Comparative Analysis of the Characteristics of Two Hardy Kiwifruit Cultivars (Actinidia arguta cv. Cheongsan and Daebo) Stored at Low Temperatures
Abstract
1. Introduction
2. Results
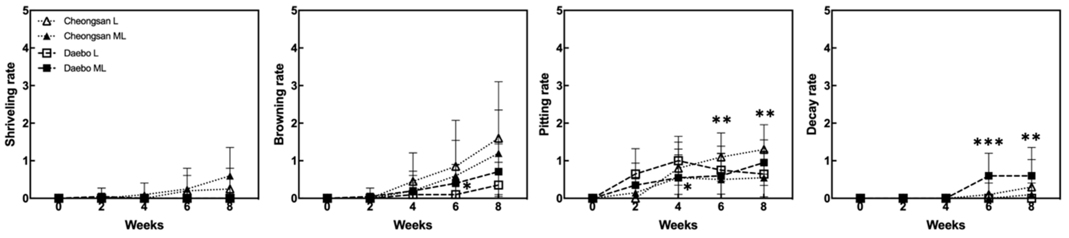
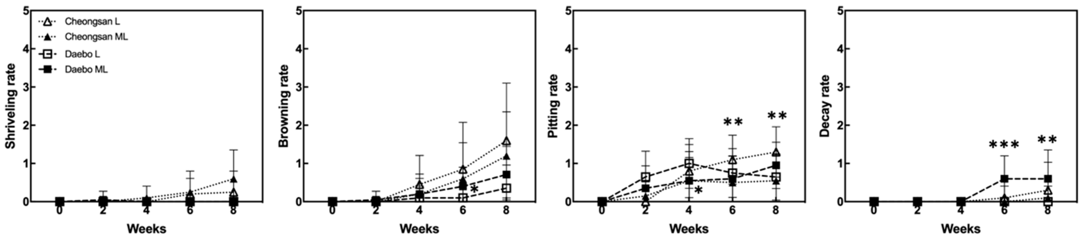
2.1. Effect of Storage Temperatures on the Quality Attributes of ‘Cheongsan’ and ‘Daebo’ Hardy Kiwifruits
2.2. Changes in Starch and Sugar during the Storage at Low Temperatures
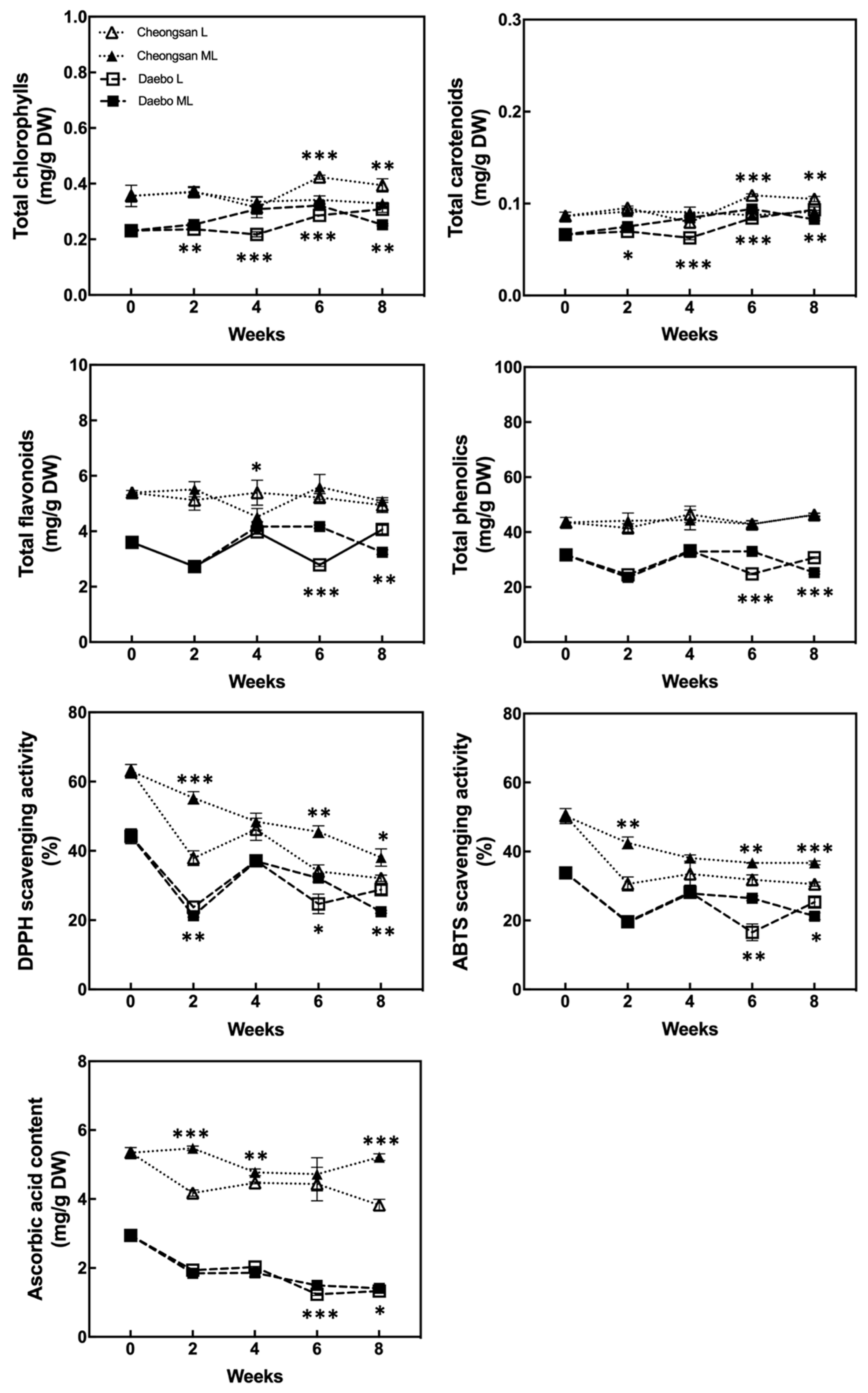
2.3. Effect of Storage Temperatures on the Biochemical Properties of ‘Cheongsan’ and ‘Daebo’
3. Discussion
4. Materials and Methods
4.1. Plant Material
4.2. Measurement of Quality Attributes
4.3. Color Measurement
4.4. Sample Preparation for Determination of Health-Promoting Compounds
4.5. Measurement of Starch and Soluble Sugar Content
4.6. Measurement of the Total Chlorophyll, Carotenoid, Flavonoid, and Phenolic Content
4.7. Measurement of Antioxidant Activity
4.8. Determination of Ascorbic Acid Content
4.9. Statistical Analysis
Author Contributions
Funding
Data Availability Statement
Acknowledgments
Conflicts of Interest
References
- Fisk, C.L.; Silver, A.M.; Strik, B.C.; Zhao, Y. Postharvest quality of hardy kiwifruit (Actinidia arguta ‘Ananasnaya’) associated with packaging and storage conditions. Postharvest Biol. Technol. 2008, 47, 338–345. [Google Scholar] [CrossRef]
- Lim, S.; Han, S.H.; Kim, J.; Lee, H.J.; Lee, J.G.; Lee, E.J. Inhibition of hardy kiwifruit (Actinidia aruguta) ripening by 1-methylcyclopropene during cold storage and anticancer properties of the fruit extract. Food Chem. 2016, 190, 150–157. [Google Scholar] [CrossRef] [PubMed]
- Kim, A.-N.; Kim, H.-J.; Chun, J.; Heo, H.J.; Kerr, W.L.; Choi, S.-G. Degradation kinetics of phenolic content and antioxidant activity of hardy kiwifruit (Actinidia arguta) puree at different storage temperatures. LWT 2018, 89, 535–541. [Google Scholar] [CrossRef]
- Krupa, T.; Latocha, P.; Liwińska, A. Changes of physicochemical quality, phenolics and vitamin C content in hardy kiwifruit (Actinidia arguta and its hybrid) during storage. Sci. Hortic. 2011, 130, 410–417. [Google Scholar] [CrossRef]
- Latocha, P. The nutritional and health benefits of kiwiberry (Actinidia arguta)—A review. Plant Foods Hum. Nutr. 2017, 72, 325–334. [Google Scholar] [CrossRef] [PubMed]
- Strik, B.; Hummer, K. Ananasnaya’hardy kiwifruit. J. Am. Pomol. Soc. 2006, 60, 106–112. [Google Scholar]
- Lallu, N. Low temperature breakdown in kiwifruit. In Proceedings of the III International Symposium on Kiwifruit 444, Thessaloniki, Greece, 19–22 September 1995; pp. 579–586. [Google Scholar]
- Yang, Q.; Zhang, Z.; Rao, J.; Wang, Y.; Sun, Z.; Ma, Q.; Dong, X. Low-temperature conditioning induces chilling tolerance in ‘Hayward’ kiwifruit by enhancing antioxidant enzyme activity and regulating en-dogenous hormones levels. J. Sci. Food Agric. 2013, 93, 3691–3699. [Google Scholar] [CrossRef] [PubMed]
- Kim, C.-W.; Han, N.; Park, H.; Lee, U. Comparison of postharvest quality of three hardy kiwifruit cultivars during shelf life and cold storage. Hortic. Sci. Technol. 2020, 38, 228–238. [Google Scholar] [CrossRef]
- Stoilova, I.; Krastanov, A.; Stoyanova, A.; Denev, P.; Gargova, S. Antioxidant activity of a ginger extract (Zingiber officinale). Food Chem. 2007, 102, 764–770. [Google Scholar] [CrossRef]
- Biglari, F.; AlKarkhi, A.F.M.; Easa, A.M. Antioxidant activity and phenolic content of various date palm (Phoenix dactylifera) fruits from Iran. Food Chem. 2008, 107, 1636–1641. [Google Scholar] [CrossRef]
- Suo, J.; Li, H.; Ban, Q.; Han, Y.; Meng, K.; Jin, M.; Zhang, Z.; Rao, J. Characteristics of chilling injury-induced lignification in kiwifruit with different sensitivities to low temperatures. Postharvest Biol. Technol. 2018, 135, 8–18. [Google Scholar] [CrossRef]
- Pott, D.M.; Vallarino, J.G.; Osorio, S. Metabolite changes during postharvest storage: Effects on fruit quality traits. Metabolites 2020, 10, 187. [Google Scholar] [CrossRef]
- Brizzolara, S.; Manganaris, G.A.; Fotopoulos, V.; Watkins, C.B.; Tonutti, P. Primary metabolism in fresh fruits during storage. Front. Plant Sci. 2020, 11, 80. [Google Scholar] [CrossRef] [PubMed]
- Sun, S.; Fang, J.; Lin, M.; Hu, C.; Qi, X.; Chen, J.; Zhong, Y.; Muhammad, A.; Li, Z.; Li, Y. Comparative metabolomic and transcriptomic studies reveal key metabolism pathways contributing to freezing tolerance under cold stress in kiwifruit. Front. Plant Sci. 2021, 12, 628969. [Google Scholar] [CrossRef] [PubMed]
- Chongchatuporn, U.; Ketsa, S.; van Doorn, W.G. Chilling injury in mango (Mangifera indica) fruit peel: Relationship with ascorbic acid concentrations and antioxidant enzyme activities. Postharvest Biol. Technol. 2013, 86, 409–417. [Google Scholar] [CrossRef]
- Sun, S.; Lin, M.; Qi, X.; Chen, J.; Gu, H.; Zhong, Y.; Sun, L.; Muhammad, A.; Bai, D.; Hu, C.; et al. Full-length transcriptome profiling reveals insight into the cold response of two kiwifruit genotypes (A. arguta) with contrasting freezing tolerances. BMC Plant Biol. 2021, 21, 365. [Google Scholar] [CrossRef] [PubMed]
- Lufu, R.; Ambaw, A.; Opara, U.L. Water loss of fresh fruit: Influencing pre-harvest, harvest and postharvest factors. Sci. Hortic. 2020, 272, 109519. [Google Scholar] [CrossRef]
- Veraverbeke, E.A.; Verboven, P.; Van Oostveldt, P.; Nicolaї, B.M. Prediction of moisture loss across the cuticle of apple (Malus sylvestris subsp. mitis (Wallr.)) during storage: Part 1. Model development and determination of diffusion coefficients. Postharvest Biol. Technol. 2003, 30, 75–88. [Google Scholar] [CrossRef]
- Yun, Z.; Jin, S.; Ding, Y.; Wang, Z.; Gao, H.; Pan, Z.; Xu, J.; Cheng, Y.; Deng, X. Comparative transcriptomics and proteomics analysis of citrus fruit, to improve understanding of the effect of low temperature on maintaining fruit quality during lengthy post-harvest storage. J. Exp. Bot. 2012, 63, 2873–2893. [Google Scholar] [CrossRef]
- Lin, Y.; Tang, H.; Zhao, B.; Lei, D.; Zhou, X.; Yao, W.; Fan, J.; Zhang, Y.; Chen, Q.; Wang, Y.; et al. Comparative changes of health-promoting phytochemicals and sugar metabolism of two hardy kiwifruit (Actinidia arguta) cultivars during fruit development and maturity. Front. Plant Sci. 2022, 13, 1087452. [Google Scholar] [CrossRef]
- Tsaniklidis, G.; Delis, C.; Nikoloudakis, N.; Katinakis, P.; Aivalakis, G. Low temperature storage affects the ascorbic acid metabolism of cherry tomato fruits. Plant Physiol. Biochem. 2014, 84, 149–157. [Google Scholar] [CrossRef] [PubMed]
- Suzuki, N.; Mittler, R. Reactive oxygen species and temperature stresses: A delicate balance between signaling and destruction. Physiol. Plant. 2006, 126, 45–51. [Google Scholar] [CrossRef]
- Devireddy, A.R.; Tschaplinski, T.J.; Tuskan, G.A.; Muchero, W.; Chen, J.-G. Role of reactive oxygen species and hormones in plant responses to temperature changes. Int. J. Mol. Sci. 2021, 22, 8843. [Google Scholar] [CrossRef] [PubMed]
- García-Caparrós, P.; De Filippis, L.; Gul, A.; Hasanuzzaman, M.; Ozturk, M.; Altay, V.; Lao, M.T. Oxidative stress and antioxidant metabolism under adverse environmental conditions: A review. Bot. Rev. 2021, 87, 421–466. [Google Scholar] [CrossRef]
- Foyer, C.H.; Noctor, G. Ascorbate and glutathione: The heart of the redox hub. Plant Physiol. 2011, 155, 2–18. [Google Scholar] [CrossRef] [PubMed]
- Wang, F.; Yang, Q.; Zhao, Q.; Zhang, X. Roles of antioxidant capacity and energy metabolism in the maturity-dependent chilling tolerance of postharvest kiwifruit. Postharvest Biol. Technol. 2020, 168, 111281. [Google Scholar] [CrossRef]
- Imahori, Y.; Takemura, M.; Bai, J. Chilling-induced oxidative stress and antioxidant responses in mume (Prunus mume) fruit during low temperature storage. Postharvest Biol. Technol. 2008, 49, 54–60. [Google Scholar] [CrossRef]
- Kamble, V.; Narayana, C.K.; Karunakaran, G.; Sudhakar Rao, D.V.; Sriram, S.; Laxman, R.H. Differential efficacy of storage temperature and postharvest treatment on shelf life and quality of Avocado fruit (Persea americana Mill.). Plant Foods Hum. Nutr. 2024; in press. [Google Scholar] [CrossRef] [PubMed]
- Hassall, A.K.; Pringle, G.J.; Macrae, E.A. Development, maturation, and postharvest responses of Actinidia arguta (Sieb. et Zucc.) Planch, ex Miq. fruit. N. Z. J. Crop Hortic. Sci. 1998, 26, 95–108. [Google Scholar] [CrossRef]
- Choi, H.R.; Baek, M.W.; Tilahun, S.; Jeong, C.S. Long-term cold storage affects metabolites, antioxidant activities, and ripening and stress-related genes of kiwifruit cultivars. Postharvest Biol. Technol. 2022, 189, 111912. [Google Scholar] [CrossRef]
- Gwanpua, S.G.; Jabbar, A.; Zhao, M.; Heyes, J.A.; East, A.R. Investigating the potential of dual temperature storage as a postharvest management practice to mitigate chilling injury in kiwifruit. Int. J. Refrig. 2018, 86, 62–72. [Google Scholar] [CrossRef]
- Zhang, L.; Wu, C.-L.; Yang, P.; Wang, Y.-C.; Zhang, L.-L.; Yang, X.-Y. Chilling injury mechanism of hardy kiwifruit (Actinidia arguta) was revealed by proteome of label-free techniques. J. Food Biochem. 2021, 45, e13897. [Google Scholar] [CrossRef] [PubMed]
- Kim, Y.; Takahashi, S.; Obayashi, H.; Miyao, M. Role of glycerophosphodiester phosphodiesterase in rice leaf blades in elevated CO2 environments. Plant Biol. 2023, 25, 54–61. [Google Scholar] [CrossRef] [PubMed]
- Arnon, D.I. Copper enzymes in isolated chloroplasts. Polyphenoloxidase in Beta vulgaris. Plant Physiol. 1949, 24, 1. [Google Scholar] [CrossRef] [PubMed]
- Win, N.M.; Yoo, J.; Lwin, H.P.; Lee, E.J.; Kang, I.-K.; Lee, J. Effects of 1-methylcyclopropene and aminoethoxyvinylglycine treatments on fruit quality and antioxidant metabolites in cold-stored ‘Sangjudungsi’ persimmons. Hortic. Environ. Biotechnol. 2021, 62, 891–905. [Google Scholar] [CrossRef]
- Zhishen, J.; Mengcheng, T.; Jianming, W. The determination of flavonoid contents in mulberry and their scavenging effects on superoxide radicals. Food Chem. 1999, 64, 555–559. [Google Scholar] [CrossRef]
- Singleton, V.L.; Orthofer, R.; Lamuela-Raventós, R.M. Analysis of total phenols and other oxidation substrates and antioxidants by means of folin-ciocalteu reagent. In Methods Enzymol; Academic Press: Cambridge, MA, USA, 1999; Volume 299, pp. 152–178. [Google Scholar]






Disclaimer/Publisher’s Note: The statements, opinions and data contained in all publications are solely those of the individual author(s) and contributor(s) and not of MDPI and/or the editor(s). MDPI and/or the editor(s) disclaim responsibility for any injury to people or property resulting from any ideas, methods, instructions or products referred to in the content. |
© 2024 by the authors. Licensee MDPI, Basel, Switzerland. This article is an open access article distributed under the terms and conditions of the Creative Commons Attribution (CC BY) license (https://creativecommons.org/licenses/by/4.0/).
Share and Cite
Eo, H.J.; Kim, C.-W.; Lee, U.; Kim, Y. Comparative Analysis of the Characteristics of Two Hardy Kiwifruit Cultivars (Actinidia arguta cv. Cheongsan and Daebo) Stored at Low Temperatures. Plants 2024, 13, 2201. https://doi.org/10.3390/plants13162201
Eo HJ, Kim C-W, Lee U, Kim Y. Comparative Analysis of the Characteristics of Two Hardy Kiwifruit Cultivars (Actinidia arguta cv. Cheongsan and Daebo) Stored at Low Temperatures. Plants. 2024; 13(16):2201. https://doi.org/10.3390/plants13162201
Chicago/Turabian StyleEo, Hyun Ji, Chul-Woo Kim, Uk Lee, and Yonghyun Kim. 2024. "Comparative Analysis of the Characteristics of Two Hardy Kiwifruit Cultivars (Actinidia arguta cv. Cheongsan and Daebo) Stored at Low Temperatures" Plants 13, no. 16: 2201. https://doi.org/10.3390/plants13162201
APA StyleEo, H. J., Kim, C.-W., Lee, U., & Kim, Y. (2024). Comparative Analysis of the Characteristics of Two Hardy Kiwifruit Cultivars (Actinidia arguta cv. Cheongsan and Daebo) Stored at Low Temperatures. Plants, 13(16), 2201. https://doi.org/10.3390/plants13162201

