Exploring the Antibacterial Potential of Lamiaceae Plant Extracts: Inhibition of Bacterial Growth, Adhesion, Invasion, and Biofilm Formation and Degradation in Pseudomonas aeruginosa PAO1
Abstract
1. Introduction
2. Results
2.1. Yield of Extracts
2.2. Total Coumarin and Triterpene Contents in Lamiaceae Extracts
2.3. Inhibition of Bacterial Growth by Lamiaceae Extracts
2.4. Inhibition of Adhesion and Invasion of P. aeruginosa PAO1 on Human Fibroblasts by Lamiaceae Extracts
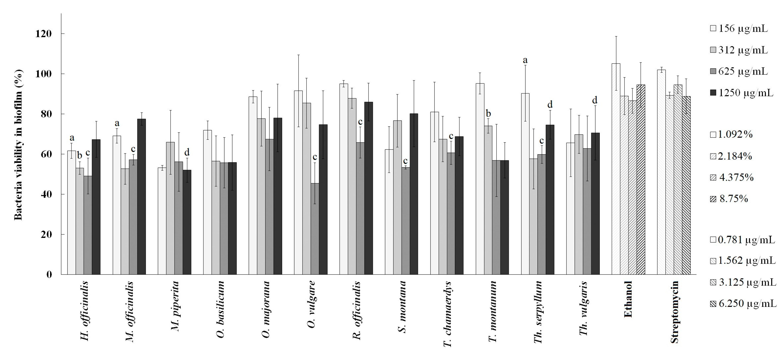
2.5. Inhibition of P. aeruginosa PAO1 Biofilm Formation and Degradation by Lamiaceae Extracts
2.6. Correlation Analysis across Assays: Phytochemical Content, Bacterial Growth, Invasion, Biofilm Formation, and Degradation
2.7. Integrated Biomarker Response Analysis
- standardization of the MIC assay results for B. subtilis, E. faecalis, L. innocua, S. aureus, and P. aeruginosa ATCC 15442;
- P. aeruginosa PAO1 invasion assay in lung fibroblast infection;
- inhibition of P. aeruginosa PAO1 biofilm formation;
- inhibition of P. aeruginosa PAO1 biofilm degradation.
3. Discussion
4. Materials and Methods
4.1. Plant Material
4.2. Chemicals and Reagents
4.3. Preparation of Lamiaceae Extracts
Yield of Extracts
4.4. Total Coumarin Content
4.5. Total Triterpene Content
4.6. Preparation of Bacterial Strains
4.7. Cell Culture Preparation for Assessing the Impact of Lamiaceae Extracts on Adhesion and Invasion of P. aeruginosa PAO1 ATCC 15692
4.8. Microdilution Assay
4.9. Assessment of Lamiaceae Extracts Impact on P. aeruginosa PAO1 Adhesion and Invasion in Lung Fibroblast Cell Infection
4.9.1. Adhesion Assay
4.9.2. Invasion Assay
4.10. Assessment of Lamiaceae Extracts’ Impact on P. aeruginosa PAO1 Biofilm Formation
4.11. Assessment of Lamiaceae Extracts Impact on Pre-Existing P. aeruginosa PAO1 Biofilm
4.12. Statistical Analyses
5. Conclusions
Author Contributions
Funding
Data Availability Statement
Acknowledgments
Conflicts of Interest
References
- GBD 2019 Antimicrobial Resistance Collaborators. Global mortality associated with 33 bacterial pathogens in 2019: A systematic analysis for the Global Burden of Disease Study 2019. Lancet 2022, 400, 2221–2248. [Google Scholar] [CrossRef] [PubMed]
- Savoia, D. Plant-derived antimicrobial compounds: Alternatives to antibiotics. Future Microbiol. 2012, 7, 979–990. [Google Scholar] [CrossRef] [PubMed]
- Pancu, D.F.; Scurtu, A.; Macasoi, I.G.; Marti, D.; Mioc, M.; Soica, C.; Coricovac, D.; Horhat, D.; Poenaru, M.; Dehelean, C. Antibiotics: Conventional therapy and natural compounds with antibacterial activity—A pharmaco-toxicological screening. Antibiotics 2021, 10, 401. [Google Scholar] [CrossRef] [PubMed]
- Mustafa, Y.F. Emerging trends and future opportunities for coumarin-heterocycle conjugates as antibacterial agents. Results Chem. 2023, 6, 101151. [Google Scholar] [CrossRef]
- Pecoraro, C.; Carbone, D.; Parrino, B.; Cascioferro, S.; Diana, P. Recent developments in the inhibition of bacterial adhesion as promising anti-virulence strategy. Int. J. Mol. Sci. 2023, 24, 4872. [Google Scholar] [CrossRef] [PubMed]
- Chen, L.; Wen, Y.M. The role of bacterial biofilm in persistent infections and control strategies. Int. J. Oral Sci. 2011, 3, 66–73. [Google Scholar] [CrossRef] [PubMed]
- Mirzaei, R.; Mohammadzadeh, R.; Sholeh, M.; Karampoor, S.; Abdi, M.; Dogan, E.; Moghadam, M.S.; Kazemi, S.; Jalalifar, S.; Dalir, A.; et al. The importance of intracellular bacterial biofilm in infectious diseases. Microb. Pathog. 2020, 147, 104393. [Google Scholar] [CrossRef]
- Venkateswaran, P.; Vasudevan, S.; David, H.; Shaktivel, A.; Shanmugam, K.; Neelakantan, P.; Solomon, A.P. Revisiting ESKAPE Pathogens: Virulence, resistance, and combating strategies focusing on quorum sensing. Front. Cell. Infect. Microbiol. 2023, 13, 1159798. [Google Scholar] [CrossRef]
- Zeineldin, M.; Esmael, A.; Al-Hindi, R.R.; Alharbi, M.G.; Ashenafi Bekele, D.; Teklemariam, A.D. Beyond the risk of biofilms: An up-and-coming battleground of bacterial life and potential antibiofilm agents. Life 2023, 13, 503. [Google Scholar] [CrossRef] [PubMed]
- Roy, R.; Tiwari, M.; Donelli, G.; Tiwari, V. Strategies for combating bacterial biofilms: A focus on anti-biofilm agents and their mechanisms of action. Virulence 2018, 9, 522–554. [Google Scholar] [CrossRef] [PubMed]
- Slettengren, M.; Mohanty, S.; Kamolvit, W.; Van Der Linden, J.; Brauner, A. Making medical devices safer: Impact of plastic and silicone oil on microbial biofilm formation. J. Hosp. Infect. 2020, 106, 155–162. [Google Scholar] [CrossRef] [PubMed]
- Nieto, G. Biological activities of three essential oils of the Lamiaceae family. Medicines 2017, 4, 63. [Google Scholar] [CrossRef] [PubMed]
- Seukep, A.J.; Mbuntcha, H.G.; Zeuko’o, E.M.; Woquan, L.S.; Nembu, N.E.; Bomba, F.T.; Watching, D.; Kuete, V. Established antibacterial drugs from plants. Adv. Bot. Res. 2023, 106, 81–149. [Google Scholar]
- Vuković, N.; Milošević, T.; Sukdolak, S.; Solujić, S. The chemical composition of the essential oil and the antibacterial activities of the essential oil and methanol extract of Teucrium montanum. J. Serb. Chem. Soc. 2008, 73, 299–305. [Google Scholar] [CrossRef]
- Quave, C.L.; Smeltzer, M. Anti-biofilm activity of Marrubium vulgare L. (Lamiaceae) extract on MRSA. Planta Med. 2009, 75, P-96. [Google Scholar]
- Elmasri, W.A.; Hegazy, M.E.F.; Aziz, M.; Koksal, E.; Amor, W.; Mechref, Y.; Hamood, A.N.; Cordes, D.B.; Paré, P.W. Biofilm blocking sesquiterpenes from Teucrium polium. Phytochemistry 2014, 103, 107–113. [Google Scholar] [CrossRef]
- Piras, A.; Gonçalves, M.J.; Alves, J.; Falconieri, D.; Porcedda, S.; Maxia, A.; Salgueiro, L. Ocimum tenuiflorum L. and Ocimum basilicum L., two spices of Lamiaceae family with bioactive essential oils. Ind. Crops Prod. 2018, 113, 89–97. [Google Scholar] [CrossRef]
- Čabarkapa, I.; Čolović, R.; Đuragić, O.; Popović, S.; Kokić, B.; Milanov, D.; Pezo, L. Anti-biofilm activities of essential oils rich in carvacrol and thymol against Salmonella enteritidis. Biofouling 2019, 35, 361–375. [Google Scholar] [CrossRef] [PubMed]
- Ben Abdallah, F.; Lagha, R.; Gaber, A. Biofilm inhibition and eradication properties of medicinal plant essential oils against Methicillin-Resistant Staphylococcus aureus clinical isolates. Pharmaceuticals 2020, 13, 369. [Google Scholar] [CrossRef]
- Jakovljević; Kovač, M.; Pavić, V.; Huđ, A.; Cindrić, I.; Molnar, M. Determination of suitable macroporous resins and desorbents for carnosol and carnosic acid from deep eutectic solvent sage (Salvia officinalis) extract with assessment of antiradical and antibacterial activity. Antioxidants 2021, 10, 556. [Google Scholar]
- Babotă, M.; Frumuzachi, O.; Nicolescu, A.; Stojković, D.; Soković, M.; Rocchetti, G.; Zhang, L.; Lucini, L.; Crișan, G.; Mocan, A.; et al. Phenolic profile, in vitro antimicrobial and in vivo diuretic effects of endemic wild thyme Thymus comosus Heuff ex. Griseb. (Lamiaceae) from Romania. Front. Pharmacol. 2023, 14, 1115117. [Google Scholar] [CrossRef] [PubMed]
- Hemati, S.; Kouhsari, E.; Sadeghifard, N.; Maleki, A.; Omidi, N.; Mahdavi, Z.; Pakzad, I. Sub-minimum inhibitory concentrations of biocides induced biofilm formation in Pseudomonas aeruginosa. New Microbes New Infect. 2020, 38, 100794. [Google Scholar] [CrossRef] [PubMed]
- Langendonk, R.F.; Neill, D.R.; Fothergill, J.L. The building blocks of antimicrobial resistance in Pseudomonas aeruginosa: Implications for current resistance-breaking therapies. Front. Cell. Infect. Microbiol. 2021, 11, 665759. [Google Scholar] [CrossRef] [PubMed]
- Taylor, R. Interpretation of the correlation coefficient: A basic review. J. Diagn. Med. Sonogr. 1990, 6, 35–39. [Google Scholar] [CrossRef]
- Stegăruș, D.I.; Lengyel, E.; Apostolescu, G.F.; Botoran, O.R.; Tanase, C. Phytochemical analysis and biological activity of three Stachys species (Lamiaceae) from Romania. Plants 2021, 10, 2710. [Google Scholar] [CrossRef] [PubMed]
- Orhan, I.E.; Belhattab, R.; Şenol, F.S.; Gülpinar, A.R.; Hoşbaş, S.; Kartal, M. Profiling of cholinesterase inhibitory and antioxidant activities of Artemisia absinthium, A. herba-alba, A. fragrans, Marrubium vulgare, M. astranicum, Origanum vulgare subsp. glandulossum and essential oil analysis of two Artemisia species. Ind. Crops Prod. 2010, 32, 566–571. [Google Scholar]
- Vidović, S.; Zeković, Z.; Marošanović, B.; Pandurević Todorović, M.; Vladić, J. Influence of pre-treatments on yield, chemical composition and antioxidant activity of Satureja montana extracts obtained by supercritical carbon dioxide. J. Supercrit. Fluids 2014, 95, 468–473. [Google Scholar] [CrossRef]
- Angeloni, S.; Spinozzi, E.; Maggi, F.; Sagratini, G.; Caprioli, G.; Borsetta, G.; Ak, G.; Sinan, K.I.; Zengin, G.; Arpini, S.; et al. Phytochemical profile and biological activities of crude and purified Leonurus cardiaca extracts. Plants 2021, 10, 195. [Google Scholar] [CrossRef] [PubMed]
- Mićović, T.; Topalović, D.; Živković, L.; Spremo-Potparević, B.; Jakovljević, V.; Matić, S.; Popović, S.; Baskić, D.; Stešević, D.; Samardžić, S.; et al. Antioxidant, antigenotoxic and cytotoxic activity of essential oils and methanol extracts of Hyssopus officinalis L. subsp. aristatus (Godr.) Nyman (Lamiaceae). Plants 2021, 10, 711. [Google Scholar] [CrossRef] [PubMed]
- Triantaphyllou, K.; Blekas, G.; Boskou, D. Antioxidative properties of water extracts obtained from herbs of the species Lamiaceae. Int. J. Food Sci. Nutr. 2001, 52, 313–317. [Google Scholar] [CrossRef]
- El-Maati, M.F.A.; Labib, S.M.; Al-Gaby, A.M.A.; Ramadan, M.F. Antioxidant properties of different extracts from five medicinal plants. Zagazig J. Agric. Res. 2012, 39, 1–13. [Google Scholar]
- Amessis-Ouchemoukh, N.; Abu-Reidah, I.M.; Quirantes-Piné, R.; Madani, K.; Segura-Carretero, A. Phytochemical profiling, in vitro evaluation of total phenolic contents and antioxidant properties of Marrubium vulgare (horehound) leaves of plants growing in Algeria. Ind. Crops Prod. 2014, 61, 120–129. [Google Scholar] [CrossRef]
- Duletić-Laušević, S.; Alimpić Aradski, A.; Živković, J.; Gligorijević, N.; Šavikin, K.; Radulović, S.; Ćoćić, D.; Marin, P.D. Evaluation of bioactivities and phenolic composition of extracts of Salvia officinalis L. (Lamiaceae) collected in Montenegro. Bot. Serb. 2019, 43, 47–58. [Google Scholar] [CrossRef]
- Do, Q.D.; Angkawijaya, A.E.; Tran-Nguyen, P.L.; Huynh, L.H.; Soetaredjo, F.E.; Ismadji, S.; Ju, Y.H. Effect of extraction solvent on total phenol content, total flavonoid content, and antioxidant activity of Limnophila aromatica. J. Food Drug Anal. 2014, 22, 296–302. [Google Scholar] [CrossRef]
- Jovanović, A.; Petrović, P.; Đorđević, V.; Zdunić, G.; Šavikin, K.; Bugarski, B. Polyphenols extraction from plant sources. Lek. Sirov. 2017, 37, 45–49. [Google Scholar] [CrossRef]
- Kivilompolo, M.; Hyötyläinen, T. Comperhensive two-dimensional liquid chromatography in analysis of Lamiaceae herbs: Characterisation and quantification of antioxidant phenolic acids. J. Chromatogr. A 2007, 1145, 155–164. [Google Scholar] [CrossRef] [PubMed]
- Chemat, F.; Rombaut, N.; Sicaire, A.G.; Meullemiestre, A.; Fabiano-Tixier, A.S.; Abert-Vian, M. Ultrasound assisted extraction of food and natural products. Mechanisms, techniques, combinations, protocols, and applications. A review. Ultrason. Sonochem. 2017, 34, 540–560. [Google Scholar] [CrossRef] [PubMed]
- Bucić-Kojić, A.; Planinić, M.; Tomas, S.; Jokić, S.; Mujić, I.; Velić, D.; Bilić, M. Effect of extraction conditions on the extractability of phenolic compounds from lyophilised grape skin using different solvents. Food Technol. Biotechnol. 2007, 45, 386–393. [Google Scholar]
- Rastija, V.; Vrandečić, K.; Ćosić, J.; Kanižai Šarić, G.; Majić, I.; Karnaš, M. Prospects of computer-aided molecular design of coumarins as ecotoxicologically safe plant protection agents. Appl. Sci. 2023, 13, 6535. [Google Scholar] [CrossRef]
- Patil, S.R.; Patil, R.S.; Godghate, A.G. Mentha piperita Linn: Phytochemical, antibacterial and dipterian adulticidal approach. Int. J. Pharm. Pharm. Sci. 2016, 8, 352–355. [Google Scholar]
- Mahdi, S.; Azzi, R.; Lahfa, F.B. Evaluation of in vitro α-amylase and α-glucosidase inhibitory potential and hemolytic effect of phenolic enriched fractions of the aerial part of Salvia officinalis L. Diabetes Metab. Syndr. Clin. Res. Rev. 2020, 14, 689–694. [Google Scholar] [CrossRef] [PubMed]
- Matos, M.J.; Santana, L.; Uriarte, E.; Abreu, O.A.; Molina, E.; Yordi, E.G. Coumarins—An important class of phytochemicals. In Phytochemicals—Isolation, Characterisation and Role in Human Health; Rao, V., Rao, L., Eds.; IntechOpen: Rijeka, Croatia, 2015; pp. 113–140. [Google Scholar]
- Uritu, C.M.; Mihai, C.T.; Stanciu, G.D.; Dodi, G.; Alexa-Stratulat, T.; Luca, A.; Leon-Constantin, M.M.; Stefanescu, R.; Bild, V.; Melnic, S.; et al. Medicinal plants of the family Lamiaceae in pain therapy: A review. Pain Res. Manag. 2018, 2018, 7801543. [Google Scholar] [CrossRef] [PubMed]
- Héral, B.; Stierlin, É.; Fernandez, X.; Michel, T. Phytochemicals from the genus Lavandula: A review. Phytochem. Rev. 2020, 20, 751–771. [Google Scholar] [CrossRef]
- Ludwiczuk, A.; Skalicka-Woźniak, K.; Georgiev, M.I. Terpenoids. In Pharmacognosy; Academic Press: Cambridge, MA, USA, 2017; pp. 233–266. [Google Scholar]
- Ríos, J.L. Effects of triterpenes on the immune system. J. Ethnopharmacol. 2010, 128, 1–14. [Google Scholar] [CrossRef] [PubMed]
- Etsassala, N.G.; Hussein, A.A.; Nchu, F. Potential application of some Lamiaceae species in the management of diabetes. Plants 2021, 10, 279. [Google Scholar] [CrossRef] [PubMed]
- Agatonović-Kuštrin, S.; Kuštrin, E.; Gegechkori, V.; Morton, D.W. Bioassay-guided identification of α-amylase inhibitors in herbal extracts. J. Chromatogr. A 2020, 1620, 460970. [Google Scholar] [CrossRef]
- Annunziata, F.; Pinna, C.; Dallavalle, S.; Tamborini, L.; Pinto, A. An overview of coumarin as a versatile and readily accessible scaffold with broad-ranging biological activities. Int. J. Mol. Sci 2020, 21, 4618. [Google Scholar] [CrossRef] [PubMed]
- Bouloumpasi, E.; Hatzikamari, M.; Christaki, S.; Lazaridou, A.; Chatzopoulou, P.; Biliaderis, C.G.; Irakli, M. Assessment of antioxidant and antibacterial potential of phenolic extracts from post-distillation solid residues of oregano, rosemary, sage, lemon balm, and spearmint. Processes 2024, 12, 140. [Google Scholar] [CrossRef]
- Serrano, C.; Matos, O.; Teixeira, B.; Ramos, C.; Neng, N.; Nogueira, J.; Nunes, M.L.; Marques, A. Antioxidant and antimicrobial activity of Satureja montana L. extracts. J. Sci. Food. Agric. 2011, 91, 1554–1560. [Google Scholar] [CrossRef] [PubMed]
- Stanković, M.S.; Stefanović, O.; Čomić, L.; Topuzović, M.; Radojević, I.; Solujić, S. Antimicrobial activity, total phenolic content and flavonoid concentrations of Teucrium species. Cent. Eur. J. Biol. 2012, 7, 664–671. [Google Scholar] [CrossRef]
- Vlase, L.; Benedec, D.; Hanganu, D.; Damian, G.; Csillag, I.; Sevastre, B.; Mot, A.C.; Silaghi-Dumitrescu, R.; Tilea, I. Evaluation of antioxidant and antimicrobial activities and phenolic profile for Hyssopus officinalis, Ocimum basilicum and Teucrium chamaedrys. Molecules 2014, 19, 5490–5507. [Google Scholar] [CrossRef] [PubMed]
- Hassanshahiyan, M.; Saadatfar, A.; Masoumi, F. Antimicrobial properties of Hyssopus officinalis extract against antibiotic-resistant bacteria in planktonic and biofilm form. Biol. J. Microorg. 2018, 7, 91–101. [Google Scholar]
- Elansary, H.O.; Szopa, A.; Kubica, P.; Ekiert, H.; Klimek-Szczykutowicz, M.; El-Ansary, D.O.; Mahmoud, E.A. Polyphenol profile and antimicrobial and cytotoxic activities of natural Mentha × piperita and Mentha longifolia populations in Northern Saudi Arabia. Processes 2020, 8, 479. [Google Scholar] [CrossRef]
- Jafari-Sales, A.; Hossein-Nezhad, P. Antimicrobial effects of Rosmarinus officinalis methanolic extract on Staphylococcus aureus, Bacillus cereus, Escherichia coli and Pseudomonas aeruginosa in laboratory conditions. J. Med. Chem. Sci. 2020, 3, 103–108. [Google Scholar]
- Ivasenko, S.; Orazbayeva, P.; Skalicka–Wozniak, K.; Ludwiczuk, A.; Marchenko, A.; Ishmuratova, M.; Poleszak, E.; Korona-Glowniak, I.; Akhmetova, S.; Karilkhan, I.; et al. Antimicrobial activity of ultrasonic extracts of two chemotypes of Thymus serpyllum L. of Central Kazakhstan and their polyphenolic profiles. Open Access Maced. J. Med. Sci. 2021, 9, 61–67. [Google Scholar] [CrossRef]
- Mssillou, I.; Agour, A.; Hamamouch, N.; Lyoussi, B.; Derwich, E. Chemical composition and in vitro antioxidant and antimicrobial activities of Marrubium vulgare L. Sci. World J. 2021, 2021, 7011493. [Google Scholar] [CrossRef] [PubMed]
- Parra, C.; Muñoz, P.; Bustos, L.; Parra, F.; Simirgiotis, M.J.; Escobar, H. UHPLC-DAD characterization of Origanum vulgare L. from Atacama Desert Andean region and antioxidant, antibacterial and enzyme inhibition activities. Molecules 2021, 26, 2100. [Google Scholar] [CrossRef] [PubMed]
- Kowalczyk, T.; Merecz-Sadowska, A.; Ghorbanpour, M.; Szemraj, J.; Piekarski, J.; Bijak, M.; Śliwiński, T.; Zajdel, R.; Sitarek, P. Enhanced natural strength: Lamiaceae essential oils and nanotechnology in in vitro and in vivo medical research. Int. J. Mol. Sci. 2023, 24, 15279. [Google Scholar] [CrossRef] [PubMed]
- Walasek-Janusz, M.; Grzegorczyk, A.; Malm, A.; Nurzyńska-Wierdak, R.; Zalewski, D. Chemical composition, and antioxidant and antimicrobial activity of oregano essential oil. Molecules 2024, 29, 435. [Google Scholar] [CrossRef]
- Zhakipbekov, K.; Turgumbayeva, A.; Akhelova, S.; Bekmuratova, K.; Blinova, O.; Utegenova, G.; Shertaeva, K.; Sadykov, N.; Tastambek, K.; Saginbazarova, A.; et al. Antimicrobial and other pharmacological properties of Ocimum basilicum, Lamiaceae. Molecules 2024, 29, 388. [Google Scholar] [CrossRef] [PubMed]
- Stefanović, O.; Čomić, L. Synergistic antibacterial interaction between Melissa officinalis extracts and antibiotics. J. Appl. Pharm. Sci. 2012, 2, 1–5. [Google Scholar]
- Mocan, A.; Babotă, M.; Pop, A.; Fizeșan, I.; Diuzheva, A.; Locatelli, M.; Carradori, S.; Campestre, C.; Menghini, L.; Sisea, C.R.; et al. Chemical constituents and biologic activities of sage species: A comparison between Salvia officinalis L., S. glutinosa L. and S. transsylvanica (Schur ex Griseb. & Schenk) Schur. Antioxidants 2020, 9, 480. [Google Scholar] [CrossRef] [PubMed]
- Drevets, D.A.; Leenen, P.J.; Greenfield, R.A. Invasion of the central nervous system by intracellular bacteria. Clin. Microbiol. Rev. 2004, 17, 323–347. [Google Scholar] [CrossRef] [PubMed]
- Ahmed, G.F.; Elkhatib, W.F.; Noreddin, A.M. Inhibition of Pseudomonas aeruginosa PAO1 adhesion to and invasion of A549 lung epithelial cells by natural extracts. J. Infect. Public Health 2014, 7, 436–444. [Google Scholar] [CrossRef] [PubMed]
- Ravichandran, A.; Ramachandran, M.; Suriyanarayanan, T.; Wong, C.C.; Swarup, S. Global regulator MorA affects virulence-associated protease secretion in Pseudomonas aeruginosa PAO1. PLoS ONE 2015, 10, e0123805. [Google Scholar] [CrossRef] [PubMed]
- Sandasi, M.; Leonard, C.M.; Van Vuuren, S.F.; Viljoen, A.M. Peppermint (Mentha piperita) inhibits microbial biofilms in vitro. S. Afr. J. Bot. 2011, 77, 80–85. [Google Scholar] [CrossRef]
- Micota, B.; Sadowska, B.; Podsędek, A.; Paszkiewicz, M.; Sosnowska, D.; Różalska, B. Is it true that plant-derived polyphenols are always beneficial for the human? In vitro study on Leonurus cardiaca extract properties in the context of the pathogenesis of Staphylococcus aureus infections. J. Med. Microbiol. 2016, 65, 1171–1181. [Google Scholar] [CrossRef] [PubMed]
- Šimunović, K.; Ramić, D.; Xu, C.; Smole Možina, S. Modulation of Campylobacter jejuni motility, adhesion to polystyrene surfaces, and invasion of INT407 cells by quorum-sensing inhibition. Microorganisms 2020, 8, 104. [Google Scholar] [CrossRef] [PubMed]
- Thi, M.T.T.; Wibowo, D.; Rehm, B.H. Pseudomonas aeruginosa biofilms. Int. J. Mol. Sci. 2020, 21, 8671. [Google Scholar] [CrossRef] [PubMed]
- Varposhti, M.; Abdi, A.A.; Mohammadi, P.; Saboora, A. Effects of extracts and an essential oil from some medicinal plants against biofilm formation of Pseudomonas aeruginosa. J. Med. Microbiol. Infect. Dis. 2013, 1, 36–40. [Google Scholar]
- Mohsenipour, Z.; Hassanshahian, M. The inhibitory effect of Thymus vulgaris extracts on the planktonic form and biofilm structures of six human pathogenic bacteria. Avicenna J. Phytomed. 2015, 5, 309–318. [Google Scholar] [PubMed]
- Pratiwi, S.U.; Lagendijk, E.L.; Hertiani, T.; Weert, S.D.; Cornellius, A.M.; Van Den Hondel, J.J. Antimicrobial effects of Indonesian medicinal plants extracts on planktonic and biofilm growth of Pseudomonas aeruginosa and Staphylococcus aureus. J. Hortic. 2015, 7, 183–191. [Google Scholar]
- Lekbach, Y.; Li, Z.; Xu, D.; El Abed, S.; Dong, Y.; Liu, D.; Gu, T.; Koraichi, S.I.; Yang, K.E.; Wang, F. Salvia officinalis extract mitigates the microbiologically influenced corrosion of 304L stainless steel by Pseudomonas aeruginosa biofilm. Bioelectrochemistry 2019, 128, 193–203. [Google Scholar] [CrossRef] [PubMed]
- Zarei Yazdeli, M.; Ghazaei, C.; Seyed Ebrahimi, S.A.; Arfaatabar, M.; Alipanah, H.; Noori, M. Evaluation of antimicrobial activity and anti-quorum sensing of Rosmarinus methanol extract on Pseudomonas aeruginosa. Int. J. Infect. 2021, 8, e108023. [Google Scholar] [CrossRef]
- Erci, F.; Torlak, E. Antimicrobial and antibiofilm activity of green synthesized silver nanoparticles by using aqueous leaf extract of Thymus serpyllum. Sakarya Univ. J. Sci. 2019, 23, 333–339. [Google Scholar] [CrossRef]
- Ramić, D.; Bucar, F.; Kunej, U.; Dogša, I.; Klančnik, A.; Smole Možina, S. Antibiofilm potential of Lavandula preparations against Campylobacter jejuni. Appl. Environ. Microbiol. 2021, 87, e01099-21. [Google Scholar]
- Lima, E.M.F.; Winans, S.C.; Pinto, U.M. Quorum sensing interference by phenolic compounds—A matter of bacterial misunderstanding. Heliyon 2023, 9, e17657. [Google Scholar] [CrossRef] [PubMed]
- Sharma, S.; Mohler, J.; Mahajan, S.D.; Schwartz, S.A.; Bruggemann, L.; Aalinkeel, R. Microbial biofilm: A review on formation, infection, antibiotic resistance, control measures, and innovative treatment. Microorganisms 2023, 11, 1614. [Google Scholar] [CrossRef] [PubMed]
- Zhao, A.; Sun, J.; Liu, Y. Understanding bacterial biofilms: From definition to treatment strategies. Front. Cell. Infect. Microbiol. 2023, 13, 1137947. [Google Scholar] [CrossRef] [PubMed]
- Silva, E.; Teixeira, J.A.; Pereira, M.O.; Rocha, C.M.; Sousa, A.M. Evolving biofilm inhibition and eradication in clinical settings through plant-based antibiofilm agents. Phytomedicine 2023, 119, 154973. [Google Scholar] [CrossRef] [PubMed]
- Machado, A.; Zamora-Mendoza, L.; Alexis, F.; Álvarez-Suarez, J.M. Use of plant extracts, bee-derived products, and probiotic-related applications to fight multidrug-resistant pathogens in the post-antibiotic era. Future Pharmacol. 2023, 3, 535–567. [Google Scholar] [CrossRef]
- Vitanza, L.; Maccelli, A.; Marazzato, M.; Scazzocchio, F.; Comanducci, A.; Fornarini, S.; Crestoni, M.E.; Filippi, A.; Fraschetti, C.; Rinaldi, F.; et al. Satureja montana L. essential oil and its antimicrobial activity alone or in combination with gentamicin. Microb. Pathog. 2019, 126, 323–331. [Google Scholar] [CrossRef] [PubMed]
- de Amorim, E.C.; de Castro, V.D.A.; de Melo, J.G.; Corrêa, A.J.C.; Sobrinho, T.D.S.P. Standard operating procedures (SOP) for the spectrophotometric determination of phenolic compounds contained in plant samples. In Latest Research into Quality Control; InTech: Houston, TX, USA, 2012. [Google Scholar]
- Chang, C.L.; Lin, C.S.; Lai, G.H. Phytochemical characteristics, free radical scavenging activities, and neuroprotection of five medicinal plant extracts. Evid. Based Complement. Alternat. Med. 2012, 2012, 984295. [Google Scholar] [CrossRef] [PubMed]
- Kolarević, S.; Milovanović, D.; Avdović, M.; Oalđe, M.; Kostić, J.; Sunjog, K.; Nikolić, B.; Knežević-Vukčević, J.; Vuković-Gačić, B. Optimisation of the microdilution method for detection of minimum inhibitory concentration values in selected bacteria. Bot. Serb. 2016, 40, 29–36. [Google Scholar]
- Spoering, A.L.; Lewis, K.I.M. Biofilms and planktonic cells of Pseudomonas aeruginosa have similar resistance to killing by antimicrobials. J. Bacteriol. 2001, 183, 6746–6751. [Google Scholar] [CrossRef] [PubMed]
- Merritt, J.H.; Kadouri, D.E.; O’Toole, G.A. Growing and analyzing static biofilms. Curr. Protoc. Microbiol. 2005, 22, 1B.1.1–1B.1.17. [Google Scholar]
- Beliaeff, B.; Burgeot, T. Integrated biomarker response: A useful tool for ecological risk assessment. Environ. Toxicol. Chem. 2002, 21, 1316–1322. [Google Scholar] [CrossRef] [PubMed]







| Plant Species | Yield of Extracts (%) | ||
|---|---|---|---|
| Methanolic | Ethanolic | Aqueous | |
| G. hederacea | 16.88 | 13.11 | 9.07 |
| H. officinalis | 14.12 | 10.59 | 16.63 |
| L. angustifolia | 20.11 | 18.05 | 31.06 |
| L. cardiaca | 14.27 | 32.09 | 18.15 |
| M. vulgare | 34.10 | 16.77 | 14.70 |
| M. officinalis | 16.10 | 16.70 | 23.60 |
| M. piperita | 30.88 | 18.20 | 28.27 |
| O. basilicum | 28.52 | 9.92 | 17.80 |
| O. majorana | 13.48 | 14.28 | 19.68 |
| O. vulgare | 21.68 | 13.93 | 20.73 |
| R. officinalis | 12.15 | 10.74 | 17.98 |
| S. officinalis | 18.01 | 21.91 | 21.84 |
| S. montana | 11.43 | 11.31 | 15.32 |
| S. scardica | 12.44 | 10.58 | 11.25 |
| T. chamaedrys | 15.43 | 16.20 | 16.75 |
| T. montanum | 15.50 | 13.64 | 14.66 |
| Th. serpyllum | 9.62 | 9.39 | 9.72 |
| Th. vulgaris | 10.82 | 11.27 | 12.42 |
| Plant Species | Extract | Gram-Positive Bacteria | Gram-Negative Bacteria | ||||||||
|---|---|---|---|---|---|---|---|---|---|---|---|
| B. subtilis | E. faecalis | L. innocua | S. aureus | P. aeruginosa | |||||||
| MIC | MBC | MIC | MBC | MIC | MBC | MIC | MBC | MIC | MBC | ||
| G. hederacea | methanolic | 1000 | >1000 | >1000 | nd | >1000 | nd | 500 | 1000 | >1000 | nd |
| ethanolic | 500 | 1000 | >1000 | nd | 500 | nd | 500 | 1000 | 500 | 1000 | |
| H. officinalis | methanolic | 1000 | >1000 | >1000 | nd | >1000 | nd | 500 | 1000 | >1000 | nd |
| ethanolic | 31.25 | 62.50 | >1000 | nd | 500 | nd | 250 | 500 | 250 | 500 | |
| L. angustifolia | methanolic | 250 | 500 | 1000 | nd | 1000 | nd | 500 | 1000 | >1000 | nd |
| ethanolic | 250 | 500 | >1000 | nd | 500 | nd | 500 | 1000 | 500 | 1000 | |
| L. cardiaca | methanolic | 250 | 500 | 1000 | >1000 | 1000 | nd | 500 | 1000 | >1000 | nd |
| ethanolic | 125 | 250 | 1000 | nd | 500 | nd | 250 | 500 | 500 | 1000 | |
| M. vulgare | methanolic | >1000 | nd | >1000 | nd | >1000 | nd | 1000 | >1000 | >1000 | nd |
| ethanolic | 250 | 500 | >1000 | nd | 500 | 1000 | 250 | 500 | 500 | 1000 | |
| M. officinalis | methanolic | 500 | 1000 | 1000 | >1000 | 1000 | nd | 250 | 500 | >1000 | nd |
| ethanolic | 500 | 1000 | 1000 | nd | 500 | nd | 500 | 1000 | 250 | 500 | |
| M. piperita | methanolic | 500 | 1000 | >1000 | nd | 1000 | nd | 500 | 1000 | >1000 | nd |
| ethanolic | 1000 | nd | >1000 | nd | 500 | 1000 | 500 | 1000 | 250 | 500 | |
| O. basilicum | methanolic | 500 | 1000 | 1000 | >1000 | 1000 | nd | 500 | 1000 | >1000 | nd |
| ethanolic | 250 | 500 | >1000 | nd | 1000 | nd | 500 | 1000 | 250 | 500 | |
| O. majorana | methanolic | 250 | 500 | 500 | 1000 | 500 | 1000 | 500 | 1000 | >1000 | nd |
| ethanolic | 500 | 1000 | 1000 | >1000 | 500 | 1000 | 500 | 1000 | 250 | 500 | |
| O. vulgare | methanolic | 500 | 1000 | 1000 | nd | 500 | 1000 | 500 | 1000 | >1000 | nd |
| ethanolic | 250 | 500 | >1000 | nd | 500 | 1000 | 250 | 500 | 250 | 500 | |
| R. officinalis | methanolic | 125 | 250 | 500 | 1000 | 250 | 500 | 500 | 1000 | >1000 | nd |
| ethanolic | 62.50 | 125 | 1000 | nd | 500 | 1000 | 250 | 500 | 250 | 500 | |
| S. officinalis | methanolic | 500 | 1000 | 1000 | nd | 1000 | nd | 500 | 1000 | >1000 | nd |
| ethanolic | 62.50 | 125 | 500 | nd | 250 | 500 | 125 | 250 | 500 | 1000 | |
| S. montana | methanolic | 500 | 1000 | 1000 | nd | 500 | 1000 | 1000 | >1000 | >1000 | nd |
| ethanolic | 250 | 500 | 1000 | nd | 500 | nd | 500 | 1000 | 250 | 500 | |
| S. scardica | methanolic | 31.25 | 62.50 | 1000 | >1000 | 500 | 1000 | 250 | 500 | >1000 | nd |
| ethanolic | 125 | 250 | 1000 | >1000 | 500 | 1000 | 250 | 500 | 250 | 500 | |
| T. chamaerdys | methanolic | 500 | 1000 | 1000 | nd | 500 | 1000 | 1000 | >1000 | >1000 | nd |
| ethanolic | 500 | 1000 | 1000 | >1000 | 500 | nd | 500 | 1000 | 250 | 500 | |
| T. montanum | methanolic | 500 | 1000 | 1000 | >1000 | 1000 | nd | 1000 | >1000 | >1000 | nd |
| ethanolic | 500 | 1000 | >1000 | nd | 1000 | nd | 500 | 1000 | 250 | 500 | |
| Th. serpyllum | methanolic | 500 | 1000 | 1000 | >1000 | 500 | 1000 | 1000 | >1000 | >1000 | nd |
| ethanolic | 500 | 1000 | >1000 | nd | 500 | nd | 500 | 1000 | 250 | 500 | |
| Th. vulgaris | methanolic | 250 | 500 | 1000 | >1000 | 250 | 500 | 1000 | >1000 | >1000 | nd |
| ethanolic | 250 | 500 | 1000 | >1000 | 500 | 1000 | 500 | 1000 | 250 | 500 | |
| Positive controls | |||||||||||
| Streptomycin | ≤3.125 | 3.125 | ≤200 | 200 | ≤25 | 25 | ≤1.532 | 3.125 | 25 | 50 | |
| Rifampicin | - | - | ≤3.125 | 50 | ≤3.906 | 7.812 | - | - | - | - | |
| Total Coumarin Content | Total Triterpene Content | MIC for B. subtilis | MIC for E. faecalis | MIC for L. innocua | MIC for S. aureus | MIC for P. aeruginosa ATCC 15442 | Invasion of P. aeruginosa PAO1 | Inhibition of Biofilm Formation | Inhibition of Biofilm Degradation | |
|---|---|---|---|---|---|---|---|---|---|---|
| Total coumarin content | 1 | −0.01 | −0.50 | 0.34 | 0.06 | −0.24 | 0.56 | 0.20 | 0.10 | 0.43 |
| Total triterpene content | 1 | −0.03 | −0.11 | 0.23 | 0.00 | −0.26 | 0.15 | −0.27 | −0.20 | |
| MIC for B. subtilis | 1 | 0.30 | 0.16 | 0.68 | −0.24 | −0.19 | −0.13 | −0.44 | ||
| MIC for E. faecalis | 1 | 0.47 | 0.39 | −0.10 | 0.33 | −0.36 | −0.20 | |||
| MIC for L. innocua | 1 | 0.42 | −0.33 | 0.39 | −0.29 | −0.34 | ||||
| MIC for S. aureus | 1 | −0.33 | 0.04 | −0.12 | −0.53 | |||||
| MIC for P. aeruginosa | 1 | −0.22 | 0.60 | 0.63 | ||||||
| Invasion of P. aeruginosa PAO1 | 1 | −0.57 | −0.09 | |||||||
| Inhibition of biofilm formation | 1 | 0.44 | ||||||||
| Inhibition of biofilm degradation | 1 |
| Plant Species | Voucher Number |
|---|---|
| Glechoma hederacea L. | 302181 |
| Hyssopus officinalis L. | 302211 |
| Lavandula angustifolia Mill. | 300071 |
| Leonurus cardiaca L. | 302221 |
| Marrubium vulgare L. | 302241 |
| Melissa officinalis L. | 301121 |
| Mentha×piperita L. | 301131 |
| Ocimum basilicum L. | 302061 |
| Origanum majorana L. | 302231 |
| Origanum vulgare L. | 302291 |
| Rosmarinus officinalis L. | 301211 |
| Salvia officinalis L. | 301241 |
| Satureja montana L. s.l. | 302311 |
| Sideritis scardica L. | 302331 |
| Teucrium chamaedrys L. | 302091 |
| Teucrium montanum L. | 302351 |
| Thymus serpyllum L. | 302321 |
| Thymus vulgaris L. | 302361 |
| Gram-Positive Strains | Gram-Negative Strains |
|---|---|
| Bacillus subtilis ATCC 6633 | Escherichia coli ATCC 25922 |
| Enterococcus faecalis ATCC 29212 | Pseudomonas aeruginosa ATCC 15442 |
| Listeria innocua ATCC 33090 | Pseudomonas aeruginosa PAO1 ATCC 15692 |
| Staphylococcus aureus ATCC 25923 | Salmonella enterica subsp. enterica serovar Typhimurium ATCC 14028 |
| Plant Species | MIC | MBC |
|---|---|---|
| H. officinalis | 5000 | >5000 |
| M. officinalis | 1250 | 2500 |
| M. piperita | 1250 | 2500 |
| O. basilicum | 5000 | >5000 |
| O. majorana | 1250 | 2500 |
| O. vulgare | 1250 | 2500 |
| R. officinalis | 1250 | 2500 |
| S. montana | 1250 | 2500 |
| T. chamaedrys | 1250 | 2500 |
| T. montanum | 1250 | 2500 |
| Th. serpyllum | 1250 | 2500 |
| Th. vulgaris | 1250 | 2500 |
| Positive control | ||
| Streptomycin | 6.25 | 12.5 |
Disclaimer/Publisher’s Note: The statements, opinions and data contained in all publications are solely those of the individual author(s) and contributor(s) and not of MDPI and/or the editor(s). MDPI and/or the editor(s) disclaim responsibility for any injury to people or property resulting from any ideas, methods, instructions or products referred to in the content. |
© 2024 by the authors. Licensee MDPI, Basel, Switzerland. This article is an open access article distributed under the terms and conditions of the Creative Commons Attribution (CC BY) license (https://creativecommons.org/licenses/by/4.0/).
Share and Cite
Oalđe Pavlović, M.; Kolarević, S.; Đorđević Aleksić, J.; Vuković-Gačić, B. Exploring the Antibacterial Potential of Lamiaceae Plant Extracts: Inhibition of Bacterial Growth, Adhesion, Invasion, and Biofilm Formation and Degradation in Pseudomonas aeruginosa PAO1. Plants 2024, 13, 1616. https://doi.org/10.3390/plants13121616
Oalđe Pavlović M, Kolarević S, Đorđević Aleksić J, Vuković-Gačić B. Exploring the Antibacterial Potential of Lamiaceae Plant Extracts: Inhibition of Bacterial Growth, Adhesion, Invasion, and Biofilm Formation and Degradation in Pseudomonas aeruginosa PAO1. Plants. 2024; 13(12):1616. https://doi.org/10.3390/plants13121616
Chicago/Turabian StyleOalđe Pavlović, Mariana, Stoimir Kolarević, Jelena Đorđević Aleksić, and Branka Vuković-Gačić. 2024. "Exploring the Antibacterial Potential of Lamiaceae Plant Extracts: Inhibition of Bacterial Growth, Adhesion, Invasion, and Biofilm Formation and Degradation in Pseudomonas aeruginosa PAO1" Plants 13, no. 12: 1616. https://doi.org/10.3390/plants13121616
APA StyleOalđe Pavlović, M., Kolarević, S., Đorđević Aleksić, J., & Vuković-Gačić, B. (2024). Exploring the Antibacterial Potential of Lamiaceae Plant Extracts: Inhibition of Bacterial Growth, Adhesion, Invasion, and Biofilm Formation and Degradation in Pseudomonas aeruginosa PAO1. Plants, 13(12), 1616. https://doi.org/10.3390/plants13121616

