Next Article in Journal
Iron Plaque: A Shield against Soil Contamination and Key to Sustainable Agriculture
Previous Article in Journal
OsMGD1-Mediated Membrane Lipid Remodeling Improves Salt Tolerance in Rice
 
 
Font Type:
Arial Georgia Verdana
Font Size:
Aa Aa Aa
Line Spacing:
Column Width:
Background:
Article

Nutritional Variation on Sequentially Harvested Shoots and Fruits of Lagenaria siceraria Landraces

by
Lungelo Given Buthelezi
1,*,
Sydney Mavengahama
2,
Julia Sibiya
3,
Charmaine Nontokozo Mchunu
4 and
Nontuthuko Rosemary Ntuli
5
1
Department of Agriculture, Faculty of Science, Agriculture and Engineering, University of Zululand, KwaDlangezwa 3886, South Africa
2
Food Security and Safety Area, Faculty of Natural and Agricultural Science, North-West University, Mmabatho 2745, South Africa
3
School of Agriculture, Earth and Environmental Sciences, University of KwaZulu-Natal, Pietermaritzburg 3201, South Africa
4
KwaZulu-Natal Department of Agriculture & Rural Development, Soil Fertility and Analytical Services, 01 Cedara Road, Pietermaritzburg 3200, South Africa
5
Department of Botany, Faculty of Science, Agriculture and Engineering, University of Zululand, KwaDlangezwa 3886, South Africa
*
Author to whom correspondence should be addressed.
Plants 2024, 13(11), 1475; https://doi.org/10.3390/plants13111475
Submission received: 12 March 2024 / Revised: 19 May 2024 / Accepted: 23 May 2024 / Published: 27 May 2024
(This article belongs to the Section Crop Physiology and Crop Production)

Abstract

Lagenaria siceraria (Molina) Standley, a member of the Cucurbitaceae family, is valued for its medicinal and nutritive properties. The nutrient status of sequentially harvested shoots and fruits at various growth stages in L. siceraria has not been documented to date. This study aimed to compare the nutritional status of L. siceraria landrace shoots and fruits harvested at different maturity stages. Micronutrients, macronutrients, and proximate composition of shoots and fruits were determined using inductively coupled plasma–optical emission spectrometry (ICP-OES). Data were subjected to multivariate statistical analysis. The nutrient attributes differed significantly (p < 0.05) within and among landraces at different growth stages. Correlation of nutritional traits was primarily based on shared absorption sites and comparable chemical composition. The first five principal components in shoots and fruits had 90.218 and 89.918% total variability, respectively. The micronutrients Ca, Mg, K, P, and N in shoots and the macronutrients Fe, Zn, Cu, and Al in fruits were the main contributors to variability. The biplot and dendrogram clustered landraces with comparable nutrient values. Shoot traits classified landraces into three major clusters, where clusters I and II grouped landraces with superior and inferior Mg, P, K, N, Fe, K/Ca+Mg, ADL, and protein levels at 42–63 DAS. Cluster III consisted of landraces with more Ca, Na, Mn, Zn, and Cu. However, the fruit nutrient status classified landraces into two major clusters. Cluster I comprised landrace KSC (as a singlet) with the highest Ca, P, N, Mn, Fe, Zn, and Cu contents at various stages of growth (7–21 DAA). Cluster II had landraces with higher K, C/N ratio, Na, moisture content, ash, protein, and fat. The nutritional status of shoots and fruits determined at different stages of growth is essential for selecting the best harvest time and landrace(s) for required daily nutrient intake.

1. Introduction

Lagenaria siceraria (Molina) Standley is a hardy crop that thrives in warmer regions of the planet for its various applications [1]. With the lack of animal nutrient accessibility, underutilized crops such as L. siceraria, whose shoots, leaves, flowers, juvenile and mature fruits, and seeds can be consumed as a vegetable relish [2], are gaining research popularity due to their potential as a prominent dietary supplement for human consumption [3].
Minerals are inorganic elements, some of which are vital nutrients [4]. The minerals obtained from the consumption of plant parts are regarded as essential nutrients for human health [1]. They are clustered into two distinct groups: macronutrients (K, P, Mg, Na, and Ca) and micronutrients (Mn, Zn, Fe, and Cu), which are important constituents in a myriad of biological pathways for plant and human growth [5]. For humans, the lack of these minerals can result in organ failure, metabolic disorders and, subsequently, death [1]. Thus, they must be obtained from food; natural plant foods such as fruits and vegetables are the primary sources of these mineral elements [6].
Lagenaria siceraria is abundant in some of these essential nutrients for mankind’s dietary requirements for survival [3]. Its leaves contain essential nutrients and agronomic indicators such as moisture content, carbohydrates, protein, mineral elements, and fiber [7]. The leaves also contain sufficient amounts of phosphorus (P), calcium (Ca), magnesium (Mg), zinc (Zn), copper (Cu), iron (Fe), and manganese (Mn) [8]. Similar to the leaves, L. siceraria fruits also contain essential nutrients such as moisture content, ash, protein, lipids, and carbohydrates [9]. It has neutral detergent fiber (NDF), acid detergent fiber (ADF), and vitamin C [10]. Lagenaria siceraria fruits also contain essential mineral elements such as iron, copper, silver (Ag), manganese, zinc, cobalt (Co), and lead (Pb) [4,11]. They also contain phosphorus, potassium, magnesium, calcium, and sodium [12].
The nutritional composition of L. siceraria is among the most researched topics in recent times around the world due to the availability and quantities of its nutritional composition as well as its various uses, supporting it as an alternative nutritious crop. However, currently, no study has investigated the variation in nutrient composition in the shoots and fruits of L. siceraria across different growth stages. Hence, a study on the variation in nutrient content in shoots and fruits across different growth stages will be beneficial for harvesting the plant parts at their most nutritionally valuable growth stage, thus allowing farmers, scientists, and fellow researchers to schedule the crop accordingly for market readiness. In the current study, we documented the nutrient content of shoots and fruits of L. siceraria landraces at different growth stages, making it the most in-depth and distinctive study to date worldwide.

2. Results

The description of fruit and seed traits of the nineteen landraces of Lagenaria siceraria from different agro-climatic regions in northern KwaZulu-Natal and Limpopo, South Africa, can be found in Table 1. Fruit and seed morphological attribute variations can be seen in Figure 1 and Figure 2, respectively.

2.1. Macronutrient Composition

The macronutrient composition of landraces differed significantly (p < 0.05) in shoots and fruits harvested at the same stage of development and among each landrace at different stages of development (Table 2). At 49 DAS, KSP had higher calcium than at 42 and 56 DAS. Furthermore, landrace KRI had higher calcium levels at 56 DAS than at 42, 49, and 63 DAS. Again, the calcium content of BG-19, BG-26, BG-27, BG-100/GC, and ESC was greater at 63 DAS than at 42 DAS.
Among the fruits assessed, landraces ESC, KSC, and NSRP had the highest calcium concentration at 7, 14, and 21 days after anthesis (DAA), respectively. Variation in calcium content within landraces across different growth stages recorded that BG-100/GC and NRC produced higher calcium levels at 21 DAA compared with 7 and 14 DAA. Landraces KSC and NSRP also produced more calcium at 14 and 21 DAA than at 7 DAA. Further, the following landraces had more calcium content at 7 DAA compared with 14 and 21 DAA: DSI, KSP, and NSRC, and at 21 DAA (ESC). Landrace RSP showed a different trend, with more calcium at 7 and 14 DAA than at 21 DAA.
Landrace KRI contained the most magnesium at all stages of growth compared with other landraces (Table 2). Landrace NqSC produced more magnesium content at 42 DAS than at 56 DAS. Landrace KRI had more magnesium at 56 DAS than at 49 DAS, whereas BG-27 recorded higher magnesium content at 63 DAS than at 42, 49, and 56 DAS. Magnesium content in fruits remained relatively similar among all landraces at 7 and 14 DAA. However, at 21 DAA, landrace BG-27 produced the most magnesium of all landraces across all growth stages (Table 2).
The highest potassium content was recorded in landrace KRI at 42 DAS (Table 2). However, all landraces had similar potassium content at other stages of growth (49, 56, and 63 DAS). Potassium content also remained similar within each landrace as the shoots grew. In fruits, landraces DSI and RSP exhibited the highest potassium content among all landraces at 7 and 14 DAA (Table 2). However, at 21 DAA, potassium levels were relatively similar among all landraces. Variation in potassium content across growth stages within landraces demonstrated that DSI and NqRC exhibited higher potassium levels at 7 DAA compared with 14 and 21 DAA. Additionally, RSP showed higher potassium content at 14 DAA than at 21 DAA.
When compared with other landraces, KRI recorded the most phosphorus content at 42, 56, and 63 DAS, whereas BG-26 and BG-19 had the highest phosphorus at 49 and 63 DAS, respectively (Table 2). Comparison of phosphorus content at different harvest days within each landrace showed that landraces KSC and KSP had higher phosphorus levels at 42 and 49 DAS than at 63 DAS, whereas BG-26 also had more phosphorus at 42 and 49 DAS than at 56 and 63 DAS. At 7 and 14 DAA, the fruits of KRI and KSC produced the highest phosphorus content among the landraces (Table 2). Additionally, at 21 DAA, landraces BG-24, BG-27, DSI, and NqSC exhibited higher phosphorus levels compared with KRI and KSP. The phosphorus content of the landraces varied across growth stages. Landrace BG-24 had higher phosphorus levels at 7 and 21 DAA than at 14 DAA, while DSI and NqRC contained more phosphorus at 14 and 21 DAA than at 7 DAA. Landraces ESC and NqSC produced more phosphorus at 7 and 14 DAA than at 21 DAA, and at 21 down to 7 DAA, respectively. More phosphorus was recorded in landraces KSC and KRI at 14 DAA than at 7 DAA, while KSP produced more phosphorus at 7 DAA than at 14 and 21 DAA. Landraces NSRC and NSRP produced higher phosphorus content at 14 DAA than at 7 and 21 DAA.
The fruit nitrogen content did not vary among landraces at 7 and 21 DAA (Table 2). However, at 14 DAA, KSC contained the highest nitrogen content of them all. The nitrogen content of KRI was higher at 7 DAA than at 14 and 21 DAA. Again, KSC had more nitrogen at 14 DAA than at 7 and 21 DAA. Furthermore, the carbon content in fruits remained similar among landraces and across different harvest periods (Table 2). At 7 DAA, landrace BG-31 had a higher carbon-to-nitrogen ratio (C/N ratio) than BG-24, BG-100/GC, KRI, KSP, and NSRP (Table 2). At 14 and 21 DAA, landrace KRI demonstrated the highest C/N ratio. The C/N ratio varied within landraces across different stages of growth. Landraces BG-24, ESC, and NSRP had a higher C/N ratio at 14 and 21 DAA than at 7 DAA (Table 2). Furthermore, landraces BG-100/GC, KSC, KSP, NRC, NqRC, and RSP showed a higher C/N ratio at 21 DAA than at 7 and 14 (KSC and NqRC) DAA. Additionally, BG-100/GC, DSI, KSP, NRC, NSRC, and RSP had a higher C/N ratio at 7 and 21 DAA than at 14 DAA. Landrace KRI had the highest C/N ratio at 14 DAA, followed by 21 DAA, and the lowest at 7 DAA.

2.2. Micronutrient Composition

The micronutrient content of landraces varied significantly (p < 0.05) within each growth phase and as the shoots were maturing and vining from 42 to 63 DAS (Table 3). Landraces BG-19 and BG-100/GC at 42 DAS; KRI and NqSC at 49 DAS; BG-19, BG-26, DSI, ESC, KSP, and NqSC at 56 DAS; and BG-19, ESC, and KSP at 63 DAS produced more sodium content than other landraces. The majority (85%) of the landraces had higher sodium levels at 56 DAS than at 42 and 49 DAS, with very few exceptions. In fruits, landraces DSI, BG-31, and KSC had the highest sodium content at 7, 14, and 21 DAA, respectively (Table 3). Further, the landraces displayed variations in sodium concentrations across different harvest periods. Landrace BG-100/GC had higher sodium levels at 14 DAA than at 7 and 21 DAA, while DSI had higher sodium levels at 7 DAA than at 14 and 21 DAA. Landraces BG-24, ESC, KRI, NqRC, and NRC also produced more sodium at 21 DAA than at 7 and 14 DAA. Furthermore, landraces BG-31, KSC, NSRP, and RSP had more sodium at 14 and 21 DAA than at 7 DAA. Additionally, KSP produced more sodium at 7 and 21 DAA than at 14 DAA.
Landrace BG-19 had higher manganese content than other landraces at all stages of growth, with very few exceptions (Table 3). Again, the manganese content did not vary in 77% of the landraces across varying stages of growth. However, landrace BG-26 showed higher levels of manganese at 56 and 63 DAS than at 42 and 49 DAS. Furthermore, BG-100/GC and KSC had more manganese content at 63 DAS than at 42 DAS as well as 42 and 49 DAS, respectively. Landraces ESC, KSC, and BG-31 had the highest fruit manganese content at 7, 14, and 21 DAA, respectively (Table 3). The variation in manganese concentrations within the same landrace across different harvest periods demonstrated that landraces BG-24, BG-100/GC, ESC, and KRI had more manganese at 7 DAA than at 14 and 21 DAA. Landraces KSC and NqRC produced more manganese content at 14 DAA than at 7 and 21 DAA, while in landraces KSP and NRC manganese was higher at 7 and 21 DAA than at 14 DAA.
Landrace BG-100/GC had the highest iron content at 42, 49, and 56 DAS, whereas landrace KSC had the highest iron levels at 63 DAS compared with other landraces (Table 3). The shoot iron content of BG-19, KSP, NqSC, and KRI was higher at 42 DAS than at 49 DAS and then increased at 56 and 63 DAS. Furthermore, landraces BG-26, BG-27, BG-81, and BG-100/GC had more iron at 42 DAS than at 49 DAS, then increased at 56 DAS before dropping at 63 DAS (Table 3). Again, DSI and KSC exhibited steadily rising iron levels from 42, 49, and 56 to 63 DAS. The highest fruit iron content at 7, 14, and 21 DAA was recorded in landraces ESC, KSC, and NRC, respectively (Table 3). The iron content also varied across fruit growth stages. Landraces BG-24 and KSC had higher iron levels at 14 DAA than at 7 DAA, whereas landraces BG-31, BG-100/GC, and ESC produced more iron as fruits matured from 7 to 21 DAA. Landraces DSI, NqRC, NSRC, and NSRP produced more iron at 14 DAA than at 21 DAA, while landraces NqSC and NRC had more iron at 21 DAA than at 7 and 14 DAA. Landrace BG-27 contained more iron at 7 DAA than at 14 and 21 DAA, while landrace RSP had more iron at 21 DAA than at 7 DAA (Table 3).
The zinc content in shoots of landrace BG-19 at 42 DAS; landraces BG-19, BG-24, BG-26, and BG-80 at 49 DAS; landraces BG-19 and BG-26 at 56 DAS; and landrace BG-81 at 63 DAS was higher than that of other landraces (Table 3). Many landraces (69%) had higher zinc content at 63 DAS than at all other development phases, with few exceptions. Furthermore, BG-26, BG-27, and KSP had more zinc at 63 DAS than at 42 (BG-26) and 49 DAS. Moreover, BG-100/GC had higher zinc levels at 56–63 DAS than at 42–49 DAS, but KSC had more zinc at 49, 56, and 63 DAS than at 42 DAS.
Landraces ESC and DSI at 7 DAA, KSC at 14 DAA, and BG-24 and BG-27 at 21 DAA produced fruits with the highest zinc content (Table 3). Variability in the zinc content of landraces across different stages of growth also demonstrated that landrace BG-24 produced fruits with higher zinc levels at 7 and 21 DAA than at 14 DAA. Landraces BG-100/GC and NSRC also had more zinc at 7 and 14 DAA than at 21 DAA. Furthermore, fruits of DSI and ESC produced the highest zinc content at 7 DAA, which progressively decreased as the fruits matured from 14 to 21 DAA. Again, KRI had more zinc at 7 DAA than at 14 and 21 DAA, whereas NqSC had more zinc at 14 and 21 DAA than at 7 DAA. Moreover, KSC fruits produced more zinc at 14 DAA than at 7 and 21 DAA. Landrace NqRC had the highest zinc content at 14 DAA, followed by 21 DAA, and the least at 7 DAA.
Landraces BG-100/GC and BG-19 had higher copper content than other landraces at 42 and 63 DAS, respectively (Table 3). However, copper content did not differ between landraces at 49 and 56 DAS. Again, 77% of landraces did not show variation in copper levels across all development stages. Landraces BG-24 and BG-27 exhibited higher copper content at 63 DAS than at 42 DAS, whereas BG-19 and BG-27 contained more copper at 63 DAS than at 49 DAS.
The fruits of landraces ESC, KSC, and NSRP produced the highest fruit copper content at 7, 14, and 21 DAA, respectively (Table 3). Landraces also showed variation in copper levels across varying stages of growth. Landrace BG-24 had more copper at 7 and 21 DAA than at 14 DAA. Again, landraces BG-100/GC, ESC, KRI, and NRC had more copper at 7 DAA, which progressively decreased with fruit maturity from 14 to 21 DAA. Furthermore, DSI, NSRP, and RSP produced higher copper levels at 21 DAA than at 7 and 14 DAA. Again, NqRC had the highest copper content at 21 DAA, followed by 14 DAA, and the lowest at 7 DAA. Additionally, landraces NqSC and NSRC had more copper at 14 and 21 DAA than at 7 DAA. Fruit aluminum content did not vary among all landraces and across all growth stages (Table 3).

2.3. Proximate Composition

Proximate composition varied significantly (p < 0.05) among landraces within each stage of growth and as the shoots and fruits matured from 42 to 63 DAS and from 7 to 21 DAA, respectively (Table 4). Many landraces had similar moisture content compared with others in each stage of growth, as was clearly presented at 56 DAS. However, landraces KSC and NqSC at 42 DAS, DSI at 49 DAS, and NqSC at 63 DAS had sappier shoots than other landraces, including those of BG-27, at 42 DAS. Apart from landrace BG-26, which showed higher moisture content at 42–49 DAS than at 56–63 DAS, almost all landraces (97%) had similar moisture content at all growth stages. The majority (63%) of landraces produced sappier fruits at 7–14 DAA than at 21 DAA. The highest moisture content was recorded in KSP, NSRC, and BG-100/GC at 7, 14, and 21 DAA, respectively. Apart from BG-100/GC, which had the sappiest fruits at 21 DAA, followed by 14 DAA, and the least at 7 DAA, the majority (67%) of landraces had more succulent fruits at 7 DAA. However, landraces ESC, KRI, NqRC, NqSC, and NSRC had fruits with higher moisture content at 7 and 14 DAA than at 21 DAA. Landrace KRI at 42 and 56 DAS, as well as KSP at 63 DAS, had greater acid detergent fiber (ADF) content than other landraces (Table 4). However, landraces did not differ in their ADF content at 49 DAS. Additionally, the majority of landraces (85%) had more ADF content at 63 DAS than at the earlier growth stage. In fruits, the highest acid detergent fiber (ADF) concentration was recorded in DSI, NSRP, and ESC fruits at 7, 14, and 21 DAA, respectively (Table 4). The majority (78%) of landraces that showed variations in ADF content across different growth stages had more ADF at 21 DAA than at 7 and 14 DAA (Table 4). Landraces ESC, KSC, NSRC, and NSRP had the highest ADF at 21 DAA, followed by 14 DAA, and the lowest at 7 DAA. Further, landraces KRI and NqSC had higher ADF at 21 DAA than at 14 DAA. Again, landrace RSP produced more ADF at 21 DAA than at 7 DAA. Landraces BG-100/GC and KRI at 42 DAS; KRI at 49 DAS; BG-100/GC, DSI, and KRI at 56 DAS; and KSP at 63 DAS exhibited higher shoot neutral detergent fiber (NDF) content than other landraces (Table 4). Landraces DSI, NSRP, and ESC had the highest fruit neutral detergent fiber (NDF) content than other landraces at 7, 14, and 21 DAA, respectively (Table 4).
At 42, 49, and 56 DAS, the highest acid detergent lignin (ADL) content was recorded in landrace KRI (Table 4). Moreover, landraces BG-19, KRI, and NqSC had higher ADL content than all other landraces at 63 DAS. The ADL content of landraces BG-19, BG-24, BG-26, BG-80, BG-81, BG-100/GC, ESC, KSP, and NqSC was higher at 63 DAS than at 42–56 DAS. Furthermore, at 56 DAS, KRI produced more ADL than at 42, 49, and 63 DAS, where the content recorded at 42 and 63 DAS was higher than at 49 DAS. Again, at 42, 56, and 63 DAS, KSC had more ADL than at 49 DAS. Moreover, at 63 DAS, BG-27 had more ADL than at 42 DAS. Landraces BG-27, ESC, KSC, and RSP produced more ash at 14 DAA than at 7 DAA. Additionally, landraces BG-100/GC and NSRP had more ash at 21 DAA than at 7 DAA.
The protein content was consistent across all landraces and at different stages of shoot growth (Table 4). Protein content was relatively similar among all landraces and at different stages of fruit growth, with very few exceptions (Table 4). Landraces NSRP and BG-100/GC produced fruits with the highest protein content at 7 and 14 DAA. However, the protein content was similar among all landraces at 21 DAA. The majority (63%) of landraces showing variations in protein content recorded their highest protein content at 14 DAA. Landraces KRI, KSC, and NSRP had more protein at 7 DAA than at 21 DAA. Further, landraces BG-100/GC, ESC, KSP, NqRC, and NRC produced more protein at 14 than 21 DAA.
Landrace BG-27 at 42 DAS, ESC at 49 and 56 DAS, and BG-27 and ESC at 63 DAS contained the most carbohydrates of any landrace (Table 4). The carbohydrates in landraces BG-24, BG-27, BG-100/GC, and DSI were higher at 42 DAS than at 49–63 DAS. Furthermore, at 42–49 DAS, BG-26, BG-80, and KSC had more carbohydrates than at 56–63 DAS. Again, carbohydrate levels were higher at 49 DAS in BG-19, BG-81, ESC, and KRI than at 42, 56, and 63 DAS. Moreover, KSP had more carbohydrates at 42–56 DAS than at 63 DAS, whereas NqSC produced more carbohydrates at 56 DAS than at 42, 49, and 63 DAS. Landrace RSP, NSRP, and NRC produced fruits with the highest fat content at 7, 14, and 21 DAA, respectively (Table 4). A total of 60% of landraces produced more fat at 14 and 21 DAA than at 7 DAA. Landraces BG-24, BG-100/GC, ESC, and RSP had higher fat content at 7 DAA than at 14 and 21 DAA. Higher fat content was recorded at 14 DAA than at 7 DAA for KSP and NSRP and 21 DAA for KRI and KSP. Moreover, BG-31, NqSC, NRC, and NSRC had more fat at 21 DAA than at 7 DAA. However, landraces DSI produced more fat at 21 than 14 DAA.

2.4. Correlation among Nutritional Components of Lagenaria siceraria Shoots and Fruits

In the L. siceraria shoots, calcium correlated positively with Mg and ADL but negatively with the K/Ca+Mg ratio (Table 5). A positive correlation was recorded among Mg, K, P, N, ADL, and proteins. However, Mg and K correlated negatively with Fe. Nitrogen and proteins further correlated positively with the moisture content. Sodium was positively correlated with manganese and carbohydrates. Manganese further associated positively with zinc. Iron was negatively associated with ADL. ADF had a positive correlation with NDF, and they both correlated negatively with carbohydrates. ADL correlated positively with proteins but negatively with carbohydrates. In the fruits, a positive correlation was recorded among calcium, ADF, and NDF (Table 6). Potassium had a positive correlation with ash. Carbon, copper, and potassium correlated positively with each other, while carbon further correlated positively with N, Zn, and protein. Nitrogen correlated positively with Fe, Zn, Al, and protein but negatively with the C/N ratio. C/N ratio further correlated negatively with protein, while sodium was associated negatively with moisture content. A positive correlation was also evident among Al, Mn, Fe, Zn, and protein.

2.5. Principal Component Analysis

The first five informative principal components (PC1–5) accounted for 90.218% of the total variability (Table 7). The first principal component (PC1), which contributed 42.312% to the total variation, was positively associated with Ca, Mg, K, P, N, ADL, and proteins but negatively with Fe and carbohydrates.
Further, PC2, with a variability of 17.594%, was positively correlated with ADF and NDF but negatively with Mn. Again, PC3, which accounted for 12.050% of the total variation, was positively associated with Zn and Cu. Furthermore, PC4, which contributed 10.058% to the total variability, correlated positively with Na and moisture content, while PC5, which accounted for 8.204% of the total variability, correlated positively with the K/Ca+Mg ratio. Similarly for fruits, the first five principal components (PC1–5) amounted to 89.918% total variability (Table 8). The first principal component (PC1), with a total variation of 37.069%, was positively correlated with N, Fe, Zn, Cu, Al, ADF, and protein but negatively with the C/N ratio. Furthermore, PC2 with a variability of 18.781% was positively associated with Ca, K, and ash but negatively with P. Moreover, PC3 responsible for 18.042% variability correlated positively with Mn and moisture content but negatively with Mg, C, and Na.

2.6. Cluster Analysis

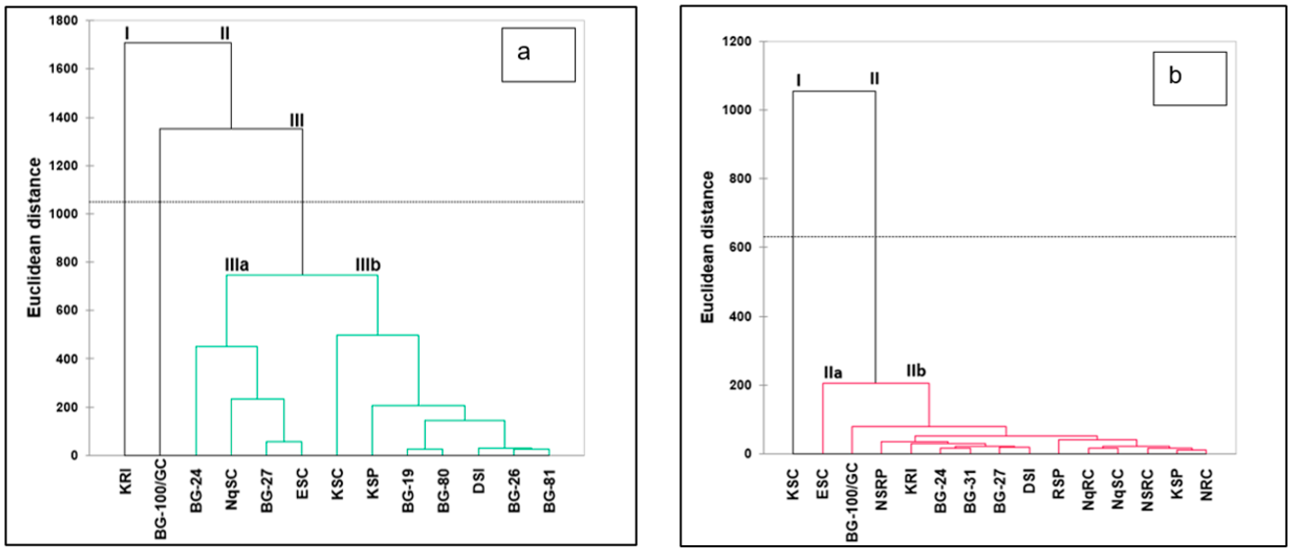
In a biplot for shoots, Ca, Mg, K, P, N, ADL, and protein correlated positively only with the first principal component (PC1) (Figure 3a). Furthermore, Fe, K/Ca+Mg, and Cu were positively correlated only with PC2, whereas NDF, ADF, and moisture content had a positive correlation with both PC1 and PC2. Moreover, carbohydrates, Zn, Mn, and Na negatively correlated with both PC1 and PC2. Landraces were grouped into three clusters in a biplot, where BG-100/GC and KRI each formed singletons in clusters III and II, respectively. All other landraces were grouped into cluster I. In fruits, Ash, K, Ca, ADF, NDF, Mn, Na, fat, and Al correlated positively with both PC1 and PC2 (Figure 3b). The N/C ratio was positively associated with PC2 and negatively with PC1. Furthermore, Fe, Zn, protein, N, moisture content, C, Cu, Mg, and P correlated positively with PC1 but negatively with PC2. Landraces were grouped into four clusters in a biplot, where KSC, BG-27, and RSP each formed singletons in clusters II, III, and IV, respectively. All other landraces formed cluster I. A hierarchical cluster analysis of shoot nutrients classified landraces into three major clusters (clusters I–III) (Figure 4a). Clusters I and II were made up of landraces KRI and BG-100/GC, respectively. Cluster III was subdivided into two sub-clusters that had landraces BG-24, NqSC, BG-27, and ESC assigned to sub-cluster IIIa and landraces KSP, BG-19, BG-80, DSI, BG-26, and BG-81 to sub-cluster IIIb. Furthermore, the hierarchical cluster analysis of fruit nutrient traits (Figure 4b) grouped landraces into two major clusters (clusters I and II). Cluster I was made up of KSC, while cluster II was further subdivided into subclusters, with cluster IIa consisting of ESC and cluster IIb made up of all the remaining landraces.

3. Discussion

In our study, the differences in mineral elements and proximate composition changed a lot among landraces and as they grew and matured. These differences were most likely imposed by the degree of plant age, fruit maturation, different areas of origin, and genotype diversity of the landraces studied [14]. The findings also support the sink power of mineral and proximal content in fruits, which accumulate during various stages of maturation [15].

3.1. Macronutrients

The progressive increase in calcium content noted in shoots from 42 to 63 days after sowing (DAS) and in fruits from 7 to 21 days after anthesis (DAA) within landraces from KwaZulu-Natal and Limpopo (Table 2) could be the result of calcium immobility through the plants’ vascular tissues in maturing fruits [16]. Generally, mineral elements with low phloem mobility have significantly higher transportation rates from source (leaves and shoots) to target sink sites such as fruits and seeds [16]. Seed formation, which acts as a mineral element sink reservoir, also justifies the accumulation of calcium with fruit maturity and the resulting fruit hardening [17]. Calcium is necessary for skeletal health and reinforcement, neuromuscular function, blood clotting, blood pressure regulation, and overall immune system health [18].
The best harvest stages to obtain higher calcium content in shoots were 42 DAS for DSI and KSC, 49 DAS for KSC, and 56 DAS for KRI, as well as 63 DAS for BG-19, BG-26, BG-27, BG-100/GC, and ESC (Table 2). In fruits, the ideal harvest periods for high calcium levels were 7 DAA for DSI, ESC, KSC, KSP, NqSC, NSRC, and RSP; 14 DAA for KSC and RSP; and 21 DAA for NSRP. This variation can be attributed to the differences in the shoot and fruit growth rate, where some reach the maximum length and size earlier than others and thereby accumulated more calcium at their maximum growth stage [19]. Due to the immobility of calcium in the phloem tissue, it is more largely concentrated in the vegetative modules of plants than in fruits, which positively correlates the accumulation of macronutrients to their mobility in the phloem tissue rather than in the xylem tissue [20]. Furthermore, when fruit growth has ceased, the minerals are generally remobilized to other parts of the plant away from the fruit [21], which explains the lesser calcium content in the later harvest stage for other landraces.
High levels of Mg can be obtained throughout all varying growth stages, with the landrace KRI recording the highest Mg levels at 42, 49 (along with KSC and NqSC), 56, and 63 DAS (Table 2). However, in fruits, only BG-27 at 21 DAA produced a significantly high Mg content. In the previous study, landrace KRI produced relatively smaller fruits compared to the majority of landraces investigated [13]. Cucurbit lines with small fruits have a shorter growth cycle than large-fruited ones [19]. This explains the superior nutrient status of KRI from early to mature stages and its hypothesized ability to accumulate its maximum mineral capacity sooner than other landraces. Again, the partitioning of Mg in shoots and fruits further emphasizes the significance of the mobility of minerals in the vascular tissues on the availability in different plant parts [22].
The investigated landraces had higher shoot (0.17–0.44 g/100 g) and fruit (0.074–2.532 g/100 g) magnesium content ranges (Table 2) than those of accessions from India (0.085 to 0.234 g/100 g) [23]. Although both studies were conducted during the summer months, Mg analysis was conducted only in tender juvenile fruits accessions from India [23] but at various stages of growth in the current study (Table 2). The higher Mg content in the current study could be attributed to a smaller genotypic pool of 19 landraces (Table 2) compared to the 96 accessions in India [23]. Cucurbita maxima, also from the Cucurbitaceae family and whose fruits change from green to yellow or orange upon maturity, recorded a lower Mg range of 0.056–1.978 g/100 g [24] than that of the current study. This high Mg content probably explains the maintenance of the green color (in different shades) in maturing L. siceraria fruits, because Mg is a component of the green chlorophyll pigment and is primarily concentrated in the pericarp of fruits, which decreases as the fruits mature from green to yellow and orange [15]. Magnesium is also involved in the synthesis of carotenoids known as carotenogenesis, which are the yellow and orange pigments (such as -carotene) [25,26]. Additionally, Mg serves as a cofactor of enzymes in metabolic activity, protein synthesis, RNA and DNA synthesis, and the maintenance of nervous tissue and cell membranes in the human body [14].
The optimal harvest stages for high potassium levels in shoots were 42 and 49 DAS for landraces KRI, BG-19, and BG-26, whereas for phosphorus, the recommended harvest stages were 42, 56, and 63 DAS for KRI and 63 DAS for BG-19 (Table 2). The ideal harvest stages for higher potassium in fruits were 7 (DSI, NqRC, and RSP) and 14 DAA (RSP), whereas for phosphorus, it was 7 (BG-24, BG-100/GC, and KRI) and 14 DAA (KSC). The potassium content in both shoots and fruits did not vary across all stages of growth in the majority of landraces, though some variations in phosphorus content were observed, possibly due to L. siceraria’s ability to retain green-colored fruits from juvenile to mature [27]. The highest K and P content in landrace DSI, with solid, dark, green-colored fruits, and in landrace KSC, with solid, smooth pale-green fruits, as opposed to the lowest content in KRI, with green-colored fruits with cream warts, and NqSC, with solid, smooth, pale-green fruits across all growth phases (Table 2), may have resulted from differences in saturation of the green pigment chlorophyll in the fruit pericarp [21]. Lycopene, a carotenoid pigment, is responsible for the red flesh color of cucurbits like Citrullus lanatus [28]. This compound is positively correlated with K and P content in fruits, where they both increase as the fruit matures from green to red color [21]. Therefore, the low K and P content in L. siceraria fruits may be related to low lycopene content [21] because these fruits maintain different shades of green from juvenile to mature. Although Momordica charantia is a Cucurbitaceae family member that retains green fruits until maturity [21], it contained lower K (0.078–0.483 g/100 g) and P (0.02–0.08 g/100 g) contents ranges [5] compared with L. siceraria landraces in the current study (Table 3). These variations can be attributed to differences in genera (Momordica and Lagenaria) within the Cucurbitaceae family.
Cucurbits are generally high in potassium, which is an important constituent of electrolytes and facilitates nerve impulses for optimal brain function and nervous system maintenance [24]. Moreover, potassium also assists as a vasodilator, relaxing the blood vessels and facilitating optimum oxygenation to vital organs, thus protecting against heart-related illnesses [5]. Phosphorus, on the other hand, is a necessary component of RNA, DNA, and nucleoproteins, which are responsible for cellular division, reproduction, and genetic transmission [29]. Phosphorus also helps with acid–base balance, kidney function, a regular heartbeat, and nerve impulses [18].
The nitrogen levels in shoots were notably higher (2.902–4.752 g/100 g) than those of fruits (0.59–3.39 g/100 g) in the current study (Table 2). This can be attributed to the function of vegetative modules of plants that manufacture energy, since nitrogen is a key component of the green pigment chlorophyll, capturing light energy and translocating assimilates to reservoir sink sites such as flowers and fruits [21,22]. A similar study on Citrullus lanatus grafted onto a L. siceraria rootstock recorded higher nitrogen content in shoots ranging from 4.164–5.991 g/100 g [30]. This can be attributed to the comparable study using younger and fresher shoots that were vigorously growing at 26 days after planting (DAP) [30], compared to the shoots at 42–63 DAS of the current study.
All landraces consistently maintained a substantial and comparable carbon content throughout various growth stages (7–21 DAA) (Table 2). High carbon content is significant for preserving berry fruits and extending their shelf life because carbon inhibits ethylene synthesis and thus contributes to the maintenance of firm fruits [31]. Among the landraces examined in this study, KRI at 14 DAA exhibited the highest C/N ratio (Table 2). This elevated C/N ratio serves as an agronomic indicator associated with high-yielding plants [32]. A high C/N ratio is further positively associated with desirable traits, such as elevated total chlorophyll content, increased number of pistillate flowers, enhanced fruit retention, and ultimately, a higher yield per plant [32]. Moreover, it is negatively correlated with nitrogen [32]. This agrees with the current findings, where the landrace KRI produced the overall lowest nitrogen content despite having the overall highest C/N ratio at 14 DAA (Table 2).

3.2. Micronutrients

All L. siceraria landraces in the current study had exceptionally low Na levels, ranging from 0.02 to 0.09 mg/kg for shoots and from 0.02 to 0.148 mg/kg for fruits (Table 3), which are significantly lower than the daily intake requirement of 2.3 g/day [33]. Though the Na content was low, the ideal harvest periods for shoots with high sodium content were 42 DAS for BG-19 and BG-100/GC; 56 DAS for BG-19, BG-24, BG-26, BG-80, DSI, ESC, KSC, KSP, and NqSC; and 63 DAS for BG-19, ESC, and KSP (Table 3). The best harvest for fruits with high sodium was 7 DAA for DSI and KSP, 14 DAA for BG-100/GC, and 21 DAA for BG-21, BG-27, KRI, NqSC, NSRC, and NSRP. The low Na levels make the shoots and fruits suitable for consumption by middle-aged to elderly people because low Na consumption helps prevent osteoporosis and hypertension [34]. The low Na content could be linked to the accumulation of sugars with fruit maturity, causing an increase in fruit osmotic pressure, leading to rind hardening, and resulting in an efflux of Na from fruits back to the vegetative modules [15]. This could possibly explain the fluctuating Na levels across all stages of shoot and fruit growth in the investigated landraces.
The harvest times of 42 DAS for BG-19 and BG-81, 49 DAS for BG-19, 56 DAS for BG-26, and 63 DAS for BG-19 were optimal for obtaining higher manganese content in shoots, and 7 DAA for BG-24, BG-100/GC, ESC, KRI, and NRC, and 14 DAA for KSC, NqRC, and NSRC in fruits (Table 3). Furthermore, for high iron levels in the shoots, landraces BG-100/GC and KSC could be harvested at 42–56 DAS and 63 DAS, respectively. For fruits, the ideal time for optimum iron was 7 DAA for BG-27, BG-31, BG-100/GC, ESC, and KRI, and 14 DAA for BG-24, DSI, KSC, KSP, NqRC, and NSRP. Moreover, for superior zinc content in shoots and fruits, the optimal harvest periods for BG-19, BG-26, BG-80, and ESC were 42 DAS; 49 DAS for BG-19, BG-24, BG-26, and BG-80; 56 DAS for BG-19 and BG-26; 63 DAS for BG-81; 7 DAA for BG-24, DSI, ESC, KRI; and 14 DAA for KSC and NqRC. In addition, the best harvest periods for high copper content were 42 DAS for BG-100/GC, BG-19, and KRI; 63 DAS for BG-19 in shoots; 7 DAA for BG-100/GC, ESC, KRI, and NRC; 14 DAA for KSC; and 21 DAA for DSI and NSRP for fruits (Table 3).
The shoot and fruit ranges for Mn (26–88 mg/kg and 1.50–66.05 mg/kg), Fe (116–6005 mg/kg and 6.00–2375.90 mg/kg), and Zn (53–126 mg/kg and 11.98–148.12 mg/kg) levels were higher (Table 3) compared to the genotypes from Egypt, with 16.2, 1000, and 46.5 mg/kg, respectively [3]. These differences were probably caused by the environmental variance, and the fruits from the current study were not separated from the seeds compared to the genotypes from Egypt, which only had fruit pulp (without seeds) analyzed for mineral composition. The results of the current study support that the developing seeds within fruits are strong sink sites for mineral elements, particularly those with low mobility in the vascular tissues, such as Mn, Fe, Zn, and Cu [21]. The low mobility may result in internal mobilization within the fruit and remobilization away from the fruit, facilitated by the vascular sap backflow via transpiration or the xylem tissue [21]. The apoplast of specialized cells transports mineral elements via the vascular tissues, specifically the xylem and transpiring vegetative tissues, where these mineral components are redirected and distributed by the phloem to tissues that do not contain xylem or transpire [16]. The mineral elements Fe, Zn, Mn, and Cu are some of the micronutrients that have low concentrations in fruits and a low translocation rate through the phloem [16]. However, the copper content of the genotypes from Egypt was higher (173 mg/kg) [3] than the 13 mg/kg recorded from the landraces investigated in the current study.
In general, the mineral composition of L. siceraria shoots and fruits is relatively high, indicating that they are good sources of dietary elements, with essential metabolic and medicinal properties [3]. Manganese is a component of many enzymes; it is necessary for appropriate brain function and healthy nervous system activity throughout the body, and it is essential for the proper and normal growth of human bone structure [18]. It is also beneficial for postmenopausal ladies and osteoporosis prevention [18]. Mn is also required for the creation of urea (arginase), the breakdown of free radicals (superoxide dismutase), the conversion of pyruvate to oxaloacetate (pyruvate carboxylase), the development of bone and connective tissue, as well as in the operation of the brain and pancreas [24]. Moreover, iron plays a key role in redox activities, strengthens the immune system, improves mental function, lessens sensations of exhaustion and lassitude, and is a large component of hemoglobin [24].
Zinc plays a crucial role in the structure of many enzymes required for the production of protein and genetic material, and also has a key role in taste perception, wound healing, sperm production, healthy immune system function, normal fetal development, normal growth, sexual maturation, and digestion [18]. Copper is a necessary element for the human body, modulating the activity of vitamins, hormones, enzymes, and respiratory pigments, and it also helps with iron absorption [35].

3.3. Proximate Analysis

Landraces BG-19, BG-24, BG-26, BG-27, BG-80, BG-81, and BG-100/GC from Limpopo, with low moisture content at 42 and 49 DAS (Table 4), probably indicates that their shoots had a high nutritional status [36]. The same can be said for fruits produced by landraces BG-27, BG-31, and DSI at 7–21 DAA and NSRP at 14 DAA. Therefore, landrace BG-27, with a notably low moisture content among and across all phases of growth in shoots and fruits, can be recommended for selection for superior nutrient status [36] and prolonged shelf life [24]. However, landraces KSC, NqSC, DSI, and KSP, with sappier shoots at 42 and 49 DAS, along with the watery fruits of BG-100/GC at 21 DAA, as well as landraces KRI, KSC, KSP, NqRC, NqSC, and NSRC at 7 DAA (Table 4), had high moisture content, which is a limiting factor to the technological suitability of plant products, making them prone to microorganism action and spoilage [24].
The general decrease in moisture content with fruit maturity from 7 and 14 DAA to 21 DAA (Table 4) can be associated with the increase in soluble solids as a result of the hydrolysis of starch into simple sugars such as glucose and fructose [26]. The production of these simple sugars generates an osmotic pull that attracts water to the fruit, which facilitates fruit growth and subsequently decreases the moisture content [37,38].
The acid detergent fiber (ADF) content varies among different cucurbit species with varying nutritional compositions [39]. Furthermore, the ADF content is indicative of digestibility, where fruits with low ADF have greater digestibility and nutrient availability than those with high ADF, resulting in lower consumption due to the lack of degradability of fruits [39]. Therefore, shoots of landraces BG-26 (18.40%), BG-27 (18.90%), and BG-80 (19.04%) at 42 DAS and BG-26 (19.61%) and BG-27 (18.59%) at 49 DAS, as well as fruits of BG-24 (11.43%), BG-31 (12.29%), ESC (12.50%), and RSP (12.62%) at 7 DAA and BG-100/GC (12.60%) and DSI (12.22%) at 14 DAA (Table 4), can be recommended for highly degradable fruits with readily available nutrients in large quantities compared to similar fruiting species, such as Cucurbita maxima, with 21.7%, and Cucurbita argyrosperma, with 40.4% ADF content [39].
The neutral detergent fiber (NDF) content found in the shoots at 42–49 DAS and fruits at 7 DAA (Table 4) was significantly lower (for shoots, 25.15–39.74% and for fruits, 17.08–29.04%) than that found in Cucurbita pepo (48.47% [40] and 53.09% [41]). However, as the shoots and fruits matured from 56 to 63 DAS and from 14 to 21 DAA, the NDF also increased to comparable levels, ranging from 30.71 to 59.06% in shoots and surpassing the NDF level of C. pepo at the range of 16.31–73.31% in fruits. In the early fruit development of cucurbits (C. pepo), the assimilates are directed and concentrated on growing fruits, where the simple sugars and starch levels are highly concentrated between 40 and 50 days after pollination (DAP) [42]. Therefore, the lower NDF levels recorded in the current study may be a result of highly concentrated simple sugars, which lower the ADF and NDF levels in related species such as C. pepo [41]. Furthermore, landraces BG-26 and BG-27 at 42–49 DAS, along with NRC at 7 DAA and KRI and NRC at 14 DAA, can be recommended for fruits with a high simple sugar content that is easily digestible [40].
The acid detergent lignin (ADL) content accounts for plant parts that are not digestible, where high amounts of ADL reduce the degradation of ADF, NDF, hemicellulose, and cellulose [43]. Hence, landraces BG-80 at 42 DAS, KSC at 49 and 63 DAS, and BG-100/GC at 56 DAS with low ADL can be selected for high digestibility and readily available nutrients, whereas the landrace KRI across all growth stages (42–63 DAS) had a notably high ADL content, suggesting that the landrace undergoes intense lignification, which results in slow water loss and prolonged shelf life, as observed in C. maxima, C. pepo, and Cucurbita moschata [44].
Optimum ash content was recorded in immature fruits of BG-100/GC, DSI, NqRC, and NqSC at 7 DAA ranging from 4.70 to 35.60 g/100 g (Table 4). This range was significantly higher than the ash average of C. moschata immature fruits at 1.018% [26]. Landraces with high ash content are indicative of high mineral content, which is essential for human growth and development [24]. The maturing fruits of the current investigation at 14 and 21 DAA further displayed a greater ash content range of 2.53–9.93 g/100 g, which was still higher than that of matured C. moschata fruits at 1.014% [26]. The decrease in ash content with the maturing fruits can be linked to high mineral absorption from the soil during early fruit development, which is utilized in various biological processes [26]. Furthermore, the dilution effect can also be the cause of the decrease in ash, as maturing fruits have an increased assimilate influx, leading to fruit elongation and expansion [26].
The highest fruit protein contents were recorded at 7 DAA for KRI, KSC, and NSRP and at 14 DAA for BG-100/GC, KSP, NqRC, and NSRC (Table 4). The protein content range of 5.38–21.15 g/100 g of L. siceraria landraces in the current study was greater than the protein content of C. pepo (8.2%), C. melo (6.9%), and C. lanatus (7.9%) in a similar study [45]. The higher protein content in the current study can be attributed to the presence of seeds since they are the primary reservoir sink sites for protein in Cucurbitaceae, whereas only the fruit pulp without seeds was assayed for mineral composition in C. pepo, C. melo, and C. lanatus [45]. Protein further assumes a vital role within the human body, constituting approximately 45% of its total composition [29]. Its indispensability lies in facilitating crucial physiological processes, including tissue repair, nutrient transport, and the construction and functional integrity of muscular tissues [29].
The optimal harvest periods for high carbohydrate content were 42 DAS for BG-27 and BG-26 and 49 DAS for ESC (Table 4), indicating that these landraces have a high caloric value for human nutrition [46]. Carbohydrates provide energy to facilitate cellular division and elongation during fruit growth by creating an osmotic pressure gradient, resulting in rapid initial shoot and fruit growth in cucurbits [42]. Carbohydrates are then stored as starch, which degrades to simple sugars (glucose and fructose) as the fruiting plants age [44]. As a result, the higher carbohydrate content at 42–49 DAS in comparison to that at 63 DAS across all landraces may be explained by the simple sugars being metabolized into energy and remodified cellular structures in aging fruits [42,44].
The milliequivalent ratios of K/Ca+Mg of the current study ranged from 1.95 to 3.08 g/100 g (Table 4), which was higher than the recommended level of 2.20 g/100 g and lower than the level recorded in C. sativus samples ranging from 3.91 to 4.48 g/100 g [47]. A ratio higher than 2.20 g/100 g renders humans—more specifically, men—to be prone to hypomagnesemia, which results from extremely low magnesium levels in the blood [47,48]. The shoots of landraces KRI, KSC, and KSP at 56 DAS and only KSC and KSP at 63 DAS contained the acceptable milliequivalent ratios of K/Ca+Mg; hence, at these harvest periods, their shoots can be recommended for consumption for optimum muscle and nerve function, blood sugar regulation, and lower risk of cardiovascular illnesses [47,48].

3.4. Correlation among Nutritional Components of Lagenaria siceraria Fruits

The positive correlation between Ca and Mg, as well as that of Mg and K with P and N (Table 6), may be because these mineral elements share comparative chemical properties and, hence, compete for the sites of absorption, translocation, and function in plant tissues [49]. Therefore, the selection of any one of these mineral elements will lead to increased levels of other mineral elements [5] and thereby enhance the nutritional value of the investigated L. siceraria landraces. Similarly, a study on Citrullus colocynthis reported a strong positive correlation between K and Mg [4]. Furthermore, more similarities were reported where Ca and Mg were also associated positively with each other, possibly because both mineral elements are alkaline earth metals [4]. Correlation coefficient analysis evaluates the relationship between various characteristics by which cucurbit yield and nutritive value can be improved [50].
The negative correlation between fiber (ADF and NDF) and carbohydrates (Table 6) suggests that L. siceraria shoots with low ADF and NDF will have higher carbohydrates, which are readily metabolized into metabolic energy, thus having a higher caloric value for human consumption [42]. A similar study on Cucurbita pepo reported that high levels of carbohydrates lower the ADF and NDF content [41].

3.5. Principal Component and Cluster Analyses

The first five principal components with positive eigenvalues ≥ 1 and accounting for 90.218% in shoots and 89.918% in fruits of the total variance in this study (Table 7 and Table 8) were comparable to the first five principal components responsible for a total of 84.39% variability in C. maxima, C. pepo, Cucurbita moschata, and Cucurbita ficifolia [51]. This indicates that they contributed the most to the variation among the landraces observed in proximal variables [4,52]. Principal component analysis (PCA) was conducted to identify the main contributors to variability between investigated landraces with regards to their nutritional qualities [51].
The dominant variables, namely, Ca, Mg, K, P, N, Fe, ADL, carbohydrates, and protein, for the first principal component (PC1), which represented 42.312% of the total variance (Table 7), was similar to a positive association of Mg, K, and P with PC1, which contributed 65.1% of the total (79.7%) variance in Momordica charantia [6]. Again, the first principal component, with 39.12% variability, integrated Mg, K, P, and Fe as some of the dominant mineral elements responsible for variation in different cucurbits [51], as in the current study with different L. siceraria landraces. This confirms macronutrients as dominant variables responsible for variability with respect to the nutrient status of cucurbits [51], and they should be considered during crop advancement through selection [53].
The shoot loadings of different variables based on the first two principal components (59.906% variability) indicates that ADF, NDF, and moisture content, which were positively associated with landraces DSI, KSC, KSP, and NqSC, contributed a greater proportion to total variability, whereas Na, Mn, Zn, and carbohydrates associated with landraces BG-19, BG-24, BG-26, BG-27, and ESC contributed the least. On the other hand, the fruit loadings based on PC1 and PC2 suggest that ash, K, Ca, NDF, ADF, Mn, Na, fat, and Al were positively correlated with DSI, ESC, KSC, and NSRC, while Fe, Zn, protein, N, moisture content, C, Cu, P, and Mg were associated with BG-27. A similar association between C/N ratio and landraces NqSC, NSRC, and NqSC was recorded. This was validated by the proximity of landraces to the proximal components they associated with, as illustrated by the length of the vector lines in the biplot [52]. A similar study on Cucumis melo also reported the clustering of cultivars to the nutrient components they correlated with [52]. Therefore, while conducting selection and/or choosing parental germplasm for hybridization in L. siceraria for a superior nutritive value, these nutrient traits can be considered [4].
In shoots, landraces BG-100/GC and KRI, and in fruits, KSC and ESC, formed singletons in the dendrograms (Figure 4a,b), which indicates that they differ genetically from other landraces [53]. Cluster I comprised KRI, which was strongly associated with high K, Mg, and ADL levels across all growth stages (42–63 DAS), as well as Ca at 56 DAS and P at 42 DAS. Cluster II had BG-100/GC, which correlated with high Fe levels at 42, 49, and 56 DAS (Table 4). Furthermore, cluster III was the major cluster, grouping all other landraces, as represented in the biplot. Similarly, Cucurbita maxima accessions with similar nutrient content and availability clustered together [53].

4. Materials and Methods

4.1. Germplasm Sourcing and Field Layout

Nineteen landraces of Lagenaria siceraria from different agro-climatic regions in northern KwaZulu-Natal and Limpopo, South Africa, were investigated (Table 1). Landraces from KwaZulu-Natal were named according to their area of origin, represented by the first letter; fruit texture, represented by the second letter; and fruit shape, represented by the third letter (Table 1). Landraces from Limpopo were named by previous investigators based on their entry number and distinguished by their fruit and seed traits [54,55,56,57]. Seeds of the landraces were collected from Ga-Phasa (23.4057° S, 29.1557° E), Kgohloane (23.4739° S, 29.2213° E), Khangelani (29.0106° S, 31.2211° E), Moletjie-Mabokelele (23.4514° S, 29.1713° E), Emkhandlwini (28.508° E, 31.7002° E), Rorke’s Drift (28.3492° S, 30.5351° E), Nquthu (28.2195° S, 30.6746° E), and Dundee (28.1650° S, 30.2343° E). The field experiment was conducted during the summer seasons, September 2020–January 2021 and September 2021–January 2022. The experiment was conducted in the vegetable field unit of the Department of Botany, Faculty of Science, Agriculture and Engineering, University of Zululand, KwaDlangezwa campus (28.51° S, 31.50° E), which has a sub-tropical climate [58]. The KwaDlangezwa area has a daily mean temperature of 28.4 °C in summer and 14.5 °C in winter [59]. The study area receives an annual rainfall ranging from 299.95 to 350.02 mm [60].
The experiment adopted the randomized block design generated by R 4.2.1 software in the RStudio platform [61]. Seeds were directly sown into a 10 cm-deep pit with fertilizer NPK 2:3:4 (30) applied at planting at a rate of 400 kg/ha (40 g/m2 per pit) and placed below the seeds in 10–15 cm-deep pits. Experimental plots were 3 m × 4 m in size, and seeds were spaced at an intra-row spacing of 1 m and an inter-row spacing of 2 m. Each plot had 20 plants, with a net plot of 6 m2 having 6 plants. Each of the 19 landraces had 3 replicate plots, which resulted in 57 plots in total and bearing a total of 1140 plants. Weeding and insecticide applications were performed when necessary. The field was irrigated to field capacity for the duration of the experiment using a sprinkler system.

4.2. Sample Preparation

For shoot nutrient composition, shoot tips with a minimum of three fully opened leaves were harvested at intervals of 42, 49, 56, and 63 days after sowing (DAS). Ten shoot tips were harvested from different plants within each plot. Therefore, shoots harvested from each plot constituted a replicate (n = 3). Fruits were harvested at intervals of 7, 14, and 21 days after anthesis (DAA). In each landrace, 10 fruits were harvested from different plants within each plot. Therefore, fruits from one plot constituted a replicate (n = 3). Harvested fruits were rinsed with tap water and cut into small pieces using a clean knife, and sun-dried for 24 h. The harvested shoots and fruits were rinsed with tap water and cut into small pieces using a clean knife, and sun-dried for 24 h. Thereafter, shoots and fruits were dried in an oven (Labcon incubator, Model 5016LC, LABCON, Krugersdorp, South Africa) at 65 °C until a constant dry mass was obtained. Shoots and fruits were ground into powder through a 0.84 mm sieve using a laboratory grinder (Hammer mill SMC, Scientific Manufacturing cc, Cape Town, South Africa) in preparation for analysis.

4.3. Target Proximate and Mineral Element Composition

Lagenaria siceraria landraces were assayed for moisture content, crude protein, and fiber in shoot tips and fruits, carbohydrates in shoots only, and ash, fats, and starch in fruits only, according to Association of Official Analytical Chemists (2000) methods [62]. Shoot tips and fruits were also analyzed for both macronutrients (nitrogen (N), phosphorus (P), calcium (Ca), potassium (K), and magnesium (Mg)) and micronutrients (sodium (Na), zinc (Zn), copper (Cu), manganese (Mn), and iron (Fe), but aluminum (Al) in fruits only) using the Soil Fertility and Analytical Services Laboratory [63]. Sub-samples of shoot tips and fruits were dried and ashed at 450 °C overnight. The ash was dissolved in 1 M HCl. The supernatant was analyzed for Al, Ca, Cu, K, Mg, Mn, Na, and Zn by atomic absorption spectroscopy (AAS). Nitrogen was determined before ashing using near-infrared reflectance [64]. Phosphorus concentrations were determined colorimetrically on a 2 mL aliquot of filtrate using a modification of the molybdenum blue procedure [63]. Potassium was determined from the extract directly on a flame photometer [65].
The following calibration and digestion protocols were observed for shoots and fruits of all landraces in triplicate samples. Inductively conducted plasma–optical emission spectrometry (ICP-OES) was conducted with the ICAP 7000 Thermo Fisher ICP-OES (Thermo Fisher Scientific, Waltham, MA, USA) in axial mode. It was calibrated to a radio frequency power of 1350 W, a nebulizer gas flow rate of 0.5 L min−1, a coolant gas flow rate of 12 L min−1, an auxiliary gas flow rate of 0.5 L min−1, and a pump speed of 35 revolutions per minute (rpm). The spectrometry reading was the mean of triplicate recordings of samples of each landrace, both for shoots and for fruits [66].
Approximately 1.0 g of the oven-dried shoot and fruit samples was placed in 100 mL volumetric flasks. Thereafter, 10 mL of nitric acid (HNO3) was added and kept overnight. On the following day, 8 mL of perchloric acid (HClO4) were added and gently swirled for 30 s. The flasks were then placed on the digestion unit at 100 °C and gradually increased to 260 °C until the production of red nitrogen dioxide (NO2) fumes stopped. The solution was further evaporated until the volume was reduced to about 3 to 5 mL but not to dryness. The end of the digestion was confirmed by the solution becoming colorless. The solution was allowed to cool down; then, 10 mL of distilled water were added to the volumetric flasks. Thereafter, the solution of each sample was filtered using Whatman No. 1 filter paper, and the aliquots were used for the determination of the desired mineral elements on the ICP-OES [67].

4.4. Nutrient Determination Methods

4.4.1. Proteins

Approximately 1.0 g of the sample was placed in a digestion flask; thereafter, 5 g of Kjeldahl catalyst were added along with 200 mL of concentrated sulfuric acid (H2SO4). A blank was created using a tube containing the chemicals without the sample. The flask was gently heated in an inclined position. As the bubbling ceased, it was boiled briskly until the solution cleared. Once the solution was cool, 60 mL of distilled water were gently added, and immediately thereafter the flask was connected to the digestion bulb on the condenser, which had the tip of the condenser immersed in standard acid and a receiver with 5–7 drops on the mixed indicator. The contents of the flask were mixed thoroughly by rotation of the flask and then heated until the ammonia (NH3) was distilled. The receiver was then removed, the tip of the condenser was washed, and titration was carried out for the excess standard acid distilled with standard sodium hydroxide (NaOH) solution.
Thereafter, the protein content was calculated using the following formula described by AOAC 2000:
Protein   ( % ) = ( ( A B ) × N × 1.4007 × 6.25 ) ÷ W
where:
  • A = volume (mL) of 0.2 N HCl used sample titration;
  • B = volume (mL) of 0.2 N HCl used in blank titration;
  • N = normality of HCl;
  • W = weight (g) of sample;
  • 1.4007 = atomic weight of nitrogen;
  • 6.25 = the protein–nitrogen conversion factor for fish and its by-products.

4.4.2. Ash

The crucible and its lid were placed in a furnace set to 550 °C overnight as a form of sterilization. The crucible was then left for 30 min to cool in the desiccator. Thereafter, the crucible and its lid were weighed to 3 decimal places. Approximately 5 g of the sample were placed in the crucible with the lid half covered. It was then heated over a low Bunsen flame. When fumes were no longer produced, the crucible and lid were transferred to the furnace and left to heat at 550 °C overnight. During this step, the lid was not placed on the crucible. Once the heating was completed, the lid was placed to prevent the loss of fluffy ash, and then it was cooled in the desiccator. Once the ash turned grey, the crucible and lid were weighed. Thereafter, the ash content was calculated using the following formula documented by AOAC 2000:
Ash   ( % ) = ( W e i g h t   o f   a s h ÷ w e i g h t   o f   s a m p l e ) × 100

4.4.3. Fats

To ensure the weight of the bottle and lid was stable before use, they were placed in an incubator at 105 °C overnight. Approximately 3–5 g of the sample were paper-filtered and wrapped. The sample was then placed in an extraction thimble and transferred to a Soxhlet extractor. Once the bottle was cool it was weighed, and thereafter, 250 mL of petroleum ether were poured into the bottle and placed on the heating mantle, which was switched on after the Soxhlet extraction apparatus was connected and water was turned on for cooling of the apparatus. The sample was heated for 14 h at a heat rate of 150 drops/min. The solvent was evaporated using the vacuum condenser. The bottle was then incubated at 80–90 °C to allow the solvent to completely evaporate, which then left the bottle completely dry. The bottle with a partially covered lid was transferred to the desiccator to cool. Once cool, the bottle and its dried content were reweighed. Thereafter, the fat content was calculated using the following formula described by AOAC 2000:
Fat   ( % ) = W e i g h t   o f   f a t ÷ W e i g h t   o f   s a m p l e × 100

4.5. Multivariate Statistical Analysis

Data were subjected to ANOVA using the GenStat 15th edition. Means were separated using Tukey’s honesty significant difference (HSD) test at the 5% significance level and used to construct interaction tables of variables at varying growth stages. Correlations and principal component analysis (PCA) were implemented to determine multi-character variation using GenStat 15th edition. Cluster analysis was performed on the genetic distance matrix by using the hierarchical cluster analysis (HCA) method through a biplot and dendrogram to study the relationship among landraces.

5. Conclusions

The investigated Lagenaria siceraria landraces had notable variations in their nutritional composition in sequentially harvested shoots (42–63 DAS) and fruits (7–21 DAA). Landraces KRI and DSI at 42–63 DAS produced shoots of higher nutritional value, while the fruits of ESC and KSC at 7–21 DAA were the most nutritious among all landraces. Most nutrient traits, much like calcium, exhibited a progressive increase with shoot and fruit maturity, emphasizing the significance of mineral element mobility on the availability of nutrients on various plant parts. Nutrient traits of similar chemical properties and function in plants correlated positively with each other, such as Ca and Mg, Mg with K, and K and N. The micronutrients (Ca, Mg, K, P, and N) in shoots were the main contributors to variability, whereas in fruits, macronutrients (Fe, Zn, Cu, and Al) contributed more to the variation based on the principal component analysis. The proximate composition also differed with maturity, where the majority of the landraces had lower ADF, NDF, and ADL, though they had high carbohydrates at the juvenile (42–49 DAS) stages compared to mature stages at 56–63 DAS. Hence, L. siceraria plant parts consumed early will be highly digestible and have a high caloric value. The biplot and dendrogram grouped landraces with similar nutrient attributes that also correlated positively with each other. The study has addressed the knowledge gap and recorded for the first time the variation in nutrient composition in sequentially harvested shoots and fruits of L. siceraria landraces across different growth stages, thus providing valuable insights into the nutritional dynamics of L. siceraria landraces across various growth stages and offering a basis for understanding and optimizing their most nutritive growth phase.

Author Contributions

Conceptualization, L.G.B., S.M., J.S. and N.R.N.; methodology, L.G.B., S.M., J.S., C.N.M. and N.R.N.; formal analysis, L.G.B., S.M., J.S., C.N.M. and N.R.N.; data curation, L.G.B.; writing—original draft preparation, L.G.B.; writing—review and editing, L.G.B., S.M., J.S. and N.R.N.; supervision, S.M., J.S. and N.R.N. All authors have read and agreed to the published version of the manuscript.

Funding

This research was funded by the National Research Foundation (NRF) Thuthuka Funding Instrument, Reference: TTK210428597773, Grant number: 138362.

Data Availability Statement

The research data can be requested from the authors.

Conflicts of Interest

All authors declare no conflicts of interest pertaining to this manuscript. Everyone contributed in a positive manner and agreed to publish the work.

References

  1. Singh, H.K.; Kumar, R.; Adarsh, A. Evaluation of bottle gourd genotypes [Lagenaria siceraria (Mol.) Standl.] for various horticultural characters. Pharm. Innov. 2023, 12, 1801–1805. [Google Scholar]
  2. Sithole, N.J.; Modi, A.T.; Mabhaudhi, T. Seed quality of selected bottle gourd landraces compared with popular cucurbits. S. Afr. J. Plant Soil 2016, 33, 133–139. [Google Scholar] [CrossRef]
  3. Aldewy, A.E.R.A.A.; Hamed, A.; Ammar, Y.A.; Nezam-El-Dien, A.M.M.M.; Shaaban, M. Phytochemical and nutritional studies of bottle gourd (Lagenaria Siceraria Ls) cultivated in Egyptian habitat. Egypt. J. Chem. 2022, 65, 295–304. [Google Scholar] [CrossRef]
  4. Raj-Sharma, H.; Kumar, T.K.A.; Parmar, Y.; Kumar, D.R.; Pal, S. Morpho-agronomic characterization of cucumber (Cucumis sativus L.) germplasm through principal component analysis. J. Pharmacogn. Phytochem. 2018, 7, 2573–2577. [Google Scholar]
  5. Singla, D.; Sangha, M.K.; Singh, M.; Pathak, M.; Bala, M. Variation of mineral composition in different fruit parts of bitter gourd (Momordica charantia L.). Biol. Trace Elem. Res. 2023, 201, 4961–4971. [Google Scholar] [CrossRef]
  6. Dos Santos, I.F.; Dos Santos, A.M.P.; Barbosa, U.A.; Lima, J.S.; Dos Santos, D.C.; Matos, G.D. Multivariate analysis of the mineral content of raw and cooked okra (Abelmoschus esculentus L.). Microchem. J. 2013, 110, 439–443. [Google Scholar] [CrossRef]
  7. Chakraborty, I.; Ghosh, K. Nutritional potential, health effects and structural diversity of bioactive polysaccharides from Lagenaria siceraria: A review. J. Adv. Sci. Res. 2020, 11, 34–42. [Google Scholar]
  8. Mkhize, P.; Mashilo, J.; Shimelis, H. Progress on genetic improvement and analysis of bottle gourd [Lagenaria siceraria (Molina) Standl.] for agronomic traits, nutrient compositions, and stress tolerance: A Review. Front. Sustain. Food Syst. 2021, 5, 683635. [Google Scholar] [CrossRef]
  9. Akinsola, A.F.; Osasona, I.; Akintayo, E.T.; Siyanbola, T.O. Nutritional evaluation of calabash gourd (Lagenaria siceraria) seeds and oil. J. Culin. Sci. Technol. 2023, 21, 737–758. [Google Scholar] [CrossRef]
  10. Devi, S.R.; Kumari, T.; Deka, S.C. Extraction of dietary fiber and phytochemicals from bottle gourd seeds (Lagenaria siceraria), its physicochemical properties and application in food model. Food Chem. 2023, 2, 100252. [Google Scholar] [CrossRef]
  11. Ahmed, D.; Ejaz, N.; Saeed, R.; Dar, P. Cooking effect on anti-oxidative and alpha-amylase inhibitory potential of aqueous extract of Lagenaria siceraria fruit and its nutritional properties. Free Radic. Antioxid. 2016, 6, 44–50. [Google Scholar] [CrossRef]
  12. Prasadd Yadav, L.; Apparao, V.V.; Singh, A.K.; Yadav, V.; Verma, A.K.; Rane, J.; Kumar, S.; Kaushik, P.; Rawat, L.; Raj Choudhary, D.; et al. Evaluation of Bottle Gourd Variety Thar Avani under Rainfed Semi-Arid Conditions for Morphological Traits along with Antioxidant Potentiality and Mineral Content; ICAR-National Bureau of Soil Survey & Land Use Planning, Regional Centre: New Delhi, India, 2023; Volume 54, p. 110012.
  13. Buthelezi, L.G.; Mavengahama, S.; Sibiya, J.; Ntuli, N.R. Variation in shoot, peduncle and fruit growth of Lagenaria siceraria landraces. Plants 2023, 12, 532. [Google Scholar] [CrossRef]
  14. Martínez-Valdivieso, D.; Gómez, P.; Font, R.; Río-Celestino, M.D. Mineral composition and potential nutritional contribution of 34 genotypes from different summer squash morphotypes. Eur. Food Res. Technol. 2015, 240, 71–81. [Google Scholar] [CrossRef]
  15. El-Mardi, M.O.; Pillay, A.E.; Williams, J.R.; Bakheit, C.S.; Hassan, S.M.; Al-Hadabbi, M. Influence of alternate bearing on leaf and fruit mineral composition at different developmental stages of date palm fruits. J. Agric. Mar. Sci. 2005, 10, 5–12. [Google Scholar] [CrossRef]
  16. White, P.J.; Brown, P.H. Plant nutrition for sustainable development and global health. Ann. Bot. 2010, 105, 1073–1080. [Google Scholar] [CrossRef] [PubMed]
  17. Kumari, D.; Prasad, M.; Ahmad, F. Variation among different growth stages on mineral nutrient content in guava fruits. Curr. Appl. Sci. Technol. 2020, 39, 140–144. [Google Scholar] [CrossRef]
  18. Gharibzahedi, S.M.T.; Jafari, S.M. The importance of minerals in human nutrition: Bioavailability, food fortification, processing effects and nanoencapsulation. Trends Food Sci. Technol. 2017, 62, 119–132. [Google Scholar] [CrossRef]
  19. Pan, Y.; Wang, Y.; McGregor, C.; Liu, S.; Luan, F.; Gao, M. Genetic architecture of fruit size and shape variation in cucurbits: A comparative perspective. Theor. Appl. Genet. 2020, 133, 1–21. [Google Scholar] [CrossRef]
  20. Cardoso, A.I.I.; Claudio, M.T.R.; Nakada-Freitas, P.G.; Magro, F.O.; Tavares, A.E.B. Phosphate fertilization over the accumulation of macronutrients in cauliflower seed production. Hortic. Bras. 2016, 34, 196–201. [Google Scholar] [CrossRef]
  21. Ramesh, K.; Paul, V.; Pandey, R. Dynamics of mineral nutrients in tomato (Solanum lycopersicum L.) fruits during ripening: Part II—Off the plant. Plant Physiol. Rep. 2021, 26, 284–300. [Google Scholar] [CrossRef]
  22. Etemadi, F.; Barker, A.V.; Hashemi, M.; Zandvakili, O.R.; Park, Y. Nutrient accumulation in faba bean varieties. Commun. Soil Sci. Plant Anal. 2018, 49, 2064–2073. [Google Scholar] [CrossRef]
  23. Mahapatra, S.; Sureja, A.K.; Behera, T.K.; Bhardwaj, R.; Verma, M. Variability in antioxidant capacity and some mineral nutrients among ninety-one Indian accessions of bottle gourd [Lagenaria siceraria (Molina) Standl.]. S. Afr. J. Bot. 2023, 152, 50–62. [Google Scholar] [CrossRef]
  24. Czech, A.; Stępniowska, A.; Wiącek, D.; Sujak, A.; Grela, E.R. The content of selected nutrients and minerals in some cultivars of Cucurbita maxima. Br. Food J. 2018, 120, 2261–2269. [Google Scholar] [CrossRef]
  25. Navas, N.M.; Obregón, L.G.; Peralta, Y.Y. Behavior of totals carotenoids and color of a mixture of pumpkin puree (Cucurbita moschata) during storage at 4 °C. Ital. J. Food Sci. 2019, 31, 50–60. [Google Scholar]
  26. Ramachandran, P.; Dhiman, A.K.; Attri, S.; Vikram, A.; Rai, S.; Sangeeta, S. Comparative study on physical characteristics and nutritional composition of pumpkin (Cucurbita moschata) at different stages of maturity. Indian. J. Tradit. Knowl. 2022, 21, 856–864. [Google Scholar] [CrossRef]
  27. Huo, Y.; Zhang, G.; Yu, W.; Liu, Z.; Shen, M.; Zhao, R. Forward genetic studies reveal LsAPRR2 as a key gene in regulating the green color of pericarp in bottle gourd (Lagenaria siceraria). Front. Plant Sci. 2023, 14, 1130669. [Google Scholar] [CrossRef] [PubMed]
  28. Marques, D.J.; Bianchini, H.C.; Lobato, A.K.S.; Silva, W.F. Potassium fertilization in the production of vegetables and fruits. In Potassium—Improvement of Quality in Fruits and Vegetables through Hydroponic Nutrient Management; InTech: Houston, TX, USA, 2018; pp. 1–25. [Google Scholar] [CrossRef][Green Version]
  29. Ponka, R.; Bouba, A.A.; Fokou, E.; Tambe, S.T.; Beaucher, E.; Piot, M. Protein, mineral and amino acid content of some Cameroonian traditional dishes prepared from pumpkin (Cucurbita maxima Duch.). J. Food Compost. Anal. 2015, 43, 169–174. [Google Scholar] [CrossRef]
  30. Huang, Y.; Zhao, L.; Kong, Q.; Cheng, F.; Niu, M.; Xie, J. Comprehensive mineral nutrition analysis of watermelon grafted onto two different rootstocks. Hortic. Plant J. 2016, 2, 105–113. [Google Scholar] [CrossRef]
  31. Krupa, T.; Tomala, K. Effect of oxygen and carbon dioxide concentration on the quality of minikiwi fruits after storage. Agronomy 2021, 11, 2251. [Google Scholar] [CrossRef]
  32. Naveena, K.K.T.; Singh, H.; Kaur, N.; Kang, B.K.; Devi, I. Uniconazole improves mango flowering and fruit yield by regulating gibberellins and carbon–nitrogen nutrition. Hortic. Environ. Biotechnol. 2023, 64, 735–752. [Google Scholar] [CrossRef]
  33. Mente, A.; O’donnell, M.; Yusuf, S. Sodium intake and health: What should we recommend based on the current evidence? Nutrients 2021, 3, 3232. [Google Scholar] [CrossRef]
  34. Hussain, A.; Kausar, T.; Din, A.; Murtaza, M.A.; Jamil, M.A.; Noreen, S. Determination of total phenolic, flavonoid, carotenoid, and mineral contents in peel, flesh, and seeds of pumpkin (Cucurbita maxima). J. Food Process. Preserv. 2021, 45, e15542. [Google Scholar] [CrossRef]
  35. Chelyadina, N.S.; Kapranov, S.V.; Popov, M.A.; Smirnova, L.L.; Bobko, N.I. The mussel Mytilus galloprovincialis (Crimea, Black Sea) as a source of essential trace elements in human nutrition. Biol. Trace Elem. Res. 2023, 201, 5415–5430. [Google Scholar] [CrossRef] [PubMed]
  36. Mohanty, M.; Kachari, M.; Borbora, P.D.; Borah, N. Quality of zucchini (Cucurbita pepo) influence by planting time and fertilizers. Pharm. Innov. 2023, 12, 3888–3891. [Google Scholar]
  37. Shiratake, K.; Martinoia, E. Transporters in fruit vacuoles. Plant Biotechnol. 2007, 24, 127–133. [Google Scholar] [CrossRef]
  38. Larson, J.E.; Perkins-Veazie, P.; Ma, G.; Kon, T.M. Quantification and prediction with near infrared spectroscopy of carbohydrates throughout apple fruit development. Horticulturae 2023, 9, 279. [Google Scholar] [CrossRef]
  39. Valdez-Arjona, L.P.; Ortega-Cerrilla, M.E.; Fraire-Cordero, S.; Arreola-Enríquez, J.; Crosby-Galván, M.M.; Cruz-Tamayo, A.A.; Ramírez-Mella, M. Physicochemical and preference evaluation of silages from Cucurbita argyrosperma huber residues and its effect on the production and composition of milk from dual-purpose cows in Campeche, Mexico: Pilot study. Sustainability 2020, 12, 7757. [Google Scholar] [CrossRef]
  40. Doğan Daş, B.; Avci, M.; Denek, N.; Das, A.; Kirar, N.; Budak, D. The impact of wheat straw and alfalfa additives on quality and in vitro digestibility of pumpkin (Cucurbita pepo) waste silage. J. King Saud Univ. Sci. 2023, 35, 2–6. [Google Scholar] [CrossRef]
  41. Ülger, I.; Kaliber, M.; Büyükkiliç Beyzi, S.; Konca, Y. Possible ensiling of pumpkin (Cucurbita pepo) residues. Turk. J. Vet. Anim. Sci. 2020, 44, 853–859. [Google Scholar] [CrossRef]
  42. Huang, H.X.; Yu, T.; Li, J.X.; Qu, S.P.; Wang, M.M.; Wu, T.Q. Characterization of Cucurbita maxima fruit metabolomic profiling and transcriptome to reveal fruit quality and ripening gene expression patterns. J. Plant Biol. 2019, 62, 203–216. [Google Scholar] [CrossRef]
  43. Rastilantie, M.; Kulaitienė, J.; Jarienė, E.; Danilčenko, H.; Černiauskienė, J.; Wawrzyniak, A.; Hamulka, J.; Juknevičienė, E. WFL Publisher Science and Technology Chemical composition of pumpkin (Cucurbita maxima D.) flesh flours used for food. J. Food Agric. Environ. 2014, 12, 61–64. [Google Scholar]
  44. Nansikombi, N.; Muyonga, J.H.; Byaruhanga, Y.B. Association between fruit characteristics and postharvest stability of different pumpkin (Cucurbita) Species. J. Food Res. 2019, 8, 131–145. [Google Scholar] [CrossRef]
  45. Kpodo, F.M.; Jato, J.; Adjei, C.N.A.; Walter, A.; Agbenorhevi, J.K.; Duah, J. Physicochemical and functional properties of pulp and pectin from agro-waste of three Cucurbitaceae species. Food Chem. 2023, 3, 100530. [Google Scholar] [CrossRef]
  46. Ojiako, O.A.; Igwe, C.U. Nutritional and anti-nutritional compositions of Cleome rutidosperma, Lagenaria siceraria, and Cucurbita maxima seeds from Nigeria. J. Med. Food 2007, 10, 735–738. [Google Scholar] [CrossRef]
  47. Niyi, O.H.; Jonathan, A.A.; Ibukun, A.O. Comparative assessment of the proximate, mineral composition and mineral safety index of peel, pulp and seeds of cucumber (Cucumis sativus). Open J. Appl. Sci. 2019, 9, 691–701. [Google Scholar] [CrossRef]
  48. Oost, L.J.; Tack, C.J.; de Baaij, J.H.F. Hypomagnesemia and cardiovascular risk in type 2 diabetes. Endocr. Rev. 2023, 44, 357–378. [Google Scholar] [CrossRef]
  49. Gerrano, A.S.; Jansen van Rensburg, W.S.; Venter, S.L.; Shargie, N.G.; Amelework, B.A.; Shimelis, H.A.; Labuschagne, M.T. Selection of cowpea genotypes based on grain mineral and total protein content. Acta Agric. Scand. B Soil Plant Sci. 2019, 69, 155–166. [Google Scholar] [CrossRef]
  50. Nagar, A.; Sureja, A.K.; Kar, A.; Bhardwaj, R.; Krishnan, S.G.; Munshi, A.D. Profiling of mineral nutrients and variability study in pumpkin (Cucurbita moschata) genotypes. Agric. Res. 2018, 7, 225–231. [Google Scholar] [CrossRef]
  51. Kostecka-Gugała, A.; Kruczek, M.; Ledwożyw-Smoleń, I.; Kaszycki, P. Antioxidants and health-beneficial nutrients in fruits of eighteen cucurbita cultivars: Analysis of diversity and dietary implications. Molecules 2020, 25, 1792. [Google Scholar] [CrossRef]
  52. Pulela, B.L.; Maboko, M.M.; Soundy, P.; Amoo, S.O. Cultivar and postharvest storage duration influence fruit quality, nutritional and phytochemical profiles of soilless-grown cantaloupe and honeydew melons. Plants 2022, 11, 2136. [Google Scholar] [CrossRef]
  53. Blessing, A.C.; Ifeanyi, U.M.; Chijioke, O.B. Nutritional evaluation of some Nigerian pumpkins (Cucurbita spp.). Fruit Veg. Cereal Sci. Biotechnol. 2011, 5, 64–71. [Google Scholar]
  54. Mashilo, J.; Shimelis, H.; Ngwepe, R.M. Genetic resources of bottle gourd (Lagenaria siceraria (Molina) Standl.] and citron watermelon (Citrullus lanatus var. citroides (L.H. Bailey) Mansf. ex Greb.)-implications for genetic improvement, product development and commercialization: A review. S. Afr. J. Bot. 2022, 145, 28–47. [Google Scholar] [CrossRef]
  55. Mashilo, J.; Shimelis, H.; Odindo, A. Genetic diversity of bottle gourd (Lagenaria siceraria (Molina) Standl.) landraces of South Africa assessed by morphological traits and simple sequence repeat markers. S Afr. J. Plant Soil 2016, 33, 113–124. [Google Scholar] [CrossRef]
  56. Mashilo, J.; Shimelis, H.; Odindo, A.; Amelework, B. Genetic diversity of south african bottle gourd [Lagenaria siceraria (Molina) Standl.] landraces revealed by simple sequence repeat markers. Hortscience 2016, 51, 120–126. [Google Scholar] [CrossRef]
  57. Mashilo, J.; Odindo, A.O.; Shimelis, H.A.; Musenge, P.; Tesfay, S.Z.; Magwaza, L.S. Drought tolerance of selected bottle gourd [Lagenaria siceraria (Molina) Standl.] landraces assessed by leaf gas exchange and photosynthetic efficiency. Plant Physiol. Biochem. 2017, 120, 75–87. [Google Scholar] [CrossRef]
  58. Ntuli, N.R.; Zobolo, A.M. Effect of water stress on growth of colchicine induced polyploid Coccinia palmata and Lagenaria sphaerica plants. Afr. J. Biotechnol. 2008, 7, 3548–3652. [Google Scholar]
  59. Nelson, L.E.; Khama, O.R.; Cedric, K. Improvement on grass establishment at a quarry rehabilitation site influenced by poultry manure in the subtropical South Africa. Afr. Crop Sci. J. 2014, 2, 98–101. [Google Scholar]
  60. Naidoo, S.; Laurie, S.; Odeny, D.; Vorster, B.; Mphela, W.; Greyling, M. Genetic analysis of yield and flesh colour in sweetpotato. Afr. Crop Sci. J. 2016, 24, 61–73. [Google Scholar] [CrossRef]
  61. Khatiwada, A.; Adhikari, P. Effect of various organic fertilizers on seedling health and vigour of different varieties of cucumber in rautahat condition. Malays. J. Sustain. Agric. 2020, 4, 81–85. [Google Scholar] [CrossRef]
  62. Bulbula, D.; Urga, K. Study on the effect of traditional processing methods on nutritional composition and anti nutritional factors in chickpea (Cicer arietinum). Cogent Food Agric. 2018, 4, 1422370. [Google Scholar] [CrossRef]
  63. Manson, A.D.; Roberts, V.G. Analytical Methods Used by the Soil Fertility and Analytical Services Section; KwaZulu-Natal Department of Agriculture and Rural Development: Pietermaritzburg, South Africa, 2000.
  64. Eckard, R.J.; Miles, N.; Tainton, N.M. Die gebruik van naby infra-rooi terugkaatsende spektroskopie vir die bepaling van stikstof in plante. J. Grassl. Soc. S. Afr. 1988, 5, 175–177. [Google Scholar] [CrossRef]
  65. Gaines, T.P.; Mitchell, G.A. Boron determination in plant tissue by the azomethine H method. Commun. Soil Sci. Plant Anal. 1979, 10, 1099–1108. [Google Scholar] [CrossRef]
  66. Jung, M.Y.; Kang, J.H.; Choi, Y.S.; Lee, D.Y.; Lee, J.Y.; Park, J.S. Analytical features of microwave plasma-atomic emission spectrometry (MP-AES) for the quantitation of manganese (Mn) in wild grape (Vitis coignetiae) red wines: Comparison with inductively coupled plasma-optical emission spectrometry (ICP-OES). Food Chem. 2019, 274, 20–25. [Google Scholar] [CrossRef] [PubMed]
  67. Paul, V.; Pandey, R. Physiological Techniques to Analyze the Impact of Climate Change on Crop Plants; Division of Plant Physiology, ICAR-Indian Agricultural Research Institute (IARI): New Delhi, India, 2017; pp. 16–25. [Google Scholar]
Figure 1. Fruit variation in L. siceraria landraces explained in Table 1.
Figure 1. Fruit variation in L. siceraria landraces explained in Table 1.
Plants 13 01475 g001
Figure 2. Seed variation in L. siceraria landraces explained in Table 1.
Figure 2. Seed variation in L. siceraria landraces explained in Table 1.
Plants 13 01475 g002
Figure 3. Biplot of L. siceraria landraces with nutritional components of shoots (a) and fruits (b). Landraces are explained in Table 1. Variables—Ca, calcium; Mg, magnesium; K, potassium; P, phosphorus; N, nitrogen; C, carbon; C/N, carbon/nitrogen ratio; Na, sodium; Mn, manganese; Fe, iron; Zn, zinc; Cu, copper; moisture, moisture content; ADF, acid detergent fiber; NDF, neutral detergent fiber; K/Ca+Mg, potassium/calcium+magnesium ratio; and ADL, acid detergent lignin.
Figure 3. Biplot of L. siceraria landraces with nutritional components of shoots (a) and fruits (b). Landraces are explained in Table 1. Variables—Ca, calcium; Mg, magnesium; K, potassium; P, phosphorus; N, nitrogen; C, carbon; C/N, carbon/nitrogen ratio; Na, sodium; Mn, manganese; Fe, iron; Zn, zinc; Cu, copper; moisture, moisture content; ADF, acid detergent fiber; NDF, neutral detergent fiber; K/Ca+Mg, potassium/calcium+magnesium ratio; and ADL, acid detergent lignin.
Plants 13 01475 g003
Figure 4. Hierarchical cluster showing dissimilarities amongst nutritional attributes of L. siceraria shoots (a) and fruits (b) at different growth stages using the complete linkage method. Landraces are explained in Table 1.
Figure 4. Hierarchical cluster showing dissimilarities amongst nutritional attributes of L. siceraria shoots (a) and fruits (b) at different growth stages using the complete linkage method. Landraces are explained in Table 1.
Plants 13 01475 g004
Table 1. Description of landraces from northern KwaZulu-Natal and Limpopo [13].
Table 1. Description of landraces from northern KwaZulu-Natal and Limpopo [13].
ProvLRAreaFruit ColorFruit TextureFruit ShapeSeed TypeSeed ColorSeed TextureSeed SizeSeed LineSeed Shape
KZNDSIDundeeDark greenSmoothIsodiametricSicerariaDark brownSmoothLargePresentOblong
KZNESCEmkhandlwiniPale greenSmoothCurvilinearAsiaticaLight brownLeatheryMediumPresentSlightly oblong
KZNKSCKhangelaniPale greenSmoothCurvilinearAsiaticaBrownLeatheryLargePresentSlightly oblong to rectangular
KZNKSPKhangelaniPale greenSmoothPearAsiaticaBrownLeatheryLargePresentSlightly oblong to rectangular
KZNKRIKhangelaniGreenRoughIsodiametricSicerariaDark brownLeatheryLargePresentSlightly oblong to rectangular
KZNNqRCNquthuPale greenRoughCurvilinearIntermediateLight brownLeatheryMediumPresentSlightly oblong
KZNNqSCNquthuPale greenSmoothSemi-curvilinearAsiaticaLight brownLeatheryMediumPresentSlightly oblong
KZNNRCNdumoDark greenRoughCylindricalSicerariaCreamy brownSmoothSmallAbsentOblong
KZNNSRCNquthuGreenSemi-roughCurvilinearIntermediateBrownLeatheryMediumPresentSlightly oblong
KZNNSRPNquthuPale greenSemi-roughPearIntermediateBrownLeatheryMediumPresentSlightly oblong
KZNRSPRorke’s DriftPale greenSmoothPearAsiaticaLight brownLeatheryLargePresentRectangular
LPBG-19KgohloaneDark greenSmoothIsodiametricSicerariaBrownLeatheryLargePresentSlightly oblong to rectangular
LPBG-24Go-PhasaPale greenCorrugatedCavateSicerariaDark brownSmoothSmallAbsentOblong
LPBG-26KgohloaneDark greenSmoothCavateIntermediateBrownLeatheryLargePresentSlightly oblong to rectangular
LPBG-27KgohloanePale and dark greenSemi-roughCavateSicerariaBrownLeatherySmallPresentOblong
LPBG-31KgohloaneDark greenSmoothCavateIntermediateBrownLeatheryLargePresentSlightly oblong to rectangular
LPBG-80Moletjie-MabokelelePale greenCorrugatedCavateAsiaticaDark brownSmoothMediumAbsentOblong
LPBG-81KgohloanePale and dark greenCorrugatedCavateAsiaticaBrownLeatheryLargePresentOblong
LPBG-100/GCKgohloanePale greenSemi-roughCylindricalAsiaticaLight brownLeatheryMediumPresentSlightly oblong
Prov—province, KZN—KwaZulu-Natal, LP—Limpopo, LR—landraces, BG—bottle gourd. The area of origin, fruit texture, and fruit shape were used to name the landraces from KZN. The naming of landraces from Limpopo was determined using the entry number based on the area of origin [13].
Table 2. Variation in macronutrients of Lagenaria siceraria shoots and fruits harvested at different stages of growth.
Table 2. Variation in macronutrients of Lagenaria siceraria shoots and fruits harvested at different stages of growth.
MacronutrientsPlant PartLandracesHarvesting Period
Ca (g/100 g)Shoots 42 DAS49 DAS56 DAS63 DAS
BG-190.39 c–f0.33 e–k0.33 e–k0.50 a
BG-240.31 g–l0.38 c–g0.31 g–l0.33 e–k
BG-260.27 k–m0.36 c–i0.30 h–l0.40 c–e
BG-270.30 h–l0.33 e–k0.32 f–k0.41 b–d
BG-800.29 i–m0.29 i–m0.28 j–m0.31 g–l
BG-810.37 c–h0.40 c–e0.29 i–m0.41 b–d
BG-100/GC0.22 m0.29 i–m0.24 lm0.31 g–l
DSI0.40 c–e0.32 f–k0.35 d–j0.26 k–m
ESC0.27 k–m0.37 c–h0.27 k–m0.38 c–g
KRI0.37 c–h0.36 c–i0.48 ab0.40 c–e
KSC0.41 b–d0.40 c–e0.35 d–j0.32 f–k
KSP0.33 e–k0.43 a–c0.33 e–k0.39 c–f
NqSC0.39 c–f0.38 c–g0.29 i–l0.38 c–g
Fruits 7 DAA14 DAA21 DAA
BG-240.082 mn0.136 g–n0.116 j–n
BG-270.088 l–n0.108 j–n0.136 g–n
BG-310.090 l–n0.099 k–n0.138 g–n
BG-100/GC0.102 k–n0.070 n0.202 d–g
DSI0.250 cd0.164 e–k0.158 f–l
ESC0.478 a0.119 i–n0.218 d–f
KRI0.136 g–n0.100 k–n0.142 g–m
KSC0.138 g–n0.434 a0.228 c–e
KSP0.212 d–f0.156 f–l0.100 k–n
NqRC0.142 g–m0.189 d–i0.199 d–g
NqSC0.214 d–f0.164 e–k0.152 f–l
NRC0.124 i–n0.126 h–n0.194 d–h
NSRC0.248 cd0.156 f–l0.176 e–j
NSRP0.138 g–n0.296 bc0.355 b
RSP0.296 bc0.334 b0.216 d–f
Mg (g/100 g)Shoots 42 DAS49 DAS56 DAS63 DAS
BG-190.28 e–k0.25 g–l0.26 f–l0.33 b–f
BG-240.19 lm0.25 g–l0.25 g–l0.26 f–l
BG-260.22 j–m0.25 g–l0.26 f–l0.27 e–k
BG-270.22 j–m0.25 g–l0.25 g–l0.34 b–e
BG-800.21 k–m0.23 i–m0.26 f–l0.25 g–l
BG-810.22 j–m0.23 i–m0.22 j–m0.28 e–k
BG-100/GC0.17 m0.22 j–m0.21 k–m0.24 h–m
DSI0.31 d–h0.25 g–l0.26 f–l0.24 h–m
ESC0.22 j–m0.26 f–l0.27 e–k0.33 b–f
KRI0.39 a–c0.36 b–d0.44 a0.40 ab
KSC0.32 c–g0.29 d–j0.31 d–h0.28 e–k
KSP0.24 h–m0.27 e–k0.27 e–k0.28 e–k
NqSC0.34 b–e0.30 d–i0.22 j–m0.27 e–k
Fruits 7 DAA14 DAA21 DAA
BG-240.168 b0.108 b0.166 b
BG-270.156 b0.172 b2.532 a
BG-310.142 b0.162 b0.188 b
BG-100/GC0.172 b0.116 b0.118 b
DSI0.246 b0.180 b0.177 b
ESC0.312 b0.144 b0.162 b
KRI0.244 b0.124 b0.124 b
KSC0.250 b0.378 b0.180 b
KSP0.228 b0.192 b0.152 b
NqRC0.078 b0.162 b0.170 b
NqSC0.078 b0.184 b0.182 b
NRC0.200 b0.166 b0.150 b
NSRC0.130 b0.200 b0.168 b
NSRP0.182 b0.220 b0.220 b
RSP0.144 b0.074 b0.132 b
K (g/100 g)Shoots 42 DAS49 DAS56 DAS63 DAS
BG-194.01 a–c4.08 a–c3.55 a–c4.39 a–c
BG-243.09 bc3.55 a–c3.79 a–c3.70 a–c
BG-263.74 a–c4.13 a–c3.31 bc3.51 a–c
BG-273.22 bc3.61 a–c3.44 a–c4.08 a–c
BG-803.30 bc3.42 a–c4.09 a–c3.35 a–c
BG-812.98 bc3.50 a–c3.20 bc4.03 a–c
BG-100/GC2.78 c3.74 a–c3.52 a–c3.64 a–c
DSI4.62 a–c4.30 a–c3.68 a–c3.32 a–c
ESC3.31 bc3.90 a–c4.22 a–c4.52 a–c
KRI5.68 a4.53 a–c4.59 a–c4.73 a–c
KSC4.84 a–c3.93 a–c3.69 a–c2.97 bc
KSP3.77 a–c4.03 a–c3.23 bc3.31 bc
NqSC5.28 ab5.05 a–c3.61 a–c3.93 a–c
Fruits 7 DAA14 DAA21 DAA
BG-242.81 c–e2.42 c–e2.70 c–e
BG-272.34 de2.89 c–e3.01 c–e
BG-312.22 de2.25 de2.81 c–e
BG-100/GC3.55 b–e2.02 e2.67 c–e
DSI8.91 a2.33 de2.82 c–e
ESC2.97 c–e2.46 c–e3.61 b–e
KRI3.61 b–e1.62 e1.93 e
KSC3.02 c–e3.65 b–e3.12 c–e
KSP3.04 c–e2.74 c–e1.76 e
NqRC4.42 b–d2.33 de1.71 e
NqSC3.64 b–e1.87 e2.47 c–e
NRC2.02 e1.68 e1.86 e
NSRC2.58 c–e2.51 c–e2.10 de
NSRP2.59 c–e3.06 c–e3.29 c–e
RSP4.69 bc5.85 b2.88 c–e
P (g/100 g)Shoots 42 DAS49 DAS56 DAS63 DAS
BG-190.64 b–d0.58 d–g0.63 b–e0.70 b
BG-240.38 q–t0.47 j–p0.45 l–q0.56 e–h
BG-260.63 b–e0.65 b–d0.53 g–k0.50 h–n
BG-270.43 n–s0.49 h–o0.42 o–s0.61 c–f
BG-800.43 n–s0.42 o–s0.52 g–l0.49 h–o
BG-810.36 st0.38 q–t0.38 q–t0.52 g–l
BG-100/GC0.33 t0.43 n–s0.42 o–s0.47 j–p
DSI0.45 l–q0.55 f–i0.48 i–o0.54 f–j
ESC0.45 l–q0.44 m–r0.54 f–j0.55 f–j
KRI0.81 a0.61 c–f0.68 bc0.70 b
KSC0.55 f–i0.51 g–m0.48 i–o0.43 n–s
KSP0.49 h–o0.48 i–o0.42 o–s0.37 r–t
NqSC0.46 k–p0.40 p–t0.47 j–p0.51 g–m
Fruits 7 DAA14 DAA21 DAA
BG-240.466 b–g0.312 l–r0.457 b–h
BG-270.474 b–f0.515 bc0.485 b–e
BG-310.348 h–p0.405 c–l0.411 c–l
BG-100/GC0.481 b–e0.364 f–o0.142 t–w
DSI0.112 vw0.377 e–m0.455 b–i
ESC0.505 b–d0.399 c–m0.178 s–w
KRI0.567 b0.284 m–s0.308 l–r
KSC0.508 b–d0.763 a0.254 o–t
KSP0.432 c–j0.356 g–p0.314 k–r
NqRC0.199 r–w0.329 j–q0.246 p–u
NqSC0.100 w0.285 m–s0.460 b–h
NRC0.397 d–m0.372 e–n0.258 n–t
NSRC0.202 r–w0.429 c–k0.228 q–v
NSRP0.432 c–j0.408 c–l0.339 i–q
RSP0.178 s–w0.118 vw0.134 u–w
N (g/100 g)Shoots 42 DAS49 DAS56 DAS63 DAS
BG-193.552 a3.278 a3.877 a3.499 a
BG-242.963 a3.147 a3.322 a4.264 a
BG-263.973 a3.950 a3.643 a3.258 a
BG-273.264 a2.840 a3.552 a3.090 a
BG-803.406 a3.274 a3.912 a3.714 a
BG-813.059 a3.381 a3.304 a3.766 a
BG-100/GC2.902 a3.018 a3.318 a3.606 a
DSI4.080 a3.907 a3.432 a3.854 a
ESC3.688 a3.304 a3.590 a3.400 a
KRI4.752 a3.510 a4.357 a4.206 a
KSC3.648 a3.574 a3.059 a3.805 a
KSP3.608 a4.147 a3.651 a2.990 a
NqSC4.214 a4.280 a3.277 a3.958 a
Fruits 7 DAA14 DAA21 DAA
BG-241.70 b–f0.98 c–f1.23 b–f
BG-271.55 b–f1.40 b–f1.40 b–f
BG-311.05 b–f0.98 c–f1.03 b–f
BG-100/GC1.94 b–e1.26 b–f0.81 ef
DSI1.16 b–f1.88 b–e1.26 b–f
ESC1.49 b–f0.97 c–f0.88 c–f
KRI2.03 bc0.59 f0.81 ef
KSC1.95 b–e3.39 a1.53 b–f
KSP1.72 b–f1.86 b–e0.98 c–f
NqRC1.17 b–f1.83 b–e1.03 b–f
NqSC1.15 b–f1.34 b–f1.09 b–f
NRC1.31 b–f1.12 b–f0.86 d–f
NSRC1.06 b–f1.98 b–d1.16 b–f
NSRP2.17 b1.28 b–f1.19 b–f
RSP1.21 b–f1.07 b–f0.89 c–f
C (g/100 g)Fruits 7 DAA14 DAA21 DAA
BG-2438.37 a38.84 a39.17 a
BG-2740.24 a40.25 a39.39 a
BG-3136.78 a38.50 a38.89 a
BG-100/GC37.53 a38.73 a35.64 a
DSI33.70 a38.24 a39.94 a
ESC35.99 a36.90 a41.10 a
KRI37.10 a37.20 a38.90 a
KSC37.99 a35.35 a42.66 a
KSP36.90 a37.70 a38.00 a
NqRC36.09 a39.39 a37.60 a
NqSC37.13 a38.86 a39.90 a
NRC37.20 a37.30 a38.30 a
NSRC35.80 a37.60 a39.50 a
NSRP37.80 a42.00 a41.50 a
RSP35.10 a34.80 a41.40 a
C/N ratio(g/100 g)Fruits 7 DAA14 DAA21 DAA
BG-2422.63 k–p42.31 b–g31.97 g–m
BG-2726.02 i–p28.66 h–p28.20 h–p
BG-3135.08 c–j39.36 b–h37.69 b–h
BG-100/GC19.30 o–q30.84 g–o44.28 b–f
DSI29.05 h–p20.39 m–q31.63 g–n
ESC24.18 j–p38.00 b–h46.60 bc
KRI18.28 pq62.63 a48.26 b
KSC19.51 o–q10.44 q27.98 h–p
KSP21.45 l–q20.27 n–q38.97 b–h
NqRC30.81 g–o21.54 l–q36.50 c–i
NqSC32.17 g–l28.96 h–p36.61 b–i
NRC28.40 h–p33.30 e–k44.53 b–e
NSRC33.77 e–k18.99 pq34.05 e–k
NSRP17.42 pq32.81 f–l34.80 d–j
RSP29.01 h–p32.52 g–l46.36 b–d
K/Ca+Mg (g/100 g)Shoots 42 DAS49 DAS56 DAS63 DAS
BG-192.64 a2.82 a2.40 a2.15 a
BG-242.54 a2.30 a2.69 a2.50 a
BG-263.03 a2.74 a2.33 a2.13 a
BG-272.49 a2.49 a2.41 a2.15 a
BG-802.66 a2.62 a2.96 a2.38 a
BG-812.08 a2.30 a2.51 a2.37 a
BG-100/GC2.85 a2.94 a3.08 a2.64 a
DSI2.60 a3.01 a2.42 a2.95 a
ESC2.68 a2.50 a3.02 a2.51 a
KRI2.87 a2.43 a1.95 a2.42 a
KSC2.65 a2.29 a2.20 a1.95 a
KSP2.66 a2.36 a2.14 a1.99 a
NqSC2.85 a2.83 a2.83 a2.44 a
Means followed by different superscript letters show significant differences in traits within and across growth stages (columns) for each landrace. The letters indicate the level of significance among landraces during various growth phases. This is based on Tukey’s honest significant difference test, with a significance level of p < 0.05. Landraces are explained in Table 1. Mac—macronutrients, DAS—days after sowing, DAA—days after anthesis, Ca—calcium, Mg—magnesium, K—potassium, P—phosphorus, N—nitrogen, C—carbon, C/N ratio—carbon/nitrogen ratio, and K/Ca+Mg—potassium/calcium+magnesium ratio in g/100 g.
Table 3. Variation in micronutrients of Lagenaria siceraria shoots and fruits harvested at different stages of growth.
Table 3. Variation in micronutrients of Lagenaria siceraria shoots and fruits harvested at different stages of growth.
MicronutrientsPlant PartLandracesHarvesting Period
Na (mg/kg)Shoots 42 DAS49 DAS56 DAS63 DAS
BG-190.06 b–d0.02 f0.09 a0.07 a–c
BG-240.04 d–f0.03 ef0.08 ab0.06 b–d
BG-260.04 d–f0.04 d–f0.09 a0.05 c–e
BG-270.03 ef0.04 d–f0.06 b–d0.06 b–d
BG-800.03 ef0.03 ef0.08 ab0.05 c–e
BG-810.04 d–f0.02 f0.06 b–d0.05 c–e
BG-100/GC0.06 b–d0.02 f0.05 c–e0.05 c–e
DSI0.04 d–f0.02 f0.09 a0.04 d–f
ESC0.02 f0.04 d–f0.09 a0.07 a–c
KRI0.02 f0.05 c–e0.04 d–f0.04 d–f
KSC0.05 c–e0.04 d–f0.07 a–c0.04 d–f
KSP0.04 d–f0.02 f0.09 a0.07 a–c
NqSC0.05 c–e0.05 c–e0.09 a0.04 d–f
Fruits 7 DAA14 DAA21 DAA
BG-100/GC0.026 st0.064 i–n0.014 t
BG-240.054 j–q0.066 i–m0.096 c–f
BG-270.072 g–l0.084 e–i0.094 c–g
BG-310.049 l–r0.102 c–e0.108 b–d
DSI0.138 a0.076 f–j0.086 d–i
ESC0.089 d–h0.096 c–f0.114 bc
KRI0.042 n–s0.022 st0.148 a
KSC0.024 st0.052 k–q0.066 i–m
KSP0.060 j–o0.022 st0.044 m–s
NqRC0.032 q–t0.028 r–t0.036 p–t
NqSC0.036 p–t0.040 o–s0.130 ab
NRC0.028 r–t0.032 q–t0.036 p–t
NSRC0.026 st0.034 q–t0.068 h–l
NSRP0.026 st0.074 f–k0.094 c–g
RSP0.026 st0.058 j–p0.054 j–q
Mn (mg/kg)Shoots 42 DAS49 DAS56 DAS63 DAS
BG-1965 a–e56 b–g70 ab70 ab
BG-2437 f–k44 d–k46 c–k51 b–j
BG-2640 f–k34 g–k88 a67 a–d
BG-2733 g–k35 f–k39 f–k48 b–k
BG-8033 g–k38 f–k41 f–k53 b–i
BG-8142 e–k42 e–k43 e–k54 b–h
BG-100/GC27 k40 f–k48 b–k52 b–i
DSI28 jk32 h–k36 f–k41 f–k
ESC30 i–k37 f–k38 f–k46 c–k
KRI30 i–k26 k37 f–k31 h–k
KSC30 i–k31 h–k51 b–j68 a–c
KSP31 h–k41 f–k44 d–k46 c–k
NqSC38 f–k38 f–k42 e–k58 b–f
Fruits 7 DAA14 DAA21 DAA
BG-2420.01 cd4.00 hi10.02 f–h
BG-271.50 i2.50 i1.50 i
BG-3117.99 c–e13.97 d–g18.03 c–e
BG-100/GC22.05 c12.00 e–g10.00 f–h
DSI9.99 f–h17.97 c–e7.98 g–i
ESC33.21 b13.99 d–g15.98 c–f
KRI21.98 c8.00 g–i12.00 e–g
KSC14.00 d–g66.05 a14.00 d–g
KSP22.02 c20.01 cd14.01 d–g
NqRC9.99 f–h22.05 c13.97 d–g
NqSC10.01 f–h14.03 d–g14.01 d–g
NRC16.03 c–f14.00 d–g8.01 g–i
NSRC19.97 cd20.04 cd15.97 c–f
NSRP8.00 g–i14.00 d–g12.02 e–g
RSP14.00 d–g18.00 c–e14.01 d–g
Fe (mg/kg)Shoots 42 DAS49 DAS56 DAS63 DAS
BG-192433 m2023 o2456 m2820 k
BG-241062 vw1257 r–t1214 s–u2604 l
BG-261184 tu506 A4848 d3756 gh
BG-271873 p882 xy3468 ij2138 o
BG-801592 q2857 k1339 r3903 f
BG-813579 i1117 uv3481 ij2041 o
BG-100/GC3879 f2452 m5046 c3422 j
DSI590 A1308 rs3542 i4889 d
ESC1774 p2031 o2278 n2055 o
KRI271 B116 C307 B2310 n
KSC730 z1238 r–t4201 e6005 a
KSP966 wx846 yz3719 h5350 b
NqSC478 A475 A2508 lm3856 fg
Fruits 7 DAA14 DAA21 DAA
BG-2494.10 gh122.00 e46.10 no
BG-27100.00 fg55.90 l54.10 lm
BG-31133.90 d47.90 mn38.10 p–r
BG-100/GC232.50 c104.00 f18.00 u
DSI35.90 p–r137.80 d45.90 no
ESC411.80 b91.90 hi20.00 tu
KRI133.90 d34.00 qr84.00 j
KSC56.00 l2375.90 a18.00 u
KSP48.00 mn70.00 k42.00 n–p
NqRC6.00 v82.20 j31.90 rs
NqSC20.00 tu24.00 tu40.00 o–q
NRC40.10 o–q40.00 o–q86.10 ij
NSRC20.00 tu74.10 k39.90 o–q
NSRP40.00 o–q102.00 f54.10 lm
RSP18.00 u4.00 v26.00 st
Zn (mg/kg)Shoots 42 DAS49 DAS56 DAS63 DAS
BG-19104 a–e89 c–j105 a–e118 ab
BG-2476 h–o84 d–j89 c–j104 a–e
BG-2692 c–i90 c–j105 a–e111 a–c
BG-2768 j–o73 i–o78 f–n101 b–f
BG-8085 d–j89 c–j98 b–h126 a
BG-8176 h–o79 f–n85 d–j104 a–e
BG-100/GC71 i–o83 e–k98 b–h107 a–d
DSI56 no77 g–n83 e–k121 ab
ESC84 d–j82 e–l93 c–i93 c–i
KRI76 h–o60 k–o82 e–l73 i–o
KSC53 o80 f–m98 b–h100 b–g
KSP71 i–o76 h–o91 c–j100 b–g
NqSC58 m–o59 l–o87 d–j117 ab
Fruits 7 DAA14 DAA21 DAA
BG-2450.03 c33.99 f–j40.06 c–g
BG-2742.01 c–f39.94 c–g40.06 c–g
BG-3137.98 d–h35.94 e–i38.05 d–h
BG-100/GC48.11 cd39.98 c–g22.00 k–n
DSI67.90 b49.92 c35.91 e–i
ESC69.74 b35.97 e–i19.97 l–n
KRI45.95 c–e22.00 k–n27.99 h–m
KSC39.99 c–g148.12 a29.99 g–l
KSP36.04 e–i36.01 e–i26.01 i–m
NqRC11.98 n40.10 c–g23.95 j–m
NqSC18.03 mn30.05 g–l40.02 c–g
NRC36.06 e–i31.99 f–k26.03 i–m
NSRC49.93 c48.09 cd19.96 l–n
NSRP31.99 f–k22.00 k–n30.05 g–l
RSP30.01 g–l29.99 g–l24.01 j–m
Cu (mg/kg)Shoots 42 DAS49 DAS56 DAS63 DAS
BG-1915 a–e11 c–e14 a–e21 a
BG-2410 c–e15 a–e15 a–e20 ab
BG-2612 c–e12 c–e16 a–d12 c–e
BG-278 e9 de11 c–e17 a–c
BG-8010 c–e11 c–e13 b–e14 a–e
BG-8110 c–e11 c–e12 c–e16 a–d
BG-100/GC20 ab14 a–e13 b–e15 a–e
DSI10 c–e13 b–e14 a–e16 a–d
ESC10 c–e11 c–e14 a–e16 a–d
KRI15 a–e10 c–e17 a–c14 a–e
KSC10 c–e13 b–e15 a–e13 b–e
KSP10 c–e10 c–e13 b–e12 c–e
NqSC8 e9 de11 c–e15 a–e
Fruits 7 DAA14 DAA21 DAA
BG-249.21 e–i3.60 pq7.41 i–n
BG-2710.20 c–g10.78 c–f11.62 cd
BG-315.40 m–p7.59 h–m6.61 j–o
BG-100/GC11.23 c–e5.60 l–p0.70 rs
DSI6.99 i–n8.79 f–j12.17 c
ESC12.29 c6.99 i–n3.60 pq
KRI10.19 c–g5.20 nop7.20 i–n
KSC11.20 c–e22.62 a4.40 o–q
KSP9.21 e–i7.80 h–l8.00 g–k
NqRC0.60 rs3.81 pq6.59 j–o
NqSC0.50 s6.81 j–n8.00 g–k
NRC9.82 d–h6.80 j–n6.21 k–o
NSRC2.60 qrs7.01 i–n6.59 j–o
NSRP8.40 g–k8.00 g–k17.43 b
RSP0.50 s0.90 rs2.80 qr
Al (mg/kg)Fruits 7 DAA14 DAA21 DAA
BG-2438.37 a38.84 a39.17 a
BG-2740.24 a40.25 a39.39 a
BG-3136.78 a38.50 a38.89 a
BG-100/GC37.53 a38.73 a35.64 a
DSI33.70 a38.24 a39.94 a
ESC35.99 a36.90 a41.10 a
KRI37.10 a37.20 a38.90 a
KSC37.99 a35.35 a42.66 a
KSP36.90 a37.70 a38.00 a
NqRC36.09 a39.39 a37.60 a
NqSC37.13 a38.86 a39.90 a
NRC37.20 a37.30 a38.30 a
NSRC35.80 a37.60 a39.50 a
NSRP37.80 a42.00 a41.50 a
RSP35.10 a34.80 a41.40 a
Means followed by different superscript letters, both lowercase and uppercase after “z”, show significant differences in traits within and across growth stages (columns) for each landrace. The letters indicate the level of significance among landraces during various growth phases. This is based on Tukey’s honest significant difference test, with a significance level of p < 0.05. Landraces are explained in Table 2. Mic—micronutrients, DAS—days after sowing, DAA—days after anthesis, Na—sodium, Mn—manganese, Fe—iron, Zn—zinc, Cu—copper, and Al—aluminum in mg/kg.
Table 4. Proximates of Lagenaria siceraria shoots and fruits harvested at different stages of growth.
Table 4. Proximates of Lagenaria siceraria shoots and fruits harvested at different stages of growth.
ProximatePlant PartLandracesHarvesting Period
MC (g/100 g)Shoots 42 DAS49 DAS56 DAS63 DAS
BG-199.02 a–h10.31 a–f8.24 a–i8.52 a–i
BG-248.89 a–h10.2 a–g10.23 a–g9.68 a–h
BG-2610.79 a–e10.98 a–d6.4 d–i4.08 i
BG-275.25 hi6.14 e–i5.63 f–i5.55 g–i
BG-807.48 b–i9.40 a–h10.26 a–g9.39 a–h
BG-819.09 a–h8.09 a–i8.86 a–h8.26 a–i
BG-100/GC7.41 b–i7.02 c–i7.44 b–i6.39 d–i
DSI10.81 a–e12.68 a9.25 a–h8.04 a–i
ESC10.69 a–e8.63 a–i10.55 a–g9.80 a–h
KRI8.56 a–i11.47 a–c8.89 a–h9.64 a–h
KSC12.02 ab10.66 a–e8.87 a–h7.45 a–i
KSP9.51 a–h12.05 ab9.65 a–h7.82 b–i
NqSC12.11 ab11.09 a–d10.69 a–e10.63 a–e
Fruits 7 DAA14 DAA21 DAA
BG-2412.18 d–j9.00 h–p10.51 f–n
BG-276.68 l–q5.96 n–q8.33 j–q
BG-3112.24 c–j8.61 i–p8.32 j–q
BG-100/GC7.90 j–q13.83 b–g18.87 a
DSI7.46 k–q9.62 g–o5.88 n–q
ESC12.37 b–j11.33 e–l3.76 q
KRI14.29 a–f10.24 f–o4.51 pq
KSC16.77 a–d12.28 c–j8.17 j–q
KSP17.01 ab13.50 b–h9.69 f–o
NqRC15.58 a–e13.86 b–g6.57 m–q
NqSC15.43 a–e13.06 b–i4.71 pq
NRC11.15 e–m11.02 e–m10.66 f–m
NSRC16.87 a–c14.23 a–g8.29 j–q
NSRP11.54 e–k4.89 pq9.05 h–p
RSP11.40 e–k9.17 h–p5.64 o–q
ADF (g/100 g)Shoots 42 DAS49 DAS56 DAS63 DAS
BG-1927.94 g–q23.30 l–q24.09 k–q36.42 b–i
BG-2420.57 n–q23.40 l–q22.89 m–q37.00 b–h
BG-2618.40 q19.61 o–q32.32 e–n37.90 b–g
BG-2718.90 pq18.59 q26.87 g–q30.84 f–o
BG-8019.04 o–q26.01 h–q26.68 g–q41.31 a–f
BG-8127.80 g–q24.68 i–q35.52 b–k35.99 b–j
BG-100/GC28.12 g–q23.84 k–q32.26 e–n43.03 a–e
DSI24.55 j–q23.52 l–q34.95 c–l44.17 a–d
ESC20.77 m–q22.02 m–q29.49 f–q37.06 b–h
KRI31.54 e–n29.63 f–q36.07 b–j32.41 d–m
KSC25.05 i–q21.36 m–q30.62 f–p46.85 ab
KSP21.52 m–q21.09 m–q31.89 e–n50.63 a
NqSC26.19 g–q26.19 g–q29.04 g–q45.24 a–c
Fruits 7 DAA14 DAA21 DAA
BG-2411.43 j15.63 g–j21.18 e–j
BG-2714.49 ij26.79 d–h18.91 e–j
BG-3112.29 j18.72 e–j21.33 e–j
BG-100/GC13.24 ij12.60 ij18.73 e–j
DSI27.27 d–f12.22 j19.32 e–j
ESC12.50 ij15.21 h–j60.25 a
KRI24.05 d–i14.23 ij27.07 d–g
KSC14.03 ij35.29 cd57.04 a
KSP18.16 f–j16.18 f–j17.60 f–j
NqRC18.84 e–j17.32 f–j19.17 e–j
NqSC20.61 e–j14.16 ij27.69 d–f
NRC14.73 ij13.98 ij21.29 e–j
NSRC17.28 f–j18.82 e–j35.29 cd
NSRP13.86 ij42.68 bc50.46 ab
RSP12.62 ij30.12 de57.78 a
NDF (g/100 g)Shoots 42 DAS49 DAS56 DAS63 DAS
BG-1934.69 f–q29.54 m–q31.80 i–q42.73 c–j
BG-2430.47 k–q33.28 g–q30.71 k–q49.16 a–e
BG-2625.37 q27.48 o–q38.38 e–p44.95 b–g
BG-2725.18 q26.86 pq35.53 f–q39.73 c–n
BG-8025.15 q32.94 h–q35.23 f–q50.99 a–d
BG-8134.80 f–q32.45 h–q41.85 c–k43.80 c–h
BG-100/GC38.34 e–p33.78 f–q42.81 c–j50.06 a–e
DSI31.37 j–q29.87 l–q44.14 c–h56.65 ab
ESC30.76 k–q29.46 m–q34.61 f–q45.41 b–f
KRI38.60 e–p39.74 c–n43.30 c–i40.55 c–m
KSC33.98 f–q31.76 i–q39.19 d–o56.06 ab
KSP28.28 n–q32.46 h–q41.65 c–l59.06 a
NqSC32.54 h–q32.71 h–q36.02 f–q51.26 a–c
Fruits 7 DAA14 DAA21 DAA
BG-100/GC22.54 i–m19.29 k–m20.88 j–m
BG-2420.98 j–m24.61 h–m40.05 c–f
BG-2723.63 h–m42.12 cd27.42 g–m
BG-3119.29 k–m25.36 h–m32.45 d–j
DSI33.09 c–i20.95 j–m34.31 c–h
ESC25.63 g–m25.50 g–m73.31 a
KRI29.04 f–l17.71 lm41.24 c–e
KSC21.95 i–m39.63 c–f68.74 a
KSP23.37 h–m20.05 k–m23.20 h–m
NqRC23.02 h–m21.30 j–m25.96 g–m
NqSC22.10 i–m21.24 j–m37.07 c–g
NRC17.08 m16.31 m30.13 e–k
NSRC18.97 k–m23.2 h–m43.58 cd
NSRP23.69 h–m56.53 b67.49 ab
RSP21.63 i–m44.25 c71.51 a
ADL (g/100 g)Shoots 42 DAS49 DAS56 DAS63 DAS
BG-198.61 c–f4.40 i–s6.76 e–i14.68 b
BG-242.92 r–t4.00 l–t3.30 n–t6.75 e–i
BG-264.02 l–t3.09 p–t4.27 j–t8.44 c–f
BG-273.26 n–t4.14 k–t4.48 h–s6.40 f–k
BG-801.99 t3.93 l–t5.43 g–p9.11 c–e
BG-812.85 st3.23 o–t3.28 n–t7.55 d–j
BG-100/GC2.46 st2.89 st3.06 q–t6.82 e–h
DSI7.06 d–g3.90 l–t5.62 g–n6.61 f–j
ESC3.40 m–t3.69 l–t5.72 g–m10.31 c
KRI12.82 b6.01 g–l23.34 a14.06 b
KSC5.61 g–n2.66 st5.49 g–o5.31 g–q
KSP5.28 g–r4.05 k–t4.30 j–t9.29 cd
NqSC5.46 g–o5.40 g–q9.19 cd13.99 b
Ash (g/100 g)Fruits 7 DAA14 DAA21 DAA
BG-245.46 j–r4.23 o–s6.27 h–p
BG-274.34 n–s7.65 e–j6.58 f–n
BG-314.70 l–s2.53 s3.84 qrs
BG-100/GC10.33 d3.78 qrs8.82 d–g
DSI35.60 a5.98 h–q5.40 j–r
ESC4.17 p–s7.08 f–k8.73 d–g
KRI6.63 f–n4.32 n–s4.82 k–s
KSC6.89 f–m9.93 de7.46 f–j
KSP7.94 e–i6.50 g–p4.22 o–s
NqRC19.91 c4.59 m–s5.32 j–r
NqSC21.39 c5.47 j–r7.04 f–k
NRC5.64 i–r4.70 l–s4.84 k–s
NSRC6.55 g–o6.62 f–n5.02 k–r
NSRP6.10 h–q7.98 e–h8.88 d–f
RSP3.40 rs26.11 b7.02 f–l
Protein (g/100 g)Shoots 42 DAS49 DAS56 DAS63 DAS
BG-1922.20 ab20.49 ab24.23 ab21.87 ab
BG-2418.52 ab19.67 ab20.76 ab26.65 ab
BG-2624.83 ab24.69 ab22.77 ab20.36 ab
BG-2720.40 ab17.75 b22.20 ab19.31 ab
BG-8021.29 ab20.46 ab24.45 ab23.21 ab
BG-8119.12 ab21.13 ab20.65 ab23.54 ab
BG-100/GC18.14 ab18.86 ab20.74 ab22.54 ab
DSI25.50 ab24.42 ab21.45 ab24.09 ab
ESC23.05 ab20.65 ab22.44 ab21.81 ab
KRI29.70 a21.94 ab27.23 ab26.29 ab
KSC22.80 ab22.34 ab19.12 ab23.78 ab
KSP22.55 ab25.92 ab22.82 ab18.69 ab
NqSC26.34 ab26.78 ab20.48 ab24.74 ab
Fruits 7 DAA14 DAA21 DAA
BG-2410.60 b–j7.85 d–l7.66 e–l
BG-279.67 b–k5.74 kl8.73 c–k
BG-316.55 i–l8.78 c–k6.45 i–l
BG-100/GC12.15 b–e21.15 a5.03 kl
DSI7.25 f–l6.11 i–l7.89 d–l
ESC9.30 b–k11.72 b–f5.51 kl
KRI12.69 bc6.07 jkl5.04 kl
KSC12.17 b–e3.71 l9.53 b–k
KSP10.75 b–i11.63 b–g6.09 i–l
NqRC7.32 f–l11.43 b–h6.44 i–l
NqSC7.21 f–l8.39 c–k6.81 h–l
NRC8.19 c–l7.00 g–l5.38 kl
NSRC6.63 i–l12.38 b–d7.25 f–l
NSRP13.56 b8.00 d–l7.45 f–l
RSP7.56 e–l6.69 i–l5.58 kl
Carbohydrates (g/100 g)Shoots 42 DAS49 DAS56 DAS63 DAS
BG-199.14 o–s10.85 h–l9.57 m–q7.01 v–x
BG-2412.09 e–g8.45 q–u10.63 j–m5.96 x–z
BG-2614.90 a–c14.67 bc9.89 k–p6.44 w–y
BG-2715.79 ab13.91 cd11.07 g–k9.80 l–p
BG-809.34 n–r10.31 j–o7.54 u–w3.86 C
BG-815.65 yzA11.98 e–h7.79 t–v6.40 w–y
BG-100/GC13.08 de8.03 s–v5.80 yz4.49 ABC
DSI11.30 g–j9.85 l–p8.94 p–t4.28 BC
ESC11.84 f–i15.87 a11.82 f–i8.99 p–s
KRI1.61 D8.05 s–v1.35 D3.67 C
KSC12.23 e–g12.60 ef10.44 j–n5.68 yz
KSP12.72 ef11.95 e–h10.80 h–l5.07 zAB
NqSC8.11 s–v8.32 r–u10.73 i–m7.43 u–w
Fat (g/100 g)Fruits 7 DAA14 DAA21 DAA
BG-243.42 g0.50 r–t0.65 q–t
BG-270.54 q–t0.57 q–t0.35 st
BG-310.75 o–s3.21 gh3.00 g–i
BG-100/GC4.64 d4.15 ef3.92 f
DSI0.91 m–r0.83 n–r3.90 f
ESC3.00 g–i0.99 m–q0.24 t
KRI4.00 f4.03 f1.70 jk
KSC4.58 de5.15 c0.81 n–s
KSP1.27 k–n2.88 hi2.59 i
NqRC1.16 l–p0.73 p–s0.76 o–s
NqSC0.48 r–t0.84 n–r1.21 l–o
NRC3.32 gh1.6 j–l5.73 b
NSRC0.56 q–t0.87 m–r3.37 g
NSRP1.85 j6.92 a3.04 g–i
RSP5.18 c1.31 k–m0.53 q–t
Means followed by different superscript letters, both lowercase and uppercase after “z”, show significant differences in traits within and across growth stages (columns) for each landrace. The letters indicate the level of significance among landraces during various growth phases. This is based on Tukey’s honest significant difference test, with a significance level of p < 0.05. Landraces are explained in Table 2. DAS—days after sowing, DAA—days after anthesis, MC—moisture content, ADF—acid detergent fiber, NDF—neutral detergent fiber, and ADL—acid detergent lignin in g/100 g.
Table 5. Correlation among the nutritional and mineral composition of the L. siceraria shoots at different growth stages.
Table 5. Correlation among the nutritional and mineral composition of the L. siceraria shoots at different growth stages.
VarCaMgKPNNaMnFeZnCuMCADFNDFK/Ca+MgADLCarbs
Mg0.709
K0.5520.879
P0.5310.7590.690
N0.4840.7460.8580.615
Na0.170−0.246−0.062−0.042−0.098
Mn0.155−0.290−0.2380.191−0.2130.644
Fe−0.483−0.659−0.660−0.540−0.5840.1420.287
Zn−0.328−0.545−0.4620.035−0.3040.4010.7670.406
Cu−0.166−0.032−0.0210.339−0.107−0.0770.2720.0770.324
MC0.3400.3290.5140.0930.6620.264−0.115−0.317−0.141−0.104
ADF0.1890.3010.381−0.0330.496−0.278−0.3010.172−0.3640.0190.490
NDF0.0600.2220.223−0.1430.339−0.359−0.4270.231−0.4280.1400.4210.933
K/Ca+Mg−0.735−0.3580.042−0.1790.0230.019−0.0950.1680.2300.2410.0490.0870.048
ADL0.6130.8890.9210.7860.817−0.170−0.155−0.687−0.3470.0910.3750.3590.204−0.080
Carbs−0.201−0.461−0.480−0.320−0.5560.6170.2930.3240.259−0.324−0.298−0.661−0.614−0.085−0.631
Protein0.4840.7460.8580.6141.000−0.097−0.213−0.584−0.304−0.1070.6630.4970.3400.0240.817−0.556
Values ≥ 0.6 are deemed to be significantly correlated and are in bold. Var, variables—Ca, calcium (g/100 g); Mg, magnesium (g/100 g); K, potassium (g/100 g); P, phosphorus (g/100 g); N, nitrogen (g/100 g); Na, sodium (mg/kg); Mn, manganese (mg/kg); Fe, iron (mg/kg); Zn, zinc (mg/kg); Cu, copper (mg/kg); MC, moisture content (g/100 g); ADF, acid detergent fiber (g/100 g); NDF, neutral detergent fiber (g/100 g); K/Ca+Mg, potassium/calcium+magnesium ratio (g/100 g); ADL, acid detergent lignin (g/100 g); Carbs, carbohydrates (g/100 g); and protein (g/100 g).
Table 6. Correlation among the nutritional and mineral composition of the L. siceraria fruits at different growth stages.
Table 6. Correlation among the nutritional and mineral composition of the L. siceraria fruits at different growth stages.
VarCaMgKPNCC/NNaMnFeZnCuAlAshMCADFNDFProtein
Mg−0.224
K0.535−0.040
P−0.2650.533−0.368
N0.3210.2280.1490.544
C0.0370.566−0.1830.6000.333
C/N−0.270−0.293−0.242−0.339−0.877−0.303
Na0.0500.2520.3300.265−0.1800.3150.190
Mn0.524−0.4790.0570.0690.481−0.330−0.272−0.205
Fe0.3820.0690.1070.5520.8100.148−0.546−0.0430.727
Zn0.2050.2010.2710.5760.7260.077−0.5820.2340.5360.855
Cu0.0530.481−0.0710.8640.6730.602−0.5210.3130.0850.5550.610
Al0.4400.0600.1360.5180.7810.132−0.517−0.0090.7470.9960.8430.531
Ash0.439−0.1420.837−0.5310.112−0.233−0.2850.125−0.039−0.0350.075−0.192−0.008
MC−0.112−0.459−0.443−0.0720.269−0.397−0.237−0.7490.5490.2300.042−0.2120.202−0.240
ADF0.894−0.0080.4280.0030.4060.325−0.2340.1440.4220.4720.2670.2420.5140.217−0.254
NDF0.8160.0790.5040.0510.3040.426−0.1630.3330.2470.3740.2470.2650.4140.214−0.4540.955
Protein0.3230.2270.1520.5451.0000.330−0.874−0.1750.4850.8130.7300.6730.7860.1120.2660.4080.306
Fat0.128−0.362−0.0800.1420.224−0.0830.034−0.3260.3070.3120.1110.2650.284−0.1910.2380.2250.1560.221
Values ≥ 0.6 are deemed to be significantly correlated and are in bold. Var, variables—Ca, calcium (g/100 g); Mg, magnesium (g/100 g); K, potassium (g/100 g); P, phosphorus (g/100 g); N, nitrogen (g/100 g); C, carbon (g/100 g); C/N, carbon/nitrogen ratio (g/100 g); Na, sodium (mg/kg); Mn, manganese (mg/kg); Fe, iron (mg/kg); Zn, zinc (mg/kg); Cu, copper (mg/kg); Al, aluminum (mg/kg); MC, moisture content (g/100 g); ADF, acid detergent fiber (g/100 g); NDF, neutral detergent fiber (g/100 g); protein (g/100 g); and fat (g/100 g).
Table 7. Loadings of the shoot nutrient traits for the first five principal components.
Table 7. Loadings of the shoot nutrient traits for the first five principal components.
VariablesPC1PC2PC3PC4PC5
Ca0.632−0.468−0.2490.280−0.457
Mg0.910−0.203−0.191−0.126−0.117
K0.921−0.1580.072−0.0070.202
P0.646−0.5550.227−0.372−0.119
N0.912−0.0570.1840.1480.202
Na−0.264−0.5820.2680.6210.128
Mn−0.348−0.6410.5140.174−0.317
Fe−0.6700.3710.2780.250−0.326
Zn−0.533−0.3800.643−0.021−0.039
Cu−0.0250.0010.642−0.517−0.304
Moisture0.5640.0670.2700.6080.207
ADF0.5360.6510.2660.327−0.270
NDF0.4230.7700.1900.240−0.322
K/Ca+Mg−0.1550.3420.562−0.1710.673
ADL0.922−0.2050.106−0.1740.007
Carbohydrates−0.673−0.424−0.2840.3040.213
Protein0.912−0.0560.1840.1490.203
Eigenvalue7.1932.9912.0491.7101.395
Variability (%)42.31217.59412.05010.0588.204
Cumulative (%)42.31259.90671.95682.01490.218
PC1–5: principal components 1–5. Values ≥ 0.6 are deemed to be significant and are in bold. Variables—Ca, calcium (g/100 g); Mg, magnesium (g/100 g); K, potassium (g/100 g); P, phosphorus (g/100 g); N, nitrogen (g/100 g); Na, sodium (mg/kg); Mn, manganese (mg/kg); Fe, iron (mg/kg); Zn, zinc (mg/kg); Cu, copper (mg/kg); MC, moisture content (g/100 g); ADF, acid detergent fiber (g/100 g); NDF, neutral detergent fiber (g/100 g), K/Ca+Mg, potassium/calcium+magnesium ratio (g/100 g); ADL, acid detergent lignin (g/100 g); Carbs, carbohydrates (g/100 g); and protein (g/100 g).
Table 8. Loadings of the fruit nutrient traits for the first five principal components.
Table 8. Loadings of the fruit nutrient traits for the first five principal components.
VariablesPC1PC2PC3PC4PC5
Ca0.5050.759−0.088−0.208−0.193
Mg0.214−0.514−0.6110.247−0.150
K0.2370.737−0.3590.3790.164
P0.582−0.751−0.181−0.1580.163
N0.920−0.1270.1480.245−0.190
C0.368−0.413−0.603−0.206−0.420
C/N ratio−0.7310.083−0.062−0.5450.311
Na0.0590.029−0.759−0.1020.555
Mn0.5850.3100.604−0.2060.261
Fe0.915−0.0300.233−0.0690.214
Zn0.827−0.0940.0360.1900.466
Cu0.721−0.476−0.298−0.0730.035
Al0.9100.0250.209−0.0910.232
Ash0.0760.700−0.2000.595−0.006
MC0.068−0.1300.9360.094−0.160
ADF0.6170.552−0.255−0.400−0.244
NDF0.5480.515−0.460−0.405−0.175
Protein0.922−0.1240.1470.243−0.183
Fat0.2680.0330.391−0.495−0.090
Eigenvalue7.0433.5683.4281.7701.275
Variability (%)37.06918.78118.0429.3176.709
Cumulative %37.06955.85073.89383.20989.918
PC1–5: principal components 1–5. Values ≥ 0.6 are deemed to be significant and are in bold. Variables—Ca, calcium (g/100 g); Mg, magnesium (g/100 g); K, potassium (g/100 g); P, phosphorus (g/100 g); N, nitrogen (g/100 g); C, carbon (g/100 g); C/N, carbon/nitrogen ratio (g/100 g); Na, sodium (mg/kg); Mn, manganese (mg/kg); Fe, iron (mg/kg); Zn, zinc (mg/kg); Cu, copper (mg/kg); Al, aluminum (mg/kg); MC, moisture content (g/100 g); ADF, acid detergent fiber (g/100 g); NDF, neutral detergent fiber (g/100 g); protein (g/100 g); and fat (g/100 g).
Disclaimer/Publisher’s Note: The statements, opinions and data contained in all publications are solely those of the individual author(s) and contributor(s) and not of MDPI and/or the editor(s). MDPI and/or the editor(s) disclaim responsibility for any injury to people or property resulting from any ideas, methods, instructions or products referred to in the content.

Share and Cite

MDPI and ACS Style

Buthelezi, L.G.; Mavengahama, S.; Sibiya, J.; Mchunu, C.N.; Ntuli, N.R. Nutritional Variation on Sequentially Harvested Shoots and Fruits of Lagenaria siceraria Landraces. Plants 2024, 13, 1475. https://doi.org/10.3390/plants13111475

AMA Style

Buthelezi LG, Mavengahama S, Sibiya J, Mchunu CN, Ntuli NR. Nutritional Variation on Sequentially Harvested Shoots and Fruits of Lagenaria siceraria Landraces. Plants. 2024; 13(11):1475. https://doi.org/10.3390/plants13111475

Chicago/Turabian Style

Buthelezi, Lungelo Given, Sydney Mavengahama, Julia Sibiya, Charmaine Nontokozo Mchunu, and Nontuthuko Rosemary Ntuli. 2024. "Nutritional Variation on Sequentially Harvested Shoots and Fruits of Lagenaria siceraria Landraces" Plants 13, no. 11: 1475. https://doi.org/10.3390/plants13111475

APA Style

Buthelezi, L. G., Mavengahama, S., Sibiya, J., Mchunu, C. N., & Ntuli, N. R. (2024). Nutritional Variation on Sequentially Harvested Shoots and Fruits of Lagenaria siceraria Landraces. Plants, 13(11), 1475. https://doi.org/10.3390/plants13111475

Note that from the first issue of 2016, this journal uses article numbers instead of page numbers. See further details here.

Article Metrics

Back to TopTop