Abstract
The establishment and spread of plants in their native or alien geographical ranges are determined by their germination. This study investigated the impact of different factors on variations in cardinal temperatures. We used the lm procedure and measured the effect size by the Eta-square approach to find the association of different factors (species, ecotypes, origin (native/alien), year, and life cycle) with the cardinal temperatures of 31 species. Our results showed that the base, optimum, and maximum temperatures responded differently to these factors. The base temperature was less impacted by ecotypes compared with the optimum and maximum temperatures, whereas the species had a higher impact on the variation in the base temperature. The effect of the origin of weedy plants on the base temperature was higher than the optimum and maximum temperatures. The effect of the year on the optimum temperature was more prominent than that on the base and maximum temperatures. The results confirmed that weedy alien plants preferred high and narrow ranges of base, optimum, and maximum temperatures and probably will be more problematic in summer crops. The results indicate that alien plants can benefit from warmer conditions in invaded areas at the germination stage. These findings lay the foundation for further studies to elucidate which factors are more important.
1. Introduction
Seed germination is a critically important stage of life in plants and the consequent success or failure of the plant’s establishment heavily depends on this process [1,2,3]. The timing of germination also plays a significant role in the inter- and intra-specific competition between plants [4,5]. The variation in seed response between and within populations is one of the key factors responsible for the establishment and persistence of alien plant species [6,7,8]. The invasiveness and pre-adapting ability of an alien plant are associated with certain attributes, including rapid and prolific germination, rapid growth and high fecundity, and great environmental tolerance [9,10,11]. Despite increased scientific efforts to study biological invasions of certain plant species, there is still a lack of adequate understanding of how alien vs. native plant species respond to environmental cues in different regions. The responses of alien and native species will vary depending on a number of factors, including the habitat, species, environmental parameters, distribution range, invasion status, and the intensity of management measures [12,13,14]. It is more probable that alien species with wider distribution ranges have a higher chance of adapting to various conditions compared to alien plants with a limited distribution [15]. Therefore, it is essential to implement rigorous management measures to prevent alien plants from adapting to environmental stresses [16,17]. Environmental factors are mentioned as one of the main barriers to invasion by alien plants [18]. The decision on which alien species should be prioritized for management will depend on the potential for an alien species to invade and its negative impact on the region’s agricultural diversity and biodiversity [18,19].
Each plant species has its specific range of cardinal temperatures with base (Tb), optimum (Topt), and maximum (Tmax) temperatures that determine the geographical limits for growth [20]. The maximum growth and development rate occurs around the optimum temperature (Topt) range [21,22,23]. The base and maximum temperatures are the lowest and highest temperatures, respectively, at which a plant is able to grow [24] and germinate [25]. Cardinal temperatures can be estimated from data on plant development—which is primarily a temperature-dependent process—by conducting germination tests under experimental conditions within a range of constant temperatures. Various non-linear functions are applied to describe specific ranges of cardinal temperatures, which vary in terms of simplicity and realistic description [26]. Among these functions are Dent, segmented, and beta models, which have been frequently used to estimate the cardinal temperatures of germination in numerous crops and weeds such as safflower (Carthamus tinctorius L.) [27]; Asian spiderflower (Cleome viscosa L.) [28]; purple nutsedge (Cyperus rotundus L.) [29]; sea barley (Hordeum marinum Huds.) [30]; etc.
The response of germination to temperature depends on various factors such as the plant’s species, variety, growth environment, or origin [26,31,32]. Understanding how alien plants respond to temperature is crucial for detecting their competitive ability and their response to climate change [33], which may differ from that of native species [34,35]. A substantial body of research has demonstrated that the cardinal temperature exhibits considerable variation across different populations. However, there is currently a paucity of information regarding the full extent of this variation. Moreover, no research has been conducted to ascertain the most influential factors responsible for fluctuations within the cardinal temperatures of germination. Consequently, there is a need to determine the impact of various factors on the three cardinal temperature components. Thus, the objective of this study was to evaluate the effect of the species, ecotypes, origin (native/alien), year, and life cycle of plant species on the variation in the base, optimum, and maximum seed temperatures.
2. Results
2.1. Description of Dataset
From 84 selected records, 46 ecotypes and 31 species were obtained, which belonged to 14 families. Most of the records were associated with the Poaceae, Asteraceae, Brassicaceae, and Plantaginaceae families. Of the 31 different species studied, 8 species were alien (19 records) and belonged to five families (Supplementary Data). The species studied were distributed almost all over Iran, with most of them occurring in the northern and northeastern parts of the country (Figure 1).
2.2. The lm Procedure Output
The lm procedure (a two-way ANOVA linear model) showed that some factors are more important than others with regard to the variation in cardinal temperatures. Being of native or alien origin had a significant impact on the variation in base, optimum, and maximum temperatures. All the factors, apart from the life cycle, significantly affected the base and optimum temperatures. Our results revealed that the base temperature is less influenced by ecotypes than by the optimum and maximum temperatures. The maximum temperature was not affected by year despite the base and optimum temperatures (Table 1). Alien species had higher base temperatures (mean = 10.6 °C) than the native ones (mean = 5.51 °C), and the average optimum and maximum temperatures were around 31 and 45 °C, respectively. Alien plants were also subject to narrow optimum and maximum temperatures in comparison with the native species (Figure 2).
Table 1.
The lm procedure (a two-way ANOVA linear model) of the effect of different factors on three components of cardinal temperature.

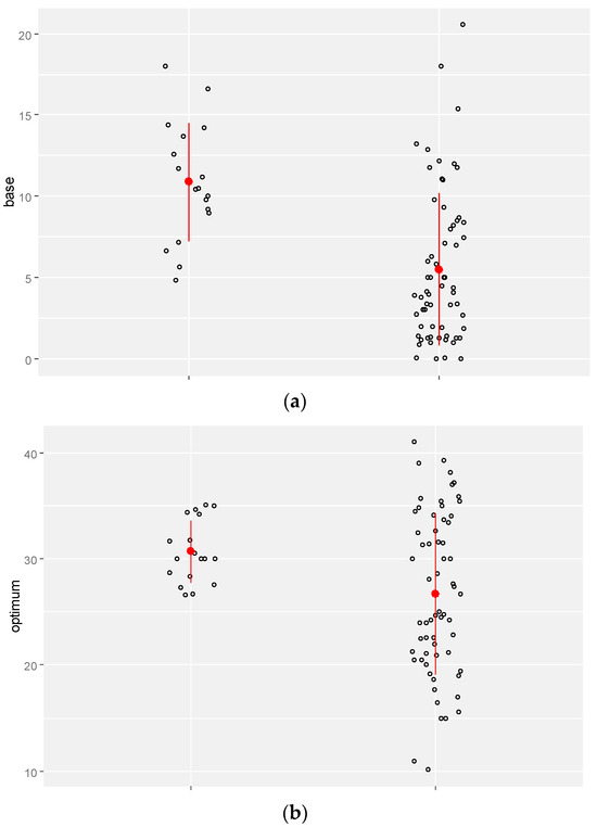
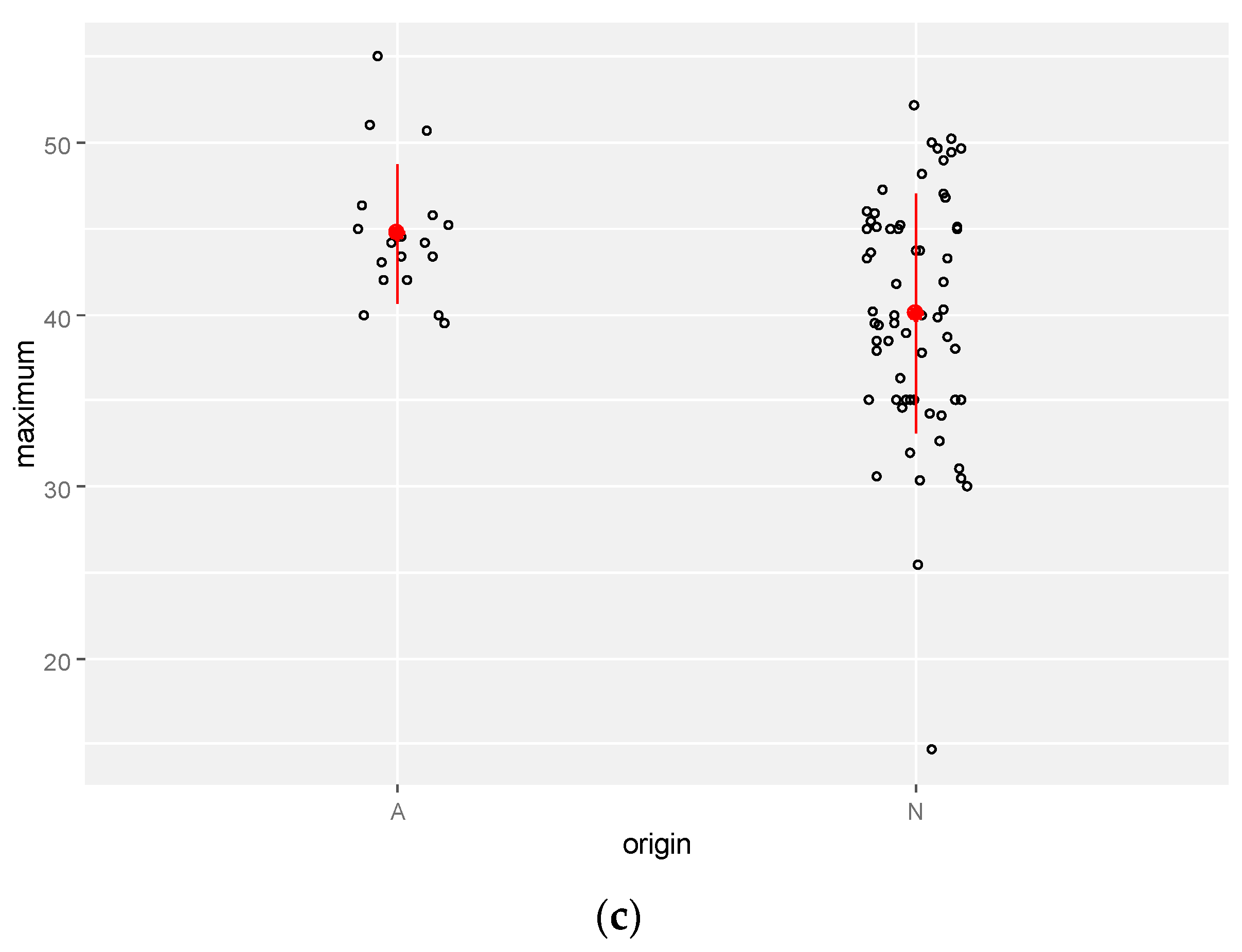
Figure 2.
The effect of origin on the variation in the base (a) (mean = 5.51 for native plants (N) and 10.6 for alien plants; p-value: <0.001), optimum (b) (mean = 26.7 for native plants and 30.9 for alien plants; p-value: 0.003), and maximum (c) temperature (mean = 40 for native plants and 44.9 for alien plants; p-value: <0.001).
Figure 1.
The dots show distribution of the examined populations in Iran.
Figure 1.
The dots show distribution of the examined populations in Iran.

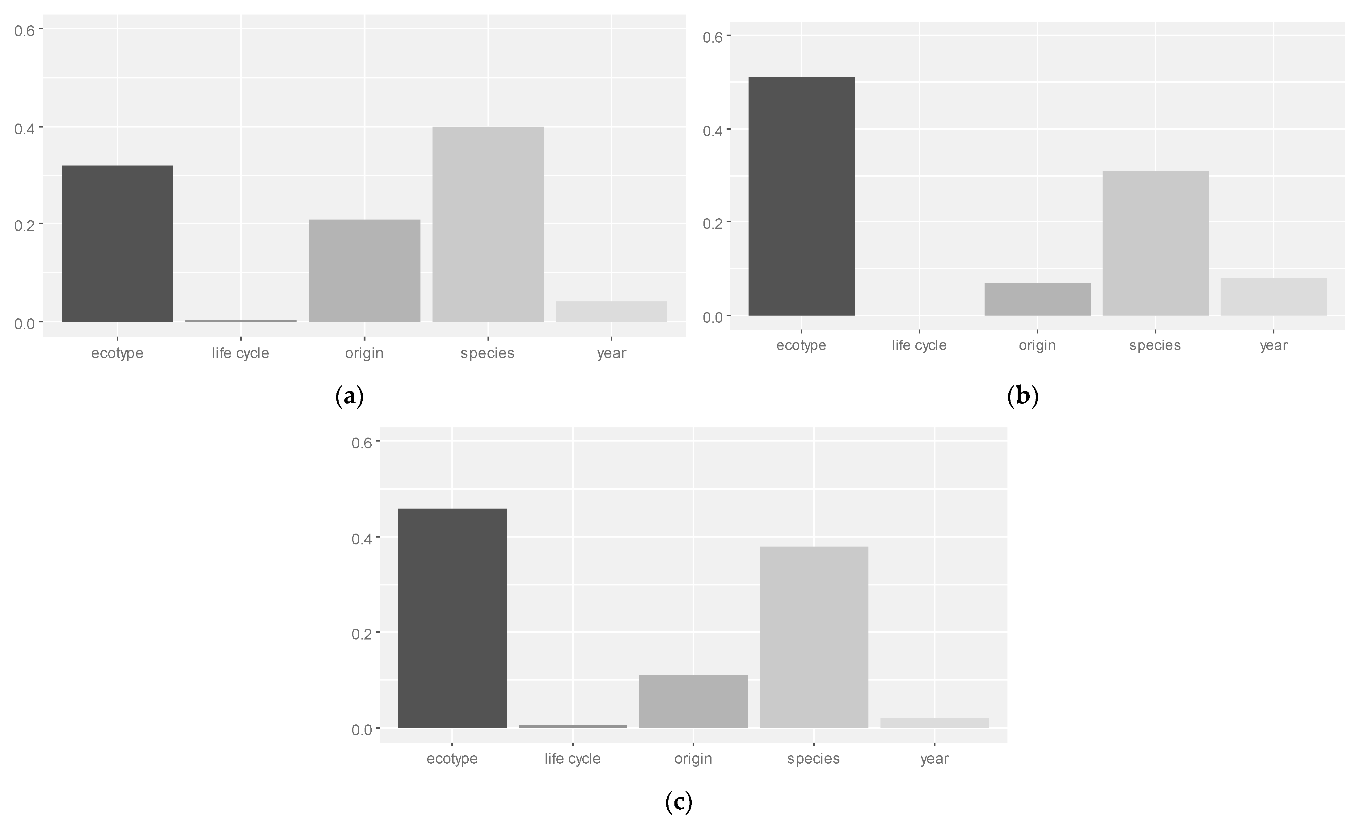
2.3. Effect Size of Factors
The effect size in ANOVA measured the degree of association between the effect and the dependent variable. The interaction between the species and base, optimum, and maximum temperatures accounted for 40, 31, and 38% of the total variability, respectively. The effect of ecotypes on the variation in the base, optimum, and maximum temperatures explained 32, 51, and 46% of the total variability, respectively. Being native or alien had the most effect on the base temperature (21%), whereas its effect on the optimum and maximum temperatures was around 7 to 9%, respectively. The effect of the year of study on the optimum temperature was higher than that on the base and maximum temperatures (Figure 3). In this study, the base and maximum temperatures were more affected by the species type and not by the ecotypes. The latter had a greater effect on the variation in the optimum temperature. In general, the year and life cycle had a lesser influence on the variation in cardinal temperature (Figure 3).
Figure 3.
Relative effect sizes (Eta-squared) for the base (a), optimum (b), and maximum (c) temperatures by different factors.
3. Discussion
The species most represented in this study was related to two families with the largest number of plant species. Asteraceae and Poaceae contain the highest number of weedy species of all the flora of many other countries (https://powo.science.kew.org). Our result showed that the base temperature was affected by all the factors. Other studies have reported positive correlations between the base temperature and other germination traits [36]. Plant species can alter the base, optimum, and maximum temperature to cope with unpredictable conditions, in harmony with efficient adaptation strategies [37]. The genetic diversity of species, biodiversity level of the region, seed age, and climate conditions of the maternal plant have an effective role in their germination time and in the consequences of shaping a community assembly [38,39,40,41]. Species that detect and respond more quickly to environmental changes at ecological and genetic levels through adaptation are expected to have a selective advantage over species that respond more slowly [3]. Plant species’ response to environmental conditions changes over time and, being more acknowledged for the range of their response changes, will be necessary to predict their distribution and impact on different ecosystem levels [42,43,44]. The duration of the growing season and seed size had a considerable impact on the optimum temperature of Nigella sativa L. [45] and Trigonella foenum-graecum L. [32]. The effect of the year on the variation in cardinal temperatures can be attributed to the effect of the region’s annual rainfall, temperature, and amount of sunshine. Plant species that grow under optimum conditions will have a larger seed size and germinate faster, which influences cardinal temperatures [46,47,48]. The seed mass and germination were improved under a favorable habitat´s quality in different populations of Scorzonera hispanica L. [49]. The tolerance ranges (i.e., ecological valencies) to various environmental factors from the natural selection of plants will be important to predict their response in different locations, especially in introduced plants and their subsequent distribution [15,50]. More studies about different populations’ responses will be helpful to draw accurate conclusions about plants’ performance.
The wider base, optimum, and maximum temperature range in native species can be attributed to their greater genetic diversity in their native area. The lesser trait similarity between native and alien plants could lead to significant impacts of alien plants on the communities that they invade [51,52]. Alien plants had a higher base temperature than native plants, which suggests that growing in new regions with warmer temperatures may be more beneficial for alien species. Some alien plants are more competitive under climate change conditions due to their rapid establishment and growth in warmer temperatures [53]. In general, the variation in the cardinal temperature of native plants is higher than that of alien ones. The future flora of plant communities could be modified by the different responses of alien and native species to their germination stage [33,35]. Accordingly, Trotta et al. [33] reported that warmer temperatures favor the germination of alien plants rather than that of native species, so they may be more prone to emerge in summer crops as weeds. In Iran, 50% of alien plants grow in agricultural habitats, so that awareness of their response could help to develop robust management tactics [54]. Widespread invasive plants have been able to sense the changes in the climate and respond to them more rapidly via plastic and/or adaptive changes. Therefore, invasive species are predicted to have an advantage over slow-responding plants [55,56,57]. The prolific growth and worldwide distribution of Amaranthus retroflexus L. is related to its high invasion potential [6]. As the establishment and spread of plant species in their native or alien geographic areas are determined by germination as a key process and mechanism [58], finding out the timing of germination will be essential to estimate the growth, maturity, and seed production of the plants [59]. The increasing pressure from biological invasions on ecosystems, intensified by the effects of climate change, requires the swift development of robust and effective management strategies to control invasive species [60,61]. Invasive species, particularly weeds, represent a significant risk to agricultural productivity, biodiversity, and ecosystem services. It is therefore essential to adopt a comprehensive and adaptive approach to weed management, integrating multiple control techniques [62]. Preventive management is a vital tool in reducing the risk of new invasive species introductions, as well as in mitigating further detrimental impacts once they are established [63]. Preventative measures may include the introduction of stricter phytosanitary regulations, early detection and rapid response systems, and the use of certified weed-free seeds and planting materials. Furthermore, public awareness campaigns and education on the risks associated with invasive species are essential for reducing the likelihood of unintentional introductions through human activities.
New weed control tools are being developed that focus on species-specific characteristics and the ecological dynamics of invasion. These tools are particularly valuable for addressing alien species in the early “introduction” phase of invasion, where containment and localized eradication efforts are more feasible [64,65]. For example, early intervention techniques can prevent invasive weeds from becoming established and spreading across larger areas, thereby reducing long-term management costs and minimizing ecosystem disruption.
Control practices targeting weed seedbanks can be highly effective in limiting the persistence and spread of invasive species. One such method involves manipulating soil conditions, such as by lowering soil temperature, to delay seed germination. By extending the dormancy period, seeds are exposed to a longer period of vulnerability, increasing the likelihood of predation by natural enemies such as ants, beetles, and other seed predators [66]. This strategy not only increases seed mortality but also reduces the overall seedbank density, thereby limiting future weed infestations. Another successful approach is the use of weed emergence models [67]. These models are based on environmental factors, such as soil temperature, which influence weed seed dormancy and germination. Gaining insight into the factors influencing variations in cardinal temperatures allows the creation of more precise models and the implementation of timely control interventions, such as herbicide application or mechanical control. This significantly improves the efficiency of invasive species management. By accurately identifying the ideal environmental conditions for germination and growth, control measures can be better timed, ensuring maximum effectiveness and reducing the impact of invasive species on ecosystems and crops.
The effect size result demonstrated the strength of the relationship between plant origin and base temperature. Likewise, the ecotypes influenced the optimum temperature and the species influenced the base temperature. Effect sizes are the most important outcome of empirical studies and can show the magnitude of the reported effects [68,69]. Differential associations of factors in plant response to water stress were represented by effect size [70]. The current evaluations of the variation in cardinal temperature have focused on germination changes; however, increases in minimum temperature may be more significant in their effect on growth and phenology [71]. These findings could be further explored with different settings and more species in different communities and countries, adding depth to our understanding of the alien plant’s response to temperature.
We hope the aforementioned alien weeds garner significant attention from policymakers and prompt the necessary management actions in Iran, particularly given their advantage in thriving under warmer temperatures. Climate change is creating increasingly favorable conditions for these invasive species, allowing them to expand their range, outcompete native flora, and disrupt agricultural systems. The rise in temperatures not only accelerates the growth and reproduction of these weeds but also extends their growing seasons, making them more resilient to traditional control methods.
4. Materials and Methods
4.1. Data Collection
The database employed in this study was taken from peer-reviewed publications in the English and Persian languages (Supplementary Data) via the Web of Science, Google Scholar, Iranian journals, and congress proceedings. The search encompassed literature related to Iranian plant species (both native and alien) and cardinal temperature from 2020 to 2024, using the following terms: “cardinal temperature” or “weed germination”, or “plant germination” or “germination temperature” or “germination range” or “base temperature” or “optimum temperature”. The following criteria were applied for this investigation: (1) the outputs of the segmented model, including base, optimum, and maximum temperature, (2) the year (of seed collection), (3) the location of seed collection, (4) the origin of species selected (native or alien). The criteria mentioned above were extracted when there were at least two studies on the selected species (Table 2). We screened 84 records (31 different species) by using the above criteria (Supplementary Data). The determination of the origin (native or alien) and nomenclature of species were based on the POWO (Plants of the World Online) database (https://powo.science.kew.org). The location of the study was used to determine the ecotype as a population (or subspecies or race) that is adapted to local environmental conditions. We used the segmented model for the greater availability of information on the species in Iran [72]. A list of the species studied in this paper is presented in Table 2.
Table 2.
The list of the species studied in this paper and their main characteristics.
4.2. Statistical Analyses
The statistical analysis involved the linear model (lm) procedure and the calculation of effect size using Eta-squared (η2). We employed two-way analysis of variance (ANOVA) at a 0.05 significance level to assess the differences among factors concerning the three key temperature parameters. In the linear model, we focused on explaining the variance attributed to each model term, which facilitated the prediction and elucidation of variability among the factors analyzed through ANOVA.
To quantify the proportion of total variance in the dependent variable associated with the factors, we calculated effect sizes for the ANOVAs. The effect size reflects the strength of the association between the factors and the dependent variable, measured specifically by Eta-squared (η2), defined as η2 = SSeffect/SStotal. This calculation was implemented using the eta_squared function from the effectsize library [69]. For each factor, we utilized the model to examine interactions with reference to the base, optimum, and maximum temperatures. Data processing and statistical analyses were conducted using R version 4.3.0 beta (R Core Team), with the effect size and ggplot2 (v. 3.4.2) packages employed for enhanced data visualization.
5. Conclusions
This study provided the first comparison of the effect of different factors on three components of cardinal temperature and showed that the factors examined had significant effects apart from the life cycle of the species. Variations in base temperature were more affected by the plant’s species, while optimum temperature was more influenced by its ecotype. Our results also demonstrated that the base temperature was more affected by the plant’s origin, so that alien plants preferred a higher and narrower range of base, optimum, and maximum temperatures than the native ones. From this evidence, it was elucidated that alien plants can benefit more under warmer conditions in invaded areas and may be more problematic in summer crops. These findings lay the foundation for carrying out subsequent studies with broader species ranges of native and alien plants. The comparison of the response of these plants to environmental conditions will be important for predicting their impact on plant communities and improving management programs, as well as how they relate to climate patterns.
Supplementary Materials
The following supporting information can be downloaded at https://www.mdpi.com/article/10.3390/plants13202848/s1.
Author Contributions
Conceptualization: S.S., J.G. and A.S.; methodology: S.S. and A.S.; formal analysis: S.S.; writing–review and editing: S.S., J.G., A.S., S.H.-b. and J.L.G.-A. All authors have read and agreed to the published version of the manuscript.
Funding
This work was funded by the Gorgan University of Agricultural Sciences and Natural Resources (GUASNR), Iran (project no. 02-490-49).
Data Availability Statement
The original contributions presented in this study are included in the Supplementary Materials; further inquiries can be directed to the corresponding author.
Conflicts of Interest
The authors declare no conflicts of interest.
References
- Dubey, P.S.; Mall, L.P. Ecology of germination of weed seeds. Oecologia 1972, 10, 105–110. [Google Scholar] [CrossRef] [PubMed]
- Rajjou, L.; Duval, M.; Gallardo, K.; Catusse, J.; Bally, J.; Job, C.; Job, D. Seed germination and vigor. Annu. Rev. Plant Biol. 2012, 63, 507–533. [Google Scholar] [CrossRef] [PubMed]
- Gioria, M.; Pyšek, P. Early bird catches the worm: Germination as a critical step in plant invasion. Biol. Invasions 2017, 19, 1055–1080. [Google Scholar] [CrossRef]
- Kader, M.A.; Jutzi, S.C. Effects of thermal and salt treatments during imbibition on germination and seedling growth of sorghum at 42/19 °C. J. Agron. Crop Sci. 2004, 190, 35–38. [Google Scholar] [CrossRef]
- Schlaepfer, D.R.; Glättli, M.; Fischer, M.; van Kleunen, M. A multi-species experiment in their native range indicates pre-adaptation of invasive alien plant species. New Phytol. 2010, 185, 1087–1099. [Google Scholar] [CrossRef]
- Hao, J.-H.; Lv, S.-S.; Bhattacharya, S.; Fu, J.-G. Germination response of four alien congeneric Amaranthus species to environmental factors. PLoS ONE 2017, 12, e0170297. [Google Scholar] [CrossRef]
- Ozaslan, C.; Farooq, S.; Onen, H.; Ozcan, S.; Bukun, B.; Gunal, H. Germination biology of two invasive Physalis species and implications for their management in arid and semi-arid regions. Sci. Rep. 2017, 7, 16960. [Google Scholar] [CrossRef]
- Šerá, B.; Žarnovičan, H.; Hodálová, I.; Litavský, J. Reproductive capacity and seed germination after various storage of the invasive alien plant Amorpha fruticosa L.—A case study from Bratislava. Biologia 2024, 79, 1–9. [Google Scholar] [CrossRef]
- Baker, H.G. The evolution of weeds. Annu. Rev. Ecol. Evol. Syst. 1974, 5, 1–24. [Google Scholar] [CrossRef]
- Zhang, Q.; Wang, Y.; Weng, Z.; Chen, G.; Peng, C. Adaptation of the invasive plant Sphagneticola trilobata (L.) Pruski to drought stress. Plants 2024, 13, 2207. [Google Scholar] [CrossRef]
- Wang, C.; Liu, Y.; Li, C.; Li, Y.; Du, D. The invasive plant Amaranthus spinosus L. exhibits a stronger sesistance to drought than the native plant A. tricolor L. under co-cultivation conditions when treated with light drought. Plants 2024, 13, 2251. [Google Scholar] [CrossRef]
- Hejda, M.; Pyšek, P.; Jarošík, V. Impact of invasive plants on the species richness, diversity and composition of invaded communities. J. Ecol. 2009, 97, 393–403. [Google Scholar] [CrossRef]
- Parepa, M.; Fischer, M.; Bossdorf, O. Environmental variability promotes plant invasion. Nat. Commun. 2013, 4, 1604. [Google Scholar] [CrossRef] [PubMed]
- Hunter, D.M.; DeBerry, D.A. Environmental drivers of plant invasion in wetland mitigation. Wetlands 2023, 43, 81. [Google Scholar] [CrossRef]
- Holm, L.; Doll, J.; Holm, E.; Pancho, J.; Herberger, J. World Weeds: Natural Histories and Distribution; John Wiley and Sons: New York, NY, USA, 1977; p. 1152. [Google Scholar]
- Huston, M.A. Management strategies for plant invasions: Manipulating productivity, disturbance, and competition. Divers. Distrib. 2004, 10, 167–178. [Google Scholar] [CrossRef]
- Johnson, L.R.; Handel, S.N. Management intensity steers the long-term fate of ecological restoration in urban woodlands. Urban For. Urban Green. 2019, 41, 85–92. [Google Scholar] [CrossRef]
- Kumschick, S.; Gaertner, M.; Vilà, M.; Essl, F.; Jeschke, J.M.; Pyšek, P.; Ricciardi, A.; Bacher, S.; Blackburn, T.M.; Dick, J.T.A.; et al. Ecological impacts of alien species: Quantification, scope, caveats, and recommendations. BioScience 2014, 65, 55–63. [Google Scholar] [CrossRef]
- Sohrabi, S.; Gherekhloo, J.; Zand, E.; Nezamabadi, N. The necessity of monitoring and assessing alien plants in Iran. Iran Nat. 2023, 8, 81–90. [Google Scholar]
- Soltani, E.; Baskin, C.C.; Gonzalez-Andujar, J.L. An overview of environmental cues that affect germination of nondormant seeds. Seeds 2022, 1, 146–151. [Google Scholar] [CrossRef]
- Yan, W.; Hunt, L.A. An equation for modelling the temperature response of plants using only the cardinal temperatures. Ann. Bot. 1999, 84, 607–614. [Google Scholar] [CrossRef]
- Phartyal, S.S.; Thapliyal, R.C.; Nayal, J.S.; Rawat, M.M.S.; Joshi, G. The influences of temperatures on seed germination rate in Himalayan elm (Ulmus wallichiana). Seed Sci. Technol. 2003, 31, 83–93. [Google Scholar] [CrossRef]
- Hatfield, J.L.; Prueger, J.H. Temperature extremes: Effect on plant growth and development. Weather Clim. Extrem. 2015, 10, 4–10. [Google Scholar] [CrossRef]
- Garcia-Huidobro, J.; Monteith, J.L.; Squire, G.R. Time, temperature and germination of pearl millet (Pennisetum typhoides S. & H.): I. Constant temperature. J. Exp. Bot. 1982, 33, 288–296. [Google Scholar] [CrossRef]
- Gherekhloo, J.; Sohrabi, S.; Ansari, O.; Bagherani, N.; Prado, R.D. Study of dormancy breaking and factors affecting germination of Parapholis incurva (L.) C.E.Hubb. as annual grass. Taiwania 2023, 68, 185–192. [Google Scholar] [CrossRef]
- Andreucci, M.P.; Moot, D.J.; Black, A.D.; Sedcole, R. A comparison of cardinal temperatures estimated by linear and nonlinear models for germination and bulb growth of forage brassicas. Eur. J. Agron. 2016, 81, 52–63. [Google Scholar] [CrossRef]
- Torabi, B.; Attarzadeh, M.; Soltani, A. Germination response to temperature in different safflower (Carthamus tinctorius) cultivars. Seed Technol. 2013, 35, 47–59. [Google Scholar]
- Elahifard, E.; Derakhshan, A. Asian spiderflower (Cleome viscosa) germination ecology in southern Iran. Weed Biol. Manag. 2018, 18, 110–117. [Google Scholar] [CrossRef]
- Mijani, S.; Rastgoo, M.; Ghanbari, A.; Nassiri Mahallati, M.; González-Andújar, J.L. Development of a new thermal time model for describing tuber sprouting of purple nutsedge (Cyperus rotundus L.). Weed Res. 2021, 61, 431–442. [Google Scholar] [CrossRef]
- Taheri, M.; Gherekhloo, J.; Sohrabi, S.; Siahmarguee, A.; Hassanpour-bourkheili, S. Sea barley (Hordeum Marinum) seed germination ecology and seedling emergence. Acta Bot. Hung. 2024, 66, 119–134. [Google Scholar] [CrossRef]
- Sohrabi Kertabad, S.; Rashed Mohassel, M.H.; Nasiri Mahalati, M.; Gherekhloo, J. Some biological aspects of the weed Lesser celandine (Ranunculus ficaria). Planta Daninha 2013, 31, 577–585. [Google Scholar] [CrossRef]
- Solouki, H.; Kafi, M.; Nabati, J.; Ahmadi-Lahijani, M.J.; Nezami, A.; Ahmady, R.S. Quantifying cardinal temperatures of fenugreek (Trigonella foenum graecum L.) ecotypes using non-linear regression models. J. Appl. Res. Med. Aromat. Plants 2022, 31, 100401. [Google Scholar] [CrossRef]
- Trotta, G.; Vuerich, M.; Petrussa, E.; Hay, F.R.; Assolari, S.; Boscutti, F. Germination performance of alien and native species could shape community assembly of temperate grasslands under different temperature scenarios. Plant Ecol. 2023, 224, 1097–1111. [Google Scholar] [CrossRef]
- Gioria, M.; Pyšek, P.; Osborne, B.A. Timing is everything: Does early and late germination favor invasions by herbaceous alien plants? J. Plant Ecol. 2016, 11, 4–16. [Google Scholar] [CrossRef]
- Nešić, M.; Obratov-Petković, D.; Skočajić, D.; Bjedov, I.; Čule, N. Factors affecting seed germination of the invasive species Symphyotrichum lanceolatum and their implication for invasion success. Plants 2022, 11, 969. [Google Scholar] [CrossRef] [PubMed]
- Maleki, K.; Soltani, E.; Seal, C.E.; Colville, L.; Pritchard, H.W.; Lamichhane, J.R. The seed germination spectrum of 486 plant species: A global meta-regression and phylogenetic pattern in relation to temperature and water potential. Agric. For. Meteorol. 2024, 346, 109865. [Google Scholar] [CrossRef]
- Donohue, K.; Rubio de Casas, R.; Burghardt, L.; Kovach, K.; Willis, C.G. Germination, postgermination adaptation, and species ecological ranges. Annu. Rev. Ecol. Evol. Syst. 2010, 41, 293–319. [Google Scholar] [CrossRef]
- Colautti, R.I.; Lau, J.A. Contemporary evolution during invasion: Evidence for differentiation, natural selection, and local adaptation. Mol. Ecol. 2015, 24, 1999–2017. [Google Scholar] [CrossRef]
- Dlugosch, K.M.; Anderson, S.R.; Braasch, J.; Cang, F.A.; Gillette, H.D. The devil is in the details: Genetic variation in introduced populations and its contributions to invasion. Mol. Ecol. 2015, 24, 2095–2111. [Google Scholar] [CrossRef]
- Lu, J.J.; Tan, D.Y.; Baskin, C.C.; Baskin, J.M. Effects of germination season on life history traits and on transgenerational plasticity in seed dormancy in a cold desert annual. Sci. Rep. 2016, 6, 25076. [Google Scholar] [CrossRef]
- Moyano, J. Origins of successful invasions. Nat. Ecol. Evol. 2023, 7, 1583–1584. [Google Scholar] [CrossRef]
- Tardieu, F. Plant response to environmental conditions: Assessing potential production, water demand, and negative effects of water deficit. Front. Physiol. 2013, 4, 17. [Google Scholar] [CrossRef] [PubMed]
- Gray, S.B.; Brady, S.M. Plant developmental responses to climate change. Dev. Biol. 2016, 419, 64–77. [Google Scholar] [CrossRef] [PubMed]
- Afuye, G.A.; Kalumba, A.M.; Orimoloye, I.R. Characterisation of vegetation response to climate change: A review. Sustainability 2021, 13, 7265. [Google Scholar] [CrossRef]
- Kiani, M.; Alahdadi, I.; Soltani, E.; Benakashani, F. Changes of seed quality and germination of some black cumin ecotypes (Nigella sativa L.) during development and maturity. J. Plant. Prod. Res. 2021, 27, 227–240. [Google Scholar] [CrossRef]
- Peco, B.; Rico, L.; Azcárate, F.M. Seed size and response to rainfall patterns in annual grasslands: 16 years of permanent plot data. J. Veg. Sci. 2009, 20, 8–16. [Google Scholar] [CrossRef]
- Kuniyal, C.P.; Purohit, V.; Butola, J.S.; Sundriyal, R.C. Seed size correlates seedling emergence in Terminalia bellerica. S. Afr. J. Bot. 2013, 87, 92–94. [Google Scholar] [CrossRef]
- Martins, A.A.; Opedal, Ø.H.; Armbruster, W.S.; Pélabon, C. Rainfall seasonality predicts the germination behavior of a tropical dry-forest vine. Ecol. Evol. 2019, 9, 5196–5205. [Google Scholar] [CrossRef]
- Münzbergová, Z.; Plačková, I. Seed mass and population characteristics interact to determine performance of Scorzonera hispanica under common garden conditions. Flora Morphol. Distrib. Funct. Ecol. Plants 2010, 205, 552–559. [Google Scholar] [CrossRef]
- Mickelbart, M.V.; Hasegawa, P.M.; Bailey-Serres, J. Genetic mechanisms of abiotic stress tolerance that translate to crop yield stability. Nat. Rev. Genet. 2015, 16, 237–251. [Google Scholar] [CrossRef]
- Skálová, H.; Moravcová, L.; Pyšek, P. Germination dynamics and seedling frost resistance of invasive and native Impatiens species reflect local climatic conditions. Perspect. Plant Ecol. Evol. Syst. 2011, 13, 173–180. [Google Scholar] [CrossRef]
- Hulme, P.E.; Bernard-Verdier, M. Comparing traits of native and alien plants: Can we do better? Funct. Ecol. 2018, 32, 117–125. [Google Scholar] [CrossRef]
- Haeuser, E.; Dawson, W.; van Kleunen, M. Introduced garden plants are strong competitors of native and alien residents under simulated climate change. J. Ecol. 2019, 107, 1328–1342. [Google Scholar] [CrossRef]
- Sohrabi, S.; Vilà, M.; Zand, E.; Gherekhloo, J.; Hassanpour-bourkheili, S. Alien plants of Iran: Impacts, distribution and managements. Biol. Invasions 2023, 25, 97–114. [Google Scholar] [CrossRef]
- Dickson, T.L.; Hopwood, J.L.; Wilsey, B.J. Do priority effects benefit invasive plants more than native plants? An experiment with six grassland species. Biol. Invasions 2012, 14, 2617–2624. [Google Scholar] [CrossRef]
- Fridley, J.D. Extended leaf phenology and the autumn niche in deciduous forest invasions. Nature 2012, 485, 359–362. [Google Scholar] [CrossRef]
- Wainwright, C.E.; Wolkovich, E.M.; Cleland, E.E. Seasonal priority effects: Implications for invasion and restoration in a semi-arid system. J. Appl. Ecol. 2012, 49, 234–241. [Google Scholar] [CrossRef]
- Verdú, M.; Traveset, A. Early emergence enhances plant fitness: A phylogenetically controlled meta-analysis. Ecology 2005, 86, 1385–1394. [Google Scholar] [CrossRef]
- Roché, C.T.; Thill, D.C.; Shafii, B. Reproductive phenology in yellow starthistle (Centaurea solstitialis). Weed Sci. 2017, 45, 763–770. [Google Scholar] [CrossRef]
- Sun, Y.; Kaleibar, B.P.; Oveisi, M.; Müller-Schärer, H. Addressing climate change: What can plant invasion science and weed science learn from each other? Front. Agron. 2021, 2, 626005. [Google Scholar] [CrossRef]
- Soler, J.; Izquierdo, J. The invasive Ailanthus altissima: A biology, ecology, and control review. Plants 2024, 13, 931. [Google Scholar] [CrossRef]
- Gonzalez-Andujar, J.L. Integrated weed management: A shift towards more sustainable and holistic practices. Agronomy 2023, 13, 2646. [Google Scholar] [CrossRef]
- Gentili, R.; Schaffner, U.; Martinoli, A.; Citterio, S. Invasive alien species and biodiversity: Impacts and management. Biodiversity 2021, 22, 1–3. [Google Scholar] [CrossRef]
- Rask, A.M.; Kristoffersen, P. A review of non-chemical weed control on hard surfaces. Weed Res. 2007, 47, 370–380. [Google Scholar] [CrossRef]
- Udugamasuriyage, D.; Kahandawa, G.; Tennakoon, K.U. Nonchemical aquatic weed control methods: Exploring the efficacy of UV-C radiation as a novel weed control tool. Plants 2024, 13, 1052. [Google Scholar] [CrossRef]
- Bussière, F.; Cellier, P. Modification of the soil temperature and water content regimes by a crop residue mulch: Experiment and modelling. Agric. For. Meteorol. 1994, 68, 1–28. [Google Scholar] [CrossRef]
- Gonzalez-Andujar, J.L.; Chantre, G.R.; Morvillo, C.; Blanco, A.M.; Forcella, F. Predicting field weed emergence with empirical models and soft computing techniques. Weed Res. 2016, 56, 415–423. [Google Scholar] [CrossRef]
- Lakens, D. Calculating and reporting effect sizes to facilitate cumulative science: A practical primer for t-tests and ANOVAs. Front. Psychol. 2013, 4, 863. [Google Scholar] [CrossRef]
- Ben-Shachar, M.S.; Lüdecke, D.; Makowski, D. Estimation of effect size indices and standardized parameters. J. Open Source Softw. 2020, 5, 2815. [Google Scholar] [CrossRef]
- Sun, Y.; Wang, C.; Chen, H.Y.H.; Ruan, H. Response of plants to water stress: A meta-analysis. Front. Plant Sci. 2020, 11, 978. [Google Scholar] [CrossRef]
- Khodapanah, G.; Gherekhloo, J.; Sohrabi, S.; Ghaderi-Far, F.; Golmohammadzadeh, S. Phenological response patterns and productive ability of Fallopia convolvulus to weather variability in Iran. Braz. J. Agric. Sci. 2023, 18, e3211. [Google Scholar] [CrossRef]
- Ghaderi-Far, F.; Gorzin, M. Applied Research in Seed Technology; Gorgan University of Agricultural Science and Natural Resources Press: Gorgan, Iran, 2019. [Google Scholar]
Disclaimer/Publisher’s Note: The statements, opinions and data contained in all publications are solely those of the individual author(s) and contributor(s) and not of MDPI and/or the editor(s). MDPI and/or the editor(s) disclaim responsibility for any injury to people or property resulting from any ideas, methods, instructions or products referred to in the content. |
© 2024 by the authors. Licensee MDPI, Basel, Switzerland. This article is an open access article distributed under the terms and conditions of the Creative Commons Attribution (CC BY) license (https://creativecommons.org/licenses/by/4.0/).


