Rational Combination of Selenium Application Rate and Planting Density to Improve Selenium Uptake, Agronomic Traits, and Yield of Dryland Maize
Abstract
1. Introduction
2. Materials and Methods
2.1. Experimental Design
2.2. Sampling and Measurements
2.2.1. Determination of Selenium Content
2.2.2. Determination of Water Content in Soil
2.2.3. Determination of Soil Properties
2.2.4. Determination of Physiological Indices Related to Maize Plants
2.3. Statistical Analysis
3. Results
3.1. Effects of Selenium Fertilization Amount on Selenium Content in Different Organs of Maize under Different Planting Densities
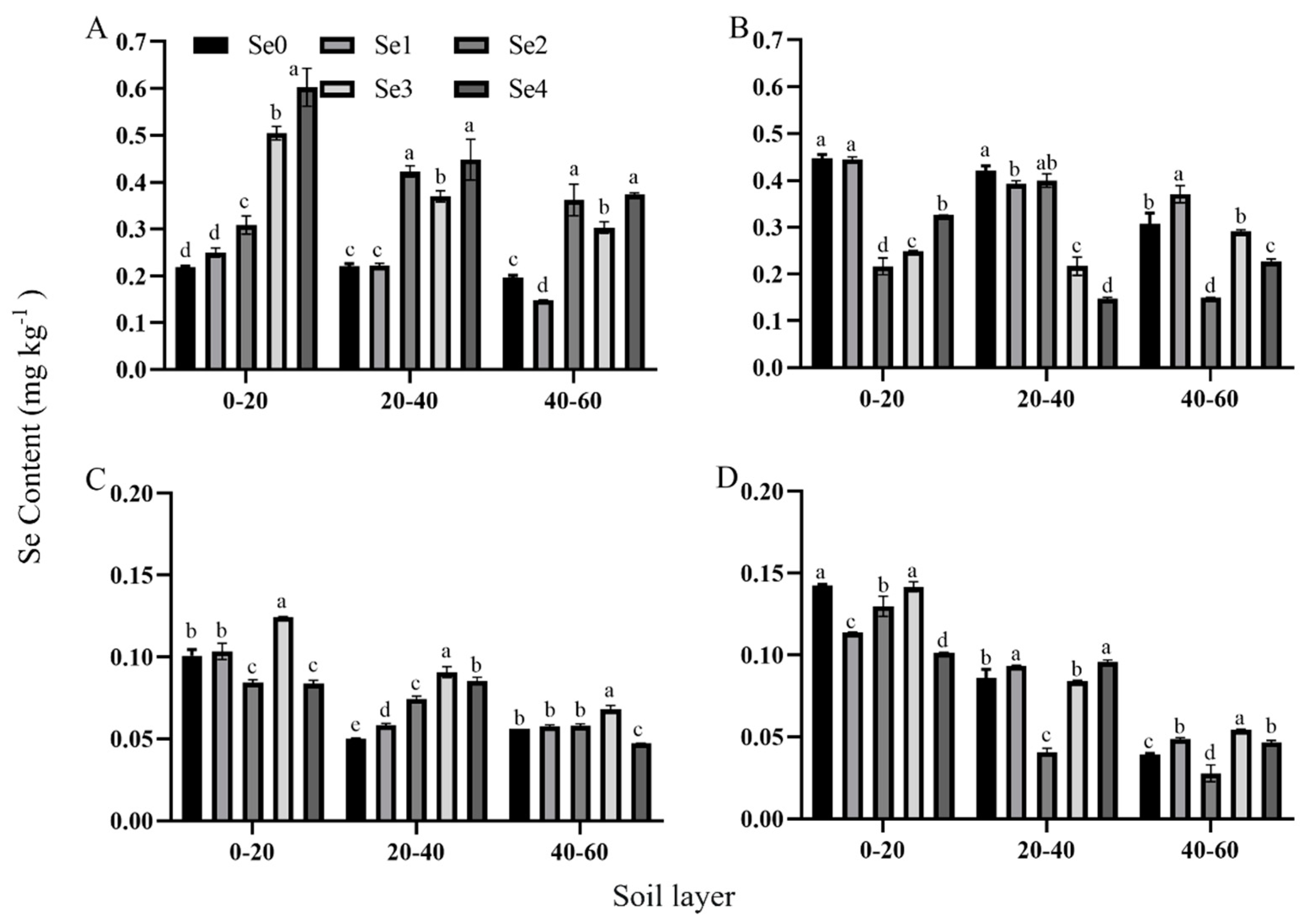
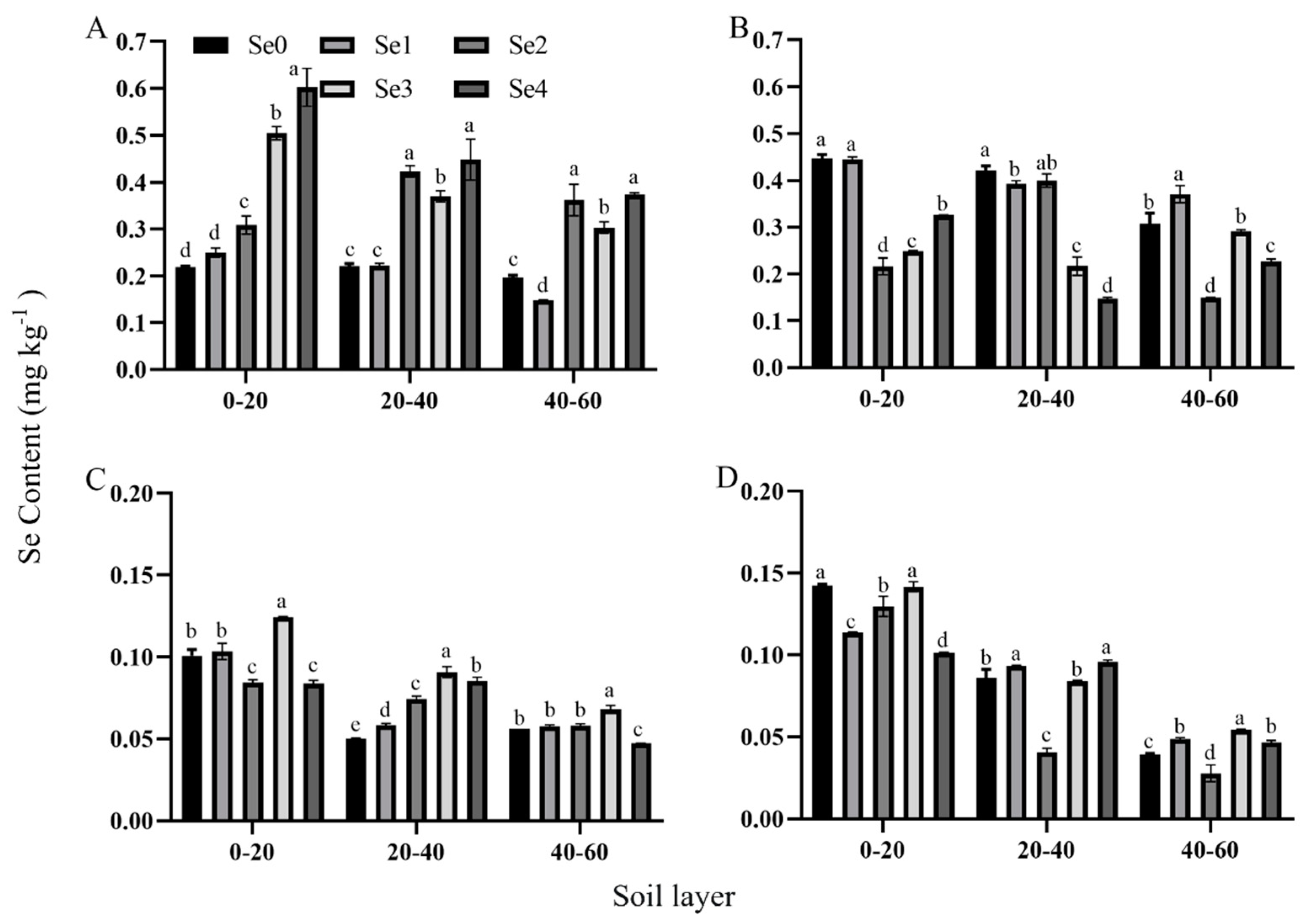
3.2. Effects of Selenium Fertilization Amount on Selenium Content in Different Soil Layers under Different Densities
3.3. Effects of Selenium Fertilization Amount on Soil pH Value and Water Content under Different Densities
3.4. Effect of Selenium Fertilization Amount on Dry Matter Accumulation and Distribution of Maize under Different Densities
3.5. Effect of Selenium Fertilization Amount on Maize Yield under Different Densities
3.6. Effects of Selenium Fertilization Amount on Leaf Area and Chlorophyll Content under Different Densities
3.7. Effects of Selenium Fertilization Amount on Plant Height and Ear Height under Different Densities of Dryland Maize
3.8. Effect of Selenium Fertilization Amount on Internodal Length under Different Densities of Dryland Maize
3.9. Effect of Selenium Fertilization Amount on Internodal Diameter under Different Densities of Dryland Maize
3.10. Effect of Selenium Fertilization Amount on Stem Strength under Different Densities of Dryland Maize
4. Discussion
4.1. Effects of selenium Fertilization on Selenium Content under Different Fertilization Densities
4.2. Effect of Selenium Fertilization on Maize Yield under Different Densities
4.3. Effect of Selenium Fertilization on Maize Physiological Characteristics under Different Densities
5. Conclusions
Author Contributions
Funding
Data Availability Statement
Conflicts of Interest
References
- Pfeiffer, W.H.; McClafferty, B. HarvestPlus: Breeding Crops for Better Nutrition. Crop Sci. 2007, 47, S88–S105. [Google Scholar] [CrossRef]
- Ngigi, P.B.; Lachat, C.; Masinde, P.W.; Du Laing, G. Agronomic biofortification of maize and beans in Kenya through selenium fertilization. Environ. Geochem. Health 2019, 41, 2577–2591. [Google Scholar] [CrossRef] [PubMed]
- Yuan, L.; Ma, Z.F.; Zhang, M.; Qin, L.; Yin, X.; Han, F. Hair Se Is a Sensitive Biomarker to Monitor the Effects of Se Supplementation in Elderly. Biol. Trace Elem. Res. 2022, 200, 488–496. [Google Scholar] [CrossRef] [PubMed]
- Yang, C.; Yao, H.; Wu, Y.; Sun, G.; Yang, W.; Li, Z.; Shang, L. Status and risks of selenium deficiency in a traditional selenium-deficient area in Northeast China. Sci. Total Environ. 2020, 762, 144103. [Google Scholar] [CrossRef] [PubMed]
- Huang, W.; Xu, Q.; Wu, N. Effects of Selenium-Enriched Rape Returning Amount on Available Selenium Content in Paddy Soil and Selenium Accumulation in Rice. Int. J. Anal. Chem. 2022, 2022, 3101069. [Google Scholar] [CrossRef] [PubMed]
- Deng, X.; Liu, K.; Li, M.; Zhang, W.; Zhao, X.; Zhao, Z.; Liu, X. Difference of selenium uptake and distribution in the plant and selenium form in the grains of rice with foliar spray of selenite or selenate at different stages. Field Crop. Res. 2017, 211, 165–171. [Google Scholar] [CrossRef]
- Lara, T.S.; Lessa, J.H.d.L.; de Souza, K.R.D.; Corguinha, A.P.B.; Martins, F.A.D.; Lopes, G.; Guilherme, L.R.G. Selenium biofortification of wheat grain via foliar application and its effect on plant metabolism. J. Food Compos. Anal. 2019, 81, 10–18. [Google Scholar] [CrossRef]
- Chernikova, O.V.; Ampleeva, L.E.; Mazhaisky, Y.A. Effect of Selenium Nanoparticles on the Formation of Corn Yield. Russ. Agric. Sci. 2019, 45, 256–259. [Google Scholar] [CrossRef]
- Wang, Y.-D.; Wang, X.; Wong, Y.-S. Generation of selenium-enriched rice with enhanced grain yield, selenium content and bioavailability through fertilisation with selenite. Food Chem. 2013, 141, 2385–2393. [Google Scholar] [CrossRef]
- Klopfenstein, T.J.; Erickson, G.E.; Berger, L.L. Maize is a critically important source of food, feed, energy and forage in the USA. Field Crop. Res. 2013, 153, 5–11. [Google Scholar] [CrossRef]
- Kaur, N.; Sharma, S.; Kaur, S.; Nayyar, H. Selenium in agriculture: A nutrient or contaminant for crops? Arch. Agron. Soil Sci. 2014, 60, 1593–1624. [Google Scholar] [CrossRef]
- Dinh, Q.T.; Li, Z.; Tran, T.A.T.; Wang, D.; Liang, D. Role of organic acids on the bioavailability of selenium in soil: A review. Chemosphere 2017, 184, 618–635. [Google Scholar] [CrossRef] [PubMed]
- De Feudis, M.; D’Amato, R.; Businelli, D.; Guiducci, M. Fate of selenium in soil: A case study in a maize (Zea mays L.) field under two irrigation regimes and fertilized with sodium selenite. Sci. Total Environ. 2019, 659, 131–139. [Google Scholar] [CrossRef] [PubMed]
- He, R.; Gao, M.; Shi, R.; Song, S.; Zhang, Y.; Su, W.; Liu, H. The Combination of Selenium and LED Light Quality Affects Growth and Nutritional Properties of Broccoli Sprouts. Molecules 2020, 25, 4788. [Google Scholar] [CrossRef]
- Hegab, H.R.; Doaa, E.; Ahmed, A.S. Effects of foliar application of selenium and potassium-humate on oat growth in Baloza, North Sinai, Egypt. Sci. Rep. 2022, 12, 15119. [Google Scholar] [CrossRef] [PubMed]
- Li, J.; Yang, W.; Guo, A.; Qi, Z.; Chen, J.; Huang, T.; Yang, Z.; Gao, Z.; Sun, M.; Wang, J. Combined foliar and soil selenium fertilizer increased the grain yield, quality, total se, and organic Se content in naked oats. J. Cereal Sci. 2021, 100, 103265. [Google Scholar] [CrossRef]
- D’Amato, R.; De Feudis, M.; Guiducci, M.; Businelli, D. Zea mays L. Grain: Increase in Nutraceutical and Antioxidant Properties Due to Se Fortification in Low and High Water Regimes. J. Agric. Food Chem. 2019, 67, 7050–7059. [Google Scholar] [CrossRef]
- Yao, X.; Chu, J.; Wang, G. Effects of selenium on wheat seedlings under drought stress. Biol. Trace Elem. Res. 2009, 130, 283–290. [Google Scholar] [CrossRef]
- Ghouri, F.; Ali, Z.; Naeem, M.; Ul-Allah, S.; Babar, M.; Baloch, F.S.; Chattah, W.S.; Shahid, M.Q. Effects of Silicon and Selenium in Alleviation of Drought Stress in Rice. Silicon 2021, 14, 5453–5461. [Google Scholar] [CrossRef]
- Tollenaar, M.; Lee, E.A. Yield potential, yield stability and stress tolerance in maize. Field Crop. Res. 2002, 75, 161–169. [Google Scholar] [CrossRef]
- Assefa, Y.; Carter, P.; Hinds, M.; Bhalla, G.; Schon, R.; Jeschke, M.; Paszkiewicz, S.; Smith, S.; Ciampitti, I.A. Analysis of Long Term Study Indicates Both Agronomic Optimal Plant Density and Increase Maize Yield per Plant Contributed to Yield Gain. Sci. Rep. 2018, 8, 4937. [Google Scholar] [CrossRef] [PubMed]
- Liu, D.; Jia, Q.; Li, J.; Zhang, P.; Ren, X.; Jia, Z. Increased photosynthesis and grain yields in maize grown with less irrigation water combined with density adjustment in semiarid regions. PeerJ 2020, 8, e9959. [Google Scholar] [CrossRef] [PubMed]
- Jiang, X.; Tong, L.; Kang, S.; Li, F.; Li, D.; Qin, Y.; Shi, R.; Li, J. Planting density affected biomass and grain yield of maize for seed production in an arid region of Northwest China. J. Arid. Land. 2018, 10, 292–303. [Google Scholar] [CrossRef]
- GB5009.93-2017; National Standard for Food Safety Determination of Selenium in Food. National Food and Drug Administration, National Health and Family Planning Commission of the People’s Republic of China: Beijing, China, 2017.
- Lin, L.; Xu, X.; Wang, J.; Wang, X.; Lv, X.; Tang, Y.; Deng, H.; Liang, D.; Xia, H. Intercropping of Cyphomandra betacea with Different Ploidies of Solanum Sect. Solanum (Solanaceae) Wild Vegetables Increase Their Selenium Uptakes. Plants 2023, 12, 716. [Google Scholar] [CrossRef] [PubMed]
- Banerjee, S.; Roy, P.; Nandi, S.; Roy, S. Advanced biotechnological strategies towards the development of crops with enhanced micronutrient content. Plant Growth Regul. 2023, 100, 355–371. [Google Scholar] [CrossRef] [PubMed]
- Hall, J.A.; Bobe, G.; Filley, S.J.; Bohle, M.G.; Pirelli, G.J.; Wang, G.; Davis, T.Z.; Bañuelos, G.S. Impact of selenium biofortification on production characteristics of forages grown following standard management practices in Oregon. Front. Plant Sci. 2023, 14, 1121605. [Google Scholar] [CrossRef] [PubMed]
- Wang, S.; Liang, D.; Wang, D.; Wei, W.; Fu, D.; Lin, Z. Selenium fractionation and speciation in agriculture soils and accumulation in corn (Zea mays L.) under field conditions in Shaanxi Province, China. Sci. Total Environ. 2012, 427–428, 159–164. [Google Scholar] [CrossRef] [PubMed]
- Li, J.; Yang, W.; Guo, A.; Yang, S.; Chen, J.; Qiao, Y.; Anwar, S.; Wang, K.; Yang, Z.; Gao, Z.; et al. Combined foliar and soil selenium fertilizer improves selenium transport and the diversity of rhizosphere bacterial community in oats. Environ. Sci. Pollut. Res. Int. 2021, 28, 64407–64418. [Google Scholar] [CrossRef] [PubMed]
- Jin, C.; Genxing, P.; Zhengwen, L. Dynamics of se uptake and accumulation in growth period by two soybean cultivars under different se-levels of soil. Soybean Sci. 2003, 22, 278–282. [Google Scholar]
- Guo, Q.; Ye, J.; Zeng, J.; Chen, L.; Korpelainen, H.; Li, C. Selenium species transforming along soil-plant continuum and their beneficial roles for horticultural crops. Hortic. Res. 2023, 10, uhac270. [Google Scholar] [CrossRef]
- Zhai, H.; Kleawsampanjai, P.; Wang, M.; Qi, M.; Liu, Y.; Liu, N.; Zhou, F.; Wang, M.; Liang, D. Effects of soil moisture on aging of exogenous selenate in three different soils and mechanisms. Geoderma 2021, 390, 114966. [Google Scholar] [CrossRef]
- Liu, N.; Wang, M.; Zhou, F.; Zhai, H.; Qi, M.; Liu, Y.; Li, Y.; Zhang, N.; Ma, Y.; Huang, J.; et al. Selenium bioavailability in soil-wheat system and its dominant influential factors: A field study in Shaanxi province, China. Sci. Total Environ. 2021, 770, 144664. [Google Scholar] [CrossRef]
- Xu, W.; Liu, C.; Wang, K.; Xie, R.; Ming, B.; Wang, Y.; Zhang, G.; Liu, G.; Zhao, R.; Fan, P.; et al. Adjusting maize plant density to different climatic conditions across a large longitudinal distance in China. Field Crop. Res. 2017, 212, 126–134. [Google Scholar] [CrossRef]
- Wang, L.; Gao, F.; Zhang, L.; Zhao, L.; Deng, Y.; Guo, H.; Qin, L.; Wang, C. Effects of Basal Selenium Fertilizer Application on Agronomic Traits, Yield, Quality, and Se Content of Dryland Maize. Plants 2022, 11, 3099. [Google Scholar] [CrossRef]
- Wang, M.; Ali, F.; Wang, M.; Dinh, Q.T.; Zhou, F.; Bañuelos, G.S.; Liang, D. Understanding boosting selenium accumulation in Wheat (Triticum aestivum L.) following foliar selenium application at different stages, forms, and doses. Environ. Sci. Pollut. Res. Int. 2020, 27, 717–728. [Google Scholar] [CrossRef]
- Tilman, D.; Balzer, C.; Hill, J.; Befort, B.L. Global food demand and the sustainable intensification of agriculture. Proc. Natl. Acad. Sci. USA 2011, 108, 20260–20264. [Google Scholar] [CrossRef] [PubMed]
- Liu, C.X.; Dong, R.; Zhang, X.Z.; Liu, T.S.; He, C.M.; Wang, L.M. Effects of different planting densities on leaf area index, dry matter accumulation and yield of maize. Shandong Agric. Sci. 2017, 49, 36–39. [Google Scholar]
- Ren, B.; Liu, W.; Zhang, J.; Dong, S.; Liu, P.; Zhao, B. Effects of plant density on the photosynthetic and chloroplast characteristics of maize under high-yielding conditions. Sci. Nat. 2017, 104, 12. [Google Scholar] [CrossRef]
- Yang, H.; Yang, X.; Ning, Z.; Kwon, S.Y.; Li, M.-L.; Tack, F.M.; Kwon, E.E.; Rinklebe, J.; Yin, R. The beneficial and hazardous effects of selenium on the health of the soil-plant-human system: An overview. J. Hazard. Mater. 2022, 422, 126876. [Google Scholar] [CrossRef]
- Duan, M.Y.; Cheng, S.R.; Lu, R.H.; Lai, R.F.; Zheng, A.X.; Ashraf, U.; Fan, P.S.; DU, B.; Luo, H.W.; Tang, X.R. Effect of Foliar Sodium Selenate on Leaf Senescence of Fragrant Rice in South China. Appl. Ecol. Environ. Res. 2019, 17, 3343–3351. [Google Scholar] [CrossRef]
- Gong, R.; Du, T.Q.; Zhai, H.M.; Li, Y.H.; Shi, Y.H.; Cui, F.Z.; Sun, M.; Gao, Z.Q. Effects of foliar spraying selenium on physiological characteristics and contents of sugar and selenium in grains of waxy maize. Henan Agric. Sci. 2021, 50, 32–38. [Google Scholar]
- Tang, L.Y.; Li, C.F.; Ma, W.; Zhao, M.; Li, X.L.; Li, L.L. Morphological characteristics and correlation analysis of maize plants under gradually dense planting conditions. Acta Agron. Sin. 2012, 38, 1529–1537. [Google Scholar] [CrossRef]
- Wu, Q.P.; Jiang, F.; Han, C.W.; Zeng, S.M.; Song, C.L.; Liu, B.S.; Xu, L.H.; Kong, X.M. Effects of different planting densities on growth and yield of silage corn. Shandong Agric. Sci. 2019, 51, 79–82. [Google Scholar]
- Zhao, Y.; Huang, Y.; Li, S.; Chu, X.; Ye, Y. Improving the growth, lodging and yield of different densityresistance maize by optimising planting density and nitrogen fertilisation. Plant Soil Environ. 2020, 66, 453–460. [Google Scholar] [CrossRef]
- Feng, G.; Li, Y.Y.; Jing, X.Q.; Wang, L.; Huang, C.L. Effects of different planting densities on main agronomic characters and yield of maize. Corn Sci. 2011, 19, 109–111. [Google Scholar]
- Nawaz, F.; Naeem, M.; Ashraf, M.Y.; Tahir, M.N.; Zulfiqar, B.; Salahuddin, M.; Shabbir, R.N.; Aslam, M. Selenium supplementation affects physiological and biochemical processes to improve fodder yield and quality of maize (Zea mays L.) under water deficit conditions. Front. Plant Sci. 2016, 7, 1438. [Google Scholar] [CrossRef] [PubMed]
- Luo, H.; Xing, P.; Liu, J.; Pan, S.; Tang, X.; Duan, M. Selenium improved antioxidant response and photosynthesis in fragrant rice (Oryza sativa L.) seedlings during drought stress. Physiol. Mol. Biol. Plants 2021, 27, 2849–2858. [Google Scholar] [CrossRef]
- Taha, R.S.; Seleiman, M.F.; Shami, A.; Alhammad, B.A.; Mahdi, A.H.A. Integrated Application of Selenium and Silicon Enhances Growth and Anatomical Structure, Antioxidant Defense System and Yield of Wheat Grown in Salt-Stressed Soil. Plants 2021, 10, 1040. [Google Scholar] [CrossRef]



| Year | Density | Treatment | Soil Layer Thickness | ||
|---|---|---|---|---|---|
| 0–20 cm | 20–40 cm | 40–60 cm | |||
| 2021 | D1 | Se0 | 7.62 a | 7.64 a | 7.63 a |
| Se1 | 7.67 a | 7.59 a | 7.60 a | ||
| Se2 | 7.57 a | 7.51 a | 7.38 b | ||
| Se3 | 7.45 b | 7.37 a | 7.36 b | ||
| Se4 | 7.37 b | 7.50 a | 7.48 b | ||
| D2 | Se0 | 7.57 a | 7.56 ab | 7.54 c | |
| Se1 | 7.60 a | 7.67 a | 7.75 a | ||
| Se2 | 7.54 a | 7.64 a | 7.60 bc | ||
| Se3 | 7.62 a | 7.56 ab | 7.60 b | ||
| Se4 | 7.56 a | 7.49 b | 7.48 d | ||
| 2022 | D1 | Se0 | 7.81 c | 8.09 ab | 8.13 b |
| Se1 | 7.95 b | 8.06 b | 8.11 b | ||
| Se2 | 8.03 a | 8.10 ab | 8.19 a | ||
| Se3 | 8.06 a | 8.09 ab | 8.20 a | ||
| Se4 | 8.04 a | 8.13 a | 8.20 a | ||
| D2 | Se0 | 7.68 b | 7.98 ab | 8.02 c | |
| Se1 | 7.87 a | 7.93 b | 8.03 c | ||
| Se2 | 7.88 a | 8.05 ab | 8.12 b | ||
| Se3 | 7.94 a | 8.06 ab | 8.15 a | ||
| Se4 | 7.88 a | 8.11 a | 8.14 ab | ||
| Y | ** | ** | ** | ||
| D | * | NS | NS | ||
| T | ** | NS | ** | ||
| Y×D | ** | * | ** | ||
| Y×T | ** | ** | ** | ||
| D×T | * | NS | ** | ||
| Y×D×T | ** | NS | ** | ||
| Year | Density | Treatment | Soil Layer Thickness | ||
|---|---|---|---|---|---|
| 0–20 cm | 20–40 cm | 40–60 cm | |||
| 2021 | D1 | Se0 | 0.14 b | 0.14 c | 0.13 b |
| Se1 | 0.17 ab | 0.17 abc | 0.14 ab | ||
| Se2 | 0.16 ab | 0.16 bc | 0.14 ab | ||
| Se3 | 0.18 a | 0.19 a | 0.15 a | ||
| Se4 | 0.19 a | 0.18 ab | 0.15 ab | ||
| D2 | Se0 | 0.16 a | 0.18 a | 0.16 ab | |
| Se1 | 0.15 a | 0.18 ab | 0.13 c | ||
| Se2 | 0.15 a | 0.15 c | 0.15 b | ||
| Se3 | 0.14 a | 0.15 c | 0.13 c | ||
| Se4 | 0.15 a | 0.16 bc | 0.17 a | ||
| 2022 | D1 | Se0 | 0.14 a | 0.19 a | 0.23 a |
| Se1 | 0.13 a | 0.19 a | 0.17 b | ||
| Se2 | 0.15 a | 0.17 a | 0.23 a | ||
| Se3 | 0.17 a | 0.18 a | 0.13 c | ||
| Se4 | 0.15 a | 0.19 a | 0.18 b | ||
| D2 | Se0 | 0.17 a | 0.16 a | 0.18 a | |
| Se1 | 0.20 a | 0.20 a | 0.17 a | ||
| Se2 | 0.16 a | 0.19 a | 0.16 a | ||
| Se3 | 0.16 a | 0.17 a | 0.19 a | ||
| Se4 | 0.17 a | 0.20 a | 0.17 a | ||
| Y | NS | ** | ** | ||
| D | NS | NS | NS | ||
| T | ** | ** | ** | ||
| Y×D | ** | NS | * | ||
| Y×T | ** | ** | ** | ||
| D×T | ** | * | ** | ||
| Y×D×T | ** | * | ** | ||
| Year | Density | Treatment | Stem (g) | Leaf (g) | Ear (g) | Grain (g) | Maize Cob (g) | Total Weight (g) |
|---|---|---|---|---|---|---|---|---|
| 2021 | D1 | Se0 | 83.91 e | 41.14 b | 248.21 a | 26.56 a | 220.44 a | 373.25 b |
| Se1 | 114.56 b | 35.56 c | 189.11 c | 25.40 a | 165.77 c | 339.22 c | ||
| Se2 | 105.74 c | 37.66 c | 185.68 c | 27.70 a | 160.69 c | 329.07 c | ||
| Se3 | 128.91 a | 44.37 a | 253.19 a | 28.11 a | 223.73 a | 426.47 a | ||
| Se4 | 97.01 d | 31.72 d | 215.36 b | 26.56 a | 190.26 b | 344.08 c | ||
| D2 | Se0 | 84.84 b | 28.44 b | 188.17 b | 23.82 a | 164.99 c | 301.14 bc | |
| Se1 | 96.95 a | 35.90 a | 231.22 a | 25.02 a | 205.44 a | 364.06 a | ||
| Se2 | 87.69 b | 28.24 b | 199.25 b | 22.63 ab | 176.03 b | 315.18 b | ||
| Se3 | 59.99 c | 22.07 c | 140.21 d | 18.63 b | 123.52 d | 222.27 d | ||
| Se4 | 94.19 a | 22.48 c | 170.71 c | 20.88 ab | 157.30 c | 287.37 c | ||
| 2022 | D1 | Se0 | 68.33 b | 73.59 a | 221.06 ab | 193.65 bc | 27.41 a | 362.98 a |
| Se1 | 76.62 a | 70.74 a | 215.43 bc | 187.84 cd | 27.59 a | 362.79 a | ||
| Se2 | 76.16 a | 68.53 a | 208.42 c | 183.61 d | 24.81 a | 353.11 a | ||
| Se3 | 71.44 ab | 70.50 a | 231.39 a | 203.03 a | 28.37 a | 373.33 a | ||
| Se4 | 68.30 b | 76.99 a | 224.50 ab | 197.84 ab | 26.67 a | 369.79 a | ||
| D2 | Se0 | 68.26 c | 72.44 a | 218.39 b | 191.92 b | 26.47 b | 359.08 b | |
| Se1 | 76.57 ab | 66.74 a | 245.37 a | 215.62 a | 29.75 a | 388.67 a | ||
| Se2 | 72.69 bc | 71.93 a | 239.48 a | 209.54 a | 29.95 a | 384.10 ab | ||
| Se3 | 55.68 d | 69.90 a | 190.39 c | 166.26 c | 24.13 b | 315.97 c | ||
| Se4 | 80.79 a | 56.15 b | 129.57 d | 112.16 d | 17.41 c | 266.51 d | ||
| Y | ** | ** | ** | ** | ** | ** | ||
| D | ** | ** | ** | ** | ** | ** | ||
| T | ** | ** | ** | ** | ** | ** | ||
| Y×D | ** | ** | ** | ** | ** | ** | ||
| Y×T | ** | NS | ** | ** | ** | ** | ||
| D×T | ** | ** | ** | ** | ** | ** | ||
| Y×D×T | ** | ** | ** | ** | ** | ** |
| Year | Density | Treatment | Number of Rows per Ear | Row Number | 1000-Grain Weight (g) | Grain Yield per Hectare (kg) |
|---|---|---|---|---|---|---|
| 2021 | D1 | Se0 | 16.63 b | 36.81 a | 317.19 b | 13,697.69 bc |
| Se1 | 17.16 ab | 35.38 a | 303.13 b | 13,334.92 c | ||
| Se2 | 17.31 b | 36.69 a | 344.38 a | 16,242.15 a | ||
| Se3 | 17.44 b | 35.03 a | 345.94 a | 14,942.98 b | ||
| Se4 | 16.94 ab | 34.50 a | 366.56 a | 16,632.38 a | ||
| D2 | Se0 | 17 a | 38.31 b | 320.00 a | 14,704.36 a | |
| Se1 | 17.63 a | 36.91 b | 290.63 bc | 13,228.17 b | ||
| Se2 | 17.06 a | 41.19 a | 305.31 ab | 14,698.13 a | ||
| Se3 | 17 a | 37.94 b | 287.50 c | 13,173.98 b | ||
| Se4 | 17 a | 39.16 ab | 316.56 a | 13,911.84 ab | ||
| 2022 | D1 | Se0 | 16.03 a | 38.56 b | 316.94 a | 13,198.95 ab |
| Se1 | 16.91 ab | 36.18 a | 313.53 a | 12,919.06 a | ||
| Se2 | 17.13 a | 38.31 b | 321.82 a | 14,206.72 b | ||
| Se3 | 16.79 ab | 37.69 ab | 308.25 a | 13,118.14 ab | ||
| Se4 | 16.42 ab | 38.91 b | 321.31 a | 13,838.54 ab | ||
| D2 | Se0 | 17.16 b | 37.78 a | 310.93 a | 15,066.56 b | |
| Se1 | 16.75 b | 37.88 a | 309.23 a | 14,686.43 b | ||
| Se2 | 16.82 b | 37.31 a | 321.89 a | 15,116.06 b | ||
| Se3 | 15.68 a | 36.99 a | 315.68 a | 13,676.79 ab | ||
| Se4 | 15.78 a | 36.44 a | 300.84 a | 12,973.98 a | ||
| Y | ** | NS | NS | * | ||
| D | NS | ** | ** | NS | ||
| T | * | NS | * | ** | ||
| Y×D | NS | ** | ** | ** | ||
| Y×T | NS | NS | * | NS | ||
| D×T | ** | NS | NS | ** | ||
| Y×D×T | NS | NS | NS | NS |
| Year | Density | Treatment | Chlorophyll Content (SPAD Plant−1) | Leaf Area (cm2 Plant−1) | |||
|---|---|---|---|---|---|---|---|
| Bighorn Mouth Stage | Tasseling | Milk Stage | Tasseling | Milk Stage | |||
| 2021 | D1 | Se0 | 58.72 a | 62.00 a | 49.47 ab | 499.09 a | 711.65 a |
| Se1 | 58.00 a | 60.33 a | 43.33 b | 527.33 a | 719.83 a | ||
| Se2 | 56.70 a | 61.38 a | 48.23 ab | 473.36 a | 699.27 a | ||
| Se3 | 55.57 a | 62.00 a | 56.43 a | 536.43 a | 685.08 a | ||
| Se4 | 58.12 a | 63.48 a | 53.57 ab | 511.62 a | 710.89 a | ||
| D2 | Se0 | 56.27 a | 60.08 a | 48.23 a | 457.19 a | 659.66 a | |
| Se1 | 56.73 a | 58.85 a | 41.37 a | 520.81 a | 734.64 a | ||
| Se2 | 58.02 a | 60.50 a | 25.23 b | 604.93 a | 693.20 a | ||
| Se3 | 57.67 a | 60.05 a | 13.10 c | 608.82 a | 675.42 a | ||
| Se4 | 56.38 a | 59.55 a | 12.73 c | 609.39 a | 684.76 a | ||
| 2022 | D1 | Se0 | 57.52 a | 56.12 a | 60.78 a | 645.17 a | 776.52 a |
| Se1 | 55.80 a | 58.60 a | 61.70 a | 637.77 a | 756.05 a | ||
| Se2 | 56.83 a | 56.03 a | 60.57 a | 633.72 a | 720.03 a | ||
| Se3 | 56.95 a | 58.58 a | 61.10 a | 616.17 a | 747.55 a | ||
| Se4 | 55.82 a | 59.30 a | 58.70 a | 598.03 a | 768.80 a | ||
| D2 | Se0 | 55.53 ab | 57.52 ab | 60.18 a | 610.20 a | 775.60 a | |
| Se1 | 56.75 ab | 58.00 a | 58.35 a | 623.83 a | 766.25 a | ||
| Se2 | 59.03 a | 59.60 a | 60.68 a | 603.70 a | 657.10 a | ||
| Se3 | 56.25 ab | 57.10 b | 57.98 a | 621.28 a | 678.02 a | ||
| Se4 | 54.55 b | 59.05 ab | 58.45 a | 611.50 a | 765.08 a | ||
| Y | NS | ** | ** | ** | ** | ||
| D | NS | NS | ** | NS | NS | ||
| T | NS | NS | ** | NS | NS | ||
| Y×D | NS | * | ** | NS | NS | ||
| Y×T | NS | NS | ** | NS | NS | ||
| D×T | * | NS | ** | NS | NS | ||
| Y×D×T | NS | NS | ** | NS | NS | ||
| Year | Density | Treatment | Plant Height (cm) | Ear Height (cm) | ||
|---|---|---|---|---|---|---|
| Tasseling | Milk Stage | Tasseling | Milk Stage | |||
| 2021 | D1 | Se0 | 303.67 a | 312.00 a | 106.17 a | 114.00 a |
| Se1 | 307.00 a | 305.67 ab | 108.00 a | 97.33 b | ||
| Se2 | 305.33 a | 293.00 b | 106.33 a | 98.33 b | ||
| Se3 | 306.17 a | 302.67 ab | 110.00 a | 107.33 ab | ||
| Se4 | 304.17 a | 314.67 a | 105.33 a | 107.67 ab | ||
| D2 | Se0 | 310.33 a | 308.00 a | 114.33 a | 109.00 a | |
| Se1 | 307.00 ab | 305.67 ab | 115.00 a | 118.00 a | ||
| Se2 | 304.00 ab | 299.67 b | 109.33 a | 107.67 a | ||
| Se3 | 300.17 b | 300.67 ab | 111.33 a | 103.67 a | ||
| Se4 | 306.50 ab | 303.33 ab | 111.50 a | 110.33 a | ||
| 2022 | D1 | Se0 | 292.83 a | 301.98 a | 94.67 a | 114.45 a |
| Se1 | 294.50 a | 303.20 a | 98.83 a | 113.42 a | ||
| Se2 | 293.17 a | 301.33 a | 96.67 a | 106.55 a | ||
| Se3 | 294.50 a | 300.70 a | 94.00 a | 106.57 a | ||
| Se4 | 290.33 a | 304.72 a | 94.00 a | 107.12 a | ||
| D2 | Se0 | 300.25 a | 304.78 a | 98.50 a | 111.32 a | |
| Se1 | 298.33 a | 303.32 a | 100.83 a | 107.53 a | ||
| Se2 | 297.33 ab | 305.12 a | 98.17 a | 92.20 a | ||
| Se3 | 300.17 a | 304.05 a | 93.83 a | 110.37 a | ||
| Se4 | 287.67 b | 302.73 a | 92.33 a | 107.88 a | ||
| Y | ** | NS | ** | NS | ||
| D | NS | NS | * | NS | ||
| T | NS | ** | NS | NS | ||
| Y×D | NS | NS | NS | NS | ||
| Y×T | NS | ** | NS | NS | ||
| D×T | NS | * | NS | NS | ||
| Y×D×T | NS | NS | NS | NS | ||
| Year | Density | Treatment | Internode Length (cm) | |||||
|---|---|---|---|---|---|---|---|---|
| 3rd Tasseling | 4th Tasseling | 5th Tasseling | 3rd Milk Stage | 4th Milk Stage | 5th Milk Stage | |||
| 2021 | D1 | Se0 | 13.98 a | 17.80 a | 19.47 a | 13.73 a | 18.10 a | 20.70 a |
| Se1 | 13.68 a | 17.45 a | 20.22 a | 12.83 a | 14.23 a | 18.33 a | ||
| Se2 | 13.02 a | 16.38 a | 19.87 a | 11.97 a | 15.07 a | 18.00 a | ||
| Se3 | 14.35 a | 18.02 a | 20.30 a | 14.10 a | 17.37 a | 21.60 a | ||
| Se4 | 13.03 a | 15.90 a | 18.82 a | 13.93 a | 18.83 a | 20.23 a | ||
| D2 | Se0 | 14.33 a | 17.38 a | 20.62 a | 15.97 a | 19.50 a | 21.53 a | |
| Se1 | 14.08 a | 17.55 a | 20.45 a | 13.80 b | 17.17 ab | 19.97 ab | ||
| Se2 | 14.95 a | 17.23 a | 19.93 a | 13.10 b | 16.97 ab | 19.87 ab | ||
| Se3 | 13.78 a | 17.58 a | 20.45 a | 12.67 b | 15.87 b | 18.07 bc | ||
| Se4 | 14.27 a | 17.05 a | 20.03 a | 13.83 b | 15.23 b | 17.40 c | ||
| 2022 | D1 | Se0 | 9.03 a | 12.28 bc | 16.70 ab | 12.23 a | 16.55 a | 18.90 a |
| Se1 | 8.88 a | 13.20 ab | 17.72 a | 13.57 a | 16.33 a | 18.47 a | ||
| Se2 | 8.77 a | 12.08 c | 16.53 ab | 11.78 a | 15.62 a | 18.63 a | ||
| Se3 | 9.48 a | 13.73 a | 18.22 a | 11.42 a | 14.90 a | 16.00 a | ||
| Se4 | 8.52 a | 11.92 c | 15.82 b | 11.93 a | 15.87 a | 18.53 a | ||
| D2 | Se0 | 9.41 a | 13.05 a | 17.20 a | 12.72 a | 16.68 a | 18.62 a | |
| Se1 | 9.78 a | 14.53 a | 19.32 a | 12.23 a | 16.82 a | 18.47 a | ||
| Se2 | 9.72 a | 13.13 a | 17.58 a | 12.40 a | 16.47 a | 18.57 a | ||
| Se3 | 9.50 a | 13.03 a | 17.03 a | 11.67 a | 15.23 a | 17.40 a | ||
| Se4 | 9.37 a | 13.23 a | 16.63 a | 12.35 a | 15.67 a | 18.07 a | ||
| Y | ** | ** | ** | ** | * | ** | ||
| D | * | NS | NS | NS | NS | NS | ||
| T | NS | NS | * | * | ** | NS | ||
| Y×D | NS | NS | NS | NS | NS | NS | ||
| Y×T | NS | NS | NS | NS | * | NS | ||
| D×T | NS | NS | NS | NS | ** | NS | ||
| Y×D×T | NS | NS | NS | NS | * | * | ||
| Year | Density | Treatment | Internode Diameter (mm) | |||||
|---|---|---|---|---|---|---|---|---|
| 3rd Tasseling | 4th Tasseling | 5th Tasseling | 3rd Milk Stage | 4th Milk Stage | 5th Milk Stage | |||
| 2021 | D1 | Se0 | 28.41 a | 27.28 a | 27.45 a | 23.34 a | 22.93 a | 22.36 b |
| Se1 | 28.61 a | 27.25 a | 26.55 a | 25.57 a | 25.08 a | 25.05 ab | ||
| Se2 | 28.22 a | 27.13 a | 26.93 a | 25.76 a | 26.06 a | 24.97 ab | ||
| Se3 | 27.48 a | 26.47 a | 26.14 a | 26.10 a | 26.87 a | 25.88 a | ||
| Se4 | 29.84 a | 29.20 a | 28.49 a | 25.23 a | 25.38 a | 25.98 a | ||
| D2 | Se0 | 26.88 a | 26.35 a | 26.32 a | 22.65 a | 23.39 a | 22.98 a | |
| Se1 | 25.85 a | 24.80 a | 23.89 a | 23.04 a | 22.50 a | 22.33 a | ||
| Se2 | 27.67 a | 27.03 a | 26.37 a | 23.72 a | 23.29 a | 21.87 a | ||
| Se3 | 26.56 a | 25.71 a | 24.45 a | 23.05 a | 22.53 a | 22.14 a | ||
| Se4 | 27.64 a | 27.11 a | 25.84 a | 24.25 a | 23.02 a | 22.42 a | ||
| 2022 | D1 | Se0 | 24.98 a | 27.20 a | 27.28 a | 30.27 a | 27.12 a | 22.78 a |
| Se1 | 23.65 a | 25.02 bc | 24.58 b | 28.55 a | 25.53 a | 22.57 a | ||
| Se2 | 23.82 a | 23.53 c | 23.60 b | 30.08 a | 27.30 a | 25.78 a | ||
| Se3 | 23.70 a | 26.35 ab | 23.47 b | 31.17 a | 28.50 a | 24.70 a | ||
| Se4 | 23.07 a | 24.95 bc | 24.33 b | 30.75 a | 26.73 a | 25.75 a | ||
| D2 | Se0 | 22.63 a | 24.85 a | 24.85 ab | 30.70 a | 26.92 a | 25.12 a | |
| Se1 | 22.51 a | 24.05 a | 22.10 b | 31.43 a | 27.26 a | 26.79 a | ||
| Se2 | 24.37 a | 26.20 a | 25.30 a | 31.39 a | 29.66 a | 25.44 a | ||
| Se3 | 23.73 a | 25.56 a | 25.11 ab | 31.09 a | 28.58 a | 23.47 a | ||
| Se4 | 23.39 a | 24.42 a | 23.09 ab | 30.24 a | 27.54 a | 24.59 a | ||
| Y | ** | ** | ** | ** | ** | * | ||
| D | ** | * | ** | NS | NS | NS | ||
| T | NS | NS | ** | NS | NS | NS | ||
| Y×D | NS | NS | NS | ** | ** | ** | ||
| Y×T | NS | * | NS | NS | NS | NS | ||
| D×T | NS | NS | * | NS | NS | NS | ||
| Y×D×T | NS | NS | NS | NS | NS | NS | ||
| Year | Density | Treatment | Stem Strength (N) | |||||
|---|---|---|---|---|---|---|---|---|
| 3rd Tasseling | 4th Tasseling | 5th Tasseling | 3rd Milk Stage | 4th Milk Stage | 5th Milk Stage | |||
| 2021 | D1 | Se0 | 51.13 b | 49.20 b | 45.53 c | 52.73 a | 53.57 a | 43.13 a |
| Se1 | 54.97 b | 50.20 b | 48.10 c | 50.53 a | 43.13 c | 49.53 a | ||
| Se2 | 70.63 a | 65.40 a | 62.60 ab | 52.10 a | 52.97 a | 49.30 a | ||
| Se3 | 69.87 a | 67.07 a | 66.23 a | 48.60 a | 51.00 ab | 43.67 a | ||
| Se4 | 52.10 b | 53.00 b | 53.33 bc | 49.60 a | 44.33 bc | 47.47 a | ||
| D2 | Se0 | 50.80 bc | 53.10 a | 48.00 a | 46.73 a | 44.27 a | 48.37 a | |
| Se1 | 48.70 c | 51.50 a | 47.97 a | 43.40 a | 41.27 a | 41.60 b | ||
| Se2 | 58.63 ab | 62.73 a | 52.27 a | 43.30 a | 48.00 a | 42.13 b | ||
| Se3 | 63.73 a | 60.87 a | 56.57 a | 44.47 a | 42.83 a | 38.37 b | ||
| Se4 | 62.00 a | 63.17 a | 57.87 a | 46.20 a | 45.03 a | 52.37 a | ||
| 2022 | D1 | Se0 | 57.38 a | 50.48 a | 44.30 a | 76.67 a | 66.35 a | 59.37 a |
| Se1 | 54.18 a | 44.80 a | 41.22 a | 67.57 a | 57.62 b | 53.30 a | ||
| Se2 | 55.70 a | 51.25 a | 48.40 a | 68.07 a | 62.25 ab | 56.23 a | ||
| Se3 | 62.65 a | 52.58 a | 51.63 a | 72.85 a | 63.15 ab | 56.42 a | ||
| Se4 | 59.83 a | 50.65 a | 48.68 a | 71.07 a | 61.93 ab | 57.65 a | ||
| D2 | Se0 | 55.30 a | 52.05 a | 47.10 a | 72.25 a | 65.53 a | 56.35 a | |
| Se1 | 57.62 a | 52.42 a | 49.15 a | 69.63 a | 63.32 a | 55.55 a | ||
| Se2 | 58.30 a | 51.45 a | 46.17 a | 68.65 a | 60.07 a | 55.00 a | ||
| Se3 | 56.02 a | 53.40 a | 51.48 a | 64.55 a | 57.15 a | 53.48 a | ||
| Se4 | 56.38 a | 57.93 a | 52.20 a | 65.03 a | 63.63 a | 57.05 a | ||
| Y | NS | ** | ** | ** | ** | ** | ||
| D | NS | NS | NS | ** | * | NS | ||
| T | ** | ** | ** | NS | ** | ** | ||
| Y×D | NS | NS | NS | NS | * | NS | ||
| Y×T | NS | * | NS | NS | NS | NS | ||
| D×T | NS | NS | * | NS | * | NS | ||
| Y×D×T | * | NS | NS | NS | NS | ** | ||
Disclaimer/Publisher’s Note: The statements, opinions and data contained in all publications are solely those of the individual author(s) and contributor(s) and not of MDPI and/or the editor(s). MDPI and/or the editor(s) disclaim responsibility for any injury to people or property resulting from any ideas, methods, instructions or products referred to in the content. |
© 2024 by the authors. Licensee MDPI, Basel, Switzerland. This article is an open access article distributed under the terms and conditions of the Creative Commons Attribution (CC BY) license (https://creativecommons.org/licenses/by/4.0/).
Share and Cite
Gao, F.; Wang, L.; Zhao, R.; Wang, Y.; Ma, Y.; Yang, R.; Zhang, Q.; Wang, C. Rational Combination of Selenium Application Rate and Planting Density to Improve Selenium Uptake, Agronomic Traits, and Yield of Dryland Maize. Plants 2024, 13, 1327. https://doi.org/10.3390/plants13101327
Gao F, Wang L, Zhao R, Wang Y, Ma Y, Yang R, Zhang Q, Wang C. Rational Combination of Selenium Application Rate and Planting Density to Improve Selenium Uptake, Agronomic Traits, and Yield of Dryland Maize. Plants. 2024; 13(10):1327. https://doi.org/10.3390/plants13101327
Chicago/Turabian StyleGao, Fei, Le Wang, Rong Zhao, Yixiong Wang, Yankun Ma, Rulan Yang, Qi Zhang, and Chuangyun Wang. 2024. "Rational Combination of Selenium Application Rate and Planting Density to Improve Selenium Uptake, Agronomic Traits, and Yield of Dryland Maize" Plants 13, no. 10: 1327. https://doi.org/10.3390/plants13101327
APA StyleGao, F., Wang, L., Zhao, R., Wang, Y., Ma, Y., Yang, R., Zhang, Q., & Wang, C. (2024). Rational Combination of Selenium Application Rate and Planting Density to Improve Selenium Uptake, Agronomic Traits, and Yield of Dryland Maize. Plants, 13(10), 1327. https://doi.org/10.3390/plants13101327

