Biogas Slurry Significantly Improved Degraded Farmland Soil Quality and Promoted Capsicum spp. Production
Abstract
1. Introduction
2. Results
2.1. Effect of Biogas Slurry Pretreatment on Soil Properties
2.2. Effect of Biogas Slurry Pretreatment on Soil Microorganisms
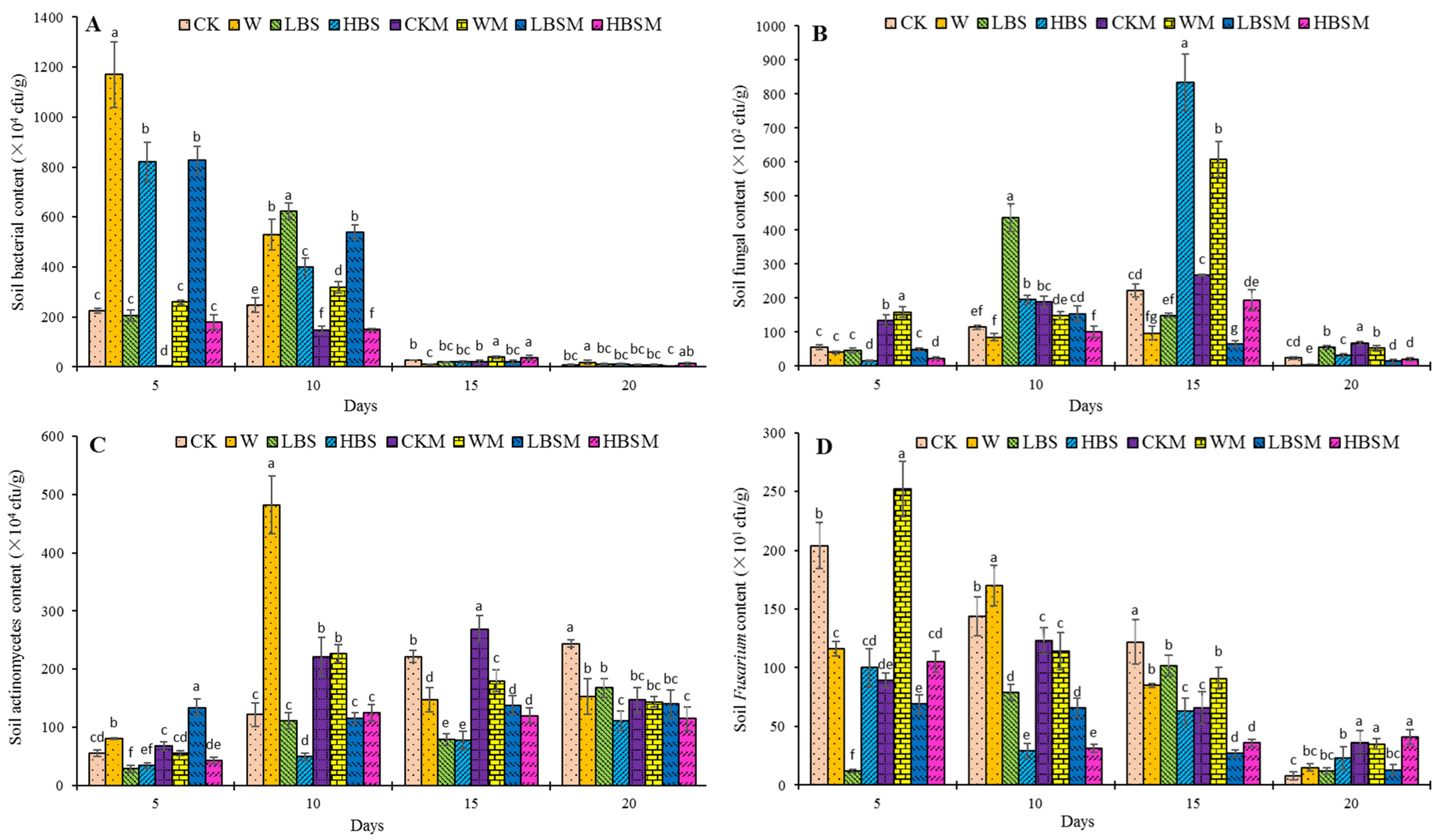
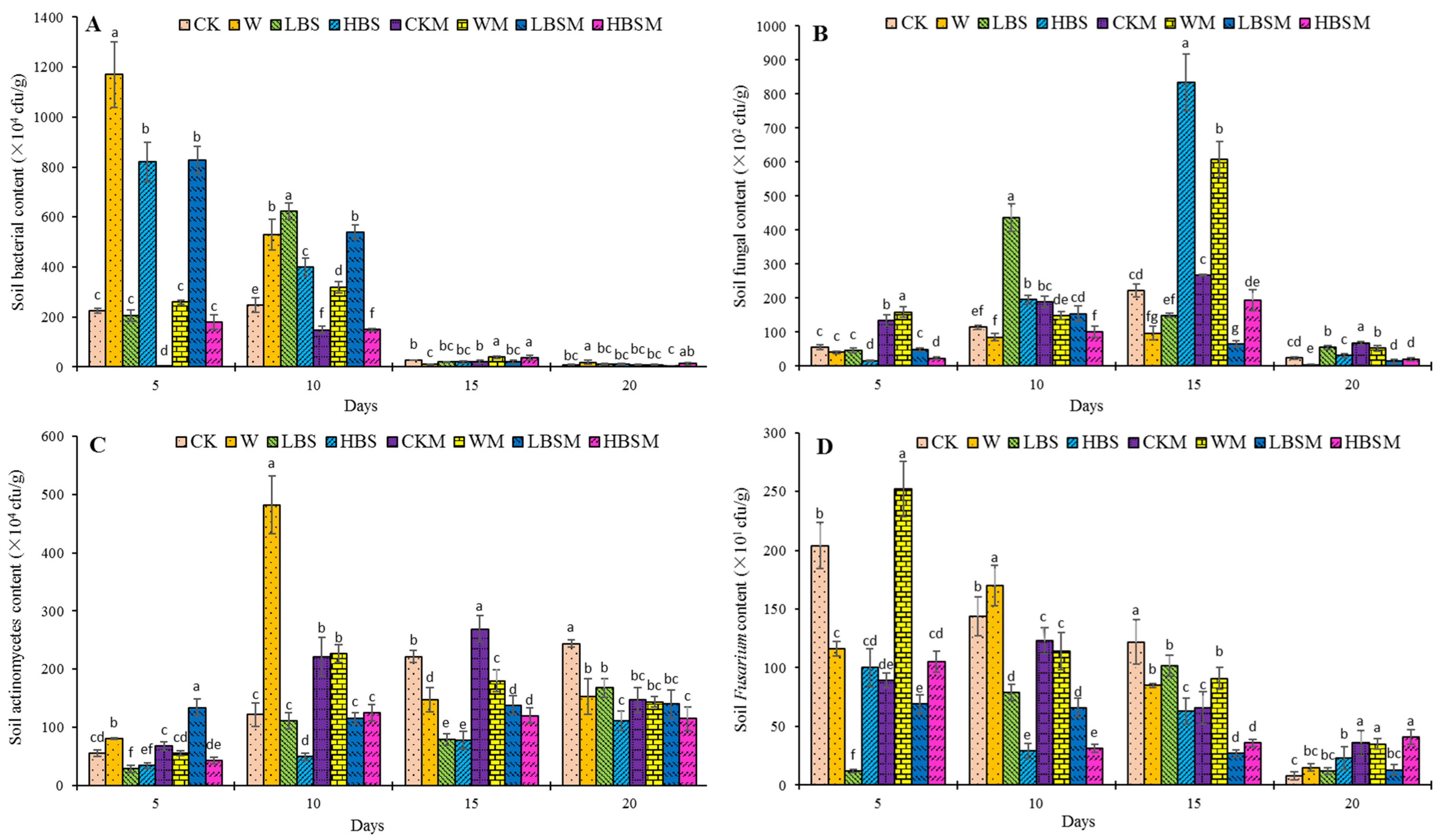
2.2.1. Soil Culturable Microorganisms
2.2.2. Changes in Soil Microbial Community Diversity
2.2.3. Canonical Correspondence Analysis (CCA)
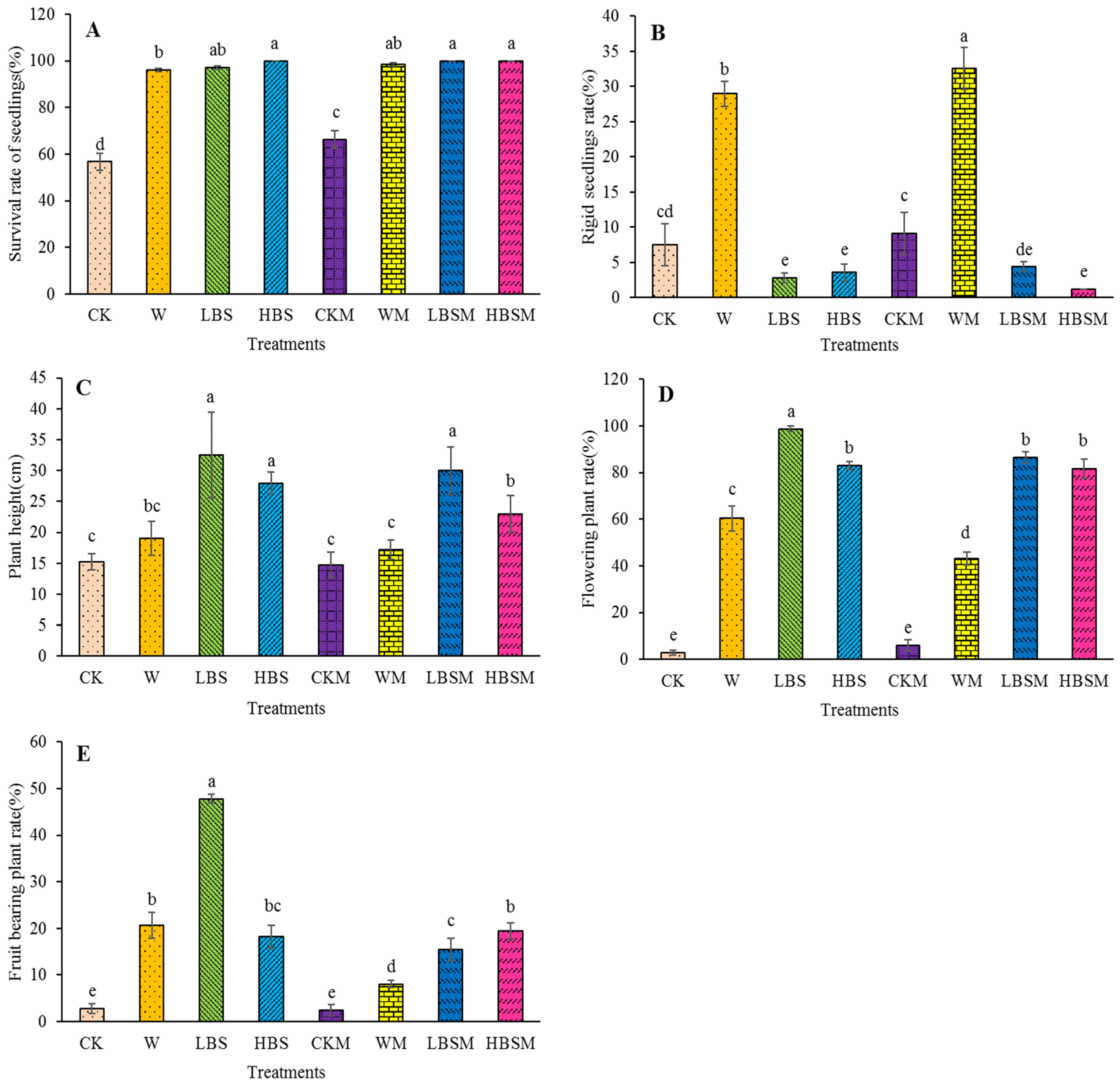
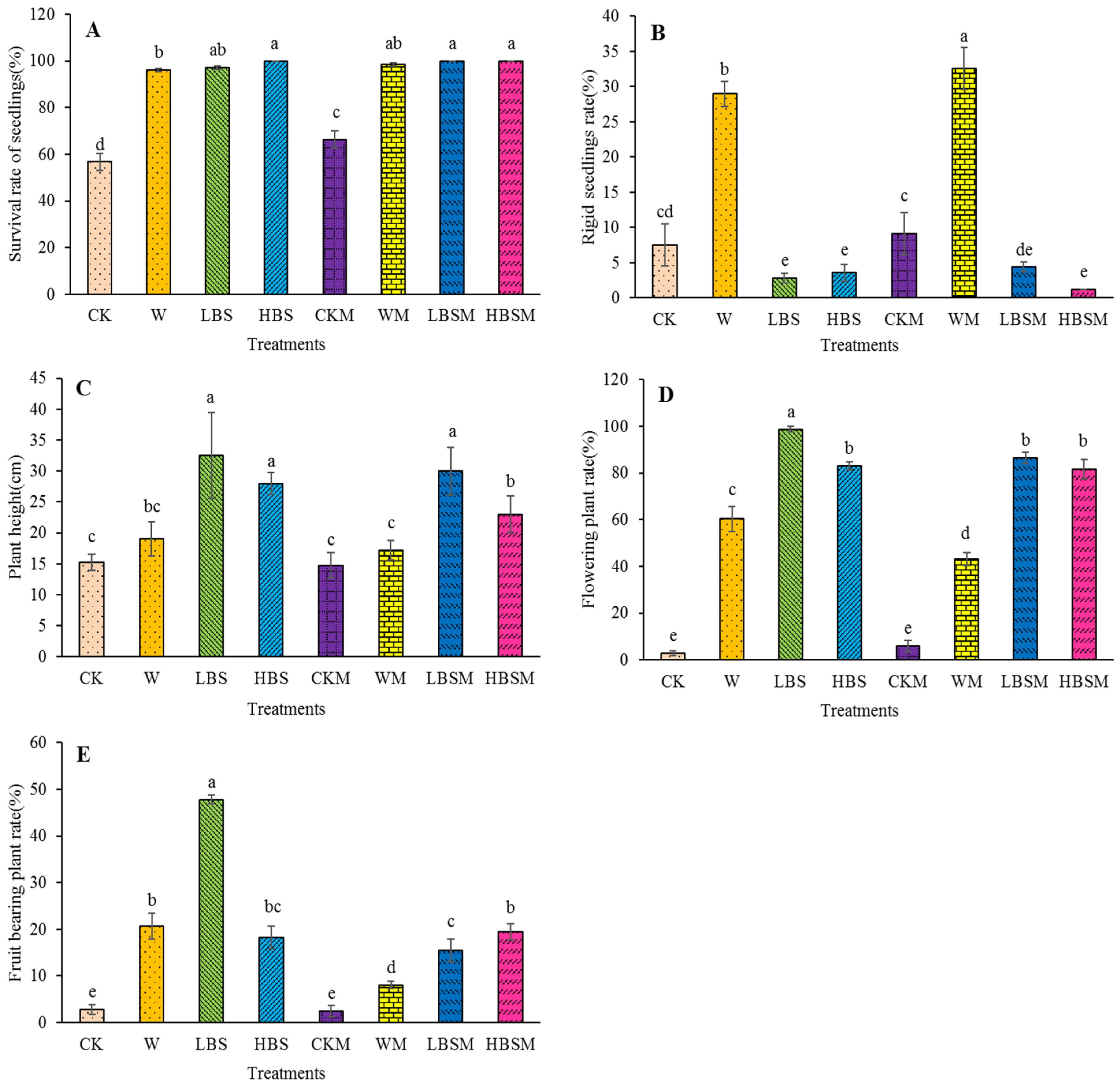
2.3. Effect of Biogas Slurry Pretreatment on the Production of Capsicum spp.
3. Discussion
3.1. Effect of Biogas Slurry Pretreatment on Soil Properties
3.2. Effect of Biogas Slurry Pretreatment on Soil Microorganisms
3.3. Effect of Biogas Slurry Pretreatment on the Production of Crops
3.4. Expanding Approaches of Digesting Biogas Slurry in Farmland
4. Materials and Methods
4.1. Experiment Site and Soil Properties
4.2. Biogas Slurry Properties
4.3. Design and Setting
4.4. Sampling and Analysis
4.4.1. Determination Content
4.4.2. Soil Sample Collection Methods
4.4.3. Soil Properties Determination
4.4.4. Soil Microbial Community Determination
4.5. Data Analysis
5. Conclusions
Author Contributions
Funding
Data Availability Statement
Acknowledgments
Conflicts of Interest
References
- Pérez-Brandán, C.; Huidobro, J.; Grumberg, B.; Scandiani, M.M.; Luque, A.G.; Meriles, J.M.; Vargas-Gil, S. Soybean fungal soil-borne diseases: A parameter for measuring the effect of agricultural intensification on soil health. Can. J. Microbiol. 2014, 60, 73–84. [Google Scholar] [CrossRef]
- Lamour, K.H.; Stam, R.; Jupe, J.; Huitema, E. The oomycete broad-host-range pathogen Phytophthora capsici. Mol. Plant Pathol. 2012, 13, 329–337. [Google Scholar] [CrossRef]
- Cai, Z.; Huang, Q. Soil-borne pathogens should not be ignored by soil science. Acta Pedol. Sin. 2016, 53, 305–310. [Google Scholar] [CrossRef]
- Xie, X.; Chen, Y.; Bu, Y.; Dai, C. A review of allelopathic researches on phenolic acids. Acta Ecol. Sin. 2014, 34, 6417–6428. [Google Scholar] [CrossRef]
- Butler, D.M.; Kokalis-Burelle, N.; Muramoto, J.; Shennan, C.; McCollum, T.G.; Rosskopf, E.N. Impact of anaerobic soil disinfestation combined with soil solarization on plant-parasitic nematodes and introduced inoculum of soilborne plant pathogens in raised-bed vegetable production. Crop Prot. 2012, 39, 33–40. [Google Scholar] [CrossRef]
- Momma, N.; Kobara, Y.; Uematsu, S.; Kita, N.; Shinmura, A. Development of biological soil disinfestations in Japan. Appl. Microbiol. Biotechnol. 2013, 97, 3801–3809. [Google Scholar] [CrossRef]
- Cai, Z.; Zhang, J.; Huang, X.; Zhu, T.; Wen, T. Application of reductive soil disinfestation to suppress soil-borne pathogens. Acta Pedol. Sin. 2015, 52, 469–476. [Google Scholar] [CrossRef]
- Tao, L.; Chu, X.; Liu, T.; Tang, C.; Li, J.; Liang, Y. Impacts of organic manure partial substitution for chemical fertilizer on cotton yield, soil microbial community and enzyme activities in mono-cropping system in drip irrigation condition. Acta Ecol. Sin. 2014, 34, 6137–6146. [Google Scholar] [CrossRef][Green Version]
- Cao, Y.; Chang, Z.; Ma, Y.; Yang, H.; Fu, G. Effects of application of anaerobically digested slurry on suppression of pepper (Capsicum frutescens L.) blight and soil biological characteristics. Sci. Agric. Sin. 2013, 46, 507–516. [Google Scholar] [CrossRef]
- Sui, H.; Chen, X.; Qin, N.; Wang, G.; Xu, K.; Ai, P. Effects of drip irrigation with biogas slurry on yield and quality of tomato and physical and chemical properties of soil. Shandong Agric. Sci. 2016, 48, 80–84. [Google Scholar] [CrossRef]
- Tao, X.; Dong, H.; Shang, B.; Chen, Y.; Huang, H. Comparison of inhibiting effects between fresh effluents of anaerobically digested piggery waste and anaerobically digested dairy waste on plant pathogenic fungi. J. Agro-Environ. Sci. 2011, 30, 1443–1449. [Google Scholar]
- Li, W. The Effects of Biogas Slurry on Soil Improvements. Ph.D. Thesis, College of Engineering, Northeast Agriculture University, Harbin, China, December 2013. Available online: http://cdmd.cnki.com.cn/Article/CDMD-10224-1014152249.htm (accessed on 15 December 2013).
- Ma, Y.; Li, H.; Chang, Z.; Xu, Y.; Zhang, J. Biocontrol effect and mechanism of biogas slurry on plant disease I: Primary study of growth inhibition effects and mechanism on phytopathogen fungi. J. Agro-Environ. Sci. 2011, 30, 366–374. [Google Scholar]
- Möller, K. Effects of anaerobic digestion on soil carbon and nitrogen turnover, N emissions, and soil biological activity. A review. Agron. Sustain. Dev. 2015, 35, 1021–1041. [Google Scholar] [CrossRef]
- Niyungeko, C.; Liang, X.; Liu, C.; Zhou, J.; Chen, L.; Lu, Y.; Tiimub, B.M.; Li, F. Effect of biogas slurry application on soil nutrients, phosphomonoesterase activities, and phosphorus species distribution. J. Soils Sediments 2020, 20, 900–910. [Google Scholar] [CrossRef]
- Tang, Y.; Luo, L.; Carswell, A.; Misselbrook, T.; Shen, J.; Han, J. Changes in soil organic carbon status and microbial community structure following biogas slurry application in a wheat-rice rotation. Sci. Total Environ. 2021, 757, 143786. [Google Scholar] [CrossRef]
- Liu, X.; Wang, L.; Wu, D.; Luo, X.; Dong, R.; Shao, L. Effects of long-term application of biogas slurry on soil and products. China Biogas 2018, 36, 87–91. [Google Scholar] [CrossRef]
- Yu, D.; Wen, Z.; Li, X.; Song, X.; Wu, H.; Yang, P. Effects of straw return on bacterial communities in a wheat-maize rotation system in the North China Plain. PLoS ONE 2018, 13, e0198087. [Google Scholar] [CrossRef] [PubMed]
- Yan, L.; Liu, Q.; Liu, C.; Liu, Y.; Zhang, M.; Zhang, Y.; Zhang, Y.; Gu, W. Effect of swine biogas slurry application on soil dissolved organic matter (DOM) content and fluorescence characteristics. Ecotoxicol. Environ. Saf. 2019, 184, 109616. [Google Scholar] [CrossRef]
- Xu, M.; Xian, Y.; Wu, J.; Gu, Y.; Yang, G.; Zhang, X.; Peng, H.; Yu, X.; Xiao, Y.; Li, L. Effect of biogas slurry addition on soil properties, yields, and bacterial composition in the rice-rape rotation ecosystem over 3 years. J. Soils Sediments 2019, 19, 2534–2542. [Google Scholar] [CrossRef]
- Li, Y.; Xu, J.; Liu, B.; Sun, Q.; Li, J.; Liu, J.; Lang, Q.; Sun, R.; Jin, H. Effects of different biogas slurries on soil microbial carbon metabolism. Chin. J. Eco-Agric. 2021, 29, 1921–1930. [Google Scholar] [CrossRef]
- Lai, X.; Wu, J.; Wang, J.W.; Xu, M.; Mao, X.; Li, Y. The long-term effects of biogas slurry on soil properties and potential risks of heavy metals in soils. J. Soil Water Conserv. 2018, 32, 359–364. [Google Scholar] [CrossRef]
- Dong, Y.; Zhou, X.; Ye, B.; Liu, Y. Effect of long-term biogas slurry application in rice field on soil chemical properties and C-N-P stoichiometry. J. Zhejiang Agric. Sci. 2021, 62, 2398–2401. [Google Scholar] [CrossRef]
- Liu, C.; Zheng, Y.; Liu, S.; Liu, Q.; Yan, L. Effects of biogas slurry application on nitrogen loss soil in black soil area during the autumn fallow period. J. Agro-Environ. Sci. 2021, 40, 2528–2536. [Google Scholar] [CrossRef]
- Wang, L.; Wang, G.; Wang, H.; Zhou, G.; Zhao, C.; Wang, P.; Jiang, S. Effects of applying biogas slurry instead of chemical fertilizer on the growth of melon and soil microorganism. J. South Agric. 2021, 52, 2498–2506. [Google Scholar] [CrossRef]
- Abubaker, J.; Cederlund, H.; Arthurson, V.; Pell, M. Bacterial community structure and microbial activity in different soils amended with biogas residues and cattle slurry. Appl. Soil Ecol. 2013, 72, 171–180. [Google Scholar] [CrossRef]
- Wentzel, S.; Joergensen, R.G. Effects of biogas and raw slurries on grass growth and soil microbial indices. J. Plant Nutr. Soil Sci. 2016, 179, 215–222. [Google Scholar] [CrossRef]
- Cao, Y.; Wang, J.; Wu, H.; Yan, S.; Guo, D.; Wang, G.; Ma, Y. Soil chemical and microbial responses to biogas slurry amendment and its effect on Fusarium wilt suppression. Appl. Soil Ecol. 2016, 107, 116–123. [Google Scholar] [CrossRef]
- Chai, Y.; Huang, L.; Dong, Y.; Li, Y.; Wang, Z.R.; Shan, S.; Ping, L.; Zhang, W. Effects of biogas slurry application rates on soil physical and chemical properties and carbon storage of bamboo forest. Trans. Chin. Soc. Agric. Eng. 2019, 35, 214–220. [Google Scholar]
- Yu, F.; Luo, X.; Song, C.; Zhang, M.; Shan, S. Concentrated biogas slurry enhanced soil fertility and tomato quality. Acta Agric. Scandinavica. Sect. B–Soil Plant Sci. 2010, 60, 262–268. [Google Scholar] [CrossRef]
- Yang, Z.; Chen, W.; Wang, W.; Li, W.; He, X.; Yang, X. Effects of biogas slurry on soil microbial characteristics of broccoli. Chin. Agric. Sci. Bull. 2017, 29, 112–115. [Google Scholar]
- Cao, Y.; Wu, H.; Guo, D.; Wang, Q.; Yan, S.; Wang, G.; Ma, Y. Effect of biogas slurry application on incidence of fusarium wilt, fruit yield and quality of watermelon. Soils 2015, 47, 904–910. [Google Scholar] [CrossRef]
- Zhang, L.; Sun, G.; Wang, Z.; Zong, J.; Zhou, W.; Sheng, J. Analysis of rice seedling growth restriction factors under biogas slurry application. J. Agro-Environ. Sci. 2021, 40, 2537–2543. [Google Scholar] [CrossRef]
- Tigini, V.; Franchino, M.; Bona, F.; Varese, G.C. Is digestate safe? A study on its ecotoxicity and environmental risk on a pig manure. Sci. Total Environ. 2016, 551–552, 127–132. [Google Scholar] [CrossRef]
- Wang, Z.; Wang, X.; Zhang, Y.; Guo, Z.; Sheng, J.; Zheng, J. COD in biogas slurry: Effects on cucumber seedling growth and soil environmental factors. Chin. Agric. Sci. Bull. 2019, 35, 15–22. [Google Scholar]
- Lu, J.; Zhu, L.; Hu, G.; Wu, J. Integrating animal manure-based bioenergy production with invasive species control: A case study at Tongren Pig Farm in China. Biomass Bioenergy 2010, 34, 821–827. [Google Scholar] [CrossRef]
- Ke, L.; Liu, X.; Du, B.; Wang, Y.; Zheng, Y.; Li, Q. Component analysis and risk assessment of biogas slurry from biogas plants. Chines J. Chem. Eng. 2022, 44, 182–191. [Google Scholar] [CrossRef]
- Zeng, W.; Wang, D.; Wu, Z.; He, L.; Luo, Z.; Yang, J. Recovery of nitrogen and phosphorus fertilizer from pig farm biogas slurry and incinerated chicken manure fly ash. Sci. Total Environ. 2021, 782, 146856. [Google Scholar] [CrossRef]
- Chen, W.; Yu, S.; Liu, S.; Lin, S.; Lee, T. Using HRMS fingerprinting to explore micropollutant contamination in soil and vegetables caused by swine wastewater irrigation. Sci. Total Environ. 2023, 862, 160830. [Google Scholar] [CrossRef]
- Rahaman, M.A.; Zhang, Q.; Shi, Y.; Zhan, X.; Li, G. Biogas slurry application could potentially reduce N2O emissions and increase crop yield. Sci. Total Environ. 2021, 778, 146269. [Google Scholar] [CrossRef]
- Gastón, A.I.; Zabaloy, M.C.; Pasdevicelli, G.; Gómez, M.A. Use of biogas digestates obtained by anaerobic digestion and co-digestion as fertilizers: Characterization, soil biological activity and growth dynamic of Lactuca sativa L. Sci. Total Environ. 2019, 647, 11–19. [Google Scholar] [CrossRef]
- Wang, Z.; Zhang, L.; Sun, G.; Zhou, W.; Sheng, J.; Ye, X.; Olaniran, A.O.; Kana, E.B.G. Adsorption characteristics of three types of soils on biogas slurry ammonium nitrogen. Front. Environ. Sci. 2022, 10, 942263. [Google Scholar] [CrossRef]
- Wang, Z.; Sun, G.; Zhang, L.; Zhou, W.; Sheng, J.; Ye, X.; Olaniran, A.O.; Kana, E.B.G.; Shao, H. Aging characteristics and fate analysis of liquid digestate ammonium nitrogen disposal in farmland soil. Water 2022, 14, 2487. [Google Scholar] [CrossRef]
- Lu, R. Methods for Chemical Analysis of Soil and Agriculture; China Agricultural Science and Technology Press: Beijing, China, 2000. [Google Scholar]
- Gao, X.; Zhang, S.; Zhao, X.; Long, H. Evaluation of potassium application on tomato performance and rhizosphere bacterial communities under negative pressure irrigation of greenhouse-grown. J. Plant Nutr. 2020, 43, 317–326. [Google Scholar] [CrossRef]
- Cesarano, G.; Filippis, F.D.; Storia, A.L.; Scala, F.; Bonanomi, G. Organic amendment type and application frequency affect crop yields, soil fertility and microbiome composition. Appl. Soil Ecol. 2017, 120, 254–264. [Google Scholar] [CrossRef]
- Sadaf, J.; Shah, G.A.; Shahzad, K.; Ali, N.; Shahid, M.; Ali, S.; Hussain, R.A.; Ahmed, Z.I.; Traore, B.; Ismail, I.M.I.; et al. Improvements in wheat productivity and soil quality can accomplish by co-application of biochars and chemical fertilizers. Sci. Total Environ. 2017, 607–608, 715–724. [Google Scholar] [CrossRef]
- Yao, Y.; Zhu, W.; Ding, J.; Hong, L.; Hong, C.; Wang, W.; Zhu, F.; He, W.; Hong, H. Investigation and analysis of continuous cropping obstacle and soil environment in large-scale vegetable bases in Zhejiang Province, China. Acta Agric. Zhejiangensis 2022, 34, 1474–1484. [Google Scholar] [CrossRef]
- Yao, Y.; Xue, Z.; Hong, C.; Zhu, F.; Chen, X.; Wang, W.; Cai, Z.; Huang, N.; Yang, X. Efficiency of different solarization-based ecological soil treatments on the control of Fusarium wilt and their impacts on the soil microbial community. Appl. Soil Ecol. 2016, 108, 341–351. [Google Scholar] [CrossRef]
- Zhou, K. Anaerobic soil disinfestation, an effective way to control watermelon fusarium wilt caused by Fusarium Oxysporum f. sp. niveum. Jiangsu J. Agric. Sci. 2015, 31, 1006–1011. [Google Scholar] [CrossRef]
- Miller, D.N.; Bryant, J.E.; Madsen, E.L.; Ghiorse, W.C. Evaluation and optimization of DNA extraction and purification procedures for soil and sediment samples. Appl. Environ. Microbiol. 1999, 65, 4715–4724. [Google Scholar] [CrossRef]
- Essel, E.; Li, L.; Deng, C.; Xie, J.; Zhang, R.; Luo, Z.; Cai, L. Evaluation of bacterial and fungal diversity in a long-term spring wheat-field pea rotation field under different tillage practices. Can. J. Soil Sci. 2018, 98, 619–637. [Google Scholar] [CrossRef]






| Type | Sample Name | Shannon | Simpson | Chao1 | Goods Coverage |
|---|---|---|---|---|---|
| Bacteria | CK | 11.14 ± 0.61 ab | 0.99 ± 0.00 a | 19,238.07 ± 5150.93 ab | 0.93 ± 0.03 ab |
| W | 11.44 ± 0.34 ab | 1.00 ± 0.00 a | 19,913.37 ± 5801.58 ab | 0.93 ± 0.03 ab | |
| BS | 10.51 ± 0.27 b | 0.99 ± 0.00 a | 16,453.05 ± 2047.63 ab | 0.94 ± 0.01 a | |
| CKM | 11.30 ± 0.73 ab | 1.00 ± 0.00 a | 31,899.50 ± 23,013.83 a | 0.88 ± 0.05 bc | |
| WM | 11.91 ± 0.28 a | 1.00 ± 0.00 a | 27,582.11 ± 7239.36 a | 0.87 ± 0.03 c | |
| Fungi | CK | 6.59 ± 0.14 a | 0.97 ± 0.00 a | 1956.38 ± 514.75 ab | 0.99 ± 0.00 a |
| W | 6.09 ± 0.24 a | 0.95 ± 0.02 a | 1630.31 ± 387.41 b | 1.00 ± 0.00 a | |
| BS | 6.17 ± 0.85 a | 0.96 ± 0.02 a | 1851.14 ± 606.25 ab | 1.00 ± 0.00 a | |
| CKM | 6.54 ± 0.16 a | 0.97 ± 0.00 a | 2494.80 ± 756.80 a | 0.99 ± 0.00 a | |
| WM | 6.23 ± 0.43 a | 0.95 ± 0.02 a | 1868.95 ± 146.70 ab | 1.00 ± 0.00 a | |
| BSM | 3.45 ± 2.82 b | 0.55 ± 0.39 b | 1281.76 ± 118.88 b | 1.00 ± 0.00 a |
Disclaimer/Publisher’s Note: The statements, opinions and data contained in all publications are solely those of the individual author(s) and contributor(s) and not of MDPI and/or the editor(s). MDPI and/or the editor(s) disclaim responsibility for any injury to people or property resulting from any ideas, methods, instructions or products referred to in the content. |
© 2024 by the authors. Licensee MDPI, Basel, Switzerland. This article is an open access article distributed under the terms and conditions of the Creative Commons Attribution (CC BY) license (https://creativecommons.org/licenses/by/4.0/).
Share and Cite
Wang, Z.; Sanusi, I.A.; Wang, J.; Ye, X.; Kana, E.G.; Olaniran, A.O. Biogas Slurry Significantly Improved Degraded Farmland Soil Quality and Promoted Capsicum spp. Production. Plants 2024, 13, 265. https://doi.org/10.3390/plants13020265
Wang Z, Sanusi IA, Wang J, Ye X, Kana EG, Olaniran AO. Biogas Slurry Significantly Improved Degraded Farmland Soil Quality and Promoted Capsicum spp. Production. Plants. 2024; 13(2):265. https://doi.org/10.3390/plants13020265
Chicago/Turabian StyleWang, Zichen, Isaac A. Sanusi, Jidong Wang, Xiaomei Ye, Evariste Gueguim Kana, and Ademola O. Olaniran. 2024. "Biogas Slurry Significantly Improved Degraded Farmland Soil Quality and Promoted Capsicum spp. Production" Plants 13, no. 2: 265. https://doi.org/10.3390/plants13020265
APA StyleWang, Z., Sanusi, I. A., Wang, J., Ye, X., Kana, E. G., & Olaniran, A. O. (2024). Biogas Slurry Significantly Improved Degraded Farmland Soil Quality and Promoted Capsicum spp. Production. Plants, 13(2), 265. https://doi.org/10.3390/plants13020265

