Next Article in Journal
Evaluation of Ten Alternative Treatments for the Management of Harlequin Bug (Murgantia histrionica) on Brassica Crops
Previous Article in Journal
Exploring the Antibacterial Potential of Lamiaceae Plant Extracts: Inhibition of Bacterial Growth, Adhesion, Invasion, and Biofilm Formation and Degradation in Pseudomonas aeruginosa PAO1
Previous Article in Special Issue
Induction of Monoterpenoid Oxindole Alkaloids Production and Related Biosynthetic Gene Expression in Response to Signaling Molecules in Hamelia patens Plant Cultures
 
 
Font Type:
Arial Georgia Verdana
Font Size:
Aa Aa Aa
Line Spacing:
Column Width:
Background:
Article

Asymmetric Introgression and Cryptic Natural Hybridization between Two Species of Teucrium Section Polium (Lamiaceae) on the Balkan Peninsula

1
Institute of Botany and Botanical Garden, Faculty of Biology, University of Belgrade, Takovska 43, 11000 Belgrade, Serbia
2
Department of Botany, Faculty of Pharmacy, University of Belgrade, Vojvode Stepe 450, 11060 Belgrade, Serbia
3
Department of Plant Biodiversity, Faculty of Agriculture, University of Zagreb, Svetošimunska 25, 10000 Zagreb, Croatia
4
Centre of Excellence for Biodiversity and Molecular Plant Breeding (CroP-BioDiv), Svetošimunska 25, 10000 Zagreb, Croatia
5
Division of Botany, Department of Biology, Faculty of Science, University of Zagreb, Marulićev trg 9A, 10000 Zagreb, Croatia
*
Author to whom correspondence should be addressed.
Plants 2024, 13(12), 1617; https://doi.org/10.3390/plants13121617
Submission received: 31 March 2024 / Revised: 1 June 2024 / Accepted: 7 June 2024 / Published: 11 June 2024

Abstract

In this work, we analyzed the morphology and genetic structure of Teucrium montanum, T. capitatum and their hybrid T. × rohlenae from three syntopic populations. A morphometric study showed that the parents and their hybrids exhibited continuous morphological variation, with the hybrid positioned exactly between the parents. Genetic analysis revealed that plants morphologically identified as T. × rohlenae are fertile hybrids that produce hybrid swarms dominated by later-generation hybrids. This suggests that introgression, rather than speciation, is the more likely outcome of hybridization between these plant species. The extent and direction of gene flow between the two species differed markedly between the three syntopic localities. At the Trilj locality, it was clearly unidirectional, with T. capitatum playing the dominant role. At the Sićevo locality, gene flow was slightly asymmetric, favoring the genetic background of T. capitatum, while at the Sliven site, it was completely asymmetric in the opposite direction. The extreme case of unidirectional gene flow was observed at the Trilj locality where plants morphologically identified as T. montanum could not be genetically distinguished from T. capitatum. This suggests that interspecific hybridization occurred long ago, leading to introgression and cryptic hybrids, blurring of species boundaries and generating evolutionary noise.

1. Introduction

Hybridization represents one of the fundamental forces of evolution, with the potential to result in a range of outcomes, including hybrid divergence and syntopic speciation, introgression, the formation of hybrid zones, the erosion of species boundaries, and the possible extinction of species through assimilation [1,2]. An assessment of the evolutionary consequences of hybridization can provide valuable insights for predicting species persistence and hybrid speciation, and for the conservation of biodiversity [3]. A central topic in the study of evolutionary processes associated with hybridization is the genetic structure of hybrid swarms. These swarms are defined as complex mixtures of parental forms, the first filial generation offsprings (F1 hybrids), backcross types and segregation products [4]. As the barriers to gene flow between parental species depend on the structure of the hybrid swarm [5], determining the genetic structure of hybrid swarms is an important initial step in evaluating the outcomes of hybridization with respect to species emergence and persistence. If the hybrid swarm consists exclusively of sterile or unfit F1 hybrids, hybridization has a neutral effect and the species barriers are maintained. Fertile F1 hybrids usually give rise to hybrid swarms that are dominated by later-generation hybrids with backcrosses to one or both parents, and F1 hybrids are rare or absent. In certain instances, hybrid swarms may be dominated by fertile F1 hybrids, which can outcompete later-generation hybrids. This can actually prevent further gene flow between the parental species [3].
Teucrium L. is a large genus of Lamiaceae with a remarkable degree of adaptive radiation. The majority of its species are long-lived woody plants (nanophanerophytes and chamaephytes) or herbaceous plants (hemicryptophytes), but some species also belong to the therophyte or geophyte life forms [6]. The genus is known to contain a number of different chemical compounds, including polyphenols (phenolic acids, tannins, flavonoids and phenylethanoid glycosides), diterpenoids, phytosterols, essential oils [7,8,9,10] and fatty acid esters [11,12]. The aerial parts of the plants have been employed in traditional medicine for the treatment of liver and stomach diseases and lung diseases, and as a diuretic. Furthermore, they exhibit antibacterial, anti-inflammatory, antiproliferative and antioxidant effects [8,9,13,14,15]. The genus comprises about 250 species, which are widely distributed across Europe, Asia, America and Australia. The Mediterranean region represents the primary distribution area for the genus, with approximately 96% of all species of the genus occurring there [16,17]. Salmaki et al. [18] suggest that the genus Teucrium has a paraphyletic origin and that its diversification commenced during the transition from the middle to the late Miocene.
The genus is currently classified into nine sections based on morphological characteristics [17]. However, these sections do not represent natural evolutionary units as they have not been confirmed in recent molecular phylogenetic studies [18]. Although the general phylogeny of the genus does not fully align with its general classification, some well-separated evolutionary lineages fully correspond to some of the sections defined at the morphological level. This is the case of Teucrium Sect. Polium (Mill.) Schreber, which includes the morphologically well-defined species Teucrium montanum L., T. polium L. and T. capitatum L. [18]. Teucrium capitatum is a dwarf shrub that is covered with white-greenish, branched hairs. The leaves are narrowly oblong to narrowly obovate and multiply crenate on both margins, while the bracts are leaf-like to entire. The flowers are arranged in a simple or compound head, with white, rarely yellow, red or purple corollas [19,20]. This species is distributed throughout Europe, from the westernmost point in Spain to the easternmost point in Ukraine. Additionally, it is present in northwest Africa and the Middle East, extending from the Arabian Peninsula in the south to Turkmenistan in the northeast [21]. Teucrium polium and T. capitatum exhibit considerable morphological similarity. The two species can be distinguished by the height of the habitus, with T. capitatum being lower. In addition, T. capitatum has a simple inflorescence and less hairy corollas [19]. Teucrium montanum is a prostrate dwarf shrub with white, appressed, simple hairs. The leaves are narrowly elliptical, with entire margins, densely hairy below and often glabrous above. The bracts are leaf-like. The calyxes may be hairy or glabrous, and often possess setaceous teeth. The flowers are arranged in terminal heads and have white, cream or yellow corollas [22]. Teucrium montanum is a species that is widely distributed in southern and central Europe, extending from the northern Netherlands in the west to Ukraine in the east. Additionally, it is found in Asia Minor and Algeria in North Africa [21]. These three species belong to the same phylogenetic lineage [18], and have been found to hybridize naturally. This phenomenon can be observed in the frequent occurrence of plants with intermediate morphology at sites where T. montanum coexists with T. polium or T. capitatum. Hybrids between T. montanum and T. polium or T. capitatum in different parts of their distribution are described as hybridogenic taxa: T. × castrense Verg., T. × bogoutdinovae Melinkov and T. × rohlenae K.Malý [23,24].
Although populations at several syntopic localities in the Balkan Peninsula exhibit continuous morphological variation linking the species T. montanum and T. capitatum, a hybrid between these two species (T. × rohlenae) has so far been confirmed at only one site through comprehensive morphological [23] and genetic studies [25]. In the genetic study, a newly developed bioinformatics tool called Dig-up Primers [26] was employed to simultaneously identify microsatellite markers (SSRs) in the whole-genome assemblies of T. montanum and T. capitatum. These newly developed microsatellite markers and the genetic analysis at a single site are highly promising for future studies on the hybridization between T. montanum and T. capitatum. In addition, the utilization of this novel technique at additional sites within the distribution range of both species will prove to be a valuable tool in elucidating the intricate taxonomy and phylogeography of these closely related species. Therefore, the main aim of this study is to determine, using morpho-anatomical methods and microsatellite markers: (a) Whether intermediate individuals were formed by crossing two species under syntopic conditions; (b) What the reproductive status of the hybridogenic individuals is and whether T. × rohlenae represents a hybrid species or comprises populations of different generations of hybrids, i.e., hybrid swarms; (c) If the latter is the case, is there evidence of asymmetric hybridization and introgression?; and (d) In which direction and to what extent does introgression occur in different parts of the sympatric zone, i.e., are there different geographical patterns of introgression?

2. Results

2.1. Morphological Diversification of Syntopic Populations of T. montanum, T. capitatum and T. × rohlenae

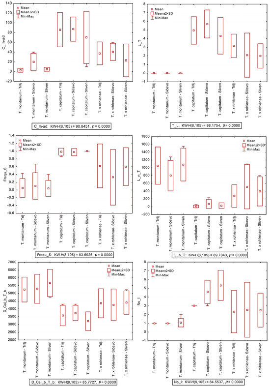
Both principal component analysis (PCA) and canonical discriminant analysis (CDA) were performed on 15 morpho-anatomical data sets for three groups. The results showed that T. capitatum and T. montanum were completely separated along the first component axis, and that T. × rohlenae occupied a distinct intermediate position (Figure 1A,B). The results of the discriminant function analysis (DFA) revealed that the following characters were the most influential in distinguishing between the groups: the thickness of the cuticle (T_Cut), the number of teeth on the leaf margin (L_T), the length of the narrow part of the tooth (L_n_T), the indumentum on the adaxial leaf surface (C_In-ad), the leaf surface (L_S), the distance between the calyx base and the tooth base (D_Cal_b_T_b) and the number of terminal inflorescences (No_I) (Table 1, Figure 2).
In all three syntopic localities, the studied groups differed significantly in habitus and in several qualitative and quantitative morphological and anatomical characters (Table S1, Figures S1–S3). Teucrium montanum had a cushion-like form with creeping shoots, whereas T. capitatum had an erect semi-shrub form with erect lateral shoots. Both habit forms were observed in T. × rohlenae, which was often determined by the size of the plant. Individuals that were larger and more branched exhibited a true cushion-like form, which is a characteristic of T. montanum. On the other hand, smaller specimens usually resembled T. capitatum in their habitus. The presence of teeth on the leaf margin was the most striking morphological feature, indicating that the individuals were of hybridogenic origin. These leaf margin teeth were numerous and always present in T. capitatum, always absent in T. montanum, while there were few of them in T. × rohlenae or were sometimes even absent. Regarding non-glandular hairs, T. capitatum had only multicellular branched hairs, which were completely absent in T. montanum. In contrast, the indumentum of T. × rohlenae consisted of both the branched hairs typical of T. capitatum and the unbranched hairs typical of T. montanum (Figures S1–S3). The corollas of T. × rohlenae were similar in size to those of T. montanum but had the color of T. capitatum.

2.2. Genetic Structure and Gene Flow between the Species T. montanum and T. capitatum

A total of 213 alleles were recorded in nine microsatellite loci, of which 155 occurred in Trilj, 141 in Sićevo and 128 in Sliven. A considerable number of alleles (78) were shared between the morphologically determined taxa (Table 2). Private alleles were detected in all three groups and localities (Table 3). The ratio between unique and common alleles in the parental species and hybrids varied considerably depending on the location. For instance, the proportion of private alleles in T. montanum varies from 16.41% (Sliven) to 27.74% (Trilj), in T. capitatum from 14.58% (Sićevo) to 29.69% (Sliven) and in T. × rohlenae from 7.81% (Sliven) to 13.19% (Trilj). The largest proportion of common alleles shared by all three groups was recorded in Tilj (14.19%), while the smallest was in Sićevo (8.33%).
The microsatellite diversity parameters showed that all microsatellite loci were highly polymorphic and informative (PIC > 0.700), with values for the information content of polymorphism varying from 0.744 to 0.941 (Table S2).
Further comparison between the studied taxa indicated that the levels of observed heterozygosity HO and expected heterozygosity HE were uniform among both the parents and the hybrids. Significant and positive values of the inbreeding coefficient FIS were only detected in T. capitatum from Trilj (0.186), while all other groups showed negative or positive values that were not statistically significant (Table 3).
The proportion of shared alleles distances Dpsa showed that the populations from the Trilj were the least genetically differentiated, while those from the Sićevo were the most genetically differentiated. Considering the groups and all localities, the greatest genetic differentiation was observed between T. capitatum from Sićevo and T. montanum from Sliven, while the most genetically similar groups were T. capitatum and T. × rohlenae from Trilj (Table 4).
As expected, the STRUCTURE analysis yielded K = 2 (ΔK = 24.13) as the most likely number of clusters, with the two genetic clusters corresponding to the parental species T. montanum (cluster A) and T. capitatum (cluster B). The result of K = 3 (ΔK = 1.11) showed that the hybrids did not form a separate cluster. However, the assignment of individuals morphologically identified as T. montanum, T. capitatum and T. × rohlenae was found to be very different at the different localities (Figure 3(A1–C1)).
Regardless of their morphological appearance, all individuals collected at the Trilj locality (Figure 3(A1)) were predominantly assigned to genetic cluster B (T. capitatum), with Q values ranging from 0.850 to 0.994.
At the Sićevo locality (Figure 3(B1)), all individuals morphologically identified as belonging to the parental species were assigned to the corresponding genetic clusters. Thus, the average proportion of the membership of T. montanum individuals was Q = 0.885 in genetic cluster A, while the average proportion of membership of T. capitatum individuals was Q = 0.986 in cluster B. The hybrid T. × rohlenae individuals were on average assigned to a higher proportion to cluster B (Q = 0.784) than to cluster A (Q = 0.218).
Similar to the case of Sićevo, at Sliven locality (Figure 3(C1)), individuals belonging to the parental species were assigned with a high average proportion of membership to their respective genetic clusters (Q = 0.985 for T. montanum individuals in cluster A and Q = 0.979 for T. capitatum individuals in cluster B). In contrast to the Sićevo locality, however, the individuals of the hybrid T. × rohlenae were unambiguously assigned to cluster A, with an average proportion of the membership of Q = 0.901.
The results of the NEWHYBRIDS analyses, which were performed separately for each locality, confirmed the hybridogenic origin of the morphologically intermediate individuals of T. × rohlenae, in agreement with the results of the STRUCTURE analysis. Individuals assigned to each of the two parental classes (T. montanum and T. capitatum) and four hybrid classes (F1, F2 and backcrosses with parental populations) were found in at least one of the three syntopic localities. This indicates that the hybridogenic individuals are fertile and that backcrosses between the F1 and F2 generation hybrids with the two parents P1 and P2 have occurred and continue to occur at all three syntopic localities.
As in previous analyses and the NEWHYBRIDS analysis, it was demonstrated that the syntopic populations of certain groups exhibit distinct genetic structures in different locations. Additionally, the direction and intensity of gene flow vary across different parts of the syntopic zone, resulting in diverse geographical patterns (Figure 3(A2–C2)).
At Trilj locality (Figure 3(A2)), of the individuals exhibiting morphological traits indicative of T. montanum, none were classified as a parental P1 species. Five of the eleven individuals were classified as BC1 hybrids, while four as F2 generation. Two individuals remained unclassified, with a posterior probability of less than Tq < 0.50 [27] in all categories. Conversely, six out of ten individuals identified as T. capitatum were classified as parental P2 species, while the remaining four were classified as F2 generation. Individuals identified as T. × rohlenae were classified as F2 generation (four individuals) and a single individual was categorized as a parental (P2) species.
In contrast to the syntopic population from Trilj, 12 of the 14 individuals of T. montanum from Sićevo (Figure 3(B2)) were categorized as parental P1 species. One individual was classified as belonging to the F2 generation, while the remaining individuals were unclassified. Similarly, seven out of eleven T. capitatum were classified as parental P2 species, while the remaining four were assigned to the BC2 class. No F1 hybrids were detected in a group of T. × roheleane individuals, with five of nine individuals classified as BC2 and four as F2 generation.
All twelve T. montanum individuals at Sliven locality (Figure 3(C2)) were classified as parental P1 species, while six of nine T. capitatum individuals were classified as parental P2 species, and three individuals were classified as belonging to the BC2 category. Four of the eleven individuals identified as T. × rohlenae were also classified as parental P1 species, three were assigned to the F1 generation, and two belonged to both BC1 and BC2.
The factorial correspondence analysis (FCA) conducted across all three syntopic populations revealed that 37.43% of the total variability is described on the first two axes of the ordination space. The first axis accounted for 21.13% of the total variability, while the second accounted for 16.30%. All T. capitatum individuals were positioned in the negative part of the first axis, while T. montanum individuals from Sićevo and Sliven were positioned in the positive part of the first axis. At the same time, this analysis demonstrated that, with the exception of the locality Trilj, the majority of individuals exhibiting morphological transition characteristics and identified as T. × rohlenae occupied an intermediate position between the parental species, thereby corroborating their hybridogenic origin. In addition, the FCA analysis revealed significant geographical differences in the genetic structure of each group at different locations (Figure 4). Thus, all individuals of the parent species T. montanum from the three localities were positioned in distinct quadrants of the ordination space. Individuals from Trilj are located in the negative part of the first and the positive part of the second axis (second quadrant). Individuals from Sićevo were positioned in the positive part of the first and second axes (first quadrant), whereas those from Sliven were positioned in the positive part of the first and negative part of the second axis (fourth quadrant). In contrast to the genetically distinct parent species T. montanum, the parent species T. capitatum exhibited a more uniform genetic structure. All individuals were closely clustered in the negative part of the first axis, with individuals from Sićevo and Sliven overlapping in the negative part of the first and second axis (third quadrant). Individuals from Trilj were located in the spatially proximate part of the first quadrant (negative part of the first and positive part of the second axis), where they completely overlapped with individuals of the parent species T. montanum and individuals of T. × rohlenae from the same locality. The position of the hybrid individuals of T. × rohlenae varied depending on the classification scheme and the position of the parent species. Consequently, the hybridogenic individuals from Sićevo were positioned in the first three quadrants, occupying a position intermediate between the parent species. The individuals from Sliven were positioned in the fourth quadrant and were quite close to the parent species T. capitatum. In contrast, the individuals from Trilj were positioned in the second quadrant and completely overlapped with both parent species (Figure 4).

3. Discussion

At all three syntopic localities, plants morphologically identified as T. × rohlenae were found to be fertile hybrids that produce hybrid swarms dominated by later-generation hybrids, i.e., the F2 generation and backcrosses. This suggests that introgression, rather than hybrid speciation, is the more likely outcome of hybridization between these hybridizing taxa. Hybrid swarms consisting only of backcrosses and later-generation hybrids are also common in some other plant groups, such as Populus [28] and Silene [29].
All analyses performed in this paper indicate that populations from all three localities exhibit distinct patterns of genome flow between parents and hybrid individuals. While hybrids and parents are morphologically distinct in the Trilj locality, they are genetically very similar, with the gene corresponding to the parent T. capitatum absolutely dominating all individuals from this locality, including the parent species T. montanum. In contrast, the genetic structure in the other two localities differs. Individuals of one parent are dominantly classified as T. montanum, and the other as T. capitatum, hybrids from Sićevo have a more or less equal share of the genome of both parents, while hybrids from Sliven dominantly possess the genome of the parent T. montanum. Based on this, it can be concluded that gene flow in capitatum was found to be unidirectional in one (Trilj) and asymmetrical in the two hybrid swarms (Sićevo, Svilen), as well as that the direction and magnitude of introgression are different in the different parts of the sympatry zone.
Unidirectional introgression, a phenomenon where back-crosses are realized only with one parental species, has been confirmed in oaks [30], mulberry [31], pines [32] or spruce [33]. Asymmetric introgression, a phenomenon where back-crosses occur with both parental species, but with different magnitudes, has been confirmed in various taxa including rhododendrons [3], pines [32,34], birch [35] or sage [36]. At the same time, different geographic patterns of introgression, which can be recognized in different directions and magnitudes of introgression in different parts of the sympatry zone of hybridizing taxa, were also recorded in some rhododendrons [3] and pines [32,34].
Unidirectional introgression at the syntopic locality Trilj, which is expressed through the dominance of the genome of T. capitatum in both parents and the hybrid swarm, is most likely a consequence of the specific dispersion of one of the parental species, which led to the secondary contact of the other parent species and created conditions for unidirectional introgression. Namely, unidirectional introgression occurs when one parent expands its area of distribution to an area already inhabited by another parent that finds its ecological optimum in it. In that case, unidirectional introgression takes place dominantly from the resident species to the invading species [33]. Although both parents (T. montanum and T. capitatum) have wide ecological valences, the sub-Mediterranean ecological conditions prevailing in the Trilj habitat are much closer to the ecological optimum of the species T. capitatum than T. montanum, which finds its ecological optimum in cooler, submontane to montane continental conditions [22,37,38]. A possible scenario is that during the glaciation, T. montanum may have migrated from montane to lower sub-Mediterranean areas where T. capitatum thrives. This may have resulted in a unidirectional introgression, transferring genes from T. capitatum to T. montanum, leading to genetic homogenization of parents and hybrid swarms. It is also likely that an ancient unidirectional introgression occurred in the wider area of the Croatian coast, as morphologically authentic individuals of T. montanum with specific DNA markers of the species T. capitatum were also recorded in several populations of T. montanum in the area of Istria and Pelješac [22].
Moreover, our findings indicate that cryptic hybridization is present in all three syntopic localities. In particular, a high number of individuals exhibited a “species-specific” morphology of one parental species, yet possessed specific DNA markers of another parental species or later-generations hybrids. This phenomenon was observed with particular frequency in the Trilj locality. At the same time, it is suggested that interspecific hybridization occurred between T. montanum and T. capitatum long ago, as some plants identified as T. montanum had T. capitatum-specific DNA markers. Therefore, the genetic structure of syntopic populations is the result of both recent and ancient hybridization events. Cryptic hybridization is a phenomenon where a part of the genome of one parent can pass to the other parent during asymmetric hybridization by hybrid individuals, without significantly affecting the “species-specific” morphology of the other parent. This phenomenon is not uncommon in nature. Backcrossing with one or both parental species can result in individuals that are morphologically difficult to distinguish from the parent species, making the identification of hybrids based on morphology challenging or impossible. This phenomenon has already been observed in numerous plant genera, including Cardamine [39], Betula [35], Pinus [32,34], Knautia [40], Primula [41], Ruppia [42], Ramonda [43], etc.
The asymmetric hybridization observed in the Sićevo and Sliven areas may also be related to the habitat conditions to which the syntopic populations are exposed. Namely, it has been established that populations that are outside the ecological optimum in a certain habitat are often considered “sink populations”. This means that genes flow from other species that find more favorable ecological conditions in the zone of sympatry [36]. The ecological conditions at the Sićevo locality are more or less ecologically optimal for both parental species. The locality Sićevo is located within the temperate zone in the hilly-mountainous (at about 500 m above sea level) zone, which represents the optimal zone for the species T. montanum [22,37,38]. In addition, the Sićevo gorge is an optimal habitat for the species T. capitatum, which due to strong Mediterranean influences, is a suitable habitat for other typical Mediterranean species such as Salvia officinalis, Ruta graveolens, Paliurus spina-christi, etc. [44]. As both parents are more or less in the ecological optimum, there is an almost equal flow of genes between both parents, with a slightly higher proportion of backcrossing between hybrid swarms and T. capitatum. At the third syntopic locality (Sliven), the species T. montanum reaches its ecological optimum, while T. capitatum is in the “combat zone”, i.e., outside its ecological optimum. Teucrium montanum has its ecological optimum in thermophilic deciduous forests and on rocky grounds with a continental climate character, i.e., in habitats that are ecologically more similar to the third syntopic locality Sliven. In contrast, T. capitatum has its ecological optimum in the Mediterranean rocky grounds (Cymbopogono-Brachypodietea) in the Mediterranean and sub-Mediterranean climate zones [37,38]. Therefore, in this locality, there was most likely a gene flow from the parental genome of T. montanum in the direction of the hybrid swarms.
The asymmetry of interspecies gene flow is likely caused by a demographic imbalance between the two species at the sympatry zone and differences in optimal or marginal environmental conditions faced by different populations. Nevertheless, in order to gain a more comprehensive understanding of this phenomenon, further research is needed on a larger number of syntopic and allopatric populations. The importance of conducting further more in-depth investigations into hybridization in these species cannot be overstated. While hybridization is an important evolutionary factor that can lead to the emergence of new genotypes, it can also blur the boundaries between species and evolutionary lines [45,46,47]. This was certainly the case with the complex species Teucrium montanum s.l. on the Balkan Peninsula.

4. Materials and Methods

4.1. Plant Material

All analyses included a total of 92 individuals from three syntopic populations, comprising the parental species T. montanum and T. capitatum, as well as the hybrid T. × rohlenae. Samples were collected from their natural habitats in three regions of the Balkan Peninsula, which are ecologically and biogeographically distinct (Table 5, Figure 5). Several specimens were selected for vouchers from each population and were deposited in the Herbarium of the Institute of Botany and Botanical Garden of the Faculty of Biology, University of Belgrade (BEOU) [48]. Between five and fourteen individuals of each parent and hybrid were collected from each locality. The samples for the morphometric study were fixed in the field in a mixture of glycerol and 50% ethanol (1:1). A total of 46 morpho-anatomical characters were measured on each individual. All measurements were performed using Digimizer Image Analysis software 4.6.1 [49]. For the genetic study, young shoots or only leaves (if no young shoots were present) were sampled from each individual, placed in separate paper filter bags to avoid mixing the material, and dried in zip-lock plastic bags with silica gel.

4.2. Taxonomy and Nomenclature

It is important to emphasize that in the last century, the species T. polium L. and T. capitatum L. were considered conspecific, whereas T. capitatum was treated as a synonym or subspecies of T. polium [19,24]. According to Navarro [17], species T. polium and T. capitatum are considered separate species, which is also confirmed in Salmaki et al. [18] and relevant checklist [21]. Teucrium polium is exclusively limited to the area of SW Europe and NW Africa, while T. capitatum (“T. polium” sensu auct. balc.) has a wider distribution in the Mediterranean area, western Asia and part of central Asia [21]. It is also important to emphasize that in the investigated syntopic localities where hybrid T. × rohlenae was recorded, T. montanum, as one of the parents, is represented by two morphological groups. The taxonomic status of these groups is unclear. Namely, the populations from Trilj and Sićevo belong to the morphological group “montanum“, while the population from Sliven is included in the morphological group “skorpilii“ [50]. Nevertheless, due to the still unresolved taxonomic relations between the groups designated as “montanum“ and “skorpili“, as well as the more straightforward presentation of the obtained results, in this paper, the names T. montanum and T. capitatum will be employed for the parents, and T. × rohlenae for the hybrids.

4.3. Morpho-Anatomical Analyses

The anatomical analyses of the leaves were performed on slides prepared according to the standard method for light microscopy [38]. The cross sections of the leaves were made using a Reichert sliding microtome with a thickness of 26 µm and 65 µm. The sections were then cleared in Parazone and subsequently washed thoroughly in water. They were then stained with safranin (1% w/v in 50% ethanol) and Alcian blue (1% w/v, aqueous). After staining, all slides were dehydrated and mounted in Canada balsam. A total of 23 anatomical characters were measured, 9 on leaf cross-sections with a thickness of 65 μm and 14 on cross-sections with a thickness of 26 μm.
Prior to scanning at high resolution, leaves, bracts, stems and calyxes were affixed to Graphoscope film with transparent tape. Two leaves, five bracts, one stem and two calyxes were analyzed per individual. The leaves were taken from the central area of the lateral shoots, while the stem selected for morphometric evaluation was taken from one of the lateral shoots creeping on the ground to ensure that the stem length analyzed corresponded to the height of the individuals. A total of 21 characters were measured, including two characters representing the ratio between 2 characters and 20 quantitative characters.
All measured characters are listed with their acronyms in Table S1. The detailed methodology and pattern for the measurement are presented in Zbiljić et al. [50].

4.4. Statistical Analyses

Descriptive statistics were calculated for all analyzed characteristics, including the lowest measured value (Min.), the mean value (Mean), the highest measured value (Max.) and the standard deviation (Std.Dev.). As the morphometric characteristics examined did not have a normal distribution, all measured values were log-transformed prior to multivariate analysis. To eliminate a single trait from highly correlated pairs, we conducted pairwise Spearman correlation analyses. We excluded several traits with a Spearman correlation coefficient exceeding 0.85 from the multivariate analysis. We performed a Kruskal–Wallis test for each character to determine the significance of the differences between the groups. Two multivariate approaches were employed to compare all assessed traits and groups, including principal component analysis (PCA) and canonical discriminant analysis (CDA) in Statistica v.8.0 [51]. PCA was used to obtain a general overview of the differences between the groups. CDA was performed on three predefined groups recognized as two parental species (T. montanum, T. capitatum) and their hybrid (T. × rohlenae). To sharpen the distinction between the predefined groups, traits with weak statistical significance (p) and H-statistic values of less than 10 were excluded from the CDA analysis. Discriminant function analysis (DFA) was performed to identify the traits that contributed the most to the separation of the groups.

4.5. Microsatellite Analysis

Genomic DNA was isolated from 25 mg silica gel-dried leaf tissue using a DNeasy Plant Mini Kit (Qiagen®, Hilden, Germany). Microsatellite primer pairs (TmUZ05, TmUZ08, TmUZ09, TmUZ11, TmUZ14, TmUZ20, TmUZ26, TmUZ31, TmUZ32) were used for PCR amplification of nine microsatellite loci [25]. The PCR products were detected via capillary electrophoresis on an ABI3730 DNA analyzer (Applied Biosystems®, Foster City, CA, USA). The results of capillary electrophoresis were analyzed using GeneMapper 4.0 (Applied Biosystems®). The number of alleles (Na), polymorphic information content (PIC) and probability of identity (PI) of each microsatellite locus were calculated in Cervus v. 3.0 [52]. Microsatellite data were checked for scoring errors due to stuttering, large allele dropout and the presence of null alleles using Micro-Checker v. 2.2.3 [53]. Null allele frequencies were estimated with the expectation-maximisation algorithm using FreeNA [54].

4.6. Intrapopulation Genetic Diversity

Population genetic parameters (the observed heterozygosity, HO; the expected heterozygosity, HE; the inbreeding coefficient, FIS) using microsatellite alleles were calculated using Genepop v. 4.7 [55]. Potential departures from the Hardy–Weinberg equilibrium were investigated with Genepop. The significance level was adjusted after sequential Bonferroni corrections for multiple testing using SAS v. 9.4 [56]. Allelic richness (Nar) and private allelic richness (Npar) of each population were estimated using HP-Rare v. 1.0 [57].

4.7. Population Genetic Differentiation and Structure

Population differentiation based on microsatellite markers was assessed by calculating pairwise FST estimates in FSTAT v. 2.9.3.2 [58]. p-values were calculated after 10,000 random permutations. The overall genetic structure was visualized using factorial correspondence analysis (FCA) in GENETIX v. 4.05 [59]. The genetic structure of the populations was assessed using STRUCTURE v2.3.4 [60]. The number of clusters was set from K = 1 to 11 and the analysis was performed thirty times per K. Each run consisted of a burn-in period of 200,000 steps followed by 1,000,000 MCMC replicates using the admixture model with correlated allele frequencies. The calculations were performed on the Isabella computer cluster at the University of Zagreb (Croatia), University Computing Center (SRCE). The optimal number of clusters was determined by calculating ΔK [61] using STRUCTURE HARVESTER v0.6.94 [62]. The results were clustered and merged using CLUMPAK [63].

4.8. Hybrid Assignment

We used microsatellite data and NewHybrids 1.1 [27] to assign individual plants from each locality to one of six hybrid classes: two parental classes (T. montanum and T. capitatum) and four hybrid classes (F1, F2, and backcrosses with parental populations). Uninformative Jeffrey’s priors were used for both mixing proportions and allele frequencies, without prior information on the hybrid status of individuals. Each run consisted of a burn-in period of 100,000 steps followed by 500,000 MCMC sweeps. Results were based on the average of five independent runs. The assignment of individuals to classes was based on a minimum posterior probability threshold (Tq) of 0.50, as suggested by Anderson & Thompson [27].

5. Conclusions

In the sympatry zone of T. montanum and T. capitatum, plants with intermediate morphology described as hybrid T. × rohlenae were frequently observed in nature. In cases of coexistence of these two species, the populations exhibited continuous morphological variation linking the species. Furthermore, a formal morphometric study confirmed the intermediate morphological features of the hybrid T. × rohlenae.
Our findings indicate that plants morphologically identified as T. × rohlenae are fertile hybrids that produce hybrid swarms dominated by later-generation hybrids. This suggests that introgression, rather than speciation, is the more likely outcome of hybridization between T. montanum and T. capitatum. Therefore, the concept of “hybrid species” of T. × rohlenae is not supported. The extent and direction of gene flow between the two species differed markedly between the three syntopic study sites. Thus, the gene flow at the Trilj locality was clearly unidirectional, with T. capitatum playing the dominant role. At the Sićevo locality, gene flow can be characterized as slightly asymmetric, with the genetic background of T. capitatum being favored over that of T. montanum. In contrast, gene flow at the Sliven locality was completely asymmetric in the opposite direction, with T. montanum clearly outcompeting T. capitatum. The most extreme case of unidirectional gene flow was observed at the Trilj locality, where individuals morphologically identified as T. montanum exhibited genetic characteristics indistinguishable from those of T. capitatum. This suggests that interspecific hybridization occurred in the distant past, resulting in the introgression and formation of cryptic hybrids, as well as the blurring of species boundaries and generating evolutionary noise.
A demographic imbalance between the two species in the sympatric zone and the fact that different populations face optimal or marginal environmental conditions are the most likely causes of asymmetry in gene flow between the species. However, targeted studies on a larger number of syntopic and allopatric populations are needed to shed more light on this phenomenon.

Supplementary Materials

The following supporting information can be downloaded at https://www.mdpi.com/article/10.3390/plants13121617/s1, Table S1: Descriptive statistics for all measured characters for the three taxa from the three different localities. Main differential characters are marked in red; Table S2: Population genetics parameters. No—number of alleles; PIC—polymorphic information content; PI—probability of identity; GenBank—GenBank accession; Figure S1: Morphological characteristics of the inflorescence, leaves and anatomical characteristics of the leaves of T. montanum (m), T. capitatum (p), T. × rohlenae (x) in the locality Trilj, Bisko (Croatia); Figure S2: Morphological characteristics of the inflorescence, leaves and anatomical characteristics of the leaves of T. montanum (m), T. capitatum (p), T. × rohlenae (x) in the locality Sićevo (Serbia); Figure S3: Morphological characteristics of the inflorescence, leaves and anatomical characteristics of the leaves of T. montanum (m), T. capitatum (p), T. × rohlenae (x) in the locality Slivenska planina (Bulgaria).

Author Contributions

Conceptualization, D.L., M.Z. and Z.L.; methodology, D.L. and Z.L.; software, M.Z., Z.Š. and N.K.; validation, D.L. and Z.L.; formal analysis, M.Z., Z.L. and N.K.; investigation, M.Z., D.L. and N.K.; resources, D.L. and Z.L.; data curation, M.Z. and Z.L.; writing—original draft preparation, D.L.; writing—review and editing, all; visualization, M.Z. and N.K.; supervision, D.L. and Z.L; project administration, D.L. and Z.L.; funding acquisition, D.L. and Z.L. All authors have read and agreed to the published version of the manuscript.

Funding

This research was funded by the Science Fund of the Republic of Serbia under Grant number 7750112, Balkan biodiversity across spatial and temporal scales patterns and mechanisms driving vascular plant diversity—BalkBioDrivers (to DL, MZ and NK), by the Ministry of Science, Technological Development and Innovation of the Republic of Serbia (grant number 451-03-65/2024-03/ 200178 to DL, no. 451-03-47/2023-01/ 200161 to MZ, and no. 451-03-66/2024-03/ 200178 to NK), and through the project PK.1.1.02.0005 The Research and Development of Plant Genetic Resources for Sustainable Agriculture at the Centre of Excellence for Biodiversity and Molecular Plant Breeding (CoE CroP-BioDiv), Zagreb, Croatia and the project KK.01.2.2.03.0017 CEKOM 3LJ.

Data Availability Statement

The data presented in this study are available on request from all authors.

Acknowledgments

We would like to thank Branislava Lakušić, who initiated extensive research on species of the genus Teucrium on the Balkan Peninsula and helped us with the field work and collection of material for this study, as well as with the interpretation of the morphometric results obtained.

Conflicts of Interest

The authors declare no conflicts of interest.

References

  1. Riseberg, L.H.; Wendel, J.F. Introgression and Its Consequences. In Hybrid Zones and the Evolutionary Process; Oxford University Press: New York, NY, USA, 1993; pp. 70–109. [Google Scholar]
  2. Rhymer, J.M.; Simberloff, D. Extinction by Hybridization and Introgression. Annu. Rev. Ecol. Syst. 1996, 27, 83–109. [Google Scholar] [CrossRef]
  3. Yan, L.-J.; Burgess, K.S.; Milne, R.; Fu, C.-N.; Li, D.-Z.; Gao, L.-M. Asymmetrical Natural Hybridization Varies among Hybrid Swarms between Two Diploid Rhododendron Species. Ann. Bot. 2017, 120, 51–61. [Google Scholar] [CrossRef] [PubMed]
  4. Grant, V. Factors Promoting Polyploidy. In Plant Speciation; Columbia University Press: New York, NY, USA, 1981; pp. 307–323. [Google Scholar]
  5. Tiffin, P.; Olson, S.; Moyle, L.C. Asymmetrical Crossing Barriers in Angiosperms. Proc. R. Soc. Lond. Ser. B Biol. Sci. 2001, 268, 861–867. [Google Scholar] [CrossRef]
  6. Harley, R.M.; Atkins, S.; Budantsev, A.L.; Cantino, P.D.; Conn, B.J.; Grayer, R.; Harley, M.M.; De Kok, R.; Krestovskaja, T.; Morales, R.; et al. Labiatae. In Flowering Plants Dicotyledons; Kadereit, J.W., Ed.; Springer: Berlin/Heidelberg, Germany, 2004; pp. 167–275. [Google Scholar] [CrossRef]
  7. Kovacevic, N.N.; Lakusic, B.S.; Ristic, M.S. Composition of the Essential Oils of Seven Teucrium Species from Serbia and Montenegro. J. Essent. Oil Res. 2001, 13, 163–165. [Google Scholar] [CrossRef]
  8. Grubešić, R.; Kremer, D.; Vladimir-Knežević, S.; Rodríguez, J. Analysis of Polyphenols, Phytosterols, and Bitter Principles in Teucrium L. Species. Open Life Sci. 2012, 7, 542–550. [Google Scholar] [CrossRef]
  9. Radulović, N.; Dekić, M.; Joksović, M.; Vukićević, R. Chemotaxonomy of Serbian Teucrium Species Inferred from Essential Oil Chemical Composition: The Case of Teucrium scordium L. ssp. Scordioides. Chem. Biodivers. 2012, 9, 106–122. [Google Scholar] [CrossRef]
  10. Mitreski, I.; Stanoeva, J.P.; Stefova, M.; Stefkov, G.; Kulevanova, S. Polyphenols in Representative Teucrium Species in the Flora of R. Macedonia: LC/DAD/ESI-MS n Profile and Content. Nat. Prod. Commun. 2014, 9, 175–180. [Google Scholar] [CrossRef]
  11. Boulila, A.; Béjaoui, A.; Messaoud, C.; Boussaid, M. Variation of Volatiles in Tunisian Populations of Teucrium polium L. (Lamiaceae). Chem. Biodivers. 2008, 5, 1389–1400. [Google Scholar] [CrossRef] [PubMed]
  12. Hachicha, S.F.; Barrek, S.; Skanji, T.; Zarrouk, H.; Ghrabi, Z.G. Fatty Acid, Tocopherol, and Sterol Content of Three Teucrium Species from Tunisia. Chem. Nat. Compd. 2009, 45, 304–308. [Google Scholar] [CrossRef]
  13. Stankovic, M.S.; Niciforovic, N.; Topuzovic, M.; Solujic, S. Total Phenolic Content, Flavonoid Concentrations and Antioxidant Activity, of the Whole Plant and Plant Parts Extracts from Teucrium Montanum L. Var. Montanum, f. Supinum (L.) Reichenb. Biotechnol. Biotechnol. Equip. 2011, 25, 2222–2227. [Google Scholar] [CrossRef]
  14. Šeremet, D.; Cebin, A.V.; Mandura, A.; Komes, D. Valorisation of Teucrium Montanum as a Source of Valuable Natural Compounds: Bioactive Content, Antimicrobial and Biological Activity—A Review. Pharmacogn. Rev. 2021, 15, 191–198. [Google Scholar] [CrossRef]
  15. Aćimović, M.; Stanković Jeremić, J.; Miljković, A.; Rat, M.; Lončar, B. Screening of Volatile Compounds, Traditional and Modern Phytotherapy Approaches of Selected Non-Aromatic Medicinal Plants (Lamiaceae, Lamioideae) from Rtanj Mountain, Eastern Serbia. Molecules 2023, 28, 4611. [Google Scholar] [CrossRef] [PubMed]
  16. Meusel, H.; Jäger, E.J.; Rauschert, S.; Weinert, E. (Eds.) Vergleichende Chorologie der Zentraleuropäischen Flora: Karte; VEB Gustav Fischer Verlag: Jena, Germany, 1978. [Google Scholar]
  17. Navarro, T.; El Oualidi, J. Synopsis of Teucrium L. (Labiatae) in the Mediterranean Region and Surrounding Areas. Fl. Medit. 2000, 10, 349–363. [Google Scholar]
  18. Salmaki, Y.; Kattari, S.; Heubl, G.; Bräuchler, C. Phylogeny of Non-monophyletic Teucrium (Lamiaceae: Ajugoideae): Implications for Character Evolution and Taxonomy. Taxon 2016, 65, 805–822. [Google Scholar] [CrossRef]
  19. Tutin, T.G.; Wood, D. Teucrium. In Flora Europaea, 1st ed.; Tutin, T.G., Heywood, V.H., Burges, N.A., Moore, D., Valentine, D., Walters, S., Eds.; Cambridge University Press: Cambridge, UK, 1972; Volume 3, pp. 129–135. [Google Scholar]
  20. Baden, C. Teucrium L. In Mountain Flora of Greece, 2nd ed.; Strid, A., Tan, K., Eds.; Edinburgh University Press: Edinburgh, UK, 1991; pp. 69–75. [Google Scholar]
  21. Plants of the World Online. Facilitated by the Royal Botanic Gardens, Kew. Available online: http://www.plantsoftheworldonline.org/ (accessed on 13 March 2024).
  22. Zbiljić, M. Morfoanatomska i Genotipska Diverzifikacija Teucrium Montanum Sensu Lato Na Prostoru Balkanskog Poluostrva. Ph.D. Thesis, University of Belgrade, Belgrade, Serbia, 2023. [Google Scholar]
  23. Zbiljić, M.; Lakušić, B.; Marčetić, M.; Bogdanović, S.; Lakušić, D. Morphological and Chemical Evidence of Teucrium × Rohlenae K. Malý (Lamiaceae), a New Hybrid in Croatia. Acta Bot. Croat. 2021, 80, 48–55. [Google Scholar] [CrossRef]
  24. Niketić, M.; Tomović, G.; Anačkov, G.; Đorđević, V.; Đurović, S.; Duraki, Š.; Kabaš, E.; Lakušić, D.; Petkovski, G.; Petrović, S. Material on the Annotated Checklist of Vascular Flora of Serbia: Nomenclatural, Taxonomic and Floristic Notes IV. Bull. Nat. Hist. Mus. 2022, 15, 27–96. [Google Scholar] [CrossRef]
  25. Varga, F.; Liber, Z.; Turudić, A.; Jakše, J.; Juzbašić, L.; Jeran, N.; Grdiša, M.; Zbiljić, M.; Šatović, Z. Joint Identification and Application of Microsatellite Markers in Genetic Diversity Study of Closely Related Species Teucrium montanum, T. capitatum and Their Natural Hybrid. Diversity 2024, 16, 206. [Google Scholar] [CrossRef]
  26. Turudić, A.; Liber, Z.; Grdiša, M.; Jakše, J.; Varga, F.; Poljak, I.; Šatović, Z. Dig-up Primers: A Pipeline for Identification of Polymorphic Microsatellites Loci within Assemblies of Related Species. Int. J. Mol. Sci. 2024, 25, 3169. [Google Scholar] [CrossRef] [PubMed]
  27. Anderson, E.C.; Thompson, E. A Model-Based Method for Identifying Species Hybrids Using Multilocus Genetic Data. Genetics 2002, 160, 1217–1229. [Google Scholar] [CrossRef]
  28. Lexer, C.; Buerkle, C.A.; Joseph, J.A.; Heinze, B.; Fay, M.F. Admixture in European Populus Hybrid Zones Makes Feasible the Mapping of Loci That Contribute to Reproductive Isolation and Trait Differences. Heredity 2007, 98, 74–84. [Google Scholar] [CrossRef]
  29. Minder, A.M.; Rothenbuehler, C.; Widmer, A. Genetic Structure of Hybrid Zones between Silene latifolia and Silene dioica (Caryophyllaceae): Evidence for Introgressive Hybridization. Mol. Ecol. 2007, 16, 2504–2516. [Google Scholar] [CrossRef]
  30. Petit, R.J.; Bodénès, C.; Ducousso, A.; Roussel, G.; Kremer, A. Hybridization as a Mechanism of Invasion in Oaks. New Phytol. 2004, 161, 151–164. [Google Scholar] [CrossRef]
  31. Burgess, K.S.; Morgan, M.; Deverno, L.; Husband, B.C. Asymmetrical Introgression between Two Morus Species (M. alba, M. rubra) That Differ in Abundance. Mol. Ecol. 2005, 14, 3471–3483. [Google Scholar] [CrossRef] [PubMed]
  32. Godbout, J.; Yeh, F.C.; Bousquet, J. Large-scale Asymmetric Introgression of Cytoplasmic DNA Reveals Holocene Range Displacement in a North American Boreal Pine Complex. Ecol. Evol. 2012, 2, 1853–1866. [Google Scholar] [CrossRef] [PubMed]
  33. Du, F.K.; Peng, X.L.; Liu, J.Q.; Lascoux, M.; Hu, F.S.; Petit, R.J. Direction and Extent of Organelle DNA Introgression between Two Spruce Species in the Qinghai-Tibetan Plateau. New Phytol. 2011, 192, 1024–1033. [Google Scholar] [CrossRef] [PubMed]
  34. Petrova, E.A.; Zhuk, E.A.; Popov, A.G.; Bondar, A.A.; Belokon, M.M.; Goroshkevich, S.N.; Vasilyeva, G.V. Asymmetric Introgression between Pinus sibirica and Pinus pumila in the Aldan Plateau (Eastern Siberia). Silvae Genet. 2018, 67, 66–71. [Google Scholar] [CrossRef]
  35. Thórsson, Æ.T.; Salmela, E.; Anamthawat-Jónsson, K. Morphological, Cytogenetic, and Molecular Evidence for Introgressive Hybridization in Birch. J. Hered. 2001, 92, 404–408. [Google Scholar] [CrossRef] [PubMed]
  36. Radosavljević, I.; Bogdanović, S.; Celep, F.; Filipović, M.; Satovic, Z.; Surina, B.; Liber, Z. Morphological, Genetic and Epigenetic Aspects of Homoploid Hybridization between Salvia officinalis L. and Salvia fruticosa Mill. Sci. Rep. 2019, 9, 3276. [Google Scholar] [CrossRef] [PubMed]
  37. Lakušić, B. Morfološka Varijabilnost i Ekološka Diferencijacija Vrsta Roda Teucrium L. (Lamiaceae) u Jugoslaviji. Ph.D. Thesis, University of Belgrade, Belgrade, Serbia, 2000. [Google Scholar]
  38. Lakušić, B.; Stevanović, B.; Jančić, R.; Lakušić, D. Habitat-Related Adaptations in Morphology and Anatomy of Teucrium (Lamiaceae) Species from the Balkan peninsula (Serbia and Montenegro). Flora-Morphol. Distrib. Funct. Ecol. Plants 2010, 205, 633–646. [Google Scholar] [CrossRef]
  39. Lihová, J.; Kučera, J.; Perný, M.; Marhold, K. Hybridization between Two Polyploid Cardamine (Brassicaceae) Species in North-Western Spain: Discordance between Morphological and Genetic Variation Patterns. Ann. Bot. 2007, 99, 1083–1096. [Google Scholar] [CrossRef]
  40. Čertner, M.; Kolář, F.; Schönswetter, P.; Frajman, B. Does Hybridization with a Widespread Congener Threaten the Long-term Persistence of the Eastern Alpine Rare Local Endemic Knautia carinthiaca? Ecol. Evol. 2015, 5, 4263–4276. [Google Scholar] [CrossRef] [PubMed]
  41. Tendal, K.; Ørgaard, M.; Larsen, B.; Pedersen, C. Recurrent Hybridisation Events between Primula vulgaris, P. veris and P. elatior (Primulaceae, Ericales) Challenge the Species Boundaries: Using Molecular Markers to Re-evaluate Morphological Identifications. Nord. J. Bot. 2018, 36, e01778. [Google Scholar] [CrossRef]
  42. Beirinckx, L.; Vanschoenwinkel, B.; Triest, L. Hidden Hybridization and Habitat Differentiation in a Mediterranean Macrophyte, the Euryhaline Genus Ruppia. Front. Plant Sci. 2020, 11, 516856. [Google Scholar] [CrossRef] [PubMed]
  43. Lazarević, M.; Siljak-Yakovlev, S.; Sanino, A.; Lamy, F.; Hinsinger, D.D. Genetic Variability in Balkan Paleoendemic Resurrection Plants Ramonda serbica and R. nathaliae across Their Range and in the Zone of Sympatry. Front. Plant Sci. 2022, 13, 873471. [Google Scholar] [CrossRef] [PubMed]
  44. Zlatković, B. Flora Sićevačke Klisure. Bachelor’s Thesis, Prirodno Matematički Fakultet, Department za Biologiju, University of Novi Sad, Novi Sad, Serbia, 1999. [Google Scholar]
  45. Slatkin, M. Gene Flow in Natural Populations. Annu. Rev. Ecol. Syst. 1985, 16, 393–430. [Google Scholar] [CrossRef]
  46. Slatkin, M. Gene Flow and the Geographic Structure of Natural Populations. Science 1987, 236, 787–792. [Google Scholar] [CrossRef] [PubMed]
  47. Soltis, P.S.; Soltis, D.E. The Role of Hybridization in Plant Speciation. Annu. Rev. Plant Biol. 2009, 60, 561–588. [Google Scholar] [CrossRef]
  48. Thiers, B. Index Herbariorum: A Global Directory of Public Herbaria and Associated Staff. New York Botanical Garden’s Virtual Herbarium. The New York Botanical Garden. 2024. Available online: http://sweetgum.nybg.org/ih/ (accessed on 13 March 2024).
  49. MedCalc Software. Digimizer Image Analysis Software; Version 4.6.1.0; MedCalc Software: Ostend, Belgium, 2005–2011; Available online: http://www.digimizer.com/ (accessed on 14 April 2016).
  50. Zbiljić, M.; Lakušić, B.; Kuzmanović, N.; Stojanović, D.; Lakušić, D. Morphological Diversification of Teucrium montanum sensu lato on the Balkan Peninsula. Plant Biosyst. Int. J. Deal. All Asp. Plant Biol. 2023, 157, 670–687. [Google Scholar] [CrossRef]
  51. StatSoft, Inc. STATISTICA (Data Analysis Software System); Version 7.0; StatSoft Inc.: Tulsa, OK, USA, 2007. [Google Scholar]
  52. Kalinowski, S.T.; Taper, M.L.; Marshall, T.C. Revising How the Computer Program CERVUS Accommodates Genotyping Error Increases Success in Paternity Assignment. Mol. Ecol. 2007, 16, 1099–1106. [Google Scholar] [CrossRef]
  53. Van Oosterhout, C.; Hutchinson, W.F.; Wills, D.P.; Shipley, P. MICRO-CHECKER: Software for Identifying and Correcting Genotyping Errors in Microsatellite Data. Mol. Ecol. Notes 2004, 4, 535–538. [Google Scholar] [CrossRef]
  54. Chapuis, M.-P.; Estoup, A. Microsatellite Null Alleles and Estimation of Population Differentiation. Mol. Biol. Evol. 2007, 24, 621–631. [Google Scholar] [CrossRef]
  55. Rousset, F. Genepop’007: A Complete Re-implementation of the Genepop Software for Windows and Linux. Mol. Ecol. Resour. 2008, 8, 103–106. [Google Scholar] [CrossRef]
  56. SAS Institute Inc. Base SAS 9.4 Procedures Guide: Statistical Procedures; SAS Institute: Cary, NC, USA, 2011; ISBN 978-1-60764-944-1. [Google Scholar]
  57. Kalinowski, S.T. Hp-rare 1.0: A Computer Program for Performing Rarefaction on Measures of Allelic Richness. Mol. Ecol. Notes 2005, 5, 187–189. [Google Scholar] [CrossRef]
  58. Goudet, J. FSTAT (Version 1.2): A Computer Program to Calculate F-Statistics. J. Hered. 1995, 86, 485–486. [Google Scholar] [CrossRef]
  59. Belkhir, K. GENETIX 4.05, Logiciel Sous Windows TM Pour La Génétique Des Populations. 2004. Available online: http://www.genetix.univ-montp2.fr/genetix/genetix.htm (accessed on 1 March 2023).
  60. Pritchard, J.K.; Stephens, M.; Donnelly, P. Inference of Population Structure Using Multilocus Genotype Data. Genetics 2000, 155, 945–959. [Google Scholar] [CrossRef]
  61. Evanno, G.; Regnaut, S.; Goudet, J. Detecting the Number of Clusters of Individuals Using the Software STRUCTURE: A Simulation Study. Mol. Ecol. 2005, 14, 2611–2620. [Google Scholar] [CrossRef]
  62. Earl, D.A.; VonHoldt, B.M. STRUCTURE HARVESTER: A Website and Program for Visualizing STRUCTURE Output and Implementing the Evanno Method. Conserv. Genet. Resour. 2012, 4, 359–361. [Google Scholar] [CrossRef]
  63. Kopelman, N.M.; Mayzel, J.; Jakobsson, M.; Rosenberg, N.A.; Mayrose, I. Clumpak: A Program for Identifying Clustering Modes and Packaging Population Structure Inferences across K. Mol. Ecol. Resour. 2015, 15, 1179–1191. [Google Scholar] [CrossRef] [PubMed]
Figure 1. Multivariate analyses for morphometric data for syntopic populations of T. montanum, T. capitatum and T. × rohlenae. (A)—principal component analysis (PCA), (B)—canonical discriminant analysis (CDA). Each color (red, blue and green) represents a group (T. montanum, T. capitatum and T. × rohlenae, respectively), while each symbol (circle, square, rhomb) represents a locality (Trilj, Sićevo and Sliven, respectively).
Figure 1. Multivariate analyses for morphometric data for syntopic populations of T. montanum, T. capitatum and T. × rohlenae. (A)—principal component analysis (PCA), (B)—canonical discriminant analysis (CDA). Each color (red, blue and green) represents a group (T. montanum, T. capitatum and T. × rohlenae, respectively), while each symbol (circle, square, rhomb) represents a locality (Trilj, Sićevo and Sliven, respectively).
Plants 13 01617 g001
Figure 2. Box-and-whisker plots of morphological characters most contribute to the separation among groups, with Kruskal–Wallis test values. Acronyms: L_T = number of teeth on leaf margin; L_n_T = length of the narrow part of tooth; C_In-ad = indumentum of adaxial leaf surface; Frequ_S = frequency of stipules on stem’s nodes; D_Cal_b_T_b = distance between calyx base and tooth base; No_I = number of terminal inflorescences.
Figure 2. Box-and-whisker plots of morphological characters most contribute to the separation among groups, with Kruskal–Wallis test values. Acronyms: L_T = number of teeth on leaf margin; L_n_T = length of the narrow part of tooth; C_In-ad = indumentum of adaxial leaf surface; Frequ_S = frequency of stipules on stem’s nodes; D_Cal_b_T_b = distance between calyx base and tooth base; No_I = number of terminal inflorescences.
Plants 13 01617 g002
Figure 3. 1—The results of the STRUCTURE analysis for the K = 2 based on nine microsatellite loci. All samples were arranged according to morphological identification. Each individual plant is represented by a single horizontal line. The length of the colored segments indicates the estimated posterior probability of assignment of the individual to each class. 2—The genetic structure and classification of individuals from syntopic localities analyzed separately using the program NEWHYBRIDS. Acronyms: P1 (parent T. montanum), P2 (parent T. capitatum), F1 (first generation hybrids), F2 (second generation hybrids), BC1 (backcross to T. montanum) and BC2 (backcross to T. capitatum). Each individual plant is represented by a single horizontal line. The length of the colored segments indicates the estimated posterior probability of assignment of the individual to each class. (A) For Trilj, (B) for Sićevo, (C) for Sliven.
Figure 3. 1—The results of the STRUCTURE analysis for the K = 2 based on nine microsatellite loci. All samples were arranged according to morphological identification. Each individual plant is represented by a single horizontal line. The length of the colored segments indicates the estimated posterior probability of assignment of the individual to each class. 2—The genetic structure and classification of individuals from syntopic localities analyzed separately using the program NEWHYBRIDS. Acronyms: P1 (parent T. montanum), P2 (parent T. capitatum), F1 (first generation hybrids), F2 (second generation hybrids), BC1 (backcross to T. montanum) and BC2 (backcross to T. capitatum). Each individual plant is represented by a single horizontal line. The length of the colored segments indicates the estimated posterior probability of assignment of the individual to each class. (A) For Trilj, (B) for Sićevo, (C) for Sliven.
Plants 13 01617 g003
Figure 4. Scatterplot of factorial correspondence analysis (FCA) performed on the basis of genetic data for nine groups. Each individual plant is represented by a small symbol, and enlarged symbols on the scatterplot represent group centroids. Each color (red, blue and green) represents a group (T. montanum, T. capitatum and T. × rohlenae, respectively), while each symbol (circle, square, diamond) represents a locality (Trilj, Sićevo and Sliven, respectively).
Figure 4. Scatterplot of factorial correspondence analysis (FCA) performed on the basis of genetic data for nine groups. Each individual plant is represented by a small symbol, and enlarged symbols on the scatterplot represent group centroids. Each color (red, blue and green) represents a group (T. montanum, T. capitatum and T. × rohlenae, respectively), while each symbol (circle, square, diamond) represents a locality (Trilj, Sićevo and Sliven, respectively).
Plants 13 01617 g004
Figure 5. The sympatric zone of the sibling species Teucrium montanum and Teucrium capitatum in which the presence of the hybrid T. × rohlenae was registered. Red points: A—Trilj (Croatia), B—Sićevo (Serbia), C—Sliven (Bulgaria). Country abbreviations: CR—Croatia, BH—Bosnia and Herzegovina, SR—Serbia, RO—Romania, BU—Bulgaria, MN—Montenegro, IT—Italy, AL—Albania, MA—North Macedonia, GR—Greece.
Figure 5. The sympatric zone of the sibling species Teucrium montanum and Teucrium capitatum in which the presence of the hybrid T. × rohlenae was registered. Red points: A—Trilj (Croatia), B—Sićevo (Serbia), C—Sliven (Bulgaria). Country abbreviations: CR—Croatia, BH—Bosnia and Herzegovina, SR—Serbia, RO—Romania, BU—Bulgaria, MN—Montenegro, IT—Italy, AL—Albania, MA—North Macedonia, GR—Greece.
Plants 13 01617 g005
Table 1. The discriminant function analysis (DFA) for 15 morpho-anatomical characters for sympatric populations of T. montanum, T. capitatum and T. × rohlenae.
Table 1. The discriminant function analysis (DFA) for 15 morpho-anatomical characters for sympatric populations of T. montanum, T. capitatum and T. × rohlenae.
CharactersAcroWilks’ LambdaPartial LambdaF-remove (8.82)P-Level
Central nerve—radius (µm)R_CN0.0001270.7868392.776810.009071
Indumentum adaxial (percentage of coverage)C_In-ad0.0001470.6804414.813760.000070
Number of capitate hairs No_CH0.0001350.7403423.594950.001267
Thickness of adaxial epidermal cells (µm)T_Epi-ad0.0001180.8485451.829500.083127
Thickness of cuticle (µm)T_Cut0.0002540.39243415.869040.000000
Leaf surface (mm²)L_S0.0001430.6969174.457640.000162
Leaf base widthL_B_L0.0001130.8838771.346640.232638
Number of teeth on leaf marginL_T0.0002190.45455212.299690.000000
Bract lengthB_L0.0001220.8177582.284280.029235
Frequency of stipules on stem’s nodesFrequ_S0.0001280.7794332.900590.006739
Average length of first three internodesAvg_L_F_I0.0001280.7766242.948150.006011
Distance between calyx base and tooth baseD_Cal_b_T_b0.0001410.7076174.235240.000274
Length of the narrow part of toothL_n_T0.0002160.46103711.982500.000000
Number of flowers in terminal inflorescenceNo_F_I0.0001280.7820792.856090.007499
Number of terminal inflorescencesNo_I0.0001270.7850212.806980.008437
Table 2. The number of alleles (Na) by groups and localities. OnlyTm—number of unique alleles for T. montanum; OnlyTx—number of unique alleles for T. × rohlenae; OnlyTc—number of unique alleles for T. capitatum; TmTx—number of shared alleles between T. montanum and T. × rohlenae; TmTc—number of shared alleles between T. montanum and T. capitatum; TxTc—number of shared alleles between T. × rohlenae and T. capitatum, All—number of alleles shared by all taxa.
Table 2. The number of alleles (Na) by groups and localities. OnlyTm—number of unique alleles for T. montanum; OnlyTx—number of unique alleles for T. × rohlenae; OnlyTc—number of unique alleles for T. capitatum; TmTx—number of shared alleles between T. montanum and T. × rohlenae; TmTc—number of shared alleles between T. montanum and T. capitatum; TxTc—number of shared alleles between T. × rohlenae and T. capitatum, All—number of alleles shared by all taxa.
ConfigurationLocalityAll Localities
TriljSićevoSliven
NaNaNaNa
OnlyTm43382129
OnlyTx16191014
OnlyTc27213822
TmTx14212429
TmTc2715524
TxTc6181517
All22121578
Total155144128213
Table 3. Parameters of population diversity. n—sample size; Na—average no. of alleles; Nar—allelic richness; Npar—no. of private alleles; Npr—private allelic richness; HO—observed heterozygosity; HE—expected heterozygosity; FIS—inbreeding coefficient; P—probability of HW equilibrium (after Bonferroni correction): *** p < 0.001; “ns” non-significant values.
Table 3. Parameters of population diversity. n—sample size; Na—average no. of alleles; Nar—allelic richness; Npar—no. of private alleles; Npr—private allelic richness; HO—observed heterozygosity; HE—expected heterozygosity; FIS—inbreeding coefficient; P—probability of HW equilibrium (after Bonferroni correction): *** p < 0.001; “ns” non-significant values.
LocalitySpeciesnNaNarNprNparHOHEFISP
TriljT. montanum1111.7787.19281.0260.8890.9100.023ns
T. × rohlenae56.4446.44441.0150.7780.8670.103ns
T. capitatum109.1116.06770.9080.6670.8190.186***
SićevoT. montanum149.5565.74390.7540.7460.7990.066ns
T. × rohlenae97.7785.84190.9880.8770.852−0.029ns
T. capitatum117.3335.24260.5670.7680.7960.036ns
SlivenT. montanum127.2225.02920.3610.7130.7660.069ns
T. × rohlenae117.1115.26510.3530.8080.8180.012ns
T. capitatum98.1115.91860.6400.8400.817−0.027ns
Table 4. Pairwise FST values (lower diagonal) and their significance (upper diagonal) among populations.
Table 4. Pairwise FST values (lower diagonal) and their significance (upper diagonal) among populations.
PopLocalitySpeciesP1P2P3P4P5P6P7P8P9
P1TriljT. montanum ns********************
P2TriljT. × rohlenae0.040 **********
P3TriljT. capitatum0.0880.033 ****************
P4SićevoT. montanum0.0950.1390.154 ***************
P5SićevoT. × rohlenae0.0650.0700.0870.086 ***********
P6SićevoT. capitatum0.0870.1060.1170.1740.071 *******
P7SlivenT. montanum0.1080.1600.1790.0970.0950.193 ****
P8SlivenT. × rohlenae0.0930.0960.0920.1270.0780.1280.058 **
P9SlivenT. capitatum0.0840.0620.0500.1590.0680.0770.1690.079
p-values: *** p < 0.001; ** p < 0.01; * p < 0.05; “ns” non-significant values.
Table 5. Data on the analyzed populations. Acronyms: State code: BG = Bulgaria, HR = Croatia, RS = Serbia; Alt = altitude (in m a.s.l.) Lat = latitude and Long = longitude (in WGS84).
Table 5. Data on the analyzed populations. Acronyms: State code: BG = Bulgaria, HR = Croatia, RS = Serbia; Alt = altitude (in m a.s.l.) Lat = latitude and Long = longitude (in WGS84).
State CodeLocalityAltLatLongSubstrateHabitat
CRTrilj34043.57916.696LimestoneSub-Mediterranean rocky grasslands (Thero-Brachypodietea)
SRSićevo42943.33822.078LimestoneContinental rocky grasslands(Festuco-Brometea)
BUSliven95342.7426.313LimestoneMountain rocky grasslands (Festuco-Seslerietea)
Disclaimer/Publisher’s Note: The statements, opinions and data contained in all publications are solely those of the individual author(s) and contributor(s) and not of MDPI and/or the editor(s). MDPI and/or the editor(s) disclaim responsibility for any injury to people or property resulting from any ideas, methods, instructions or products referred to in the content.

Share and Cite

MDPI and ACS Style

Lakušić, D.; Zbiljić, M.; Šatović, Z.; Kuzmanović, N.; Liber, Z. Asymmetric Introgression and Cryptic Natural Hybridization between Two Species of Teucrium Section Polium (Lamiaceae) on the Balkan Peninsula. Plants 2024, 13, 1617. https://doi.org/10.3390/plants13121617

AMA Style

Lakušić D, Zbiljić M, Šatović Z, Kuzmanović N, Liber Z. Asymmetric Introgression and Cryptic Natural Hybridization between Two Species of Teucrium Section Polium (Lamiaceae) on the Balkan Peninsula. Plants. 2024; 13(12):1617. https://doi.org/10.3390/plants13121617

Chicago/Turabian Style

Lakušić, Dmitar, Miloš Zbiljić, Zlatko Šatović, Nevena Kuzmanović, and Zlatko Liber. 2024. "Asymmetric Introgression and Cryptic Natural Hybridization between Two Species of Teucrium Section Polium (Lamiaceae) on the Balkan Peninsula" Plants 13, no. 12: 1617. https://doi.org/10.3390/plants13121617

APA Style

Lakušić, D., Zbiljić, M., Šatović, Z., Kuzmanović, N., & Liber, Z. (2024). Asymmetric Introgression and Cryptic Natural Hybridization between Two Species of Teucrium Section Polium (Lamiaceae) on the Balkan Peninsula. Plants, 13(12), 1617. https://doi.org/10.3390/plants13121617

Note that from the first issue of 2016, this journal uses article numbers instead of page numbers. See further details here.

Article Metrics

Back to TopTop