Exploring the Water–Soil–Crop Dynamic Process and Water Use Efficiency of Typical Irrigation Units in the Agro-Pastoral Ecotone of Northern China
Abstract
1. Introduction
2. Materials and Methods
2.1. Study Area Overview
2.2. Experimental Design
2.3. Test Indicators and Methods
2.3.1. Physical Properties of Soil in the Study Area
2.3.2. Meteorological Data Collection
2.3.3. Crop Growth Periods
2.3.4. Crop Irrigation Regimes
2.4. Crop Growth and Water Consumption Models
2.4.1. Soil Water Movement Equation
2.4.2. Crop Dry Matter Accumulation Equation
2.5. Model Development, Calibration, and Validation
2.5.1. Simulation Unit Division
2.5.2. Meteorological Data
2.5.3. Soil Parameters
2.5.4. Model Calibration and Validation
2.6. Crop Irrigation Evaluation Indices
3. Results
3.1. Model Calibration
3.2. Model Validation
3.3. Soil Water Dynamics and Growth Processes of the Different Crops
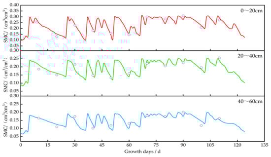
3.3.1. The Soil Water Content Dynamics for Potatoes, Oats, Alfalfa, and Sunflowers
3.3.2. The LAI Dynamics for Potatoes, Oats, Alfalfa, and Sunflowers
3.3.3. The Yield Dynamics for Potatoes, Oats, Alfalfa, and Sunflowers
3.4. Water Balance Analysis
3.5. Water Use Efficiency Analysis
4. Discussion
5. Conclusions
Supplementary Materials
Author Contributions
Funding
Data Availability Statement
Acknowledgments
Conflicts of Interest
References
- Li, S.; An, P.; Pan, Z. Farmers’ initiative on adaptation to climate change in the Northern Agro-pastoral Ecotone. Int. J. Disaster Risk Reduct. 2015, 12, 278–284. [Google Scholar] [CrossRef]
- Fu, D.; Ren, X.; Wang, Y. Distribution characteristics of soil particle size in farming-pastoral ecotone: A case study of Wuchuan County in Inner Mongolia. Arid Zone Res. 2022, 39, 1322–1332. [Google Scholar]
- Wuyun, D.; Sun, L.; Chen, Z. The spatiotemporal change of cropland and its impact on vegetation dynamics in the farming-pastoral ecotone of northern China. Sci. Total Environ. 2022, 805, 150286. [Google Scholar] [CrossRef] [PubMed]
- Gao, T.; Zhan, R. Damage of Reclamation on Grassland Slope in Farmingpastoral Interleaving Areas, North Yinshan Mountains. J. Agric. Sci. Technol. 2014, 16, 125. [Google Scholar]
- Wang, S.; Wang, W.; Wu, Y. Effects of a changing climate and anthropogenic impacts on net primary production in Yinshanbeilu, Inner Mongolia, China. Environ. Impact Assess. Rev. 2023, 102, 107185. [Google Scholar] [CrossRef]
- Cao, X.; Liu, Z.; Wu, M. Temporal-spatial distribution and driving mechanism of arable land water scarcity index in China from water footprint perspective. Trans. Chin. Soc. Agric. Eng. 2019, 35, 94–100. [Google Scholar]
- Yin, L.; Feng, X.; Fu, B. Irrigation water consumption of irrigated cropland and its dominant factor in China from 1982 to 2015. Adv. Water Resour. 2020, 143, 103661. [Google Scholar] [CrossRef]
- Zhang, X.; Ma, Y.; Yu, X. Effects of vertically rotary sub-soiling tillage on water utilization and yield of potato in semi-arid area of northwest China. Chin. J. Appl. Ecol. 2018, 29, 3293–3301. [Google Scholar]
- Wang, Y.; Lv, W.; Wang, X. Distribution Characteristics of Soil Water, Nutrients, and Roots in Rain-fed Alfalfa Fields in Southern Ningxia Mountain Area. Chin. J. Grassl. 2022, 44, 37–45. [Google Scholar]
- Kang, W.; Shi, X.; Duan, H. Analysis of Water Requirement and Water Requirement Law of Main Crops in Dryland Area at The Northern Foot of Yinshan Mountain. Tianjin Agric. Sci. 2023, 29, 13–16+20. [Google Scholar]
- Yu, H.; Liu, K.; Bai, Y. The agricultural planting structure adjustment based on water footprint and multi-objective optimisation models in China. J. Clean. Prod. 2021, 297, 126646. [Google Scholar] [CrossRef]
- Tang, J.; Xiao, D.; Wang, J. Optimizing water and nitrogen managements for potato production in the agro-pastoral ecotone in North China. Agric. Water Manag. 2021, 253, 106945. [Google Scholar] [CrossRef]
- Wang, H.; Cheng, M.; Zhang, S. Optimization of irrigation amount and fertilization rate of drip-fertigated potato based on Analytic Hierarchy Process and Fuzzy Comprehensive Evaluation methods. Agric. Water Manag. 2021, 256, 107130. [Google Scholar] [CrossRef]
- Ma, Q.; Zhang, X.; Wu, Y. Optimizing water and nitrogen strategies to improve forage oat yield and quality on the Tibetan Plateau using APSIM. Agronomy 2022, 12, 933. [Google Scholar] [CrossRef]
- Liu, M.; Wang, Z.; Mu, L. Effect of regulated deficit irrigation on Alfalfa performance under two irrigation systems in the inland arid area of midwestern China. Agric. Water Manag. 2021, 248, 106764. [Google Scholar] [CrossRef]
- Zhang, J.; Du, L.; Xing, Z. Effects of dual mulching with wheat straw and plastic film under three irrigation regimes on soil nutrients and growth of edible Sunflower. Agric. Water Manag. 2023, 288, 108453. [Google Scholar] [CrossRef]
- Rauff, K.O.; Bello, R. A review of crop growth simulation models as tools for agricultural meteorology. Agric. Sci. 2015, 6, 1098–1105. [Google Scholar] [CrossRef]
- Lenz-Wiedemann, V.I.; Klar, C.W.; Schneider, K. Development and test of a crop growth model for application within a Global Change decision support system. Ecol. Model. 2010, 221, 314–329. [Google Scholar] [CrossRef]
- Ge, J.; Yu, Z.; Gong, X. Evaluation of Irrigation Modes for Greenhouse Drip Irrigation Tomatoes Based on AquaCrop and DSSAT Models. Plants 2023, 12, 3863. [Google Scholar] [CrossRef]
- Corbeels, M.; Chirat, G.; Messad, S. Performance and sensitivity of the DSSAT crop growth model in simulating maize yield under conservation agriculture. Eur. J. Agron. 2016, 76, 41–53. [Google Scholar] [CrossRef]
- Pierre, J.F.; Singh, U.; Ruiz-Sánchez, E. Development of a cereal–legume intercrop model for DSSAT version 4.8. Agriculture 2023, 13, 845. [Google Scholar] [CrossRef]
- Miao, X.; Wang, G.; Li, R. Study on Modeling and Evaluating Alfalfa Yield and Optimal Water Use Efficiency in the Agro-Pastoral Ecotone of Northern China. Plants 2024, 13, 229. [Google Scholar] [CrossRef] [PubMed]
- Zhou, H.; Geng, G.; Yang, J. Improving Soil Moisture Estimation via Assimilation of Remote Sensing Product into the DSSAT Crop Model and Its Effect on Agricultural Drought Monitoring. Remote Sens. 2022, 14, 3187. [Google Scholar] [CrossRef]
- Shen, H.; Gao, Y.; Guo, F. A modified DSSAT-CERES model for simulating summer maize growth under film mulching. Agron. J. 2021, 113, 4819–4831. [Google Scholar] [CrossRef]
- Ma, H.; Malone, R.W.; Jiang, T.; Yao, N.; Chen, S.; Song, L.; Feng, H.; Yu, Q.; He, J. Estimating crop genetic parameters for DSSAT with modified PEST software. Eur. J. Agron. 2020, 115, 126017. [Google Scholar] [CrossRef]
- Wang, H.; Cheng, M.; Liao, Z. Performance evaluation of AquaCrop and DSSAT-SUBSTOR-Potato models in simulating potato growth, yield and water productivity under various drip fertigation regimes. Agric. Water Manag. 2023, 276, 108076. [Google Scholar] [CrossRef]
- Mubeen, M.; Ahmad, A.; Hammad, H.M. Evaluating the climate change impact on water use efficiency of cotton-wheat in semi-arid conditions using DSSAT model. J. Water Clim. Chang. 2020, 11, 1661–1675. [Google Scholar] [CrossRef]
- Abayechaw, D. Review on decision support system for agrotechnology transfer (DSSAT) model. Int. J. Intell. Inf. Syst. 2021, 10, 117–124. [Google Scholar] [CrossRef]
- Jiang, Y.; Zhang, L.; Zhang, B. Modeling irrigation management for water conservation by DSSAT-maize model in arid northwestern China. Agric. Water Manag. 2016, 177, 37–45. [Google Scholar] [CrossRef]
- Wang, P. Research of Optimizing Deficit Irrigation for Sugarcane in Guangxi Province Using the DSSAT Model Based on Genetic Algorithm. Master’s Thesis, Hebei University of Engineering, Handan, China, 2022. [Google Scholar]
- Singels, A.; Bezuidenhout, C.N. A new method of simulating dry matter partitioning in the Canegro sugarcane model. Field Crops Res. 2002, 78, 151–164. [Google Scholar] [CrossRef]
- Zhang, M. Remote Sensing for Maize Nitrogen Nutrition Diagnosis Based on Field Experiments and the DSSAT Model. Master’s Thesis, Jilin University, Changchun, China, 2023. [Google Scholar]
- Wu, C.; Anlauf, R.; Ma, Y. Application of the DSSAT model to simulate wheat growth in Eastern China. J. Agric. Sci. 2013, 5, 198–208. [Google Scholar] [CrossRef]
- Yan, W.; Jiang, W.; Han, X. Simulating and predicting crop yield and soil fertility under climate change with fertilizer management in Northeast China based on the decision support system for agrotechnology transfer model. Sustainability 2020, 12, 2194. [Google Scholar] [CrossRef]
- Gao, Y. Growth Simulation of Plastic Film Mulching in Summer Maize Based on Improved DSSAT-CERES Model. Master’s Thesis, Northwest A & F University, Xianyang, China, 2021. [Google Scholar]
- Blum, A. Effective use of water (EUW) and not water-use efficiency (WUE) is the target of crop yield improvement under drought stress. Field Crops Res. 2009, 112, 119–123. [Google Scholar] [CrossRef]
- Attia, A.; Rajan, N.; Xue, Q. Application of DSSAT-CERES-Wheat model to simulate winter wheat response to irrigation management in the Texas High Plains. Agric. Water Manag. 2016, 165, 50–60. [Google Scholar] [CrossRef]
- Yang, X.; Huang, X.; Chen, Z. Evaluation index comparison of different irrigation water use efficiency based on DSSAT simulation. Trans. Chin. Soc. Agric. Eng. 2015, 31, 95–100. [Google Scholar]
- Wang, X.; Xin, L.; Du, J. Simulation of Cotton Growth and Yield under Film Drip Irrigation Condition Based on DSSAT Model in Southern Xinjiang. Trans. Chin. Soc. Agric. Mach. 2022, 53, 314–321. [Google Scholar]
- Shen, H.; Xu, F.; Zhao, R. Optimization of Sowing Date, Irrigation, and Nitrogen Management of Summer Maize Using the DSSAT-CERES-Maize Model in the Guanzhong Plain, China. Trans. ASABE 2020, 63, 789–797. [Google Scholar] [CrossRef]
- Jiang, R.; He, W.; Zhou, W. Exploring management strategies to improve maize yield and nitrogen use efficiency in northeast China using the DNDC and DSSAT models. Comput. Electron. Agric. 2019, 166, 104988. [Google Scholar] [CrossRef]
- Gao, L.; Shao, M.; Peng, X. Spatio-temporal variability and temporal stability of water contents distributed within soil profiles at a hillslope scale. Catena 2015, 132, 29–36. [Google Scholar] [CrossRef]
- Guo, X.; Fu, Q.; Hang, Y. Spatial variability of soil moisture in relation to land use types and topographic features on hillslopes in the black soil (mollisols) area of northeast China. Sustainability 2020, 12, 3552. [Google Scholar] [CrossRef]
- Boguszewska-Mańkowska, D.; Zarzyńska, K.; Nosalewicz, A. Drought differentially affects root system size and architecture of potato cultivars with differing drought tolerance. Am. J. Potato Res. 2020, 97, 54–62. [Google Scholar] [CrossRef]
- Osborne, S.L.; Chim, B.K.; Riedell, W.E. Root length density of cereal and grain legume crops grown in diverse rotations. Crop Sci. 2020, 60, 2611–2620. [Google Scholar] [CrossRef]
- Wagg, C.; Hann, S.; Kupriyanovich, Y. Timing of short period water stress determines potato plant growth, yield and tuber quality. Agric. Water Manag. 2021, 247, 106731. [Google Scholar] [CrossRef]
- Song, N.; Wang, F.; Yang, C.; Yang, K. Coupling effects of water and nitrogen on yield, quality and water use of potato with drip irrigation under plastic film mulch. Trans. Chin. Soc. Agric. Eng. (Trans. CSAE) 2013, 29, 98–105. [Google Scholar]
- Si, Z.; Zain, M.; Li, S. Optimizing nitrogen application for drip-irrigated winter wheat using the DSSAT-CERES-Wheat model. Agric. Water Manag. 2021, 244, 106592. [Google Scholar] [CrossRef]
- Zhang, Y.; Wang, Y.; Niu, H. Effects of temperature, precipitation and carbon dioxide concentrations on the requirements for crop irrigation water in China under future climate scenarios. Sci. Total Environ. 2019, 656, 373–387. [Google Scholar] [CrossRef]
- Hao, J.; Zhang, T.; Yin, X. Impact of climate change on the water requirements of oat in Northeast and North China. Water 2019, 11, 91. [Google Scholar] [CrossRef]
- Chen, Y.; Chai, S.; Tian, H. Straw strips mulch on furrows improves water use efficiency and yield of potato in a rainfed semiarid area. Agric. Water Manag. 2019, 211, 142–151. [Google Scholar] [CrossRef]
- Zheng, H.; Wang, B.; Cao, X. Optimization of Subsurface Drip Irrigation Schedule of Alfalfa in Northwest China. Water 2023, 15, 2242. [Google Scholar] [CrossRef]
- Pan, Y.; Pan, X.; Zi, T. Optimal ridge–furrow ratio for maximum drought resilience of Sunflower in semi-arid Region of China. Sustainability 2019, 11, 4047. [Google Scholar] [CrossRef]












| Soil Layer | Bulk Density | Field Moisture Capacity | Saturated Moisture | Available P | Available K | Soil Organic Matter | pH | |||||||
|---|---|---|---|---|---|---|---|---|---|---|---|---|---|---|
| Depth | (g/cm3) | (cm3/cm3) | (cm3/cm3) | (mg·kg−1) | (mg·kg−1) | (g·kg−1) | ||||||||
| (cm) | 2022 | 2023 | 2022 | 2023 | 2022 | 2023 | 2022 | 2023 | 2022 | 2023 | 2022 | 2023 | 2022 | 2023 |
| 0–20 | 1.34 | 1.36 | 0.32 | 0.30 | 0.35 | 0.35 | 11.59 | 12.08 | 163.88 | 158.72 | 2.17 | 2.31 | 7.29 | 7.16 |
| 20–40 | 1.57 | 1.51 | 0.25 | 0.24 | 0.29 | 0.26 | 4.56 | 5.34 | 132.75 | 128.31 | 5.61 | 5.74 | 7.11 | 6.97 |
| 40–60 | 1.58 | 1.57 | 0.23 | 0.18 | 0.23 | 0.20 | 3.09 | 2.98 | 74.56 | 71.78 | 1.49 | 1.73 | 7.08 | 7.03 |
| 60–80 | 1.62 | 1.61 | 0.17 | 0.21 | 0.21 | 0.21 | 1.84 | 1.85 | 66.37 | 67.23 | 0.69 | 0.72 | 6.96 | 6.92 |
| 80–100 | 1.65 | 1.63 | 0.13 | 0.14 | 0.17 | 0.16 | 1.57 | 1.69 | 92.32 | 88.75 | 0.52 | 0.48 | 6.93 | 6.82 |
| Soil Layer | Bulk Density | Field Moisture Capacity | Saturated Moisture | Available P | Available K | Soil Organic Matter | pH | |||||||
|---|---|---|---|---|---|---|---|---|---|---|---|---|---|---|
| Depth | (g/cm3) | (cm3/cm3) | (cm3/cm3) | (mg·kg−1) | (mg·kg−1) | (g·kg−1) | ||||||||
| (cm) | 2022 | 2023 | 2022 | 2023 | 2022 | 2023 | 2022 | 2023 | 2022 | 2023 | 2022 | 2023 | 2022 | 2023 |
| 0–20 | 1.37 | 1.39 | 0.29 | 0.28 | 0.34 | 0.33 | 11.13 | 11.60 | 155.69 | 150.78 | 2.20 | 2.34 | 7.10 | 7.01 |
| 20–40 | 1.54 | 1.54 | 0.23 | 0.22 | 0.27 | 0.24 | 4.38 | 5.13 | 126.11 | 121.89 | 5.68 | 5.81 | 6.95 | 6.79 |
| 40–60 | 1.57 | 1.59 | 0.21 | 0.17 | 0.22 | 0.19 | 2.97 | 2.86 | 70.83 | 68.19 | 1.51 | 1.75 | 6.91 | 6.81 |
| 60–80 | 1.62 | 1.63 | 0.16 | 0.19 | 0.20 | 0.20 | 1.77 | 1.78 | 63.05 | 63.87 | 0.70 | 0.73 | 6.77 | 6.73 |
| 80–100 | 1.64 | 1.65 | 0.12 | 0.13 | 0.16 | 0.15 | 1.51 | 1.62 | 87.70 | 84.31 | 0.53 | 0.49 | 6.74 | 6.63 |
| Soil Layer | Bulk Density | Field Moisture Capacity | Saturated Moisture | Available P | Available K | Soil Organic Matter | pH | |||||||
|---|---|---|---|---|---|---|---|---|---|---|---|---|---|---|
| Depth | (g/cm3) | (cm3/cm3) | (cm3/cm3) | (mg·kg−1) | (mg·kg−1) | (g·kg−1) | ||||||||
| (cm) | 2022 | 2023 | 2022 | 2023 | 2022 | 2023 | 2022 | 2023 | 2022 | 2023 | 2022 | 2023 | 2022 | 2023 |
| 0–20 | 1.38 | 1.33 | 0.28 | 0.27 | 0.33 | 0.31 | 10.68 | 11.13 | 155.69 | 150.78 | 2.08 | 2.14 | 7.13 | 7.04 |
| 20–40 | 1.58 | 1.56 | 0.22 | 0.21 | 0.25 | 0.22 | 4.20 | 4.92 | 126.11 | 121.89 | 5.27 | 5.40 | 7.02 | 6.86 |
| 40–60 | 1.54 | 1.56 | 0.20 | 0.16 | 0.21 | 0.17 | 2.85 | 2.75 | 70.83 | 68.19 | 1.40 | 1.63 | 6.96 | 6.87 |
| 60–80 | 1.64 | 1.62 | 0.15 | 0.18 | 0.19 | 0.19 | 1.70 | 1.70 | 63.05 | 63.87 | 0.65 | 0.68 | 6.84 | 6.79 |
| 80–100 | 1.65 | 1.64 | 0.11 | 0.12 | 0.15 | 0.14 | 1.45 | 1.56 | 87.70 | 84.31 | 0.48 | 0.42 | 6.83 | 6.71 |
| Soil Layer | Bulk Density | Field Moisture Capacity | Saturated Moisture | Available P | Available K | Soil Organic Matter | pH | |||||||
|---|---|---|---|---|---|---|---|---|---|---|---|---|---|---|
| Depth | (g/cm3) | (cm3/cm3) | (cm3/cm3) | (mg·kg−1) | (mg·kg−1) | (g·kg−1) | ||||||||
| (cm) | 2022 | 2023 | 2022 | 2023 | 2022 | 2023 | 2022 | 2023 | 2022 | 2023 | 2022 | 2023 | 2022 | 2023 |
| 0–20 | 1.36 | 1.31 | 0.29 | 0.28 | 0.31 | 0.32 | 11.16 | 11.63 | 159.95 | 154.91 | 2.19 | 2.34 | 7.21 | 7.02 |
| 20–40 | 1.57 | 1.54 | 0.23 | 0.22 | 0.27 | 0.25 | 4.39 | 5.14 | 129.56 | 125.23 | 5.54 | 5.68 | 7.03 | 6.84 |
| 40–60 | 1.59 | 1.55 | 0.21 | 0.17 | 0.22 | 0.18 | 2.98 | 2.87 | 72.77 | 70.06 | 1.42 | 1.64 | 6.96 | 6.88 |
| 60–80 | 1.63 | 1.61 | 0.16 | 0.19 | 0.20 | 0.20 | 1.77 | 1.78 | 64.78 | 65.62 | 0.67 | 0.71 | 6.86 | 6.76 |
| 80–100 | 1.65 | 1.63 | 0.12 | 0.13 | 0.16 | 0.15 | 1.51 | 1.63 | 90.10 | 86.62 | 0.49 | 0.45 | 6.81 | 6.76 |
| Crop Varieties | Growth Period | 2022 | 2023 | ||
|---|---|---|---|---|---|
| Start and End Date | Fertility Days | Start and End Date | Fertility Days | ||
| Oat | Sowing–emergence | 19 May~28 May | 10 d | 21 May~2 Jun. | 12 d |
| Emergence–jointing | 29 May~12 Jul. | 45 d | 3 Jun.~14 Jul. | 41 d | |
| Jointing–grouting | 13 Jul.~6 Aug. | 25 d | 15 Jul.~8 Aug. | 25 d | |
| Grout–mature | 7 Aug.~16 Sep. | 40 d | 9 Aug.~19 Sep. | 41 d | |
| Total | 19 May~16 Sep. | 120 d | 21 May~19 Sep. | 119 d | |
| Potato | Sowing–emergence | 2 May~27 May | 25 d | 1 May~28 May | 29 d |
| Emergence–formation | 28 May~26 Jun. | 30 d | 29 May~29 Jun. | 32 d | |
| Form–expand | 27 Jun.~15 Aug. | 50 d | 30 Jun.~19 Aug. | 51 d | |
| Expansion–harvest | 16 Aug.~11 Sep. | 25 d | 31 Aug.~20 Sep. | 21 d | |
| Total | 2 May~11 Sep. | 133 d | 1 May~13 Sep. | 136 d | |
| Sunflower | Sowing–emergence | 29 May~3 Jul. | 36 d | 30 May~6 Jul. | 38 d |
| Emergence–budding | 4 Jul.~25 Jul. | 21 d | 7 Jul.~27 Jul. | 20 d | |
| Budding–blooming | 26 Jul.~13 Aug. | 18 d | 28 Jul.~17 Aug. | 20 d | |
| Bloom–ripen | 14 Aug.~26 Sep. | 43 d | 18 Aug~29 Sep. | 41 d | |
| Total | 29 May~26 Sep. | 118 d | 30 May~28 Sep. | 119 d | |
| Alfalfa | Greening–branching | 11 May~30 May | 19 d | 10 May~25 May | 15 d |
| Branching–budding | 31 May~22 Jun. | 23 d | 26 May~18 Jun. | 24 d | |
| Budding–blooming | 23 Jun.~10 Jul. | 17 d | 19 Jun.~5 Jul. | 16 d | |
| Blossom–harvest | 11 Jul.~24 Jul. | 13 d | 6 Jul.~21 Jul. | 15 d | |
| Greening–branching | 25 Jul.~10 Aug. | 16 d | 22 Jul.~4 Aug. | 14 d | |
| Branching–budding | 11 Aug.~28 Aug. | 17 d | 5 Aug.~24 Aug. | 19 d | |
| Budding–blooming | 29 Aug.~9 Sep. | 12 d | 25 Aug.~6 Sep. | 12 d | |
| Blossom–harvest | 10 Sep.~20 Sep. | 10 d | 7 Sep.~18 Sep. | 11 d | |
| Total | 11 May~20 Sep. | 127 d | 15 May~18 Sep. | 126 d | |
| Crop Varieties | Growth Period | Irrigation Amount (mm) | |
|---|---|---|---|
| 2022 | 2023 | ||
| Oat | Sowing–emergence | 18 | 15 |
| Emergence–jointing | 41 | 36 | |
| Jointing–grouting | 52 | 45 | |
| Grout–mature | 35 | 32 | |
| Total | 146 | 128 | |
| Potato | Sowing–emergence | 32 | 31 |
| Emergence–formation | 55 | 50 | |
| Form–expand | 66 | 57 | |
| Expansion–harvest | 20 | 18 | |
| Total | 173 | 156 | |
| Sunflower | Sowing–emergence | 36 | 23 |
| Emergence–budding | 30 | 35 | |
| Budding–blooming | 46 | 39 | |
| Bloom–ripen | 25 | 21 | |
| Total | 137 | 118 | |
| Alfalfa | Greening–branching | 16 | 16 |
| Branching–budding | 39 | 35 | |
| Budding–blooming | 19 | 16 | |
| Blossom–harvest | 18 | 15 | |
| Greening–branching | 19 | 17 | |
| Branching–budding | 38 | 33 | |
| Budding–blooming | 18 | 18 | |
| Blossom–harvest | 15 | 14.0 | |
| Total | 182 | 164 | |
| Crop Type | Statistical Indicators | LAI/(cm2·cm−2) | Yield/(kg/ha) |
|---|---|---|---|
| Oat | ARE/% | 3.06 | 5.82 |
| nRMSE/% | 6.46 | 5.25 | |
| R2 | 0.87 | 0.88 | |
| Potato | ARE/% | 4.18 | 4.89 |
| nRMSE/% | 5.64 | 6.57 | |
| R2 | 0.88 | 0.87 | |
| Alfalfa | ARE/% | 3.82 | 4.27 |
| nRMSE/% | 6.31 | 5.88 | |
| R2 | 0.87 | 0.89 | |
| Sunflower | ARE/% | 3.39 | 3.47 |
| nRMSE/% | 5.32 | 4.51 | |
| R2 | 0.89 | 0.90 |
| Crop Type | Soil Depth | ARE/% | nRMSE/% | R2 |
|---|---|---|---|---|
| Oat | 0–20 | 4.53 | 8.41 | 0.86 |
| 20–40 | 3.96 | 7.65 | 0.87 | |
| 40–60 | 5.39 | 9.73 | 0.85 | |
| Potato | 0–20 | 5.27 | 7.87 | 0.87 |
| 20–40 | 6.34 | 8.65 | 0.86 | |
| 40–60 | 4.88 | 6.82 | 0.88 | |
| Alfalfa | 0–20 | 4.38 | 6.22 | 0.87 |
| 20–40 | 4.94 | 5.87 | 0.87 | |
| 40–60 | 5.57 | 8.06 | 0.86 | |
| Sunflower | 0–20 | 6.36 | 7.58 | 0.86 |
| 20–40 | 3.31 | 6.34 | 0.88 | |
| 40–60 | 5.48 | 6.97 | 0.87 |
| Argument | Definition | Calibrated Value |
|---|---|---|
| G2 | Leaf area expansion rate [cm2·(m2·d)−1] | 1100 |
| G3 | Potential tuber growth rate [g·(plant·d)−1] | 23.3 |
| PD | Tuber growth stress coefficient (%) | 0.9 |
| P2 | Photoperiod coefficient (%) | 0.5 |
| TC | Upper limit critical temperature for tubers to start growing | 20 |
| Argument | Definition | Calibrated Value |
|---|---|---|
| PIV | Number of days required for vernalization under optimal temperature conditions (d) | 20 |
| PID | Photoperiod coefficient (%) | 30.5 |
| P5 | Accumulated temperature during grain filling stage (°C d) | 450 |
| G1 | Number of grains per unit canopy mass of a single plant at flowering stage (grain·g−1) | 16 |
| G2 | Standard grain weight under optimal conditions (mg) | 24 |
| G3 | Standard dry mass of stem and spike per plant during the maturation stage under non-stress conditions (g) | 1.9 |
| PHINT | Accumulated temperature required to complete the growth of one leaf (leaf thermal time) (°C d) | 99 |
| Argument | Definition | Calibrated Value |
|---|---|---|
| CSDL | Critical short day duration (h) | 10.5 |
| PPSEN | Relative response slope to photoperiod (1/h) | 0.2 |
| EM-FL | Duration of light and heat from seedling emergence to first blossom appearance (d) | 21.5 |
| FL-SH | From the initial inflorescence blossoming to the first inflorescence fruit setting, light and heat conditions (d) | 6.7 |
| FL-SD | The light and heat time from the first inflorescence blooming to the first inflorescence grain production (d) | 12.6 |
| SD-PM | Photothermal duration from seed production to the first inflorescence’s physiological ripening (d) | 33.5 |
| FL-LF | The photothermal time between the flowering of the first inflorescence and the cessation of leaf expansion (d) | 16 |
| LFMAX | Maximum photosynthetic rate of leaves (mg CO2/m2·s−1) | 2.5 |
| SLAVR | Specific leaf area (cm2/g) | 290 |
| SIZLF | Maximum blade size (cm2) | 5 |
| Argument | Definition | Calibrated Value |
|---|---|---|
| CSDL | Critical short day duration (h) | 15 |
| PPSEN | Relative response slope to photoperiod (1/h) | −0.086 |
| EM-FL | Duration of light and heat from seedling emergence to first blossom appearance (d) | 22.6 |
| FL-SH | From the initial inflorescence blossoming to the first inflorescence fruit setting, light and heat conditions (d) | 7.2 |
| FL-SD | The light and heat time from the first inflorescence blooming to the first inflorescence grain production (d) | 12.5 |
| SD-PM | Photothermal duration from seed production to the first inflorescence’s physiological ripening (d) | 32.5 |
| FL-LF | The photothermal time between the flowering of the first inflorescence and the cessation of leaf expansion (d) | 15 |
| LFMAX | Maximum photosynthetic rate of leaves (mg CO2/m2·s−1) | 2.1 |
| SLAVR | Specific leaf area (cm2/g) | 240 |
| SIZLF | Maximum blade size (cm2) | 200 |
| XFRT | Maximum proportion of daily dry matter allocated to fruits (g) | 0.81 |
| WTPSD | Maximum weight per seed (g) | 0.1 |
| SFDUR | Maximum weight per seed (d) | 24 |
| PODUR | Optimal photothermal time required for final fruit load (d) | 4.5 |
| THRSH | Shattering percentage. Maximum ratio of seeds to (seeds + hulls) | 72.5 |
| SDPRO | Protein content in seeds (g (protein)/g (seed)) | 0.14 |
| SDLIP | Oil content in seeds (g (oil)/g (seed)) | 0.45 |
| Crop Type | P/mm | I/mm | ΔW/mm | ET/mm | E/mm | T/mm | D/mm | |||||||
|---|---|---|---|---|---|---|---|---|---|---|---|---|---|---|
| 2022 | 2023 | 2022 | 2023 | 2022 | 2023 | 2022 | 2023 | 2022 | 2023 | 2022 | 2023 | 2022 | 2023 | |
| Oat | 191.7 | 241.1 | 146 | 128 | −16.5 | −18.7 | 333.8 | 369.2 | 73.4 | 67.1 | 260.4 | 302.1 | 20.4 | 18.6 |
| Potato | 185.3 | 236.0 | 173 | 156 | −41.6 | −44.9 | 375.2 | 414.2 | 254.7 | 238.0 | 120.5 | 176.2 | 24.7 | 22.7 |
| Alfalfa | 213.6 | 257.8 | 182 | 164 | −47.4 | −56.7 | 415.7 | 453.7 | 184.3 | 181.2 | 231.4 | 272.5 | 27.3 | 24.8 |
| Sunflower | 198.7 | 241.2 | 137 | 118 | −37.8 | −42.3 | 355 | 385.6 | 160.7 | 179.6 | 194.3 | 206.0 | 18.5 | 15.9 |
| Crop Type | I/ mm | ET/ mm | Y/ (kg/ha) | Ya/ (kg/ha) | WUE/ (kg/m3) | IWUE/ (kg/m3) | ||||||
|---|---|---|---|---|---|---|---|---|---|---|---|---|
| 2022 | 2023 | 2022 | 2023 | 2022 | 2023 | 2022 | 2023 | 2022 | 2023 | 2022 | 2023 | |
| Oat | 146 | 128 | 333.8 | 369.2 | 3120 | 3345 | 2184 | 2676 | 1.04 | 1.01 | 0.64 | 0.52 |
| Potato | 173 | 156 | 375.2 | 414.2 | 62,355 | 67,170 | 43,649 | 53,736 | 16.62 | 16.22 | 10.81 | 8.61 |
| Alfalfa | 182 | 164 | 415.7 | 453.7 | 4879 | 6529 | 3185 | 5362 | 1.17 | 1.44 | 0.93 | 0.71 |
| Sunflower | 137 | 118 | 355 | 385.6 | 3870 | 4020 | 2709 | 3216 | 1.39 | 1.34 | 0.85 | 0.68 |
Disclaimer/Publisher’s Note: The statements, opinions and data contained in all publications are solely those of the individual author(s) and contributor(s) and not of MDPI and/or the editor(s). MDPI and/or the editor(s) disclaim responsibility for any injury to people or property resulting from any ideas, methods, instructions or products referred to in the content. |
© 2024 by the authors. Licensee MDPI, Basel, Switzerland. This article is an open access article distributed under the terms and conditions of the Creative Commons Attribution (CC BY) license (https://creativecommons.org/licenses/by/4.0/).
Share and Cite
Wang, G.; Miao, X.; Xu, B.; Tian, D.; Ren, J.; Li, Z.; Li, R.; Zheng, H.; Wang, J.; Tang, P.; et al. Exploring the Water–Soil–Crop Dynamic Process and Water Use Efficiency of Typical Irrigation Units in the Agro-Pastoral Ecotone of Northern China. Plants 2024, 13, 1916. https://doi.org/10.3390/plants13141916
Wang G, Miao X, Xu B, Tian D, Ren J, Li Z, Li R, Zheng H, Wang J, Tang P, et al. Exploring the Water–Soil–Crop Dynamic Process and Water Use Efficiency of Typical Irrigation Units in the Agro-Pastoral Ecotone of Northern China. Plants. 2024; 13(14):1916. https://doi.org/10.3390/plants13141916
Chicago/Turabian StyleWang, Guoshuai, Xiangyang Miao, Bing Xu, Delong Tian, Jie Ren, Zekun Li, Ruiping Li, Hexiang Zheng, Jun Wang, Pengcheng Tang, and et al. 2024. "Exploring the Water–Soil–Crop Dynamic Process and Water Use Efficiency of Typical Irrigation Units in the Agro-Pastoral Ecotone of Northern China" Plants 13, no. 14: 1916. https://doi.org/10.3390/plants13141916
APA StyleWang, G., Miao, X., Xu, B., Tian, D., Ren, J., Li, Z., Li, R., Zheng, H., Wang, J., Tang, P., Feng, Y., Zhou, J., & Xu, Z. (2024). Exploring the Water–Soil–Crop Dynamic Process and Water Use Efficiency of Typical Irrigation Units in the Agro-Pastoral Ecotone of Northern China. Plants, 13(14), 1916. https://doi.org/10.3390/plants13141916

