Integrated Effects of Soil Moisture on Wheat Hydraulic Properties and Stomatal Regulation
Abstract
1. Introduction
2. Results
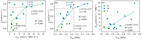
2.1. Stomatal Conductance, Leaf Hydraulic Conductivity and Leaf Water Potential Response
2.2. Biochemical Indices of Leaves
2.3. Stomatal Traits
3. Discussion
4. Materials and Methods
4.1. Experimental Site and Design
4.2. Measurements
4.2.1. Photosynthetic Parameters
4.2.2. Leaf Water Potential (Ψleaf)
4.2.3. Leaf Hydraulic Conductivity (Kleaf)
4.2.4. Leaf Vulnerability Curves
4.2.5. Leaf Relative Water Content
4.2.6. Abscisic Acid Content (ABA)
4.2.7. Stomatal Characteristics
4.3. Statistical Analyses
5. Conclusions
Author Contributions
Funding
Data Availability Statement
Conflicts of Interest
References
- Iqbal, M.S.; Singh, A.K.; Ansari, M.I. Effect of Drought Stress on Crop Production. In New Frontiers in Stress Management for Durable Agriculture; Rakshit, A., Singh, H.B., Singh, A.K., Singh, U.S., Fraceto, L., Eds.; Springer: Singapore, 2020; pp. 35–47. ISBN 9789811513213. [Google Scholar]
- Lidon, Z. An Overview on Drought Induced Changes in Plant Growth, Water Relationsand Photosynthesis. Emir. J. Food Agric. 2012, 24, 57. [Google Scholar] [CrossRef]
- Wang, X.; Wang, L.; Shangguan, Z. Leaf Gas Exchange and Fluorescence of Two Winter Wheat Varieties in Response to Drought Stress and Nitrogen Supply. PLoS ONE 2016, 11, e0165733. [Google Scholar] [CrossRef] [PubMed]
- Akter, N.; Brishty, T.A.; Karim, M.A.; Ahmed, M.J.U.; Islam, M.R. Leaf Water Status and Biochemical Adjustments as a Mechanism of Drought Tolerance in Two Contrasting Wheat (Triticum aestivum L.) Varieties. Acta Physiol. Plant. 2023, 45, 50. [Google Scholar] [CrossRef]
- Wang, X.; Du, T.; Huang, J.; Peng, S.; Xiong, D. Leaf Hydraulic Vulnerability Triggers the Decline in Stomatal and Mesophyll Conductance during Drought in Rice. J. Exp. Bot. 2018, 69, 4033–4045. [Google Scholar] [CrossRef]
- Hernandez-Santana, V.; Rodriguez-Dominguez, C.M.; Fernández, J.E.; Diaz-Espejo, A. Role of Leaf Hydraulic Conductance in the Regulation of Stomatal Conductance in Almond and Olive in Response to Water Stress. Tree Physiol. 2016, 36, 725–735. [Google Scholar] [CrossRef]
- Scoffoni, C.; Albuquerque, C.; Cochard, H.; Buckley, T.N.; Fletcher, L.R.; Caringella, M.A.; Bartlett, M.; Brodersen, C.R.; Jansen, S.; McElrone, A.J.; et al. The Causes of Leaf Hydraulic Vulnerability and Its Influence on Gas Exchange in Arabidopsis thaliana. Plant Physiol. 2018, 178, 1584–1601. [Google Scholar] [CrossRef]
- Scoffoni, C.; Vuong, C.; Diep, S.; Cochard, H.; Sack, L. Leaf Shrinkage with Dehydration: Coordination with Hydraulic Vulnerability and Drought Tolerance. Plant Physiol. 2014, 164, 1772–1788. [Google Scholar] [CrossRef] [PubMed]
- Stiller, V.; Lafitte, H.R.; Sperry, J.S. Hydraulic Properties of Rice and the Response of Gas Exchange to Water Stress. Plant Physiol. 2003, 132, 1698–1706. [Google Scholar] [CrossRef]
- Tardieu, F.; Simonneau, T. Variability among Species of Stomatal Control under Fluctuating Soil Water Status and Evaporative Demand: Modelling Isohydric and Anisohydric Behaviours. J. Exp. Bot. 1998, 49, 419–432. [Google Scholar] [CrossRef]
- Corso, D.; Delzon, S.; Lamarque, L.J.; Cochard, H.; Torres-Ruiz, J.M.; King, A.; Brodribb, T. Neither Xylem Collapse, Cavitation, or Changing Leaf Conductance Drive Stomatal Closure in Wheat. Plant Cell Environ. 2020, 43, 854–865. [Google Scholar] [CrossRef]
- Tombesi, S.; Nardini, A.; Frioni, T.; Soccolini, M.; Zadra, C.; Farinelli, D.; Poni, S.; Palliotti, A. Stomatal Closure Is Induced by Hydraulic Signals and Maintained by ABA in Drought-Stressed Grapevine. Sci. Rep. 2015, 5, 12449. [Google Scholar] [CrossRef] [PubMed]
- Aasamaa, K.; Sõber, A. Stomatal Sensitivities to Changes in Leaf Water Potential, Air Humidity, CO2 Concentration and Light Intensity, and the Effect of Abscisic Acid on the Sensitivities in Six Temperate Deciduous Tree Species. Environ. Exp. Bot. 2011, 71, 72–78. [Google Scholar] [CrossRef]
- Abdalla, M.; Carminati, A.; Cai, G.; Javaux, M.; Ahmed, M.A. Stomatal Closure of Tomato under Drought Is Driven by an Increase in Soil–Root Hydraulic Resistance. Plant Cell Environ. 2021, 44, 425–431. [Google Scholar] [CrossRef] [PubMed]
- Casson, S.A.; Hetherington, A.M. Environmental Regulation of Stomatal Development. Curr. Opin. Plant Biol. 2010, 13, 90–95. [Google Scholar] [CrossRef] [PubMed]
- Sigit Tri Pamungkas, S.; Suwarto; Suprayogi; Farid, N. Drought Stress: Responses and Mechanism in Plants. Rev. Agric. Sci. 2022, 10, 168–185. [Google Scholar] [CrossRef]
- Li, Y.; Li, H.; Li, Y.; Zhang, S. Improving Water-Use Efficiency by Decreasing Stomatal Conductance and Transpiration Rate to Maintain Higher Ear Photosynthetic Rate in Drought-Resistant Wheat. Crop J. 2017, 5, 231–239. [Google Scholar] [CrossRef]
- Zhao, W.; Sun, Y.; Kjelgren, R.; Liu, X. Response of Stomatal Density and Bound Gas Exchange in Leaves of Maize to Soil Water Deficit. Acta Physiol. Plant. 2015, 37, 1704. [Google Scholar] [CrossRef]
- Xu, Z.; Zhou, G. Responses of Leaf Stomatal Density to Water Status and Its Relationship with Photosynthesis in a Grass. J. Exp. Bot. 2008, 59, 3317–3325. [Google Scholar] [CrossRef]
- Yang, Z.; Tan, W.; Liu, Z.; Chen, Y. Effect of Soil Water Stress on Stomatal Characters of Greenhouse Tomato Leaves. Chin. J. Ecol. 2015, 34, 1234. [Google Scholar]
- Adams, H.D.; Zeppel, M.J.B.; Anderegg, W.R.L.; Hartmann, H.; Landhäusser, S.M.; Tissue, D.T.; Huxman, T.E.; Hudson, P.J.; Franz, T.E.; Allen, C.D.; et al. A Multi-Species Synthesis of Physiological Mechanisms in Drought-Induced Tree Mortality. Nat. Ecol. Evol. 2017, 1, 1285–1291. [Google Scholar] [CrossRef] [PubMed]
- Nayyar, H.; Gupta, D. Differential Sensitivity of C3 and C4 Plants to Water Deficit Stress: Association with Oxidative Stress and Antioxidants. Environ. Exp. Bot. 2006, 58, 106–113. [Google Scholar] [CrossRef]
- Müllers, Y.; Postma, J.A.; Poorter, H.; Van Dusschoten, D. Stomatal Conductance Tracks Soil-to-Leaf Hydraulic Conductance in Faba Bean and Maize during Soil Drying. Plant Physiol. 2022, 190, 2279–2294. [Google Scholar] [CrossRef] [PubMed]
- Li, S.; Liu, J.; Liu, H.; Qiu, R.; Gao, Y.; Duan, A. Role of Hydraulic Signal and ABA in Decrease of Leaf Stomatal and Mesophyll Conductance in Soil Drought-Stressed Tomato. Front. Plant Sci. 2021, 12, 653186. [Google Scholar]
- Xiong, D.; Yu, T.; Zhang, T.; Li, Y.; Peng, S.; Huang, J. Leaf Hydraulic Conductance Is Coordinated with Leaf Morpho-Anatomical Traits and Nitrogen Status in the Genus Oryza. J. Exp. Bot. 2015, 66, 741–748. [Google Scholar] [CrossRef] [PubMed]
- Martin-StPaul, N.; Delzon, S.; Cochard, H. Plant Resistance to Drought Depends on Timely Stomatal Closure. Ecol. Lett. 2017, 20, 1437–1447. [Google Scholar] [CrossRef] [PubMed]
- Chen, Z.; Liu, C.; Li, X.; Li, S.; Wan, X.; Liu, S. The Response of ABA and Hydraulic Indicator-Mediated Leaf Gas Exchange and Nonstructural Carbohydrate of Ginkgo Biloba Saplings to Drought and Rehydration. Acta Physiol. Plant. 2022, 44, 61. [Google Scholar] [CrossRef]
- Fanourakis, D.; Giday, H.; Milla, R.; Pieruschka, R.; Kjaer, K.H.; Bolger, M.; Vasilevski, A.; Nunes-Nesi, A.; Fiorani, F.; Ottosen, C.-O. Pore Size Regulates Operating Stomatal Conductance, While Stomatal Densities Drive the Partitioning of Conductance between Leaf Sides. Ann. Bot. 2015, 115, 555–565. [Google Scholar] [CrossRef] [PubMed]
- Jiang, X.; Zou, A.; Wang, Y.; Zhou, X.; Ji, C. Leaf Stomatal Traits of Woody Plants and Their Response to Nitrogen Addition in Typical Forests in Eastern China. Beijing Xue Xue Bao 2018, 54, 839–847. [Google Scholar]
- Schönbeck, L.; Grossiord, C.; Gessler, A.; Gisler, J.; Meusburger, K.; D’Odorico, P.; Rigling, A.; Salmon, Y.; Stocker, B.D.; Zweifel, R.; et al. Photosynthetic Acclimation and Sensitivity to Short- and Long-Term Environmental Changes in a Drought-Prone Forest. J. Exp. Bot. 2022, 73, 2576–2588. [Google Scholar] [CrossRef]
- Hussain, S.; Hussain, S.; Qadir, T.; Khaliq, A.; Ashraf, U.; Parveen, A.; Saqib, M.; Rafiq, M. Drought Stress in Plants: An Overview on Implications, Tolerance Mechanisms and Agronomic Mitigation Strategies. Plant Sci. Today 2019, 6, 389–402. [Google Scholar] [CrossRef]
- Ding, H.; Liu, D.; Liu, X.; Li, Y.; Kang, J.; Lv, J.; Wang, G. Photosynthetic and Stomatal Traits of Spike and Flag Leaf of Winter Wheat (Triticum aestivum L.) under Water Deficit. Photosynthetica 2018, 56, 687–697. [Google Scholar] [CrossRef]
- Mu, Q.; Xu, J.; Yu, M.; Guo, Z.; Dong, M.; Cao, Y.; Zhang, S.; Sun, S.; Cai, H. Physiological Response of Winter Wheat (Triticum aestivum L.) during Vegetative Growth to Gradual, Persistent and Intermittent Drought. Agric. Water Manag. 2022, 274, 107911. [Google Scholar] [CrossRef]
- Stinziano, J.R.; Morgan, P.B.; Lynch, D.J.; Saathoff, A.J.; McDermitt, D.K.; Hanson, D.T. The Rapid A–Ci Response: Photosynthesis in the Phenomic Era. Plant Cell Environ. 2017, 40, 1256–1262. [Google Scholar] [CrossRef] [PubMed]
- Duursma, R.A. Plantecophys—An R Package for Analysing and Modelling Leaf Gas Exchange Data. PLoS ONE 2015, 10, e0143346. [Google Scholar] [CrossRef] [PubMed]
- Xiong, D.; Douthe, C.; Flexas, J. Differential Coordination of Stomatal Conductance, Mesophyll Conductance, and Leaf Hydraulic Conductance in Response to Changing Light across Species. Plant Cell Environ. 2018, 41, 436–450. [Google Scholar] [CrossRef]
- Pammenter, N.W.; Van Der Willigen, C. A Mathematical and Statistical Analysis of the Curves Illustrating Vulnerability of Xylem to Cavitation. Tree Physiol. 1998, 18, 589–593. [Google Scholar] [CrossRef] [PubMed]
- Duursma, R.; Choat, B. Fitplc—An R Package to Fit Hydraulic Vulnerability Curves. J. Plant Hydraul. 2017, 4, e002. [Google Scholar] [CrossRef]
- Tanentzap, F.M.; Stempel, A.; Ryser, P. Reliability of Leaf Relative Water Content (RWC) Measurements after Storage: Consequences for in Situ Measurements. Botany 2015, 93, 535–541. [Google Scholar] [CrossRef]
- Zhao, J.; Li, G.; Yi, G.-X.; Wang, B.-M.; Deng, A.-X.; Nan, T.-G.; Li, Z.-H.; Li, Q.X. Comparison between Conventional Indirect Competitive Enzyme-Linked Immunosorbent Assay (icELISA) and Simplified icELISA for Small Molecules. Anal. Chim. Acta 2006, 571, 79–85. [Google Scholar] [CrossRef]
- Ceulemans, R.; Van Praet, L.; Jiang, X.N. Effects of CO2 Enrichment, Leaf Position and Clone on Stomatal Index and Epidermal Cell Density in Poplar (Populus). New Phytol. 1995, 131, 99–107. [Google Scholar] [CrossRef]
- Pathoumthong, P.; Zhang, Z.; Roy, S.J.; El Habti, A. Rapid Non-Destructive Method to Phenotype Stomatal Traits. Plant Methods 2023, 19, 36. [Google Scholar] [CrossRef] [PubMed]
- Liu, C.; Sack, L.; Li, Y.; Zhang, J.; Yu, K.; Zhang, Q.; He, N.; Yu, G. Relationships of Stomatal Morphology to the Environment across Plant Communities. Nat. Commun. 2023, 14, 6629. [Google Scholar] [CrossRef] [PubMed]
- Tian, M.; Yu, G.; He, N.; Hou, J. Leaf Morphological and Anatomical Traits from Tropical to Temperate Coniferous Forests: Mechanisms and Influencing Factors. Sci. Rep. 2016, 6, 19703. [Google Scholar] [CrossRef] [PubMed]







| Treatments | Vcmax (µmol m−2 s−¹) | Jmax (µmol m−2 s−¹) | RWC (%) | ABA (ng g−1) |
|---|---|---|---|---|
| H | 89.87 a | 182.49 a | 0.61 a | 34.95 c |
| M | 83.05 a | 181.05 a | 0.54 a | 59.19 b |
| L | 65.73 b | 131.18 b | 0.37 b | 66.17 a |
Disclaimer/Publisher’s Note: The statements, opinions and data contained in all publications are solely those of the individual author(s) and contributor(s) and not of MDPI and/or the editor(s). MDPI and/or the editor(s) disclaim responsibility for any injury to people or property resulting from any ideas, methods, instructions or products referred to in the content. |
© 2024 by the authors. Licensee MDPI, Basel, Switzerland. This article is an open access article distributed under the terms and conditions of the Creative Commons Attribution (CC BY) license (https://creativecommons.org/licenses/by/4.0/).
Share and Cite
Wang, L.; Zhang, Y.; Luo, D.; Hu, X.; Feng, P.; Mo, Y.; Li, H.; Gong, S. Integrated Effects of Soil Moisture on Wheat Hydraulic Properties and Stomatal Regulation. Plants 2024, 13, 2263. https://doi.org/10.3390/plants13162263
Wang L, Zhang Y, Luo D, Hu X, Feng P, Mo Y, Li H, Gong S. Integrated Effects of Soil Moisture on Wheat Hydraulic Properties and Stomatal Regulation. Plants. 2024; 13(16):2263. https://doi.org/10.3390/plants13162263
Chicago/Turabian StyleWang, Lijuan, Yanqun Zhang, Dandan Luo, Xinlong Hu, Pancen Feng, Yan Mo, Hao Li, and Shihong Gong. 2024. "Integrated Effects of Soil Moisture on Wheat Hydraulic Properties and Stomatal Regulation" Plants 13, no. 16: 2263. https://doi.org/10.3390/plants13162263
APA StyleWang, L., Zhang, Y., Luo, D., Hu, X., Feng, P., Mo, Y., Li, H., & Gong, S. (2024). Integrated Effects of Soil Moisture on Wheat Hydraulic Properties and Stomatal Regulation. Plants, 13(16), 2263. https://doi.org/10.3390/plants13162263

