Abstract
In this study, we collected seven prevalent Taiwanese Desmodium plants, including three species with synonymous characteristics, in order to assess their antioxidant phytoconstituents and radical scavenging capacities. Additionally, we compared their inhibitory activities on monoamine oxidase (MAO) and 6-hydroxydopamine (6-OHDA) auto-oxidation. Subsequently, we evaluated the neuroprotective potential of D. pulchellum on 6-OHDA-induced nerve damage in SH-SY5Y cells and delved into the underlying neuroprotective mechanisms. Among the seven Desmodium species, D. pulchellum exhibited the most robust ABTS radical scavenging capacity and relative reducing power; correspondingly, it had the highest total phenolic and phenylpropanoid contents. Meanwhile, D. motorium showcased the best hydrogen peroxide scavenging capacity and, notably, D. sequax demonstrated remarkable prowess in DPPH radical and superoxide scavenging capacity, along with selective inhibitory activity against MAO-B. Of the aforementioned species, D. pulchellum emerged as the frontrunner in inhibiting 6-OHDA auto-oxidation and conferring neuroprotection against 6-OHDA-induced neuronal damage in the SH-SY5Y cells. Furthermore, D. pulchellum effectively mitigated the increase in intracellular ROS and MDA levels through restoring the activities of the intracellular antioxidant defense system. Therefore, we suggest that D. pulchellum possesses neuroprotective effects against 6-OHDA-induced neurotoxicity due to the radical scavenging capacity of its antioxidant phytoconstituents and its ability to restore intracellular antioxidant activities.
1. Introduction
Parkinson’s disease (PD) is a chronic neurodegenerative disorder affecting the central nervous system (CNS), typically afflicting individuals over the age of 55. Its primary clinical manifestations include motor impairments such as resting tremor, rigidity, bradykinesia, and postural instability, which stem from progressive neuronal degeneration in the nigrostriatal dopaminergic pathway. While remains a cornerstone therapeutic agent for PD, long-term treatment often leads to side effects such as levodopa-induced fluctuations and dyskinesias. In response, medical scientists have developed targeted drugs aimed at enhancing the activity of the central dopaminergic neuronal system, notably dopamine agonists, catechol-O-methyltransferase (COMT) inhibitors, and monoamine oxidase (MAO) inhibitors, particularly the latter [1]. MAO exists in two forms, MAO-A and MAO-B, each selectively distributed across various organs and preferentially metabolizing different neurotransmitters. MAO-A primarily metabolizes norepinephrine and serotonin, while MAO-B predominantly acts on dopamine. Consequently, their respective selective inhibitors have played pivotal roles in modulating neurotransmitter metabolism and have been utilized as therapeutic agents for conditions such as depression and PD [2]. Given that the oxidative deamination of dopamine catalyzed by MAO-B generates hydrogen peroxide and aldehydes, easily leading to oxidative damage in nerve cells, irreversible MAO-B inhibitors such as selegiline and rasagiline have demonstrated antioxidant and neuroprotective properties in in vitro and in vivo PD models. As a result, MAO-B inhibitors have been recognized for their multifaceted pharmacological activities and employed by clinicians in the management of PD [3]. Some researchers are actively exploring the potential of plant-derived or natural products with MAO-B inhibitory activity and neuroprotective effects as promising therapeutic agents for PD [4].
The causes of PD are multifactorial, encompassing genetic predisposition, infections, and exposure to environmental toxins. Epidemiological investigations have linked chronic exposure to herbicides and pesticides with an increased risk of PD. The induction of Parkinsonism by 1-methyl-4-phenyl-1,2,3,6-tetrahydropyridine (MPTP) strongly supports the environmental toxin theory of PD. Additionally, subsequent research has revealed that the herbicide paraquat and the pesticide rotenone can also trigger PD-like symptoms [5]. These effects of these environmental toxins elucidate several key neuropathological mechanisms underlying PD. Two major hypotheses have emerged regarding the pathogenesis of PD. One prominent theory implicates mitochondrial dysfunction and subsequent oxidative stress, particularly involving toxic oxidative dopamine (DA) species such as DA-quinone. The metabolite 1-methyl-4-phenylpyridium (MPP+) derived from the metabolism of MPTP by MAO-B or rotenone selectively inhibits mitochondrial complex I of the electron transport chain. This inhibition disrupts oxidative phosphorylation, impairs ATP production, and elevates the generation of reactive oxygen species (ROS). Under normal circumstances in dopaminergic neurons, dopamine auto-oxidation and dopamine metabolism are prone to produce large amounts of ROS, not to mention the presence of the above-mentioned environmental toxins. Excessive ROS production leads to aberrant protein processing and triggers the apoptosis of dopaminergic neurons. Consequently, targeting cellular redox homeostasis to mitigate intracellular oxidative stress represents a promising therapeutic approach for PD [6]. Building upon these insights into PD neuropathology, 6-hydroxxydoppamine (6-OHDA) and rotenone are commonly employed as tools to establish in vitro and in vivo models replicating PD-relevant neuropathology and behavioral phenotypes. These models facilitate the assessment of the potential efficacy of plants, natural products, or compounds as therapeutic interventions for the prevention and treatment of PD [7].
The genus Desmodium, a member of the Fabaceae family, has a long history of use as traditional folk medicine in Taiwan. There are approximately 350 species of this genus Desmodium worldwide, primarily found in tropical and subtropical regions, with about 48 species recognized for their medicinal properties [8]. In Taiwan’s Flora, eighteen species have been recorded, with sixteen being native [9]. Notably, ten of these species, including D. caudatum (Thunb.) DC., D. gangeticum (L.) DC., D. heterocarpon (L.) DC., D. heteropyllum (Willd.) DC., D. laxiflorum DC., D. microphyllum (Thunb.) DC., D. multiflorum DC., D. renifolium (L.) Schindl., D. sequax Wall., and D. triflorum (L.) DC. are recognized for their medicinal value, often employed in treating various ailments such as cardiovascular syndromes, hepatitis, pneumonia, nephritis, and parasitic diseases. Recent pharmacological studies have revealed the diverse therapeutic effects of Desmodium plants, including their antioxidant, anti-inflammatory, cardioprotective, hepatoprotective, sedative, and antipyretic properties [8,10,11,12,13]. Their phytoconstituents include flavonoids, phenylpropanoids, phenolic compounds, and alkaloids, with the former two being the main classes [8,10]. Notably, three commonly used species in Taiwan that were initially classified under the Desmodium genus are now listed under different genera in “The Plant List”. The accepted scientific names of these three homotopic synonym species including D. motorium (Houtt.) Merr., D. pulchellum (L.) Benth., and D. triquetrum (L.) DC. are Codariocalyx motorium (Houtt.) H. Ohashi., Phyllodium pulchellum (L.) Desv., and Tadehagi triquestrum (L.) H. Ohashi. in “The Plant List” (http://www.theplantlist.org, accessed on 16 May 2024), respectively. The traditional uses and pharmacological properties of these three species are the same as those of the above-mentioned Desmodium species [8,14,15]. Furthermore, Cai’s report has indicated that D. pulchellum has MAO inhibitory activity [16]. However, there have been few scientific studies reporting the neuroprotective activities of the Desmodium species. Therefore, we collected seven common Desmodium plants, including the three homotopic synonym species from Taiwan’s wild low-altitude areas. Initially, this investigation involved comparing the radical scavenging capacities of the seven Desmodium species against 2,2-diphenyl-1-picrylhydrazyl (DPPH), 2,2′-azino-bis(3-ethylbenzothiazoline-6-sulphonic acid) (ABTS), and ROS using microtiter spectrophotometric and spectrofluorimetric methods in vitro. As the radical scavenging capacities of plants are closely associated with their reducing power [17], we also compared the relative reducing power of the seven Desmodium species. As phenolic compounds, flavonoids, and phenylpropanoids are the major antioxidant phytoconstituents of Desmodium species [8,10], the total phenolic, flavonoid, and phenylpropanoid contents in the seven Desmodium species were also quantified. Subsequently, the inhibitory activities of the seven Desmodium species on MAO-A and MAO-B were further analyzed. We then evaluated and compared the effects of the three Desmodium plants with higher antioxidant contents and superior radical scavenging capacities on 6-OHDA auto-oxidation and neuronal damage induced by 6-OHDA and rotenone in SH-SY5Y cells. Finally, we delved into the neuroprotective mechanism of D. pulchellum against 6-OHDA-induced neuronal damage in human neuroblastoma SH-SY5Y cells. Our comprehensive study aims to elucidate the neuroprotective potential of the Desmodium species, shedding light on their therapeutic applications in the context of neurological disorders, especially PD.
2. Results
2.1. Antioxidant Phytoconstituent Contents of Seven Desmodium Plants
Phenolic compounds represent a significant class of secondary metabolites found widely across plant species. These compounds endow plants with antioxidant properties and various biological activities, including anti-inflammatory and neuroprotective effects [18]. Consequently, the total phenolic content serves as an important indicator of a medicinal plant’s biological activity and potential medicinal value. Folin–Ciocalteu’s phenol (FCP) method, based on the formation of blue complexes through redox reactions, offers high sensitivity and accuracy for the spectrophotometric determination of phenolic compounds [17,19]. (+)-Catechin, a member of the flavan-3-ol subclass, was used as a reference standard. Over the concentration range of 0–250 μg/mL, a highly linear relationship between concentration and absorbance was observed (y = 0.0097x − 0.0026, R2 = 0.998). The absorbance values of all the methanolic filtrates of the Desmodium plants (5 mg/mL) fell within this linear range. Upon conversion using the provided linear formula, the total phenolic content present in the Desmodium plants is depicted in Figure 1A. Among the seven Desmodium plants, D. pulchellum contained the highest total phenolic content, followed by D. motorium and D. sequax, while D. gangeticum displayed the lowest content.
Figure 1.
The antioxidant phytoconstituent contents of the methanolic filtrates of the seven Desmodium plants. (A) Total phenolic contents; (B) total flavonoid contents; (C) total phenylpropanoid contents. D. caudatum: Desmodium caudatum (Thunb.) DC.; D. gangeticum: Desmodium gangeticum (L.) DC.; D. motorium: Desmodium motorium (Houtt.) Merr.; D. pulchellum: Desmodium pulchellum (L.) Benth.; D. sequax: Desmodium sequax Wall.; D. triflorum: Desmodium triflorum (L.) DC.; D. triquetrum: Desmodium triquetrum (L.) DC.
Similar to other phenolic compounds, flavonoids are renowned for their antioxidant properties and diverse pharmacological activities [20,21]. The total flavonoid content also serves as a significant parameter in assessing the potential medicinal value of a plant. Aluminum solution reacts with flavonoids such as flavonols or flavan-3-ol to form an aluminum–flavonoid complex through ion chelating reactions [22]. The flavonol compound quercetin was used as a reference standard. There is a highly linear relationship between concentration (0–250 μg/mL) and absorbance which was observed (y = 0.0025x − 0.0057, R2 = 0.999). The absorbance values of all the methanolic filtrates of the Desmodium plants (10 mg/mL) were within the calibration linear range of quercetin. Based on the provided linear formula, the total flavonoid content present in the Desmodium plants is depicted in Figure 1B. D. motorium contained the highest total flavonoid content, followed by D. pulchellum and D. triflorum, while D. triquetrum displayed the lowest content.
Phenylpropanoids are a class of secondary metabolites synthesized from phenylalanine and tyrosine through the shikimic acid pathway, serving as intermediate compounds in the biosynthesis of various plant defense secondary metabolites such as flavonoids, coumarins, lignins, and stilbenes. Similarly to phenolic compounds and flavonoids, phenylpropanoids are also recognized for their antioxidant properties and diverse pharmacological activities [23]. Arnow reagent, comprising a mixture of sodium molybdate and sodium nitrite, reacts with phenylpropanoids (dihydroxycinnamic derivatives) [24]. The phenylethanoid glycoside verbascoside was used as a reference standard. There is a highly linear relationship between concentration (0–100 μg/mL) and absorbance which was observed (y = 0.0007x + 0.0245, R2 = 0.993). The absorbance values of all the methanolic filtrates of Desmodium plants (1 mg/mL) were within the calibration linear range of quercetin. According to the above linear formula, the total phenylpropanoid content present in the Desmodium plants is depicted in Figure 1C. D. pulchellum contained the highest total phenylpropanoid content, followed by D. motorium and D. sequax, while D. gangeticum displayed the lowest content.
2.2. Radical Scavenging Capacities of Seven Desmodium Plants
The DPPH radical is a stable nitrogen radical which has a maximum absorption at 517 nm, resulting in a deep violet color. When an electron or hydrogen atom is donated from plant extracts or natural products, the DPPH solution turns colorless or pale yellow; consequently, the absorbance value at 517 nm decreases. This assay has been widely used for assessing the antioxidant activity of plant extracts or natural products [25]. In this investigation, the absorbance of the DPPH radical (300 μM) at 517 nm was approximately 0.92. The reference standard (+)-Catechin exhibited significant scavenging ability for the DPPH radicals at concentrations ranging from 0 to 25 μg/mL. A strong linear relationship between concentration and scavenging ability was observed (R2 = 0.995), with an IC50 value of 14.09 ± 0.17 μg/mL for (+)-Catechin against the DPPH radicals. The scavenging percentages of all the methanolic filtrates of Desmodium plants (at 0–5 mg/mL) against the DPPH radicals also displayed a concentration-dependent linear relationship (R2 = 0.982–0.995). Based on the relative conversion of the Desmodium plants and reference standard (+)-catechin at the concentration that provides 50% DPPH scavenging, the DPPH scavenging capacities of these Desmodium plants relative to (+)-catechin (i.e., (+)-catechin equivalent of the DPPH radical scavenging capability, CEDSC) are shown in Figure 2A. D. sequax exhibited the highest DPPH radical scavenging capacity, followed by D. pulchellum and D. motorium, while D. gangeticum demonstrated the lowest capacity.
Figure 2.
The radical scavenging capacities of the methanolic filtrates of the seven Desmodium plants. (A) DPPH assay; (B) TEAC assay; (C) RRP test. D. caudatum: Desmodium caudatum (Thunb.) DC.; D. gangeticum: Desmodium gangeticum (L.) DC.; D. motorium: Desmodium motorium (Houtt.) Merr.; D. pulchellum: Desmodium pulchellum (L.) Benth.; D. sequax: Desmodium sequax Wall.; D. triflorum: Desmodium triflorum (L.) DC.; D. triquetrum: Desmodium triquetrum (L.) DC.; CEDSC: (+)-catechin equivalent of DPPH radical scavenging capacity; DPPH: 1,1-diphenyl-2-picryhydrazyl; RRP: relative reducing power; TEAC: Trolox equivalent antioxidant capacity.
The ABTS method commonly employs Trolox as a positive control and compares the reactivity of test antioxidants with it; hence, it is often referred to as the Trolox equivalent antioxidant capacity (TEAC) assay. This assay is also widely used to evaluate the antioxidant activity of crude plant extracts or purified compounds [25,26]. In this investigation, the absorbance of ABTS radical (8 mM) at 734 nm was approximately 0.73. The reference standard Trolox exhibited effective scavenging ability for the ABTS radicals at concentrations ranging from 0 to 50 µM, showing a highly linear relationship between concentration and scavenging ability (R2 = 0.999), with an IC50 value of Trolox for the ABTS radicals of 28.61 ± 1.24 μM. The scavenging percentages of all the methanolic filtrates of the Desmodium plants (at 0–5 mg/mL) for the ABTS radicals also showed a concentration-dependent linear relationship (R2 = 0.985–0.993). According to the equivalent activity of the Desmodium plants and the reference standard Trolox at concentrations providing 50% ABTS scavenging, the ABTS scavenging capacities of the Desmodium plants relative to Trolox (TEAC values) are illustrated in Figure 2B. D. pulchellum exhibited the highest ABTS radical scavenging capacity, followed by D. sequax and D. motorium, while D. gangeticum displayed the lowest capacity.
The relative reducing power (RRP) assay relies on the electron-donating activity of plant extracts, natural products, or compounds, thereby facilitating the reduction of Fe3+ [17]. In this investigation, the RRP of the reference standard ascorbic acid exhibited a strong linear relationship within the concentration range of 0–20 µM (R2 = 0.995). Similarly, the RRP of all the methanolic filtrates of the Desmodium plants also displayed a concentration-dependent linear relationship within the concentration range of 0–2.5 mg/mL (R2 = 0.990–0.999). Comparing the linear slope between the concentration and absorbance of the Desmodium plants with the reference standard (ascorbic acid), the RRP values of these Desmodium plants relative to ascorbate were determined, as illustrated in Figure 2C. D. pulchellum exhibited the highest reducing power, followed by D. sequax and D. motorium, while D. gangeticum displayed the lowest capacity.
ROS are the byproducts of normal oxygen metabolism in cells and organisms. Due to their high reactivity as free radicals, they can readily induce oxidative damage to cells and tissues. ROS typically encompass superoxide, hydrogen peroxide, and hydroxyl radical. Superoxide, an initial ROS, is primarily generated through intracellular metabolic reactions, notably from the mitochondrial respiratory chain—particularly complex I and complex III—as well as from enzymatic reactions such as the conversion of xanthine to uric acid and hydrogen peroxide by xanthine oxidase in various cell types [27]. In this investigation, superoxide production was simulated by mimicking the physiological reaction between xanthine and xanthine oxidase, quantified by the absorbance value of formazan blue dye resulting from the reduction of nitroblue tetrazolium (NBT) through generated superoxide. As superoxide is primarily detoxified through dismutation by intracellular superoxide dismutase (SOD), SOD serves as a reference standard for assessing superoxide scavenging capacity. The reduction rate of NBT through the reaction of xanthine and xanthine oxidase was approximately 30.5. The reference standard SOD exhibited effective scavenging ability for superoxide at concentrations ranging from 0 to 500 mU/mL, showing a strong logarithmic relationship between concentration and scavenging ability (R2 = 0.985), with an IC50 value of 144.74 ± 5.66 mU/mL. The methanolic filtrates of the Desmodium plants (at 0–10 mg/mL) also displayed concentration-dependent scavenging activities for superoxide, with a logarithmic relationship (R2 = 0.981–0.993). According to the equivalent activity of the Desmodium plants and reference standard SOD at the concentration that provides 50% superoxide scavenging, the superoxide scavenging capacities of these Desmodium plants relative to SOD (SOD equivalent) are illustrated in Figure 3A. D. sequax exhibited the highest superoxide scavenging capacity, followed by D. pulchellum and D. motorium, while D. gangeticum showed the lowest capacity.
Figure 3.
The ROS scavenging capacities of the methanolic filtrates of the seven Desmodium plants. (A) O2− scavenging assay; (B) H2O2 scavenging assay; (C) OH− scavenging assay. D. caudatum: Desmodium caudatum (Thunb.) DC.; D. gangeticum: Desmodium gangeticum (L.) DC.; D. motorium: Desmodium motorium (Houtt.) Merr.; D. pulchellum: Desmodium pulchellum (L.) Benth.; D. sequax: Desmodium sequax Wall.; D. triflorum: Desmodium triflorum (L.) DC.; D. triquetrum: Desmodium triquetrum (L.) DC.; SOD: superoxide dismutase.
Hydrogen peroxide, primarily formed from the monovalent reduction of superoxide by SOD or the divalent reduction of oxygen by xanthine oxidase, is relatively inert and non-cytotoxic at or below concentrations of about 20–50 μM. However, excessive hydrogen peroxide entering cells can lead to the generation of the highly reactive hydroxyl radical in the presence of metal ions, potentially causing cellular damage [28]. In this investigation, the hydrogen peroxide scavenging capacities of the methanolic filtrate of Desmodium plants were assessed based on the H2O2-dependent oxidation of homovanillic acid (3-methoxy-4-hydroxyphenylacetic acid, HVA) to a highly fluorescent dimer (2,2′-dihydroxy-3,3′-dimethoxydiphenyl-5,5′-diacetic acid), catalyzed by horseradish peroxidase. The fluorescence intensity of HVA in the presence of hydrogen peroxide (500 µM) at 425 nm was approximately 24,750. The reference standard Trolox exhibited effective scavenging ability for hydrogen peroxide at concentrations ranging from 0 to 100 μM, showing a strong linear relationship between concentration and scavenging ability (R2 = 0.997), with an IC50 value of Trolox for the hydrogen peroxide radicals of 61.02 ± 1.22 μM. The methanolic filtrates of the Desmodium plants (at 0–5 mg/mL) also exhibited concentration-dependent scavenging activities for hydrogen peroxide with a linear relationship (R2 = 0.985–0.989). Based on the relative conversion of the Desmodium plants and reference standard Trolox at the concentration that provides 50% hydrogen peroxide scavenging, the hydrogen peroxide scavenging capacities of these Desmodium plants relative to Trolox (Trolox equivalent) are illustrated in Figure 3B. D. motorium exhibited the highest hydrogen peroxide scavenging capacity, followed by D. triquetrum and D. pulchellum, while D. gangeticum showed the lowest capacity.
Finally, the hydroxyl radical—a highly reactive oxygen species in cells—is primarily formed through the Fenton reaction, where hydrogen peroxide reacts with metal ions such as copper or iron. It attacks lipids, polypeptides, proteins, and nucleic acids in the cell membrane, cytosol, and nucleus to cause cell damage and death [29]. Due to the high reaction of hydroxyl radicals, the scavenging activity of the hydroxyl radical is a necessary item in evaluating the ROS scavenging activity of plants and natural products. Therefore, the Fenton reaction was established in vitro with hydrogen peroxide and ferrous sulfate. Luminol chemiluminescence is a very sensitive method for the monitoring of hydroxyl radicals [30]. In this investigation, the luminescence intensity of luminol (2 mM) in the Fenton reaction of hydrogen peroxide and ferrous sulfate was approximately 20,816. The reference standard Trolox exhibited effective scavenging ability for the hydroxyl radicals at concentrations ranging from 0 to 500 mU/mL, showing a strong logarithmic relationship (R2 = 0.989), with an IC50 value of Trolox for the hydroxyl radicals of 19.79 ± 0.91 μg/mL. The scavenging percentages of all the methanolic filtrates of the Desmodium plants (at 0–5 mg/mL) for the hydroxyl radical also presented a Log-linear relationship (R2 = 0.971–0.992). According to equivalent activity of the Desmodium plants and reference standard Trolox at the concentration that provide 50% hydroxyl radical scavenging, the hydroxyl radical scavenging capacities of these Desmodium plants relative to Trolox (Trolox equivalent) are illustrated in Figure 3C. D. triquetrum exhibited the highest hydroxyl radical scavenging capacity, followed by D. pulchellum and D. caudatum, while D. triflora showed the lowest capacity.
Additionally, we conducted a Pearson correlation analysis to examine the relationships between the aforementioned antioxidant phytoconstituent contents and radical scavenging capacities across the seven Desmodium plants. The results are presented in Table 1, revealing significant positive correlations between certain capacities and contents. Notably, there was a strong positive correlation between total phenolic contents and several radical scavenging capacities, including DPPH radical, ABTS radical, and superoxide (r = 0.835, 0.98, and 0.848; p < 0.05, p < 0.01, and p < 0.05, respectively). These above radical scavenging capacities—encompassing DPPH radical, ABTS radical, and superoxide—also exhibited highly positive correlations with the total phenylpropanoid contents (r = 0.854, 0.903, and 0.83, respectively; all p < 0.05). Moreover, the relative reducing power demonstrated strong correlations with total phenolic contents (r = 0.978; p < 0.01) and phenylpropanoid contents (r = 0.892; p < 0.05). Furthermore, there was a positive and high correlation between the relative reducing power and the aforementioned radical scavenging capacities (DPPH radical, ABTS radical, and superoxide; r = 0.93, 0.995, and 0.939, respectively; all p < 0.01).
Table 1.
Pearson correlation coefficients (r) between the contents of antioxidant phytoconstituents and radical scavenging capacities of the Desmodium plants.
Subsequently, we calculated the relative reducing ability per milligram of total phenolic contents in the seven Desmodium plants, and then analyzed the Pearson correlation and linear relationship between this relative phenolic-reducing ability and radical scavenging capacities. The results, depicted in Figure 4, indicate a significant Pearson correlation and linear relationship between the relative reducing power of total phenolics in the seven Desmodium plants and the radical scavenging capacities against the DPPH radical and superoxide (r = 0.965 and 0.945, respectively; both p < 0.01).
Figure 4.
The linear relationship between the relative reducing power of total phenolics and the radical scavenging capacities of the methanolic filtrates of the seven Desmodium plants. CEDSC: (+)-catechin equivalent of DPPH radical scavenging capacity; DPPH: 1,1-diphenyl-2-picryhydrazyl; RRP: relative reducing power.
2.3. MAO Inhibitory Activities of Seven Desmodium Plants
The MAO inhibitory activities of the methanolic filtrates of the Desmodium plants were assessed using kynuramine as a nonselective substrate. Kynuramine undergoes deamination by MAO to produce 4-hydroxyquinoline, whose fluorescence intensity was measured using a fluorescence reader. To discern the inhibitory effects of the methanolic filtrate of the Desmodium plants on MAO-B and MAO-A, the selective MAO-A inhibitor clorgyline and MAO-B inhibitor pargyline were employed. In the present investigation, there was a good linear relationship (R2 = 0.999) between the concentration (0–12.5 µM) and fluorescence intensity of 4-hydroxyquinoline. The pretreatment of brain homogenate solely with pargyline (excluding the methanolic filtrate of the Desmodium plants) was considered as 100% MAO-A activity. The MAO inhibitory percentages of all the methanolic filtrates of the Desmodium plants (at 0–25 mg/mL) for the MAO-A activity exhibited a concentration-dependent relationship (R2 = 0.977–0.993). The IC50 values for the MAO-A activity of all the methanolic filtrates of the Desmodium plants are presented in Table 2. Among the seven Desmodium plants, D. motorium demonstrated the most potent inhibitory activity on MAO-A, followed by D. caudatum and D. triquetrum, whereas D. sequax exhibited the weakest inhibitory activity on MAO-A. Similarly, the pretreatment of brain homogenate solely with clorgyline (excluding the methanolic filtrate of the Desmodium plants) was considered as 100% MAO-B activity. The MAO inhibitory percentages of all the methanolic filtrates of the Desmodium plants (at 0–25 mg/mL) for the MAO-B activity also showed a concentration-dependent relationship (R2 = 0.985–0.998). The IC50 values for the MAO-B activity of all the methanolic filtrates of the Desmodium plants are presented in Table 2. D. sequax exhibited the most potent inhibitory activity on MAO-B, followed by D. motorium and D. triflorum, while D. pulchellum showed the weakest inhibitory activity on MAO-B. Furthermore, we conducted a ratio analysis of IC50 values with respect to MAO-B and MAO-A for the seven Desmodium plants in order to confirm their relative selective inhibitory effects on MAO-B and MAO-A. D. sequax displayed the best selective inhibitory activity on MAO-B, whereas D. motorium exhibited the best selective inhibitory activity on MAO-A.
Table 2.
The MAO inhibitory activities of the methanolic filtrates of the seven Desmodium plants.
2.4. 6-OHDA Auto-Oxidation Inhibition of Three Desmodium Plants
The compound 6-OHDA, derived from dopamine, is highly unstable and prone to auto-oxidation, resulting in the formation of the intermediate p-quinone and ROS such as superoxide and hydrogen peroxide. The toxicity of 6-OHDA is directly linked to the levels of the intermediate p-quinone generated during this process. When p-quinone is produced from 6-OHDA, it has a maximum absorption at 490 nm. Thus, an analytical method for 6-OHDA auto-oxidation inhibition can serve as an initial assessment to determine whether crude extracts or purified compounds from plants possess protective effects against 6-OHDA-induced neuronal damage [31]. Following the assessment of the radical scavenging capacities of the seven Desmodium plants, the three species (D. pulchellum, D. sequax, and D. motorium) exhibiting the highest radical scavenging capacities were selected for further evaluation of their inhibitory effects against 6-OHDA auto-oxidation, with NAC (N-acetylcysteine) serving as a positive control. The inhibitory activities of the three Desmodium plants, along with NAC, against 6-OHDA auto-oxidation are depicted in Figure 5. It can be observed that the inhibitory activities of the three Desmodium plants against 6-OHDA auto-oxidation were concentration-dependent in the range from 25 to 500 μg/mL. Among them, D. pulchellum exhibited the most significant inhibitory effects (p < 0.05, p < 0.01, p < 0.001), followed by D. motorium and D. sequax (p < 0.05, p < 0.01, p < 0.001). NAC demonstrated remarkable inhibitory effects, achieving inhibition percentages of 83% to 88% at the concentrations of 1 and 2 mM (p < 0.001).
Figure 5.
Inhibitory activities of the methanolic extracts of the three Desmodium plants (25, 50, 100, 250, and 500 μg/mL) and NAC (1 and 2 mM) against 6-OHDA (25 μM) auto-oxidation. The results are expressed as the mean ± SD (n = 3). * p < 0.05, ** p < 0.01, and *** p < 0.001, compared with the VEH/6-OHDA group. D. motorium: Desmodium motorium (Houtt.) Merr.; D. pulchellum: Desmodium pulchellum (L.) Benth.; D. sequax: Desmodium sequax Wall.; 6-OHDA: 6-hydroxydopamine; NAC: N-acetylcysteine; VEH: vehicle.
2.5. Protective Effects against 6-OHDA-Induced or Rotenone-Induced Neurotoxicity in SH-SY5Y Cells
The human neuroblastoma SH-SY5Y cell line, possessing catecholaminergic and neuronal properties which express tyrosine hydroxylase and dopamine β-hydroxylase to synthesize dopamine and noradrenaline, is often regarded as an important in vitro model for investigating the intracellular molecular pathways of neural cells and developing neuroprotective drugs for neurodegenerative diseases, especially Alzheimer’s disease (AD) or PD [32]. Utilizing the dopaminergic neurotoxin 6-OHDA is a common method to establish both in vitro and in vivo PD models, allowing for the assessment of the efficacy of potential treatments derived from plants, natural products, or compounds. Referring to previous studies [33], 25 μM 6-OHDA was used to induce neuronal damage in this study, resulting in a significant reduction in cell viability at 24 h post-treatment (58.4 ± 2.8%; p < 0.001) (Figure 6A). Among the tested Desmodium plants (D. pulchellum, D. sequax, and D. motorium) chosen for their potent radical scavenging capabilities, we observed promising neuroprotective effects against 6-OHDA-induced neuronal damage. NAC was also utilized as a positive control. The neuroprotective activities of the three Desmodium plants and NAC against 6-OHDA neuronal damage are shown in Figure 6. Concentration-dependent responses are evident, with all three Desmodium species (25–500 μg/mL) exhibiting the ability to mitigate 6-OHDA-induced neuronal damage. Notably, D. pulchellum demonstrated the most pronounced reversal of decreased cell viability induced by 6-OHDA (p < 0.001), while D. motorium and D. sequax had the equivalent effects of reversing cell viability (p < 0.01, p < 0.001). Additionally, NAC showed comparable efficacy in restoring cell viability at the tested concentrations (1 and 2 mM), with its effect at 2 mM equivalent to that of D. motorium or D. sequax at 500 μg/mL (p < 0.001; Figure 6A).
Figure 6.
The protective effects of the methanolic extracts of the three Desmodium plants (25, 50, 100, 250, and 500 μg/mL) and NAC (1 and 2 mM) against 6-OHDA (25 μM)-induced or rotenone (1 μM)-induced neurotoxicity in the SH-SY5Y cells. (A) 6-OHDA; (B) rotenone. The results are expressed as the mean ± SD (n = 4). * p < 0.05, ** p < 0.01, and *** p < 0.001, compared with the VEH/6-OHDA group. D. motorium: Desmodium motorium (Houtt.) Merr.; D. pulchellum: Desmodium pulchellum (L.) Benth.; D. sequax: Desmodium sequax Wall.; 6-OHDA: 6-hydroxydopamine; NAC: N-acetylcysteine; VEH: vehicle.
Rotenone, a natural lipophilic pesticide derived from the Fabaceae family, readily penetrates the blood–brain barrier (BBB) to reach the nigrostriatal dopaminergic neuronal pathway. It can specifically induce neurotoxicity in dopaminergic neurons through interrupting the mitochondrial complex I of the electron transport chain, leading to the generation of ROS. We further evaluated the neuroprotective properties of the three Desmodium plants against rotenone-induced neuronal damage in the SH-SY5Y cells. Following rotenone exposure for 24 h, cell viability decreased significantly (47.2 ± 1.5%; p < 0.001; Figure 6B). Similar to the observations with 6-OHDA, all three Desmodium plants (25–500 μg/mL) possessed concentration-dependent neuroprotective effects against rotenone-induced neuronal damage. Once again, D. pulchellum demonstrated the most potent reversal of decreased cell viability induced by rotenone (p < 0.05, p < 0.01, p < 0.001), followed by D. motorium and D. sequax (p < 0.01, p < 0.001). NAC also demonstrated significant efficacy in restoring cell viability, with its effect at 1 mM equivalent to that of D. motorium or D. sequax at 500 μg/mL (p < 0.001; Figure 6B).
2.6. Intracellular ROS Levels and Antioxidant Enzymes Activities in 6-OHDA-Treated SH-SY5Y Cells
As the generation of ROS is an intermediate process in 6-OHDA- or rotenone-induced neurotoxicity, this study employed a non-fluorescent probe, 2′,7′-dichloro-dihydro fluorescein diacetate (DCFH-DA), to label intracellular ROS. DCFH-DA has been widely utilized as a fluorescent probe for detecting intracellular ROS levels as it can freely penetrate cell membranes and is hydrolyzed by intracellular esterases to produce dichloro-dihydro fluorescein (DCFH). Upon the production of intracellular ROS from 6-OHDA or rotenone treatment, DCFH is oxidized by intracellular ROS and converted into the fluorescent compound 2′,7′-fluorescein (DCF). Subsequently, the intensity of DCF fluorescence can be quantified using a fluorescent microplate reader [34]. Given that D. pulchellum demonstrated the most significant reversing effects on the decreased cell viability induced by 6-OHDA in the SH-SY5Y cells, we focused solely on evaluating the effects of D. pulchellum on the increase in the intracellular ROS levels caused by the 6-OHDA treatment. At 24 h after the 6-OHDA treatment, the fluorescent intensity in the SH-SY5Y cells was enhanced by 6-OHDA to 590.5 ± 37.2%, compared to the control group (100%; see Figure 7). D. pulchellum (25–250 μg/mL) effectively attenuated the increase in the intracellular ROS levels caused by 6-OHDA in a concentration-dependent manner, with the highest concentration (250 µg/mL) reducing approximately half of the increase in the fluorescence intensity (p < 0.001). NAC at 2 mM resulted in a reduction of approximately 80% in the increase in the fluorescent intensity induced by 6-OHDA (p < 0.001; Figure 7).
Figure 7.
Effects of the methanolic extracts of Desmodium pulchellum (25, 50, 100, and 250 μg/mL) and NAC (2 mM) on the intracellular ROS levels in the 6-OHDA (25 μM)-treated SH-SY5Y cells. The results are expressed as the mean ± SD (n = 4). *** p < 0.001, compared with the VEH/6-OHDA group. D. pulchellum: Desmodium pulchellum (L.) Benth.; 6-OHDA: 6-hydroxydopamine; NAC: N-acetylcysteine; VEH: vehicle.
In general, intracellular ROS levels and antioxidant defense systems maintain a delicate balance to sustain normal cellular function and survival. However, the overproduction of intracellular ROS in response to external infections, internal inflammation, or various stimuli can disrupt this balance, leading to intracellular oxidative stress. ROS indiscriminately attack intracellular molecules such as carbohydrates, nucleic acids, lipids, and proteins, resulting in oxidative damage and alterations in cell structure and function. Ultimately, this oxidative damage can lead to cellular injury and contribute to the development of various diseases, including aging, cancer, and neurodegenerative disorders [35]. Intracellular antioxidant defense systems can be categorized into nonenzymatic and enzymatic systems. Glutathione (GSH), composed of glycine, cysteine, and glutamic acid, is a prominent intracellular nonenzymatic antioxidant. Given its ability to directly scavenge ROS, the intracellular GSH content serves as a crucial indicator of intracellular oxidative stress and the efficacy of antioxidant defense mechanisms [36]. Under the conditions of oxidative stress, lipids, particularly polyunsaturated fatty acids, are highly susceptible to oxidative damage within cells. Malondialdehyde (MDA) serves as a reliable biomarker of cellular oxidative stress, as it is one of the end-products of polyunsaturated fatty acid peroxidation [37]. To assess the impact of antioxidant capacity on the neuroprotective effects of D. pulchellum against 6-OHDA-induced neuronal damage, we evaluated the levels of GSH and MDA in the SH-SY5Y cells. Our findings, obtained 24 h after the 6-OHDA treatment, revealed decreased intracellular GSH levels and increased intracellular MDA levels in the 6-OHDA-treated SH-SY5Y cells compared to the control group (p < 0.001) (Figure 8). The treatment with D. pulchellum (50–250 μg/mL) effectively reversed this phenomenon induced by 6-OHDA in a concentration-dependent manner (p < 0.05, p < 0.01, p < 0.001). Similarly, the treatment with NAC at 2 mM significantly attenuated the changes induced by 6-OHDA (p < 0.001; Figure 8).
Figure 8.
Effects of the methanolic extracts of Desmodium pulchellum (25, 50, 100, and 250 μg/mL) and NAC (2 mM) on the intracellular GSH contents and MDA levels in the 6-OHDA (25 μM)-treated SH-SY5Y cells. (A) GSH contents; (B) MDA levels. The results are expressed as the mean ± SD (n = 4). * p < 0.05, *** p < 0.001, compared with the VEH/6-OHDA group. D. pulchellum: Desmodium pulchellum (L.) Benth.; 6-OHDA: 6-hydroxydopamine; GSH: glutathione; MDA: malondialdehyde; NAC: N-acetylcysteine; VEH: vehicle.
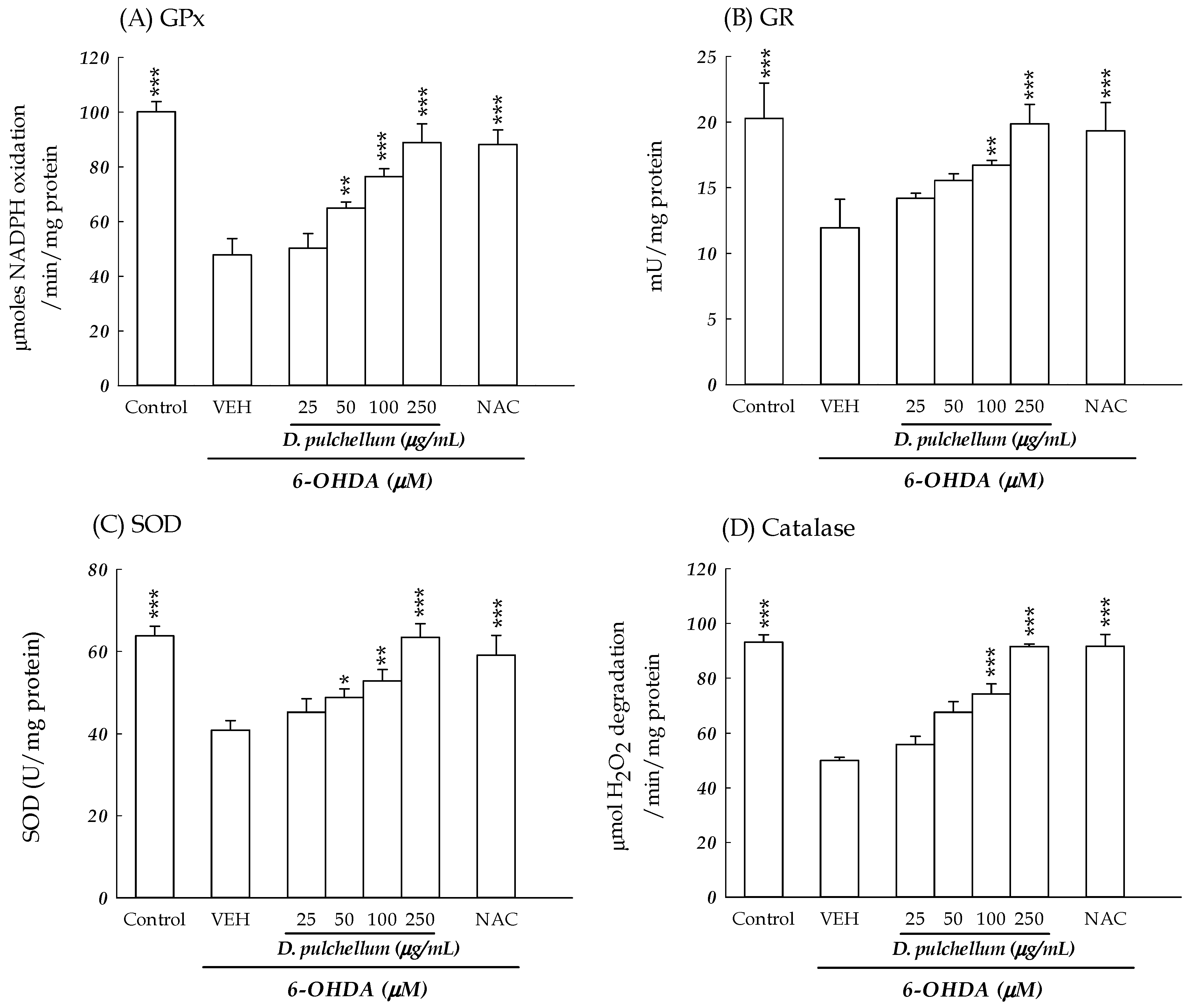
Superoxide dismutase (SOD), catalase, glutathione peroxidase (GPx), and glutathione reductase (GR) represent the primary enzymatic defense system against intracellular oxidative stress. SOD functions to neutralize superoxide radicals, converting them into hydrogen peroxide (H2O2), which is further broken down to water by catalase and GPx. To investigate the impact of antioxidant capacity on the neuroprotective effects of D. pulchellum against 6-OHDA-induced neuronal damage, we evaluated the activities of SOD, catalase, GPx, and GR in the SH-SY5Y cells. At 24 h following the 6-OHDA treatment, our findings indicated a reduction in antioxidant enzyme activities in the 6-OHDA-treated SH-SY5Y cells compared to the control group (p < 0.001; Figure 9). The treatment with D. pulchellum (50–250 μg/mL) significantly increased the activities of SOD and GPx in a concentration-dependent manner when compared to the 6-OHDA-treated cells (p < 0.05, p < 0.01, p < 0.001). Notably, a significant elevation in the activities of catalase and GR was observed only with D. pulchellum pretreatment at 100–250 μg/mL (p < 0.01, p < 0.001). Additionally, the treatment with NAC at 2 mM effectively enhanced the antioxidant enzyme activities compared to those observed in 6-OHDA-treated cells (p < 0.001; Figure 9).
Figure 9.
Effects of the methanolic extracts of Desmodium pulchellum (25, 50, 100, and 250 μg/mL) and NAC (2 mM) on the activities of intracellular antioxidant enzymes in the 6-OHDA (25 μM)-treated SH-SY5Y cells. (A) GPx; (B) GR; (C) SOD; (D) catalase. The results are expressed as the mean ± SD (n = 4). * p < 0.05, ** p < 0.01, and *** p < 0.001, compared with the VEH/6-OHDA group. D. pulchellum: Desmodium pulchellum (L.) Benth.; 6-OHDA: 6-hydroxydopamine; GPx: glutathione peroxidase; GR: glutathione reductase; NAC: N-acetylcysteine; SOD: superoxide dismutase; VEH: vehicle.
3. Discussion
Based on the previous findings regarding the Desmodium genus, various species such as D. caudatum, D. gangeticum, D. pulchellum, and D. triquestrum have been associated with cardiovascular protection, liver protection, and anticancer effects due to their antioxidant properties. The primary active phytoconstituents in these species are phenolic compounds, flavonoids, and phenylpropanoids [8,10,14,15]. Our previous report has also highlighted that D. triflorum exhibited radical scavenging activities against DPPH and TEAC radicals [38]. Chidambaram et al. have indicated that D. motorium exhibited radical scavenging activities against DPPH and TEAC radicals [39]. Another study by Tsai et al. compared the antioxidant phytoconstituents contents and antioxidant activities of 10 Desmodium species in Taiwan, identifying that D. sequax had the highest total phenolic content and antioxidant activity [40]. To further explore these findings, we collected seven Taiwanese Desmodium species, three of which overlapped with Tsai’s study, namely, D. gangeticum, D. sequax, and D. triflorum. Our aim was to compare the antioxidant phytoconstituents, radical scavenging abilities, and relative reducing power among these species. Among the seven common Desmodium species, D. pulchellum exhibited the highest contents of total phenolics and phenylpropanoids, as well as superior ABTS radical scavenging capacity and relative reducing power. Conversely, D. motorium showed the highest flavonoid content but lower total phenolic and phenylpropanoid contents when compared to D. pulchellum. Additionally, its radical scavenging capacity against DPPH and ABTS radicals was inferior to that of D. pulchellum and D. sequax. Although D. sequax had lower total phenolic and phenylpropanoid content compared to D. pulchellum and D. motorium, it displayed the best DPPH radical scavenging capacity. It is worth noting that the total phenolic and flavonoid contents of D. triflorum and D. sequax differed from those in our previous findings and the values reported by Tsai [38,40]. This variation could be attributed to factors such as harvesting time, collection location, extraction method, and experimental procedures. Furthermore, in our study, the content of phytoconstituents refers to the original medicinal materials of D. triflorum and D. sequax, whereas in previous studies and Tsai’s report, it pertained to the content of phytoconstituents in the methanolic extract of these species. Considering the oxidative stress hypothesis as a neuropathological mechanism in neurodegenerative disorders, it is crucial to acknowledge that ROS are the primary radicals within cells and are responsible for inducing intracellular oxidative stress. Therefore, we further evaluated the ROS scavenging capacities of the seven common Desmodium species. Among the evaluated species, D. sequax exhibited the best superoxide scavenging capacity. D. motorium had the best hydrogen peroxide scavenging capacity, and D. triquestrum had the best hydroxyl radical scavenging capacity. The radical scavenging capacities of D. pulchellum on superoxide and hydroxyl radical were inferior to those of D. sequax and D. triquestrum, respectively.
The above-mentioned techniques used to evaluate the total phytoconstituent contents and radical scavenging capacities of plants or natural products involve the chemical principles of hydrogen atom transfer (HAT) or single electron transfer (SET). For example, the FCP assay and RRP assay predominantly rely on SET mechanisms; conversely, the TEAC assay combines aspects of both SET and HAT mechanisms, and the DPPH assay is primarily based on the SET mechanism, with minor contributions from HAT marginal reactions [25]. Numerous studies have revealed a strong linear correlation between the results of DPPH and ABTS assays and those obtained from the FCP assay. Similarly, a significant correlation has been observed between the RRP and the FCP assays [17,19,25]. The findings of Tsai and Chidambaram have suggested a high correlation between total phenolic contents and ABTS scavenging capacities in Desmodium species. Additionally, the ABTS scavenging capacities of Desmodium species demonstrated a good linear relationship with the FRAP assay of Desmodium species [39,40]. In line with these previous studies, our results also confirmed a high correlation between the total phenolic contents and radical scavenging capacity against DPPH radical, ABTS radical, or superoxide in Desmodium species. Moreover, the contents of total phenylpropanoid in the Desmodium species also exhibited a noteworthy correlation with the radical scavenging capacity against DPPH radical, ABTS radical, or superoxide in the Desmodium species. Furthermore, the radical scavenging capacity against DPPH radical, ABTS radical, or superoxide in Desmodium species is closely associated with their reducing ability. Considering that the primary reaction mechanisms of the aforementioned techniques involve SET reactions, the radical scavenging capacity of Desmodium species is expected to be linked to their ability in the SET reactions of redox processes. As per Perez’s augmentation regarding the FCP assay [19], phenolic acids, especially phenylpropanoids (hydroxycinnamic acid derivatives), and flavonols exhibit higher reducing properties. In this investigation, we also observed a significant correlation between the total phenolic content of the Desmodium species obtained through the FCP method and the phenylpropanoid content of these species obtained using Arnow’s method. Recent research reports on the phytochemical compositions of various Desmodium species have indicated that D. pulchellum is rich in flavonoids and phenylpropanoids, particularly (-)-catechin, (−)-epicatechin, (−)-gallocatechin, and (−)-epigallocatechin [15]. D. sequax has been found to contain phenolic acids (e.g., chlorogenic acid) and flavonoid glycosides (e.g., vitexin) [40]. D. triflorum also possesses vitexin derivatives [38]. Additionally, D. gangeticum and D. triquestrum have been identified as containing flavonoids including the derivatives of quercetin and kaempferol [14,41]. Catechin polyphenols exhibit the highest activity among the above compounds in terms of their radical scavenging abilities against DPPH and ABTS radicals, as indicated in the comparative analysis and previous reports [42,43]. As a result, we propose that D. pulchellum exhibits superior radical scavenging capacity and reducing power primarily due to its high contents of catechin polyphenols.
Given the pivotal role of MAO-B as a vital enzyme in dopamine metabolism and oxidative damage in the central dopaminergic system, MAO-B inhibitors stand out as a promising pharmaceutical avenue for treating PD, in contrast to MAO-A inhibitors. Consequently, this investigation also assessed the MAO-A and MAO-B inhibition activities of the Desmodium species for comparison purposes. The findings revealed that among the seven Desmodium species, D. motorium displayed the highest inhibition activity against MAO-A, while D. sequax exhibited the most significant inhibition activity against MAO-B. When comparing the IC50 of the Desmodium species against both MAO-A and MAO-B, D. sequax emerged as the most selective inhibitor of MAO-B. Concerning the inhibition activity of D. pulchellum against MAO-A and MAO-B, the results were similar to those of Cai [16], indicating a more specific inhibition of MAO-A. Additionally, there was no discernible correlation between the inhibition activity of the Desmodium species against MAO-A and MAO-B and their antioxidant components (total phenols and phenylpropanoids). In a prior study, Cai identified alkaloid components such as 5-methoxy-N,N-dimethyltryptamine and N,N-dimethyltryptamine as the primary phytoconstituents responsible for the MAO-A inhibition activity of D. pulchellum [16]. In summary, this study marks the initial identification of D. sequax from the Desmodium species as exhibiting the most selective inhibition of MAO-B, suggesting its potential for further development, while underscoring the need for additional research into its active components.
Based on the findings presented above, we continued our investigation into the neuroprotective properties of two plants (D. pulchellum and D. motorium) known for their higher antioxidant phytoconstituent contents and one plant (D. sequax) recognized for its selective inhibition of MAO-B activity. Adhering to the mitochondrial oxidative stress theory of PD, we conducted experiments utilizing the PD models in the SH-SY5Y neuroblastoma cells through the administration of the dopamine neurotoxin 6-OHDA or the mitochondrial complex-1 inhibitor rotenone, both of which are known to induce neuronal cell damage. Our results demonstrated that all three Desmodium plants exhibit concentration-dependent neuroprotective effects against 6-OHDA- or rotenone-induced neuronal damage, with D. pulchellum showing the most promising efficacy. Given that the neuronal damage induced by 6-OHDA primarily arises from the intermediate product p-quinone and the subsequent ROS generated during auto-oxidation [31], our study revealed that all three Desmodium plants also effectively inhibit the 6-OHDA-induced auto-oxidation in a concentration-dependent manner, with D. pulchellum exhibiting the most significant impact. Notably, the positive control drug NAC demonstrated neuroprotective effects against 6-OHDA- or rotenone-induced neuronal cell damage, consistent with findings from previous studies [33], and similarly inhibited 6-OHDA auto-oxidation. Furthermore, this study delved into the neuroprotective mechanism of D. pulchellum against 6-OHDA-induced neuronal damage based on the mitochondrial oxidative stress neuropathological theory. In line with the existing literature [33], 6-OHDA triggered an increase in the intracellular ROS levels, leading to a reduction in the intracellular non-enzymatic antioxidant GSH levels, the diminished activity of antioxidant enzymes (SOD, catalase, GPx, and GR), and an elevation in the concentration of the lipid oxidation end-product MDA, ultimately culminating in neuronal damage characterized by reduced cell viability. D. pulchellum, however, demonstrated the ability to restore the balance in intracellular ROS and antioxidant defense systems disrupted by the 6-OHDA treatment, thereby mitigating the occurrence of neuronal damage. Numerous previous reports have indicated that catechin polyphenols possess protective effects against neuronal damage and apoptosis provoked by 6-OHDA, rotenone, or MPTP [44,45]. This protective mechanism is primarily attributed to their robust ability to scavenge radicals and trigger intracellular antioxidant enzymes, thereby engaging various intracellular signaling pathways. Consolidating our current discoveries with those of fellow researchers [15,16], D. pulchellum emerges as a standout species among the seven commonly utilized Taiwanese Desmodium species, showcasing notable proficiency in scavenging radicals and exerting neuroprotective effects. Its principal constituents are presumed to be catechin polyphenols, including (-)-catechin, (−)-epicatechin, (−)-gallocatechin, and (−)-epigallocatechin [15]. Nevertheless, it presented slight selectivity towards MAO-A, with its active phytoconstituents possibly encompassing alkaloids such as 5-methoxy-N,N-dimethyltryptamine and N,N-dimethyltryptamine [16]. Our forthcoming endeavors for research on D. pulchellum will concentrate on devising a standardized preparation method for its neuroprotective catechin polyphenols, quantifying its primary active ingredients, assessing its neuroprotective efficacy, and delving deeper into its molecular mechanisms. D. sequax also exhibited notable radical scavenging ability and neuroprotective effects; moreover, it displayed a significant and selective ability to inhibit MAO-B. These effects are similar to the action of known MAO-B inhibitors such as selegiline and rasagiline [1,3]. Tsai’s report has suggested that D. sequax contains chlorogenic acid and vitexin [40]. Chlorogenic acid—but not vitexin—exhibits inhibitory effects on MAO-B [44,46], indicating that the active ingredients might comprise compounds more akin to chlorogenic acid. However, further phytochemical investigation is needed to isolate and confirm the activities of these ingredients.
4. Materials and Methods
4.1. Plant Collection and Filtrate Preparation
Seven Desmodium species including D. caudatum, D. gangeticum, D. motorium, D. pulchellum, D. sequax, D. triflorum, and D. triquetrum were collected from low-altitude regions in Taiwan and identified by Prof. Hung-Chi Chang from Chaoyang University of Technology. Entire plants of these seven Desmodium species were dried and ground into a coarse powder. Subsequently, each powder (1 g) was extracted with 10 mL of methanol and sonicated for 90 min, then filtered using a 0.22 μm filter, and adjusted to a total volume of 10 mL to obtain a methanolic standardized filtrate with a concentration of 100 mg/mL. This filtrate was further diluted with distilled water to evaluate the contents of antioxidant phytoconstituents and radical scavenging activities. For the 6-OHDA auto-oxidation and neurotoxicity experiments, the methanolic standardized filtrate of the Desmodium plants was dried with nitrogen, then dissolved again with phosphate-buffered solution (PBS) or Dulbecco’s modified Eagle’s medium (DMEM).
4.2. Antioxidant Phytoconstituent Contents
4.2.1. Total Phenolic Contents
The determination of total phenolic contents in the Desmodium plants was conducted using a microtiter spectrophotometric reader (PowerWave X340, Bio-Tek Inc., Winooski, VT, USA) following the procedure outlined in our previous report [24]. The methanolic standardized filtrate (5 mg/mL) or a reference standard (+)-catechin (0–250 µg/mL) was combined with 50% (v/v) FCP reagent and 10% sodium carbonate solution in triplicate. This reaction mixture was shaken for 20 s, then incubated at room temperature (RT) for 30 m. Absorbance was measured at 725 nm. The total phenolic contents in the Desmodium plants are expressed as the relative amounts of (+)-catechin per gram of the Desmodium plants (mg catechin/g sample).
4.2.2. Total Flavonoid Contents
The total flavonoid contents in the Desmodium plants were determined according to our previously reported method [24]. The methanolic standardized filtrate (10 mg/mL) or a reference standard quercetin (0–100 µg/mL) was mixed with 2% (w/v) aluminum nitrate and 0.2 M potassium acetate in triplicate. This reaction solution was shaken for 20 s, then incubated at RT for 15 min. Absorbance was recorded at 415 nm. The total flavonoid contents in the Desmodium plants are expressed as the relative amounts of quercetin per gram of the Desmodium plants (mg quercetin/g sample).
4.2.3. Total Phenylpropanoid Contents
The assessed method of total phenylpropanoid contents in the Desmodium plants followed our previously reported method [24]. The methanolic standardized filtrate (1 mg/mL) or a reference standard verbascoside (0–100 µg/mL) was mixed with 10% (w/v) Arnow reagent and 2N sodium hydroxide in triplicate. This reaction solution was shaken for 30 s, then incubated at RT for 10 min. Absorbance was recorded at 525 nm. The total phenylpropanoid contents in the Desmodium plants are expressed as the relative amounts of verbascoside per gram of the Desmodium plants (mg verbascoside/g sample).
4.3. Radical Scavenging Capacities
4.3.1. DPPH Radical Scavenging Capacities
According to our previously reported method [24], the DPPH radical scavenging capacities of the Desmodium plants were assessed. The methanolic standardized filtrate (0–5 mg/mL) or a reference standard (+)-catechin (0–25 µg/mL) was pipetted into each well of a 96-well plate and mixed with 300 µM DPPH methanol solution or methanol in triplicate. This reaction solution was shaken for 15 s, then incubated at RT for 30 min in the dark. Absorbance was recorded at 517 nm. The DPPH radical scavenging capacity of the Desmodium plants is expressed as reference standard (+)-catechin equivalents in milligrams per gram of the Desmodium plants (abbreviated as CEDSC, mg catechin/g sample).
4.3.2. ABTS Radical Scavenging Capacities
The ABTS radical scavenging capacities of the Desmodium plants were also assessed following the procedure outlined in our previous report [24]. The methanolic standardized filtrate (0–5 mg/mL) or a reference standard Trolox (0–50 µM) was dispensed into each well of a 96-well plate and mixed with a diluted ABTS solution (mix 8 mM ABTS solution and 8.4 mM potassium persulfate solution in a ratio of 2:1, dilute it 50 times with ethanol the next day) or ethanol in triplicate. This reaction solution was shaken for 15 s, then incubated at RT for 4 min in the dark. Absorbance was recorded at 734 nm. The ABTS radical scavenging capacity of the Desmodium plants is expressed as reference standard Trolox equivalents in millimole per gram of the Desmodium plants (abbreviated as TEAC, mmol Trolox/g sample).
4.3.3. RRP Assay
The RRP assay of the Desmodium plants followed the procedure outlined in Vasyliev’s report [47]. The methanolic standardized filtrate (0–2.5 mg/mL) or a reference standard ascorbic acid (0–20 µM) was dispensed into each well of a 96-well plate and mixed with 1% potassium ferricyanide (dissolved in 50 mM HCl), 20 mM ferric chloride, and 50 mM sodium phosphate-buffered solution (pH 6.6) in triplicate. This reaction solution was then incubated at 50 °C for 20 min and subsequently treated with 1% trichloroacetic acid and 5 mM ferric chloride. Absorbance was recorded at 700 nm. The RRP value of the Desmodium plants is expressed as reference standard ascorbic acid equivalents in micromole per gram of the Desmodium plants (relative reducing power, abbreviated as RRP, µmol ascorbate/g sample).
4.3.4. Superoxide Scavenging Capacities
The superoxide scavenging capacities of the Desmodium plants were evaluated following the methodology outlined in our previous study [31]. In brief, the methanolic standardized filtrate (0–10 mg/mL) or a reference standard SOD (0–500 mU/mL) was added into each well of a 96-well plate, then mixed with a solution containing 800 µM xanthine, 240 mU/mL xanthine oxidase, and 168 µM nitroblue tetrazolium (dissolved in 50 mM PBS; pH 7.4) in triplicate. After 15 s of agitation, the kinetic slope of the absorbance values was measured over a period of 5 min at 560 nm at RT. The superoxide scavenging capacity of the Desmodium plants is expressed as reference standard SOD equivalents in units per gram of the Desmodium plants (SOD equivalent, U SOD/g sample).
4.3.5. Hydrogen Peroxide Scavenging Capacities
The hydrogen peroxide scavenging capacities of the Desmodium plants were also conducted following the procedure outlined in our previous study [31]. Briefly, the methanolic standardized filtrate (0–5 mg/mL) or a reference standard Trolox (0–100 µM) was dispensed into each well of a 96-well plate, then mixed with 500 µM H2O2, 8 U/mL horseradish peroxidase, and 5 mM homovanillic acid (dissolved in 50 mM PBS (pH 7.4)) in triplicate. This reaction solution was shaken for 15 s, then incubated at RT for 25 min in the dark. Fluorescence intensity was measured using a fluorescence spectrometric reader (FLX800, Bio-Tek Inc., Winooski, VT, USA) at an excitation wavelength of 315 nm and an emission wavelength of 425 nm. The hydrogen peroxide scavenging capacity of the Desmodium plants is expressed as reference standard Trolox equivalents in millimole per gram of the Desmodium plants (Trolox equivalent, mmol Trolox/g sample).
4.3.6. Hydroxyl Radical Scavenging Capacities
The hydroxyl radical scavenging capacities of the Desmodium plants were conducted with modifications based on the procedure outlined in Cheng’s report [48]. The methanolic standardized filtrate (0–5 mg/mL) or a reference standard Trolox (0–500 µM) was dispensed into each well of a 96-well plate, then mixed with 20 mM H2O2, 3 mM ferrous sulfate (dissolved in 1 mM EDTA solution), and 2 mM luminol salt solution in triplicate. After 15 s of agitation, the reaction mixture was incubated at RT for 1 min in the dark. The intensity of chemiluminescence was recorded. The hydroxyl radical scavenging capacity of the Desmodium plants is expressed as reference standard Trolox equivalents in millimole per gram of the Desmodium plants (Trolox equivalent, mmol Trolox/g sample).
4.4. MAO Inhibitory Activities
The MAO inhibitory activities of the Desmodium plants were assessed based on the procedure outlined in Haraguchi’s report [49] with modifications. Initially, brain mitochondrial homogenates were prepared by homogenizing rat cerebral hemispheres in ice-cold 50 mM PBS solution (containing 250 mM sucrose and 0.5 mM EDTA, pH 7.4). This homogenization process was conducted using a Digital Homogenizer, followed by centrifugation with a sucrose concentration gradient in two different solutions (30 and 60 mM sucrose containing 3–6% Ficoll, 120–240 mM mannitol, and 25–50 µM EDTA sequentially, pH 7.4) at 14,000 rpm for 30 min. The resulting mitochondrial homogenate was then suspended in 50 mM PBS solution (pH 7.4). Subsequently, these mitochondrial homogenate suspensions were preincubated with either clorgyline (2 µM) or pargyline (2 µM) to assess MAO-A or MAO-B activity, respectively. Following preincubation, the enzyme solution was transferred into each well of a 96-well plate and mixed with the methanolic standardized filtrate (0–25 mg/mL) and 2.5 mM kynuramine solution in triplicate. This reaction solution was shaken for 15 s, then incubated at 37 °C for 20 min. The termination of the reaction was achieved by adding 10% ZnSO4 and 2 N NaOH. The fluorescence of the final product 4-hydroxyquinoline was measured at an excitation wavelength of 315 nm and an emission wavelength of 380 nm. For reference, kynuramine was replaced with 4-hydroxyquinoline as a standard, and a calibration curve of 4-hydroxyquinoline (0–12.5 µM) was established to quantify the amount produced in the reaction described above. The inhibitory percentage of 4-hydroxyquinoline formation caused by the Desmodium plants was calculated to determine the IC50 values of the Desmodium plants against MAO-A or MAO-B.
4.5. 6-OHDA Auto-Oxidation Inhibition
The 6-OHDA auto-oxidation inhibitory assay of the Desmodium plants was conducted according to the procedure outlined in our previous report [31]. This assay was performed in a cell-free system designed to mimic the conditions corresponding to 6-OHDA treatment in cell experiments. In brief, the PBS-redissolved filtrate (0–500 µg/mL) or a reference standard NAC (1 or 2 mM) was pipetted into each well of a 96-well plate and mixed with 25 µM 6-OHDA (dissolved in 10 mM PBS solution) in triplicate. This reaction solution was shaken for 15 s at 37 °C in the dark. Subsequently, the absorbance at 490 nm, which reflects the levels of the formed intermediate product p-quinone was monitored for 3 min at 30 s intervals at 37 °C.
4.6. Protection against 6-OHDA-Induced Neurotoxicity in SH-SY5Y Cells
4.6.1. Cell Culture
Human neuroblastoma SH-SY5Y cells were procured from the American Type Culture Collection (ATCC; Manassas, VA, USA). Following the guidelines provided by the ATCC, the cells were thawed and cultured in a 25 cm3 culture flask using the DMEM medium, supplemented with 10% FBS, penicillin (100 U/mL), and streptomycin (100 μg/mL). The cells were incubated in a water-saturated atmosphere incubator with 5% CO2, and the culture medium was replenished every 2–3 days once they reached 70−80% confluency. Upon achieving confluency, the cells were washed with a fresh 0.25% trypsin solution (containing 0.53 mM EDTA), then seeded into 96-well sterile clear-bottom plates (2 × 104 cells/well), 6-well sterile clear-bottom plates (8 × 105 cells/well), or 90 mm sterile clear-bottom dishes (4 × 106 cells/dish). The cell experiments were conducted 24 h after seeding.
4.6.2. Estimation of Cell Viability
Following exposure to 6-OHDA (25 μM) or rotenone (1 μM) for 24 h [33,50], the viability of the cells was evaluated using the MTT assay in accordance with our previous protocols [31]. To assess the protective effects of the methanolic extracts from three Desmodium plant species, namely D. pulchellum, D. sequax, and D. motorium, on the SH-SY5Y cells, a 15 min treatment was administered prior to the addition of 6-OHDA or rotenone. NAC was utilized as a positive control, which was also pretreated before the addition of 6-OHDA or rotenone [33]. The methanolic standardized filtrate from the three Desmodium plants was dried with nitrogen and subsequently reconstituted with DMEM. The solution was then filtered using a 0.22 μM sterile filter to obtain the stock solution of the methanolic extracts. The working solution (25–500 μg/mL) was freshly prepared for experimentation.
4.6.3. Estimation of Intracellular ROS Levels
The intracellular ROS levels were assessed using the ROS-sensitive cell-permeant fluorophore DCFH-DA (Sigma-Aldrich Chemical Co., St. Louis, MO, USA) following our established protocol [31]. The SH-SY5Y cells were seeded into clear-bottom black 96-well culture plates and subjected to treatment with 6-OHDA (with or without pretreatment with the methanolic extract of Desmodium pulchellum or NAC) for 24 h. Subsequently, DCFH-DA (100 μM) was added to the cells and incubated for 30 min at 37 °C in the dark. The cells were then washed with PBS and placed in DMEM without phenol red. The fluorescence intensity was measured at Ex 485/Em 530 nm using a fluorescent microplate reader. The data are expressed as a percentage relative to untreated cells, which served as the control group (designated as 100%).
4.6.4. Estimation of Intracellular Antioxidant Makers
The activities of intracellular antioxidant makers, such as SOD and catalase, as well as the levels of GSH and MDA, were assessed following the protocol described in our previous publication [51]. The activities of GPx and GR were determined using commercially available enzyme-linked immunosorbent assay (ELISA) kits (Cayman Chemical Company, Ann Arbor, MI, USA), according to the manufacturer’s instructions. The SH-SY5Y cells were seeded into 90 mm sterile clear-bottom dishes and treated with 6-OHDA (with or without pretreatment with the methanolic extract of Desmodium pulchellum or NAC) for 24 h. Subsequently, the cells were collected, sonicated, and centrifuged for 15 min at 4 °C. The resulting cell supernatant was utilized to assay the aforementioned antioxidant markers. The activities of SOD are expressed as U per milligram of protein, while the activities of GR are expressed as mU per milligram of protein. The activities of GPx are expressed as μmol NADPH oxidation/min/milligram of protein. The catalase activities are expressed as μmol H2O2 degradation/min/milligram of protein. The levels of GSH and MDA were expressed as nmol per milligram of protein.
4.7. Statistical Analysis
The data of the phytoconstituent contents, radical scavenging capacities, MAO inhibitory activities, and 6-OHDA auto-oxidation inhibitory activities obtained from three repeated experiments are expressed as mean ± standard deviation (SD). Similarly, the data of the cell viability, intracellular ROS levels, and oxidative markers, obtained from four repeated experiments, are also presented as mean ± SD. Statistical analysis was performed using one-way analysis of variance (ANOVA), followed by Turkey’s test, using the statistical software SPSS 20.0 for Windows. Probability values less than 0.05 were considered statistically significant.
5. Conclusions
This study compared the radical scavenging activity, reducing power, and MAO inhibitory activity of seven Taiwanese Desmodium species. Among them, D. pulchellum, D. sequax, and D. motorium showed the highest radical scavenging activity and reducing power, effectively neutralizing superoxide anions. Notably, D. sequax demonstrated the most selective inhibitory effect on MAO-B activity. Their radical scavenging activity was primarily correlated with their total phenolic contents, particularly the phenylpropanoids, while the MAO inhibitory activity was not reliant on these compounds. Additionally, this study unveiled that the aforementioned three Desmodium species, especially D. pulchellum, exhibit neuroprotective effects against 6-OHDA-induced neurotoxicity. D. pulchellum was observed to counteract oxidative damage and restore the intracellular antioxidant defense system impaired by 6-OHDA. Consequently, we suggest that D. pulchellum, among the assessed Desmodium plants, has the potential to be developed into a therapeutic drug for Parkinson’s disease, which is likely due to its abundance of total phenolic compounds.
Author Contributions
C.-R.W. and J.-C.L. conceived and designed the study; H.-C.C. provided and authenticated the Desmodium materials; M.-C.H. performed the experiments; C.-R.W. analyzed the data and wrote the paper. All authors have read and agreed to the published version of the manuscript.
Funding
This research was funded by grant number 111-2628-B-324-001 and 112-2313-B-324-001 from National Science and Technology and grant number CMU111-TC-05 from China Medical University.
Data Availability Statement
Data are contained within the article.
Conflicts of Interest
The authors declare no conflicts of interest.
References
- Regensburger, M.; Ip, C.W.; Kohl, Z.; Schrader, C.; Urban, P.P.; Kassubek, J.; Jost, W.H. Clinical benefit of MAO-B and COMT inhibition in Parkinson’s disease: Practical considerations. J. Neural. Transm. 2023, 130, 847–861. [Google Scholar] [CrossRef] [PubMed]
- Bhawna; Kumar, A.; Bhatia, M.; Kapoor, A.; Kumar, P.; Kumar, S. Monoamine oxidase inhibitors: A concise review with special emphasis on structure activity relationship studies. Eur. J. Med. Chem. 2022, 242, 114655. [Google Scholar] [CrossRef] [PubMed]
- Tan, Y.Y.; Jenner, P.; Chen, S.D. Monoamine Oxidase-B Inhibitors for the Treatment of Parkinson’s Disease: Past, Present, and Future. J. Parkinsons Dis. 2022, 12, 477–493. [Google Scholar] [CrossRef]
- Mannan, A.; Singh, T.G.; Singh, V.; Garg, N.; Kaur, A.; Singh, M. Insights into the Mechanism of the Therapeutic Potential of Herbal Monoamine Oxidase Inhibitors in Neurological Diseases. Curr. Drug Targets 2022, 23, 286–310. [Google Scholar] [CrossRef] [PubMed]
- Ball, N.; Teo, W.P.; Chandra, S.; Chapman, J. Parkinson’s Disease and the Environment. Front. Neurol. 2019, 10, 218. [Google Scholar] [CrossRef]
- Deus, C.M.; Teixeira, J.; Raimundo, N.; Tucci, P.; Borges, F.; Saso, L.; Oliveira, P.J. Modulation of cellular redox environment as a novel therapeutic strategy for Parkinson’s disease. Eur. J. Clin. Investig. 2022, 52, e13820. [Google Scholar] [CrossRef] [PubMed]
- Ibarra-Gutierrez, M.T.; Serrano-Garcia, N.; Orozco-Ibarra, M. Rotenone-Induced Model of Parkinson’s Disease: Beyond Mitochondrial Complex I Inhibition. Mol. Neurobiol. 2023, 60, 1929–1948. [Google Scholar] [CrossRef]
- Ma, X.; Zheng, C.; Hu, C.; Rahman, K.; Qin, L. The genus Desmodium (Fabaceae)-traditional uses in Chinese medicine, phytochemistry and pharmacology. J. Ethnopharmacol. 2011, 138, 314–332. [Google Scholar] [CrossRef] [PubMed]
- Yang, Y.P.; Lu, S.Y. DESMODIUM Desv. In Flora of Taiwan, 2nd ed.; Huang, T.C., Ed.; Editorial Committee of the Flora of Taiwan, Department of Botany, National Taiwan University: Taipei, Taiwan, 2000; Volume 33, pp. 251–270. [Google Scholar]
- Singh, V.; Singh, R.; Singh, M.P.; Katrolia, A. Therapeutic Role of Desmodium Species on its Isolated Flavonoids. Curr. Mol. Med. 2024, 24, 74–84. [Google Scholar] [CrossRef]
- Le Dang, Q.; Vu, H.D.; Nguyen, V.M.; Choi, G.J.; Hoa, L.T.P.; Dung, D.T.; Van Kiem, P.; Nhiem, N.X.; De Tran, Q.; Nguyen, Q.C.; et al. Desmodinosides A-E: New Flavonoid C-glycosides from Desmodium heterocarpon var. stigosum with hepatoprotective and antifungal activity. Fitoterapia 2023, 169, 105609. [Google Scholar] [CrossRef]
- Xu, Q.N.; Zhu, D.; Wang, G.H.; Lin, T.; Sun, C.L.; Ding, R.; Tian, W.J.; Chen, H.F. Phenolic glycosides and flavonoids with antioxidant and anticancer activities from Desmodium caudatum. Nat. Prod. Res. 2021, 35, 4534–4541. [Google Scholar] [CrossRef] [PubMed]
- Li, W.; Sun, Y.N.; Yan, X.T.; Yang, S.Y.; Kim, S.; Chae, D.; Hyun, J.W.; Kang, H.K.; Koh, Y.S.; Kim, Y.H. Anti-inflammatory and antioxidant activities of phenolic compounds from Desmodium caudatum leaves and stems. Arch. Pharm. Res. 2014, 37, 721–727. [Google Scholar] [CrossRef] [PubMed]
- Tang, H.X.; Sheng, W.B.; Liu, X.Y.; Cui, P.W.; Gong, L.M.; Xie, Q.L.; Wang, W.M.; Li, B.; Wang, W.; Zhou, X.D. The traditional ethnic herb Tadehagi triquetrum from China: A review of its phytochemistry and pharmacological activities. Pharm. Biol. 2022, 60, 774–784. [Google Scholar] [CrossRef] [PubMed]
- Fan, Y.C.; Yue, S.J.; Guo, Z.L.; Xin, L.T.; Wang, C.Y.; Zhao, D.L.; Guan, H.S.; Wang, C.Y. Phytochemical Composition, Hepatoprotective, and Antioxidant Activities of Phyllodium pulchellum (L.) Desv. Molecules 2018, 23, 1361. [Google Scholar] [CrossRef] [PubMed]
- Cai, L.; Wang, C.; Huo, X.K.; Dong, P.P.; Zhang, B.J.; Zhang, H.L.; Huang, S.S.; Zhang, B.; Yu, S.M.; Zhong, M.; et al. Effect of Alkaloids Isolated from Phyllodium pulchellum on Monoamine Levels and Monoamine Oxidase Activity in Rat Brain. Evid. Based Complement. Altern. Med. 2016, 2016, 6826175. [Google Scholar] [CrossRef] [PubMed]
- Shi, L.; Zhao, W.; Yang, Z.; Subbiah, V.; Suleria, H.A.R. Extraction and characterization of phenolic compounds and their potential antioxidant activities. Environ. Sci. Pollut. Res. Int. 2022, 29, 81112–81129. [Google Scholar] [CrossRef] [PubMed]
- Najera-Maldonado, J.M.; Salazar, R.; Alvarez-Fitz, P.; Acevedo-Quiroz, M.; Flores-Alfaro, E.; Hernandez-Sotelo, D.; Espinoza-Rojo, M.; Ramirez, M. Phenolic Compounds of Therapeutic Interest in Neuroprotection. J. Xenobiot. 2024, 14, 227–246. [Google Scholar] [CrossRef] [PubMed]
- Perez, M.; Dominguez-Lopez, I.; Lamuela-Raventos, R.M. The Chemistry Behind the Folin-Ciocalteu Method for the Estimation of (Poly)phenol Content in Food: Total Phenolic Intake in a Mediterranean Dietary Pattern. J. Agric. Food Chem. 2023, 71, 17543–17553. [Google Scholar] [CrossRef] [PubMed]
- Panche, A.N.; Diwan, A.D.; Chandra, S.R. Flavonoids: An overview. J. Nutr. Sci. 2016, 5, e47. [Google Scholar] [CrossRef]
- Prochazkova, D.; Bousova, I.; Wilhelmova, N. Antioxidant and prooxidant properties of flavonoids. Fitoterapia 2011, 82, 513–523. [Google Scholar] [CrossRef]
- Pękal, A.; Pyrzynska, K. Evaluation of Aluminium Complexation Reaction for Flavonoid Content Assay. Food Anal. Methods 2014, 7, 1776–1782. [Google Scholar] [CrossRef]
- Neelam; Khatkar, A.; Sharma, K.K. Phenylpropanoids and its derivatives: Biological activities and its role in food, pharmaceutical and cosmetic industries. Crit. Rev. Food Sci. Nutr. 2020, 60, 2655–2675. [Google Scholar] [CrossRef] [PubMed]
- Zhao, Z.W.; Chang, H.C.; Ching, H.; Lien, J.C.; Huang, H.C.; Wu, C.R. Antioxidant Effects and Phytochemical Properties of Seven Taiwanese Cirsium Species Extracts. Molecules 2021, 26, 3935. [Google Scholar] [CrossRef] [PubMed]
- Prior, R.L.; Wu, X.; Schaich, K. Standardized methods for the determination of antioxidant capacity and phenolics in foods and dietary supplements. J. Agric. Food Chem. 2005, 53, 4290–4302. [Google Scholar] [CrossRef] [PubMed]
- Ilyasov, I.R.; Beloborodov, V.L.; Selivanova, I.A.; Terekhov, R.P. ABTS/PP Decolorization Assay of Antioxidant Capacity Reaction Pathways. Int. J. Mol. Sci. 2020, 21, 1131. [Google Scholar] [CrossRef] [PubMed]
- Andres, C.M.C.; Perez de la Lastra, J.M.; Andres Juan, C.; Plou, F.J.; Perez-Lebena, E. Superoxide Anion Chemistry-Its Role at the Core of the Innate Immunity. Int. J. Mol. Sci. 2023, 24, 1841. [Google Scholar] [CrossRef] [PubMed]
- Halliwell, B.; Clement, M.V.; Long, L.H. Hydrogen peroxide in the human body. FEBS Lett. 2000, 486, 10–13. [Google Scholar] [CrossRef] [PubMed]
- Lipinski, B. Hydroxyl radical and its scavengers in health and disease. Oxid. Med. Cell. Longev. 2011, 2011, 809696. [Google Scholar] [CrossRef] [PubMed]
- Yildiz, G.; Demiryurek, A.T. Ferrous iron-induced luminol chemiluminescence: A method for hydroxyl radical study. J. Pharmacol. Toxicol. Methods 1998, 39, 179–184. [Google Scholar] [CrossRef]
- Wu, C.R.; Chang, H.C.; Cheng, Y.D.; Lan, W.C.; Yang, S.E.; Ching, H. Aqueous Extract of Davallia mariesii Attenuates 6-Hydroxydopamine-Induced Oxidative Damage and Apoptosis in B35 Cells Through Inhibition of Caspase Cascade and Activation of PI3K/AKT/GSK-3beta Pathway. Nutrients 2018, 10, 1449. [Google Scholar] [CrossRef]
- Ioghen, O.C.; Ceafalan, L.C.; Popescu, B.O. SH-SY5Y Cell Line In Vitro Models for Parkinson Disease Research-Old Practice for New Trends. J. Integr. Neurosci. 2023, 22, 20. [Google Scholar] [CrossRef]
- El-Habta, R.; Af Bjerken, S.; Virel, A. N-acetylcysteine increases dopamine release and prevents the deleterious effects of 6-OHDA on the expression of VMAT2, alpha-synuclein, and tyrosine hydroxylase. Neurol. Res. 2024, 46, 406–415. [Google Scholar] [CrossRef]
- Rosenkranz, A.R.; Schmaldienst, S.; Stuhlmeier, K.M.; Chen, W.; Knapp, W.; Zlabinger, G.J. A microplate assay for the detection of oxidative products using 2’,7’-dichlorofluorescin-diacetate. J. Immunol. Methods 1992, 156, 39–45. [Google Scholar] [CrossRef]
- Snezhkina, A.V.; Kudryavtseva, A.V.; Kardymon, O.L.; Savvateeva, M.V.; Melnikova, N.V.; Krasnov, G.S.; Dmitriev, A.A. ROS Generation and Antioxidant Defense Systems in Normal and Malignant Cells. Oxid. Med. Cell. Longev. 2019, 2019, 6175804. [Google Scholar] [CrossRef]
- Chen, T.H.; Wang, H.C.; Chang, C.J.; Lee, S.Y. Mitochondrial Glutathione in Cellular Redox Homeostasis and Disease Manifestation. Int. J. Mol. Sci. 2024, 25, 1314. [Google Scholar] [CrossRef]
- Ayala, A.; Munoz, M.F.; Arguelles, S. Lipid peroxidation: Production, metabolism, and signaling mechanisms of malondialdehyde and 4-hydroxy-2-nonenal. Oxid. Med. Cell. Longev. 2014, 2014, 360438. [Google Scholar] [CrossRef]
- Lai, S.C.; Ho, Y.L.; Huang, S.C.; Huang, T.H.; Lai, Z.R.; Wu, C.R.; Lian, K.Y.; Chang, Y.S. Antioxidant and antiproliferative activities of Desmodium triflorum (L.) DC. Am. J. Chin. Med. 2010, 38, 329–342. [Google Scholar] [CrossRef]
- Chidambaram, U.; Pachamuthu, V.; Natarajan, S.; Elango, B.; Suriyanarayanan; Ramkumar, K.M. In vitro evaluation of free radical scavenging activity of Codariocalyx motorius root extract. Asian Pac. J. Trop. Med. 2013, 6, 188–194. [Google Scholar] [CrossRef]
- Tsai, C.J.; Huang, G.J.; Chiu, T.H.; Huang, S.S.; Huang, S.C.; Huang, T.H.; Lai, S.C.; Lee, C.Y. Antioxidant Activities of Phenolic Components from Various Plants of Desmodium Species. Afr. J. Pharm. Pharmacol. 2011, 5, 468–476. [Google Scholar] [CrossRef]
- Rastogi, S.; Pandey, M.M.; Rawat, A.K. An ethnomedicinal, phytochemical and pharmacological profile of Desmodium gangeticum (L.) DC. and Desmodium adscendens (Sw.) DC. J. Ethnopharmacol. 2011, 136, 283–296. [Google Scholar] [CrossRef]
- Zeng, Y.; Song, J.; Zhang, M.; Wang, H.; Zhang, Y.; Suo, H. Comparison of In Vitro and In Vivo Antioxidant Activities of Six Flavonoids with Similar Structures. Antioxidants 2020, 9, 732. [Google Scholar] [CrossRef]
- Hirano, R.; Sasamoto, W.; Matsumoto, A.; Itakura, H.; Igarashi, O.; Kondo, K. Antioxidant ability of various flavonoids against DPPH radicals and LDL oxidation. J. Nutr. Sci. Vitaminol. 2001, 47, 357–362. [Google Scholar] [CrossRef]
- Fukutomi, R.; Ohishi, T.; Koyama, Y.; Pervin, M.; Nakamura, Y.; Isemura, M. Beneficial Effects of Epigallocatechin-3-O-Gallate, Chlorogenic Acid, Resveratrol, and Curcumin on Neurodegenerative Diseases. Molecules 2021, 26, 415. [Google Scholar] [CrossRef]
- Mandel, S.; Youdim, M.B. Catechin polyphenols: Neurodegeneration and neuroprotection in neurodegenerative diseases. Free Radic. Biol. Med. 2004, 37, 304–317. [Google Scholar] [CrossRef] [PubMed]
- Mei, Y.; Pan, D.; Jiang, Y.; Zhang, W.; Yao, X.; Dai, Y.; Yu, Y.; Yao, X. Target discovery of chlorogenic acid derivatives from the flower buds of Lonicera macranthoides and their MAO B inhibitory mechanism. Fitoterapia 2019, 134, 297–304. [Google Scholar] [CrossRef] [PubMed]
- Vasyliev, G.S.; Vorobyova, V.I.; Linyucheva, O.V. Evaluation of Reducing Ability and Antioxidant Activity of Fruit Pomace Extracts by Spectrophotometric and Electrochemical Methods. J. Anal. Methods Chem. 2020, 2020, 8869436. [Google Scholar] [CrossRef]
- Cheng, Z.; Yan, G.; Li, Y.; Chang, W. Determination of antioxidant activity of phenolic antioxidants in a Fenton-type reaction system by chemiluminescence assay. Anal. Bioanal. Chem. 2003, 375, 376–380. [Google Scholar] [CrossRef] [PubMed]
- Haraguchi, H.; Tanaka, Y.; Kabbash, A.; Fujioka, T.; Ishizu, T.; Yagi, A. Monoamine oxidase inhibitors from Gentiana lutea. Phytochemistry 2004, 65, 2255–2260. [Google Scholar] [CrossRef] [PubMed]
- Elmorsy, E.; Al-Ghafari, A.; Al Doghaither, H.; Hashish, S.; Salama, M.; Mudyanselage, A.W.; James, L.; Carter, W.G. Differential Effects of Paraquat, Rotenone, and MPTP on Cellular Bioenergetics of Undifferentiated and Differentiated Human Neuroblastoma Cells. Brain Sci. 2023, 13, 1717. [Google Scholar] [CrossRef]
- Chang, H.C.; Liu, K.F.; Teng, C.J.; Lai, S.C.; Yang, S.E.; Ching, H.; Wu, C.R. Sophora Tomentosa Extract Prevents MPTP-Induced Parkinsonism in C57BL/6 Mice Via the Inhibition of GSK-3beta Phosphorylation and Oxidative Stress. Nutrients 2019, 11, 252. [Google Scholar] [CrossRef]
Disclaimer/Publisher’s Note: The statements, opinions and data contained in all publications are solely those of the individual author(s) and contributor(s) and not of MDPI and/or the editor(s). MDPI and/or the editor(s) disclaim responsibility for any injury to people or property resulting from any ideas, methods, instructions or products referred to in the content. |
© 2024 by the authors. Licensee MDPI, Basel, Switzerland. This article is an open access article distributed under the terms and conditions of the Creative Commons Attribution (CC BY) license (https://creativecommons.org/licenses/by/4.0/).








