Variation in Seed Morphological Traits Affects the Dispersal Strategies of Chromolaena odorata Following Invasion
Abstract
1. Introduction
2. Results
2.1. Seed Trait Variation
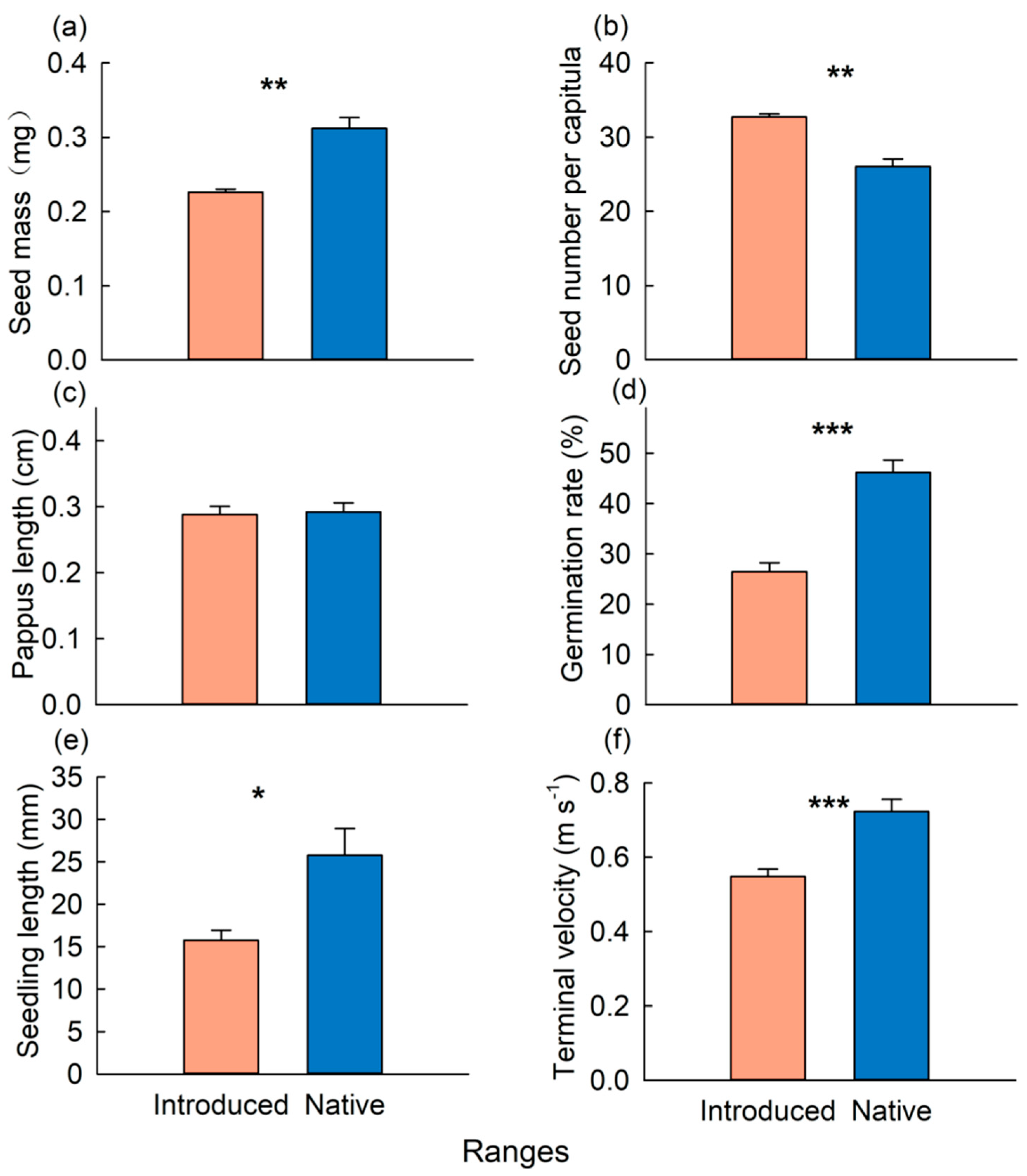
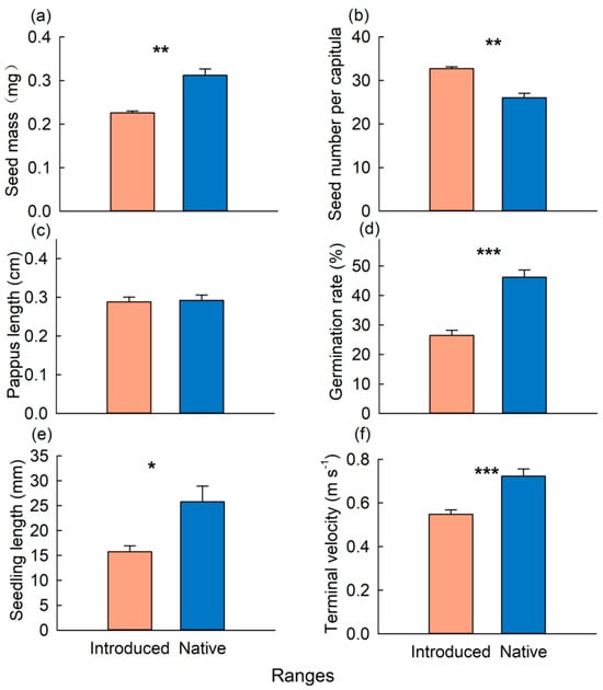
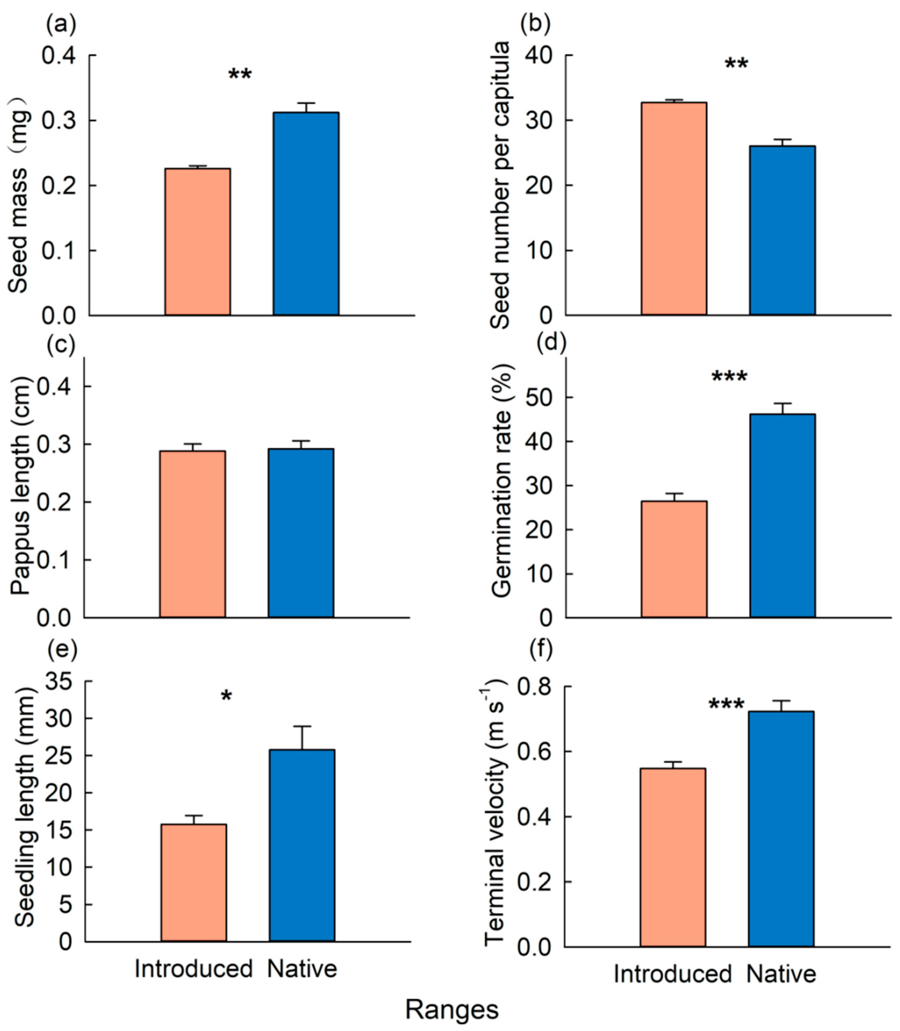
2.2. Effect of Range on Seed Traits
2.3. Effect of Climatic on Seed Trait
2.4. Seed Traits Relationship
3. Materials and Methods
Statistical Analysis
4. Discussion
4.1. Seed Trait Divergence between Introduced and Native Populations
4.2. Seed Trait Variation across Climatic Gradient
4.3. Seed Traits Covariation
5. Conclusions
Supplementary Materials
Author Contributions
Funding
Data Availability Statement
Conflicts of Interest
References
- Díaz, S.; Cabido, M. Vive la difference: Plant functional diversity matters to ecosystem processes. Trends Ecol. Evol. 2001, 16, 646–655. [Google Scholar] [CrossRef]
- Chen, S.C.; Giladi, I. Variation in morphological traits affects dispersal and seedling emergence in dispersive diaspores of Geropogon hybridus. Am. J. Bot. 2020, 107, 436–444. [Google Scholar] [CrossRef] [PubMed]
- Huang, F.F.; Peng, S.L.; Chen, B.M.; Liao, H.X.; Huang, Q.Q.; Lin, Z.G.; Liu, G. Rapid evolution of dispersal-related traits during range expansion of an invasive vine Mikania micrantha. OIKOS 2015, 124, 1023–1030. [Google Scholar] [CrossRef]
- Schupp, E.W.; Jordano, P.; Gómez, J.M. Seed dispersal effectiveness revisited: A conceptual review. New Phytol. 2010, 188, 333–353. [Google Scholar] [CrossRef] [PubMed]
- Razzaque, S.; Heckman, R.W.; Juenger, T.E. Seed size variation impacts local adaptation and life-history strategies in a perennial grass. Proc. R. Soc. B Biol. Sci. 2023, 290, 20222460. [Google Scholar] [CrossRef] [PubMed]
- Chen, Y.-S.; Muellner-Riehl, A.N.; Yang, Y.; Liu, J.; Dimitrov, D.; Luo, A.; Luo, Y.; Sun, H.; Wang, Z.-H. Dispersal modes affect Rhamnaceae diversification rates in a differentiated manner. Proc. R. Soc. B Biol. Sci. 2023, 290, 20231926. [Google Scholar] [CrossRef] [PubMed]
- Andersen, M. Diaspore morphology and seed dispersal in several wind-dispersed Asteraceae. Am. J. Bot. 1993, 80, 487–492. [Google Scholar] [CrossRef] [PubMed]
- Minami, S.; Azuma, A. Various flying modes of wind-dispersal seeds. J. Theor. Biol. 2003, 225, 1–14. [Google Scholar] [CrossRef]
- Saatkamp, A.; Cochrane, A.; Commander, L.; Guja, L.K.; Jimenez-Alfaro, B.; Larson, J.; Nicotra, A.; Poschlod, P.; Silveira, F.A.O.; Cross, A.T.; et al. A research agenda for seed-trait functional ecology. New Phytol. 2019, 221, 1764–1775. [Google Scholar] [CrossRef]
- Meyer, S.E.; Carlson, S.L. Achene mass variation in Ericameria nauseosus (Asteraceae) in relation to dispersal ability and seedling fitness. Funct. Ecol. 2001, 15, 274–281. [Google Scholar] [CrossRef]
- Jakobsson, A.; Eriksson, O. Trade-offs between dispersal and competitive ability: A comparative study of wind-dispersed Asteraceae forbs. Evol. Ecol. 2003, 17, 233–246. [Google Scholar] [CrossRef]
- Hahn, M.A.; Lanz, T.; Fasel, D.; Müller-Schärer, H. Increased seed survival and seedling ermergence in a polyploid plant invader. Am. J. Bot. 2013, 100, 1555–1561. [Google Scholar] [CrossRef] [PubMed]
- Bentos, T.V.; Mesquita, R.C.G.; Camargo, J.L.C.; Williamson, G.B. Seed and fruit tradeoffs—The economics of seed packaging in Amazon pioneers. Plant Ecol. Divers. 2014, 7, 371–382. [Google Scholar] [CrossRef]
- Casseau, V.; De Croon, G.; Izzo, D.; Pandolfi, C. Morphologic and aerodynamic considerations regarding the plumed seeds of Tragopogon pratensis and their implications for seed dispersal. PLoS ONE 2015, 10, e0125040. [Google Scholar] [CrossRef] [PubMed]
- Tabassum, S.; Bonser, S.P. Allometry in the terminal velocity—Dispersal architecture relationship explains variation in dispersal and offspring provisioning strategies in wind dispersed Asteraceae species. Aust. J. Bot. 2017, 65, 149–156. [Google Scholar] [CrossRef][Green Version]
- Augspurger, C.K.; Franson, S.E. Wind dispersal of artifical fruits varying in mass, area, and morphology. Ecology 1987, 68, 27–42. [Google Scholar] [CrossRef]
- Correia, M.; Montesinos, D.; French, K.; Rodríguez-Echeverría, S.; Mack, R. Evidence for enemy release and increased seed production and size for two invasive Australian acacias. J. Ecol. 2016, 104, 1391–1399. [Google Scholar] [CrossRef]
- Binama, B.; Müller, C.; van Kleunen, M. Differences in functional traits among distinct populations of the plant invader Bunias orientalis. J. Plant Ecol. 2022, 15, 524–537. [Google Scholar] [CrossRef]
- Li, C.; Ding, J.; Huang, W.; Tian, B.; Siemann, E.; Zhang, J. Differences in seed properties and germination between native and introduced populations of Triadica sebifera. J. Plant Ecol. 2020, 13, 70–77. [Google Scholar] [CrossRef]
- Welgama, A.; Florentine, S.; Marchante, H.; Javaid, M.M.; Turville, C. The germination success of Acacia longifolia subsp. longifolia (Fabaceae): A comparison between its native and exotic ranges. Aust. J. Bot. 2019, 67, 414–424. [Google Scholar] [CrossRef]
- Keane, R.M.; Crawley, M.J. Exotic plant invasions and the enemy release hypothesis. Trends Ecol. Evol. 2002, 17, 164–170. [Google Scholar] [CrossRef]
- Kreft, H.; Jetz, W.; Mutke, J.; Barthlott, W. Contrasting environmental and regional effects on global pteridophyte and seed plant diversity. Ecography 2010, 33, 408–419. [Google Scholar] [CrossRef]
- Leishman, M.; Wright, I.J.; Moles, A.; Westoby, M. The evolutionary ecology of seed size. In Seed: Ecology of Regeneration in Plant Communities; University of Southampton: Southampton, UK, 2000; Volume 416, pp. 31–59. [Google Scholar]
- Liu, W.W.; Zhang, Y.H.; Chen, X.C.; Maung-Douglass, K.; Strong, D.R.; Pennings, S.C. Contrasting plant adaptation strategies to latitude in the native and invasive range of Spartina alterniflora. New Phytol. 2020, 226, 623–634. [Google Scholar] [CrossRef] [PubMed]
- Xu, X.Y.; Wolfe, L.; Diez, J.; Zheng, Y.; Guo, H.; Hu, S.J. Differential germination strategies of native and introduced populations of the invasive species Plantago virginica. Neobiota 2019, 43, 101–118. [Google Scholar] [CrossRef]
- Sõber, V.; Ramula, S. Seed number and environmental conditions do not explain seed size variability for the invasive herb Lupinus polyphyllus. Plant Ecol. 2013, 214, 883–892. [Google Scholar] [CrossRef]
- Van Boheemen, L.A.; Atwater, D.Z.; Hodgins, K.A. Rapid and repeated local adaptation to climate in an invasive plant. New Phytol. 2019, 222, 614–627. [Google Scholar] [CrossRef] [PubMed]
- Li, Y.P.; Feng, Y.L.; Li, W.T.; Tomlinson, K.; Liao, Z.Y.; Zheng, Y.L.; Zhang, J.L. Leaf trait association in relation to herbivore defense, drought resistance, and economics in a tropical invasive plant. Am. J. Bot. 2022, 109, 910–921. [Google Scholar] [CrossRef] [PubMed]
- Liu, M.; Pan, Y.; Pan, X.; Sosa, A.; Blumenthal, D.M.; Van Kleunen, M.; Li, B. Plant invasion alters latitudinal pattern of plant-defense syndromes. Ecology 2021, 102, e03511. [Google Scholar] [CrossRef] [PubMed]
- Rosche, C.; Hensen, I.; Schaar, A.; Zehra, U.; Jasieniuk, M.; Callaway, R.M.; Khasa, D.P.; Al-Gharaibeh, M.M.; Lekberg, Y.; Nagy, D.U.; et al. Climate outweighs native vs. nonnative range-effects for genetics and common garden performance of a cosmopolitan weed. Ecol. Monogr. 2019, 89, e01386. [Google Scholar] [CrossRef]
- Hikosaka, K.; Kurokawa, H.; Arai, T.; Takayanagi, S.; Tanaka, H.O.; Nagano, S.; Nakashizuka, T. Intraspecific variations in leaf traits, productivity and resource use efficiencies in the dominant species of subalpine evergreen coniferous and deciduous broad-leaved forests along the altitudinal gradient. J. Ecol. 2021, 109, 1804–1818. [Google Scholar] [CrossRef]
- Weemstra, M.; Freschet, G.T.; Stokes, A.; Roumet, C. Patterns in intraspecific variation in root traits are species-specific along an elevation gradient. Funct. Ecol. 2021, 35, 342–356. [Google Scholar] [CrossRef]
- Tewes, L.; Müller, C. Syndromes in suites of correlated traits suggest multiple mechanisms facilitating invasion in a plant range-expander. Neobiota 2018, 37, 1–22. [Google Scholar] [CrossRef]
- Muniappan, R.; Reddy, G.V.P.; Lai, P.-Y. Distribution and biological control of Chromolaena odorata. In Invasive Plants: Ecological and Agricultural Aspects; Birkhäuser: Basel, Switzerland, 2005; pp. 223–233. [Google Scholar]
- Kriticos, D.J.; Yonow, T.; McFadyen, R.E. The potential distribution of Chromolaena odorata (Siam weed) in relation to climate. Weed Res. 2005, 45, 246–254. [Google Scholar] [CrossRef]
- Rai, P.K.; Singh, J.S. Ecological insights and environmental threats of invasive alien plant Chromolaena odorata: Prospects for sustainable management. Weed Biol. Manag. 2024, 24, 15–37. [Google Scholar] [CrossRef]
- Pasiecznik, N. Chromolaena odorata (Siam weed). CABI Compend. 2022. [Google Scholar] [CrossRef]
- Witkowski, E.T.F.; Wilson, M. Changes in density, biomass, seed production and soil seed banks of the non-native invasive plant, Chromolaena odorata, along a 15 year chronosequence. Plant Ecol. 2001, 152, 13–27. [Google Scholar] [CrossRef]
- Epp, G.A. The seed bank of Eupatorium odoratum along a successional gradient in a tropical rain forest in Ghana. J. Trop. Ecol. 1987, 3, 139–149. [Google Scholar] [CrossRef]
- Waterhouse, B.M.; Zeimer, O. ‘On the brink’: The status of Chromolaena odorata in northern Australia. In Proceedings of the Fifth International Workshop on Biological Control and Management of Chromolaena odorata, Durban, South Africa, 23–25 October 2002; Zachariades, C., Muniappan, R., Strathie, L.W., Eds.; ARC-PPRI: Pretoria, South Africa, 2002; pp. 29–33. [Google Scholar]
- Adhikari, P.; Lee, Y.H.; Poudel, A.; Hong, S.H.; Park, Y.-S. Global spatial distribution of Chromolaena odorata habitat under climate change: Random forest modeling of one of the 100 worst invasive alien species. Sci. Rep. 2023, 13, 9745. [Google Scholar] [CrossRef]
- Khan, I.; Navie, S.; George, D.; O’Donnell, C.; Adkins, S.W. Alien and native plant seed dispersal by vehicles. Austral. Ecol. 2017, 43, 76–88. [Google Scholar] [CrossRef]
- Taylor, K.; Brummer, T.; Taper, M.L.; Wing, A.; Rew, L.J. Human-mediated long-distance dispersal: An empirical evaluation of seed dispersal by vehicles. Divers. Distrib. 2012, 18, 942–951. [Google Scholar] [CrossRef]
- Von der Lippe, M.; Bullock, J.M.; Kowarik, I.; Knopp, T.; Wichmann, M.C. Human-mediated dispersal of seeds by the airflow of vehicles. PLoS ONE 2013, 8, e52733. [Google Scholar] [CrossRef]
- Blackmore, A.C. Seed dispersal of Chromolaena odorata reconsidered. In Proceedings of the Fourth International Workshop on the Biological Control and Management of Chromolaena odorata, Bangalore, India, 14–18 October 1996; University of Guam: Mangilao, India, 1996; pp. 16–21. [Google Scholar]
- Ramanujam, P.; Ramakrishnan, P.S. Germination, behavior and seedling establishment of Eupatorium species. Myforest 2002, 38, 191–200. [Google Scholar]
- Harris, I.; Jones, P.D.; Osborn, T.J.; Lister, D.H. Updated high-resolution grids of monthly climatic observations—The CRU TS3.10 Dataset. Int. J. Climatol. 2014, 34, 623–642. [Google Scholar] [CrossRef]
- Martin, T.; Marchese, J.; Sousa, A.; Curti, G.; Fogolari, H.; Cunha, V. Using the imagej software to estimate leaf area in bean crop. Interciencia 2013, 38, 843–848. [Google Scholar]
- Bates, D.; Machler, M.; Bolker, B.M.; Walker, S.C. Fitting Linear Mixed-Effects Models Using lme4. J. Stat. Softw. 2015, 67, 1–48. [Google Scholar] [CrossRef]
- Brooks, M.E.; Kristensen, K.; van Benthem, K.J.; Magnusson, A.; Berg, C.W.; Nielsen, A.; Skaug, H.J.; Machler, M.; Bolker, B.M. glmmTMB balances speed and flexibility among packages for zero-inflated generalized linear mixed modeling. R J. 2017, 9, 378–400. [Google Scholar] [CrossRef]
- Pritchard, J.K.; Stephens, M.; Donnelly, P. Inference of population structure using multilocus genotype data. Genetics 2000, 155, 945–959. [Google Scholar] [CrossRef] [PubMed]
- Li, W.T.; Zheng, Y.L.; Zhang, L.K.; Lei, Y.B.; Li, Y.P.; Liao, Z.Y.; Li, Z.P.; Feng, Y.L. Postintroduction evolution contributes to the successful invasion of Chromolaena odorata. Ecol. Evol. 2020, 10, 1252–1263. [Google Scholar] [CrossRef] [PubMed]
- Rosseel, Y. lavaan: An R package for structural equation modeling. J. Stat. Softw. 2012, 48, 1–36. [Google Scholar] [CrossRef]
- Fan, Y.; Chen, J.; Shirkey, G.; John, R.; Wu, S.R.; Park, H.; Shao, C. Applications of structural equation modeling (SEM) in ecological studies: An updated review. Ecol. Process. 2016, 5, 19. [Google Scholar] [CrossRef]
- Hierro, J.L.; Eren, Ö.; Khetsuriani, L.; Diaconu, A.; Török, K.; Montesinos, D.; Andonian, K.; Kikodze, D.; Janoian, L.; Villarreal, D.; et al. Germination responses of an invasive species in native and non-native ranges. OIKOS 2009, 118, 529–538. [Google Scholar] [CrossRef]
- Blossey, B.; Notzold, R. Evolution of increased competitive ability in invasive nonindigenous plants—A hypothesis. J. Ecol. 1995, 83, 887–889. [Google Scholar] [CrossRef]
- Daws, M.I.; Hall, J.; Flynn, S.; Pritchard, H.W. Do invasive species have bigger seeds? Evidence from intra- and inter-specific comparisons. S. Afr. J. Bot. 2007, 73, 138–143. [Google Scholar] [CrossRef]
- Herrera, A.M.; Carruthers, R.I.; Mills, N.J. Introduced populations of Genista monspessulana (French broom) are more dense and produce a greater seed rain in California, USA, than native populations in the Mediterranean Basin of Europe. Biol. Invasions 2011, 13, 369–380. [Google Scholar] [CrossRef]
- Hierro, J.L.; Eren, Ö.; Montesinos, D.; Andonian, K.; Kethsuriani, L.; Özcan, R.; Diaconu, A.; Török, K.; Cavieres, L.; French, K. Increments in weed seed size track global range expansion and contribute to colonization in a non-native region. Biol. Invasions 2019, 22, 969–982. [Google Scholar] [CrossRef]
- Graebner, R.C.; Callaway, R.M.; Montesinos, D. Invasive species grows faster, competes better, and shows greater evolution toward increased seed size and growth than exotic non-invasive congeners. Plant Ecol. 2012, 213, 545–553. [Google Scholar] [CrossRef]
- Kitajima, K.; Fenner, M. Ecology of seedling regeneration. CABI 2000, 331–359. [Google Scholar] [CrossRef]
- Wang, X.; Zhou, X.; Zhang, M.; Donohue, K.; Hou, M.; Li, J.; Ge, W.; Zhou, H.; Ma, L.; Yang, L.; et al. Climate and plant traits alter the relationship between seed dispersal and seed dormancy in alpine environment. Environ. Exp. Bot. 2024, 219, 105660. [Google Scholar] [CrossRef]




| Germination Rate (%) | Seed Mass (mg) | Pappus Length (mm) | Seed Numbers per Capitula | Terminal Velocity (m s−1) | Seedling Length (mm) | |
|---|---|---|---|---|---|---|
| Intercept | 68.41 *** | 0.02 *** | 0.49 *** | 12.11 ** | 89.87 *** | 35.53 *** |
| Range (R) | −21.31 *** | −0.005 ** | −0.12 | 8.21 ** | −17.56 *** | −10.03 * |
| PD | −0.001 | |||||
| TS | 0.02 * | |||||
| R*Climate | 0.0001 * |
| Code | Country/Region | Latitude | Longitude | Elevation (m asl) |
|---|---|---|---|---|
| Invasive populations | ||||
| BK | Thailand | 14°25′ N | 101°23′ E | 739 |
| JD | Yunnan, China | 24°17′ N | 100°50′ E | 1263 |
| ML | Yunnan, China | 21°56′ N | 101°15′ E | 544 |
| MY | Melaka, Malaysia | 2°22′ N | 102°21′ E | 50 |
| PH | Iligan, Philippines | 8°10′ N | 124°10′ E | 107 |
| SL | Kegalle, Sri Lanka | 7°11′ N | 80°25′ E | 451 |
| SM | Yunnan, China | 22°46′ N | 100°56′ E | 1380 |
| SY | Hainan, China | 18°19′ N | 109°12′ E | 23 |
| WX | Vientiane, Laos | 17°58′ N | 102°37′ E | 170 |
| YNS | Southern Vietnam | 11°20′ N | 107°24′ E | 125 |
| Native populations | ||||
| MCD | Tamaulipas, Mexico | 23°40′ N | 99°11′ W | 600 |
| MCY | Chiapas, Mexico | 16°44′ N | 93°09′ W | 640 |
| CUB | Pinar del Rio, Cuba | 22°45′ N | 82°50′ W | 565 |
| FAK | Collier, Florida, USA | 25°52′ N | 80°29′ W | 1324 |
| FBRO | Broward, Florida, USA | 26°08′ N | 80°06′ W | 3 |
| FMAR | Martin, Florida, USA | 27°06′ N | 80°15′ W | 3 |
| FMD | Miami, Florida, USA | 25°38′ N | 80°20′ W | 3 |
| MIC | Michoacan, Mexico | 18°51′ N | 103°37′ W | 950 |
| PM | Manati, Puerto Rico | 18°12′ N | 67°06′ W | 103 |
| PP | Ponce, Puerto Rico | 18°12′ N | 67°06′ W | 103 |
| T1 | Mamoral, Trinidad | 10°27′ N | 61°17′ W | 63 |
| T2 | Felicity, Trinidad | 10°31′ N | 61°25′ W | 10 |
Disclaimer/Publisher’s Note: The statements, opinions and data contained in all publications are solely those of the individual author(s) and contributor(s) and not of MDPI and/or the editor(s). MDPI and/or the editor(s) disclaim responsibility for any injury to people or property resulting from any ideas, methods, instructions or products referred to in the content. |
© 2024 by the authors. Licensee MDPI, Basel, Switzerland. This article is an open access article distributed under the terms and conditions of the Creative Commons Attribution (CC BY) license (https://creativecommons.org/licenses/by/4.0/).
Share and Cite
Li, Y.; Wang, G.; Geng, Y.; Li, J.; Feng, Y. Variation in Seed Morphological Traits Affects the Dispersal Strategies of Chromolaena odorata Following Invasion. Plants 2024, 13, 1747. https://doi.org/10.3390/plants13131747
Li Y, Wang G, Geng Y, Li J, Feng Y. Variation in Seed Morphological Traits Affects the Dispersal Strategies of Chromolaena odorata Following Invasion. Plants. 2024; 13(13):1747. https://doi.org/10.3390/plants13131747
Chicago/Turabian StyleLi, Yangping, Guofen Wang, Yupeng Geng, Ju Li, and Yulong Feng. 2024. "Variation in Seed Morphological Traits Affects the Dispersal Strategies of Chromolaena odorata Following Invasion" Plants 13, no. 13: 1747. https://doi.org/10.3390/plants13131747
APA StyleLi, Y., Wang, G., Geng, Y., Li, J., & Feng, Y. (2024). Variation in Seed Morphological Traits Affects the Dispersal Strategies of Chromolaena odorata Following Invasion. Plants, 13(13), 1747. https://doi.org/10.3390/plants13131747
