bc | 410.10 ± 60.80 a | 38.13 ± 0.51 b | 1797.50 ± 11.55 a | |
| C4 | 84.83 ± 0.57 a | 2.77 ± 0.19 ab | 0.61 ± 0.02 b | 16.56 ± 0.5 a | 254.13 ± 4.70 b | 45.25 ± 0.43 a | 1485.00 ± 93.82 bc |
| Factor | Ingredient | |||
|---|---|---|---|---|
| 1 | 2 | 3 | 4 | |
| Plant heigh | 0.146 | −0.504 | 0.63 | −0.069 |
| Base diameter | 0.347 | −0.413 | 0.51 | −0.373 |
| Leaf width | 0.264 | 0.505 | 0.497 | 0.328 |
| Leaf length | 0.255 | 0.476 | 0.379 | 0.368 |
| Aboveground biomass | 0.669 | −0.525 | 0.043 | −0.113 |
| Underground biomass | 0.870 | −0.241 | −0.145 | 0.287 |
| Total biomass | 0.878 | −0.369 | −0.088 | 0.163 |
| Root shoot ratio | 0.806 | 0.006 | −0.146 | 0.336 |
| Organic matter | 0.596 | 0.555 | −0.126 | −0.162 |
| Total nitrogen | 0.561 | 0.469 | −0.188 | −0.256 |
| Total phosphorus | 0.468 | 0.244 | 0.258 | 0.161 |
| Total Potassium | 0.052 | −0.397 | −0.509 | 0.349 |
| Available nitrogen | 0.854 | 0.055 | 0.014 | −0.167 |
| Available phosphorus | 0.258 | 0.759 | −0.108 | −0.28 |
| Available potassium | 0.582 | −0.151 | −0.176 | −0.46 |
| Characteristic value | 4.928 | 2.724 | 1.518 | 1.179 |
| Contribution rate (%) | 32.86 | 18.16 | 10.12 | 7.86 |
| Accumulated contribution rate (%) | 32.86 | 50.12 | 61.13 | 68.99 |
| Indexes | Soil Nutrient | Contribution (%) | Explains (%) | F | p-Value |
|---|---|---|---|---|---|
| Plant growth | Organic matter | 57.6 | 34.4 | 6.8 | 0.008 |
| Available nitrogen | 16 | 9.5 | 2 | 0.164 | |
| Available phosphorus | 7.4 | 4.4 | 0.9 | 0.386 | |
| Total nitrogen | 5.1 | 3.1 | 0.6 | 0.502 | |
| Total potassium | 5 | 3 | 0.6 | 0.496 | |
| Available potassium | 5 | 3 | 0.6 | 0.488 | |
| Total phosphorus | 4 | 2.4 | 0.4 | 0.588 |
| Treat | Associated Value | Sort | Treat | Associated Value | Sort | Treat | Associated Value | Sort |
|---|---|---|---|---|---|---|---|---|
| BT-C0 | 0.61 | 4 | WGG-C0 | 0.67 | 5 | BC-C0 | 0.55 | 5 |
| BT-C1 | 0.68 | 3 | WGG-C1 | 0.80 | 2 | BC-C1 | 0.59 | 3 |
| BT-C2 | 0.78 | 1 | WGG-C2 | 0.84 | 1 | BC-C2 | 0.59 | 2 |
| BT-C3 | 0.75 | 2 | WGG-C3 | 0.75 | 3 | BC-C3 | 0.60 | 1 |
| BT-C4 | 0.54 | 5 | WGG-C4 | 0.73 | 4 | BC-C4 | 0.55 | 4 |
| Organic Matter (g/kg) | Total Nitrogen (g/kg) | Total Phosphorus (g/kg) | Total Potassium (g/kg) | Available Nitrogen (mg/kg) | Available Phosphorus (mg/kg) | Available Potassium (mg/kg) |
|---|---|---|---|---|---|---|
| 94.06 | 3.11 | 0.67 | 14.84 | 458.11 | 50.01 | 1519.38 |
| Measurement Indicators | Measurement Method | Deterination Basis | Specific Measurement Method |
|---|---|---|---|
| Organic matter | Measured by the K2Cr2O7 external heating method | LY/T1237-1999 | Soil Agrochemical Analysis [47] |
| Total nitrogen | Measured by the semi-micro Kjeldahl method | LY/T1228-2015 | |
| Total phosphorus | Measured by the NaOH fusion-molybdenum antimony colorimetric method | NY/T88-198 | |
| Total potassium | Measured by the NaOH fusion-flame photometry method | NY/T87-1988 | |
| Available nitrogen | Measured by the alkali diffusion method | LY/T1232-2015 | |
| Available phosphorus | Measured by the NaHCO3 extraction-colorimetric method | LY/T1234-2015 | |
| Available potassium | Measured by the NH4OAc extraction-flame photometry method | LY/T1234-2015 |
Disclaimer/Publisher’s Note: The statements, opinions and data contained in all publications are solely those of the individual author(s) and contributor(s) and not of MDPI and/or the editor(s). MDPI and/or the editor(s) disclaim responsibility for any injury to people or property resulting from any ideas, methods, instructions or products referred to in the content. |
© 2024 by the authors. Licensee MDPI, Basel, Switzerland. This article is an open access article distributed under the terms and conditions of the Creative Commons Attribution (CC BY) license (https://creativecommons.org/licenses/by/4.0/).
Share and Cite
Mu, R.; Qiao, J.; Kong, C.; Hao, X.; Xu, G.; Han, J.; Li, X. Response of Typical Shrubs Growth and Soil Nutrients to Graphene Addition in Impoverished Land of the Ulan Buh Desert. Plants 2024, 13, 3214. https://doi.org/10.3390/plants13223214
Mu R, Qiao J, Kong C, Hao X, Xu G, Han J, Li X. Response of Typical Shrubs Growth and Soil Nutrients to Graphene Addition in Impoverished Land of the Ulan Buh Desert. Plants. 2024; 13(22):3214. https://doi.org/10.3390/plants13223214
Chicago/Turabian StyleMu, Ren, Jun Qiao, Chuijiu Kong, Xuting Hao, Guangfu Xu, Jingfu Han, and Xinle Li. 2024. "Response of Typical Shrubs Growth and Soil Nutrients to Graphene Addition in Impoverished Land of the Ulan Buh Desert" Plants 13, no. 22: 3214. https://doi.org/10.3390/plants13223214
APA StyleMu, R., Qiao, J., Kong, C., Hao, X., Xu, G., Han, J., & Li, X. (2024). Response of Typical Shrubs Growth and Soil Nutrients to Graphene Addition in Impoverished Land of the Ulan Buh Desert. Plants, 13(22), 3214. https://doi.org/10.3390/plants13223214
