Associative Bacteria and Arbuscular Mycorrhizal Fungus Increase Drought Tolerance in Maize (Zea mays L.) through Morphoanatomical, Physiological, and Biochemical Changes
Abstract
1. Introduction
2. Material and Methods
2.1. Biological Material and Experimental Design
2.2. Growth Analysis
2.3. Anatomical Analysis
2.4. Biochemical and Physiological Analysis
2.5. Statistical Analysis
3. Results
3.1. Growth Analysis
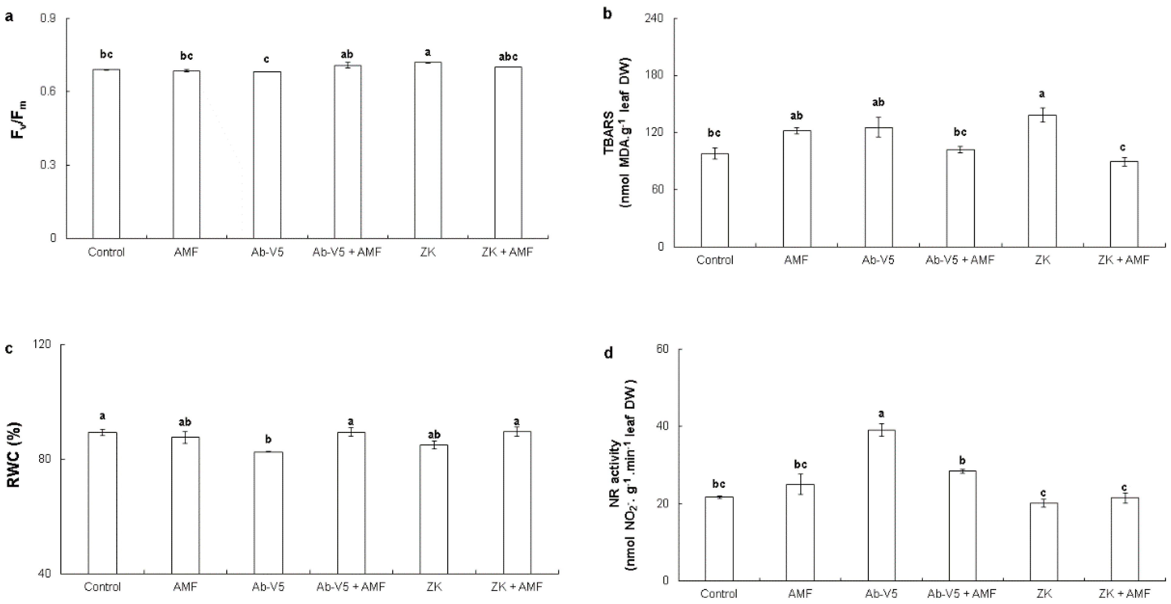
3.2. Biochemical and Physiological Analysis
3.3. Anatomical Analysis
4. Discussion
5. Conclusions
Author Contributions
Funding
Data Availability Statement
Acknowledgments
Conflicts of Interest
References
- Ortiz, N.; Armad, E.; Duque, E.; Roldán, A.; Azcón, R. Contribution of arbuscular mycorrhizal fungi and/or bacteria to enhancing plant drought tolerance under natural soil conditions: Effectiveness of autochthonous or allochthonous strains. J. Plant Physiol. 2015, 174, 87–96. [Google Scholar] [CrossRef] [PubMed]
- Ali, M.L.; Luetchens, J.; Singh, A.; Shaver, T.M.; Kruger, G.R.; Lorenz, A.J. Greenhouse screening of maize genotypes for deep root mass and related root traits and their association with grain yield under water-deficit conditions in the field. Euphytica 2016, 207, 79–94. [Google Scholar] [CrossRef]
- Stokstad, E. States sue over global warming. Science 2004, 305, 590. [Google Scholar] [CrossRef] [PubMed]
- FAOSTAT. 2017. Available online: http://faostat3.fao.org/browse/Q/QC/S (accessed on 6 May 2019).
- Daryanto, S.; Wang, L.; Jacinthe, P.-A. Global synthesis of drought effects on maize and wheat production. PLoS ONE 2016, 11, e0156362. [Google Scholar] [CrossRef] [PubMed]
- Trenberth, K.E.; Dai1, A.; van der Schrier, G.; Jones, P.D.; Barichivich, J.; Briffa, K.R.; Sheffield, J. Global warming and changes in drought. Nat. Clim. Chang. 2013, 4, 17–21. [Google Scholar] [CrossRef]
- USDA-NASS. Crop Production Down in 2012 Due to Drought, USDA Reports. 2013. Available online: https://www.nass.usda.gov/Newsroom/archive/2013/01_11_2013.php (accessed on 23 April 2018).
- Bergamaschi, H.; Dalmago, G.A.; Bergonci, J.I.; Bianchi, C.A.M.; Müller, A.G.; Comiran, F.; Heckler, B.M.M. Distribuição hídrica no período crítico do milho e produção de grãos. Pesqui. Agropecuária Bras. 2004, 39, 831–839. [Google Scholar] [CrossRef]
- Kohler, J.; Hernández, J.A.; Caravaca, F.; Roldán, A. 2008 Plant-growth-promoting rhizobacteria and arbuscular mycorrhizal fungi modify alleviation biochemical mechanisms in water-stressed plants. Funct. Plant Biol. 2008, 35, 141–151. [Google Scholar] [CrossRef] [PubMed]
- Tiepo, A.N.; Hertel, M.F.; Rocha, S.S.; Calzavara, A.K.; Oliveira, A.L.M.; Pimenta, J.A.; Oliveira, H.C.; Bianchini, E.; Stolf-Moreira, R. Enhanced drought tolerance in seedlings of Neotropical tree species inoculated with plant growth-promoting bacteria. Plant Physiol. Biochem. 2018, 130, 277–288. [Google Scholar] [CrossRef] [PubMed]
- Oliveira, A.L.M.; Costa, K.R.; Ferreira, D.C.; Milani, K.M.L.; Santos, O.J.A.P.; Silva, M.B.; Zuluaga, M.Y. Biodiversity of soil bacteria and its applications for a sustainable agriculture. Biochem. Biotechnol. Rep. 2014, 3, 56–77. [Google Scholar] [CrossRef]
- Ahemad, M.; Kibret, M. Mechanisms and applications of plant growth promoting rhizobacteria: Current perspective. J. King Saud Univ.-Sci. 2014, 26, 1–20. [Google Scholar] [CrossRef]
- Orozco-Mosqueda, M.d.C.; Santoyo, G.; Glick, B.R. Recent Advances in the Bacterial Phytohormone Modulation of Plant Growth. Plants 2023, 12, 606. [Google Scholar] [CrossRef] [PubMed]
- Saravanakumar, D.; Kavino, M.; Raguchander, T.; Subbian, P.; Samiyappan, R. Plant growth promoting bacteria enhance water stress resistance in green gram plants. Acta Physiol. Plant. 2010, 33, 203–209. [Google Scholar] [CrossRef]
- Calzavara, A.K.; Paiva, P.H.G.; Gabriel, L.C.; Oliveira, A.L.M.; Milani, K.; Oliveira, H.C.; Bianchini, E.; Pimenta, J.A.; Oliveira, M.C.N.; Dias-Pereira, J.; et al. Associative bacteria influence maize (Zea mays L.) growth, physiology and root anatomy under different nitrogen levels. Plant Biol. 2018, 20, 870–878. [Google Scholar] [CrossRef] [PubMed]
- Santos, R.S.; Scoriza, R.N.; Ferreira, J.S. Arbuscular Mycorrhizal Fungi in Different Forest Covers in Vitória da Conquista, Bahia State, Brazil. Floresta Ambiente 2013, 20, 344–350. [Google Scholar]
- Wahab, A.; Muhammad, M.; Munir, A.; Abdi, G.; Zaman, W.; Ayaz, A.; Khizar, C.; Reddy, S.P.P. Role of Arbuscular Mycorrhizal Fungi in Regulating Growth, Enhancing Productivity, and Potentially Influencing Ecosystems under Abiotic and Biotic Stresses. Plants 2023, 12, 3102. [Google Scholar] [CrossRef] [PubMed]
- Hungria, M.; Campo, R.J.; Souza, E.M.; Pedrosa, F.O. Inoculation with selected strains of Azospirillum brasilense and A. lipoferum improves yields of maize and wheat in Brazil. Plant Soil 2010, 331, 413–425. [Google Scholar] [CrossRef]
- Goes, K.C.G.P.; Fisher, M.L.C.; Catellan, A.J.; Nogueira, M.A.; Carvalho, C.G.P.; Oliveira, A.L.M. Biochemical and molecular characterization of high population density bacteria isolated from sunflower. J. Microbiol. Biotechnol. 2012, 22, 437–447. [Google Scholar] [CrossRef] [PubMed]
- Oliveira, A.L.M.; Santos, O.J.A.P.; Marcelino, P.R.; Milani, K.M.L.; Zuluaga, M.Y.A.; Zucareli, C.; Gonçalvez, L.S.A. Maize inoculation with Azospirillum brasilense Ab-V5 cells enriched with exopolysaccharides and polyhydroxybutyrate results in high productivity under low N fertilizer input. Front. Microbiol. 2017, 8, 1873. [Google Scholar] [CrossRef]
- Marsudi, N.D.S.; Glenn, A.R.; Dilworth, M.J. Identification and characterization of fast- and slow-growing root nodule bacteria from South-Western Australian soils able to nodulate Acacia saligna. Soil Biol. Biochem. 1999, 31, 1229–1238. [Google Scholar] [CrossRef]
- Hoagland, D.R.; Arnon, D.I. The water-culture method of growing plants without soil. Calif. Agric. Exp. Stn. Bull. 1950, 347, 1–38. [Google Scholar]
- Kraus, J.E.; Arduim, M. Basic Manual of Methods in Plant Morphology; Seropédica-Edur: Rio de Janeiro, Brazil, 1997; 198p. [Google Scholar]
- O’Brien, T.P.; McCully, M.E. The Study of Plant Structure Principles and Select Methods; Termarcarphi: Melbourne, Australia, 1981; 45p. [Google Scholar]
- Camejo, G.; Wallin, B.; Enojärvi, M. Analyses of oxidation and antioxidants using microtiter plates. In Free Radical and Antioxidants Protocols; Humana Press: Mölndal, Sweden, 1998; Volume 610, pp. 377–387. [Google Scholar]
- Stewart, G.R.; Popp, M.; Holzapfel, I.; Stewart, J.A.; Dickie-Eskew, A. Localization of nitrate reduction in ferns and its relationship to environment and physiological characteristics. New Phytol. 1986, 104, 373–384. [Google Scholar] [CrossRef]
- Hageman, R.H.; Reed, A.J. Nitrate reductase from higher plants. Methods Enzymol. 1980, 69, 270–280. [Google Scholar]
- Naveed, M.; Mitter, B.; Reichenauer, T.G.; Wieczorek, K.; Sessitsch, A. Increased drought stress resilience of maize through endophytic colonization by Burkholderia phytofirmans PsJN and Enterobacter sp. FD17. Environ. Exp. Bot. 2014, 97, 30–39. [Google Scholar] [CrossRef]
- Backer, R.; Rokem, J.S.; Ilangumaran, G.; Lamont, J.; Praslickova, D.; Ricci, E.; Subramanian, S.; Smith, D.L. Plant Growth-Promoting Rhizobacteria: Context, Mechanisms of Action, and Roadmap to Commercialization of Biostimulants for Sustainable Agriculture. Front. Plant Sci. 2018, 9, 1473. [Google Scholar] [CrossRef] [PubMed]
- Bulgarelli, D.; Schlaeppi, K.; Spaepen, S.; Loren, V.; van Themaat, E.; Schulze-Lefert, P. Structure and functions of the bacterial microbiota of plants. Annu. Rev. Plant Biol. 2013, 64, 807–838. [Google Scholar] [CrossRef] [PubMed]
- Samaniego-Gámez, B.Y.; Garruña, R.; Tun-Suárez, J.M.; Kantun-Can, J.; Reyes-Ramírez, A.; Cervantes-Díaz, L. Bacillus spp. inoculation improves photosystem II efficiency and enhances photosynthesis in pepper plants. Chil. J. Agric. Res. 2016, 76, 409–416. [Google Scholar] [CrossRef]
- Zhu, X.C.; Song, F.B.; Liu, S.Q.; Zhou, X. Arbuscular mycorrizae improves photosynthesis and water status of Zea mays L. under drought stress. Plant Soil Environ. 2012, 4, 186–191. [Google Scholar] [CrossRef]
- Baker, N.R. Chlorophyll fluorescence: A probe of photosynthesis in vivo. Annu. Rev. Plant Biol. 2008, 59, 89–113. [Google Scholar] [CrossRef]
- Hungria, M.; Barbosa, J.Z.; Rondina, A.B.L.; Nogueira, M.A. Improving maize sustainability with partial replacement of N-fertilizers by inoculation with Azospirillum brasilense. Agron. J. 2022, 114, 2969–2980. [Google Scholar] [CrossRef]
- James, E.K.; Baldani, J.I. The role of biological nitrogen fixation by non-legumes in the sustainable production of food and biofuels. Plant Soil 2012, 356, 1–3. [Google Scholar] [CrossRef][Green Version]
- Bloom, A.J. Assimilation of inorganic nutrients. In Plant Physiology and Development; Taiz, L., Zeiger, E., Moller, I.M., Murphy, A., Eds.; Porto Alegre: Artmed, Brazil, 2017; pp. 356–357. [Google Scholar]
- El-Komy, H.M.; Hamdia, M.A.; Abd El-Baki, G.K. Nitrate reductase in wheat plants grown under water stress and inoculated with Azospirillum spp. Biol. Plant. 2003, 46, 281–287. [Google Scholar] [CrossRef]
- Mapfumo, E.; Aspinall, D.; Hancock, T.; Sedgley, M. Xylem development in relation to water uptake by roots of grapevine (Vitis vinifera L.). New Phytol. 1993, 125, 93–99. [Google Scholar] [CrossRef] [PubMed]
- Nijsse, J.; van der Heijden, G.W.A.M.; van Ieperen, W.; Keijzer, C.J.; van Meeteren, U. Xylem hydraulic conductivity related to conduit dimensions along chrysanthemum stems. J. Exp. Bot. 2001, 52, 319–327. [Google Scholar] [CrossRef]
- Pereyra, M.A.; García, P.; Colabelli, M.N.; Barassi, C.A.; Creus, C.M. A better water status in wheat seedlings induced by Azospirillum under osmotic stress is related to morphological changes in xylem vessels of the coleoptile. Appl. Soil Ecol. 2012, 53, 94–97. [Google Scholar] [CrossRef]
- McCully, M.E.; Huang, C.X.; Ling, L.E.C. Daily embolism and refilling of xylem vessels in the roots of field-grown maize. New Phytol. 1998, 138, 327–342. [Google Scholar] [CrossRef] [PubMed]
- Tyree, M.T.; Fiscus, E.L.; Wullschkeger, S.D.; Dixon, M.A. Detection of xylem cavitation in corn under field conditions. Plant Physiol. 1986, 82, 597–599. [Google Scholar] [CrossRef] [PubMed]
- Stasovsky, E.; Peterson, C.A. The effects of drought and subsequent rehydration on the structure and vitality of Zea mays seedling roots. Can. J. Bot. 1991, 69, 1170–1178. [Google Scholar] [CrossRef]
- Creus, C.M.; Sueldo, R.J.; Barassi, C.A. Shoot growth and water status in Azospirillum-inoculated wheat seedlings grown under osmotic and salt stresses. Plant Physiol. Biochem. 1997, 35, 939–944. [Google Scholar]
- Romero, A.M.; Vega, D.; Correa, O.S. Azospirillum brasilense mitigates water stress imposed by a vascular disease by increasing xylem vessel area and stem hydraulic conductivity in tomato. Appl. Soil Ecol. 2014, 82, 38–43. [Google Scholar] [CrossRef]
- Brusamarello-Santos, L.C.C.; Alberton, D.; Valdameri, G.; Camilios-Neto, D.; Covre, R.; Lopes, K.D.P.; Tadra-Sfeir, M.Z.; Faoro, H.; Monteiro, R.A.; Barbosa-Silva, A.; et al. Modulation of defence and iron homeostasis genes in rice roots by the diazotrophic endophyte Herbaspirillum seropedicae. Sci. Rep. 2019, 9, 10573. [Google Scholar] [CrossRef]
- Cook, J.; Degon, Z.; Ruiz, D.; Pope, J.; Rahmatallah, Y.; Mukherjee, A. The plant growth-promoting bacteria, Azospirillum brasilense, induce a diverse array of genes in rice shoots and promote their growth. Plant Growth Regul. 2022, 97, 143–155. [Google Scholar] [CrossRef]
- Thomas, J.; Kim, H.R.; Rahmatallah, Y.; Wiggins, G.; Yang, Q.; Singh, R.; Glazko, G.; Mukherjee, A. RNA-seq reveals differentially expressed genes in rice (Oryza sativa) roots during interactions with plant-growth promoting bacteria Azospirillum brasilense. PLoS ONE 2019, 14, 5. [Google Scholar] [CrossRef] [PubMed]


| Treatments | R Dry Weight (g) | S Dry Weight (g) | TDW (g) | R:TDW | S:TDW |
|---|---|---|---|---|---|
| Control | 0.33 ± 0.02 b | 0.42 ± 0.11 b | 0.75 ± 0.11 c | 0.44 ± 0.04 a | 0.56 ± 0.04 b |
| AMF | 0.35 ± 0.01 ab | 0.56 ± 0.07 ab | 0.91 ± 0.08 bc | 0.39 ± 0.02 ab | 0.61 ± 0.02 ab |
| Ab-V5 | 0.42 ± 0.01 a | 0.55 ± 0.10 ab | 0.97 ± 0.10 abc | 0.46 ± 0.05 a | 0.54 ± 0.05 b |
| Ab-V5 + AMF | 0.41 ± 0.02 ab | 0.45 ± 0.11 b | 0.84 ± 0.14 bc | 0.38 ± 0.03 ab | 0.62 ± 0.03 ab |
| ZK | 0.38 ± 0.01 ab | 0.75 ± 0.05 ab | 1.14 ± 0.04 ab | 0.33 ± 0.02 b | 0.67 ± 0.02 a |
| ZK + AMF | 0.36 ± 0.03 ab | 0.87 ± 0.06 a | 1.27 ± 0.06 a | 0.33 ± 0.01 b | 0.67 ± 0.01 a |
| Treatments | VCT (μm) | VCA (mm2) | Area MVE (μm2) |
|---|---|---|---|
| Control | 272 ± 13.3 c | 0.236 ± 0.025 c | 7667.33 ± 327.79 c |
| AMF | 415 ± 15.89 a | 0.436 ± 0.058 abc | 13,249.38 ± 584.54 ab |
| Ab-V5 | 254 ± 24.9 c | 0.309 ± 0.110 bc | 15,604.77 ± 1664.67 a |
| Ab-V5 + AMF | 299 ± 8.92 bc | 0.289 ± 0.017 bc | 9252.42 ± 1054.67 bc |
| ZK | 372 ± 15.0 ab | 0.522 ± 0.046 ab | 11,630.35 ± 973.36 abc |
| ZK + AMF | 444 ± 33.0 a | 0.636 ± 0.061 a | 10,173.82 ± 300.85 bc |
Disclaimer/Publisher’s Note: The statements, opinions and data contained in all publications are solely those of the individual author(s) and contributor(s) and not of MDPI and/or the editor(s). MDPI and/or the editor(s) disclaim responsibility for any injury to people or property resulting from any ideas, methods, instructions or products referred to in the content. |
© 2024 by the authors. Licensee MDPI, Basel, Switzerland. This article is an open access article distributed under the terms and conditions of the Creative Commons Attribution (CC BY) license (https://creativecommons.org/licenses/by/4.0/).
Share and Cite
Tiepo, A.N.; Fávaro, M.H.; Amador, T.S.; Tavares, L.F.; Hertel, M.F.; Calzavara, A.K.; de Oliveira, A.L.M.; Oliveira, H.C.; Dias-Pereira, J.; de Araújo, H.H.; et al. Associative Bacteria and Arbuscular Mycorrhizal Fungus Increase Drought Tolerance in Maize (Zea mays L.) through Morphoanatomical, Physiological, and Biochemical Changes. Plants 2024, 13, 1667. https://doi.org/10.3390/plants13121667
Tiepo AN, Fávaro MH, Amador TS, Tavares LF, Hertel MF, Calzavara AK, de Oliveira ALM, Oliveira HC, Dias-Pereira J, de Araújo HH, et al. Associative Bacteria and Arbuscular Mycorrhizal Fungus Increase Drought Tolerance in Maize (Zea mays L.) through Morphoanatomical, Physiological, and Biochemical Changes. Plants. 2024; 13(12):1667. https://doi.org/10.3390/plants13121667
Chicago/Turabian StyleTiepo, Angélica Nunes, Mateus Henrique Fávaro, Talita Silveira Amador, Leonardo Fernandes Tavares, Mariana Fernandes Hertel, Anderson Kikuchi Calzavara, André Luiz Martinez de Oliveira, Halley Caixeta Oliveira, Jaqueline Dias-Pereira, Hugo Humberto de Araújo, and et al. 2024. "Associative Bacteria and Arbuscular Mycorrhizal Fungus Increase Drought Tolerance in Maize (Zea mays L.) through Morphoanatomical, Physiological, and Biochemical Changes" Plants 13, no. 12: 1667. https://doi.org/10.3390/plants13121667
APA StyleTiepo, A. N., Fávaro, M. H., Amador, T. S., Tavares, L. F., Hertel, M. F., Calzavara, A. K., de Oliveira, A. L. M., Oliveira, H. C., Dias-Pereira, J., de Araújo, H. H., Bianchini, E., Pimenta, J. A., & Stolf-Moreira, R. (2024). Associative Bacteria and Arbuscular Mycorrhizal Fungus Increase Drought Tolerance in Maize (Zea mays L.) through Morphoanatomical, Physiological, and Biochemical Changes. Plants, 13(12), 1667. https://doi.org/10.3390/plants13121667

