Identification of Quantitative Trait Nucleotides and Development of Diagnostic Markers for Nine Fatty Acids in the Peanut
Abstract
:1. Introduction
2. Results
2.1. Characterization and Distribution of SNPs in the Peanut Genome
2.2. Fatty Acid Determination
2.3. Phenotypic Correlation
2.4. Genome-Wide Association Studies (GWASs) in Peanuts
2.5. Co-Localized Candidate Regions
2.6. Penta-Primer Amplification Refractory Mutation System (PARMS) Genotyping
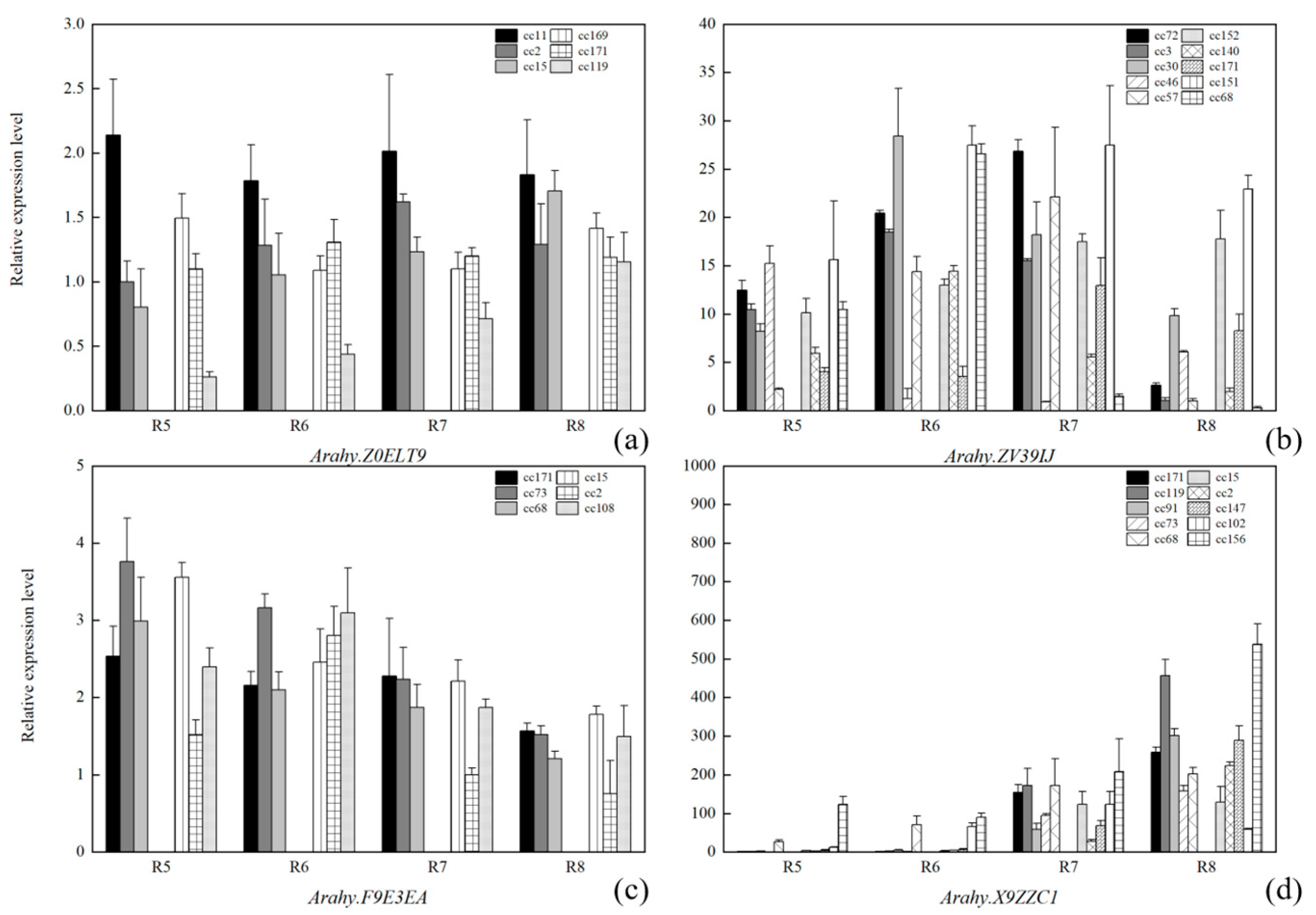
2.7. qRT-PCR Verification
3. Discussion
3.1. Known and Novel Candidate Genes Responsible for Oleic and Linoleic acid Content in Peanuts
3.2. Candidate Genes for the Other Fatty Acids
4. Materials and Methods
4.1. Plant Materials and Phenotype Collection
4.2. High-Density SNP Identification from Whole-Genome Resequencing (WGRS) Data
4.3. Genome-Wide Association Study (GWAS)
4.4. Literature Survey of Early QTL/GWAS Studies on Peanut Oleic and Linoleic Acids
4.5. PARMS Genotyping
4.6. qRT-PCR Verification
5. Conclusions
Supplementary Materials
Author Contributions
Funding
Data Availability Statement
Acknowledgments
Conflicts of Interest
References
- Rachaputi, R.C.N.; Wright, G. The World of Food Grains. In Encyclopedia of Food Grains, 2nd ed.; Academic Press: Cambridge, MA, USA, 2016. [Google Scholar]
- O’Byrne, D.J.; Knauft, D.A.; Shireman, R.B. Low fat monounsaturated rich diets containing high-oleic peanuts improve serum lipoprotein profiles. Lipids 1997, 32, 687–695. [Google Scholar] [CrossRef] [PubMed]
- Yamaki, T.; Nagamine, I.; Fukumoto, K.; Yano, T.; Miyahara, M.; Sakurai, H. High oleic peanut oil modulates promotion stage in lung tumorigenesis of mice treated with methyl nitrosourea. Food Sci. Technol. Res. 2005, 11, 231–235. [Google Scholar] [CrossRef]
- Chibisa, G.E.; Gorka, P.; Penner, G.B.; Berthiaume, R.; Mutsvangwa, T. Effects of partial replacement of dietary starch from barley or corn with lactose on ruminal function, short-chain fatty acid absorption, nitrogen utilization, and production performance of dairy cows. J. Dairy Sci. 2015, 98, 2627–2640. [Google Scholar] [CrossRef] [PubMed]
- Harwood, J.L. Fatty acid biosynthesis. In Plant Lipids: Biology, Utilization and Manipulation; Wiley: Hoboken, NJ, USA, 2005; Volume 27. [Google Scholar]
- Otyama, P.I.; Kulkarni, R.; Chamberlin, K.; Ozias-Akins, P.; Chu, Y.; Lincoln, L.M.; MacDonald, G.E.; Anglin, N.L.; Dash, S.; Bertioli, D.J. Genotypic characterization of the us peanut core collection. G3 Genes Genom. Genet. 2020, 10, 4013–4026. [Google Scholar] [CrossRef] [PubMed]
- Dar, T.U.H.; Rehman, R.U. Polyploidy: Recent trends and Future Perspectives; Springer: Berlin/Heidelberg, Germany, 2017. [Google Scholar]
- Okuley, J.; Lightner, J.; Feldmann, K.; Yadav, N.; Lark, E.; Browse, J. Arabidopsis FAD2 gene encodes the enzyme that is essential for polyunsaturated lipid synthesis. Plant Cell 1994, 6, 147–158. [Google Scholar] [CrossRef] [PubMed]
- Zhao, Q.; Wu, J.; Cai, G.; Yang, Q.; Shahid, M.; Fan, C.; Zhang, C.; Zhou, Y. A novel quantitative trait locus on chromosome A9 controlling oleic acid content in Brassica napus. Plant Biotechnol. J. 2019, 17, 2313–2324. [Google Scholar] [CrossRef]
- Pandey, M.K.; Wang, M.L.; Qiao, L.X.; Feng, S.P.; Khera, P.; Wang, H.; Tonnis, B.; Barkley, J.P.; Wang, N.A.; Holbrook, C.C.; et al. Identification of QTLs associated with oil content and mapping FAD2 genes and their relative contribution to oil quality in peanut (Arachis hypogaea L.). BMC Genet. 2014, 15, 1–4. [Google Scholar] [CrossRef]
- Hake, A.A.; Shirasawa, K.; Yadawad, A.; Sukruth, M.; Patil, M.; Nayak, S.N.; Lingaraju, S.; Patil, P.V.; Nadaf, H.L.; Gowda, M.V.C.; et al. Mapping of important taxonomic and productivity traits using genic and non-genic transposable element markers in peanut (Arachis hypogaea L.). PLoS ONE 2017, 12, e0186113. [Google Scholar] [CrossRef]
- Hu, X.H.; Zhang, S.Z.; Miao, H.R.; Cui, F.G.; Shen, Y.; Yang, W.Q.; Xu, T.T.; Chen, N.; Chi, X.Y.; Zhang, Z.M.; et al. High-density genetic map construction and identification of QTLs controlling oleic and linoleic acid in Peanut using SLAF-seq and SSRs. Sci. Rep. 2018, 8, 5479. [Google Scholar] [CrossRef]
- Zhang, H.; Wang, M.L.; Dang, P.; Jiang, T.; Zhao, S.Z.; Lamb, M.; Chen, C. Identification of potential QTLs and genes associated with seed composition traits in peanut (Arachis hypogaea L.) using GWAS and RNA-Seq analysis. Gene 2021, 769, 145215. [Google Scholar] [CrossRef]
- Yu, S.L. Peanut Genetics and Breeding in China; Shanghai Science and Technology Press: Shanghai, China, 2011. [Google Scholar]
- Yan, C.X.; Li, C.J.; Zheng, Y.X.; Han, Z.Q.; Chen, J.; Wang, J.; Shan, S.H. Screening key germplasms from Chinese peanut landraces. Shandong Agric. Sci. 2019, 51, 1–6. [Google Scholar]
- Yan, C.X.; Wang, J.; Zhang, H.; Li, C.J.; Song, X.X.; Sun, Q.X.; Yuan, C.L.; Zhao, X.B.; Shan, S.H. Developing the key germplasm of Chinese peanut landraces based on phenotypic traits. Acta Agron. Sin. 2020, 46, 520–531. (In Chinese) [Google Scholar]
- Sarvamangala, C.; Gowda, M.; Varshney, R.K. Identification of quantitative trait loci for protein content, oil content and oil quality for groundnut (Arachis hypogaea L.). Field Crops Res. 2011, 122, 49–59. [Google Scholar] [CrossRef]
- Shasidhar, Y.; Vishwakarma, M.K.; Pandey, M.K.; Janila, P.; Variath, M.T.; Manohar, S.S.; Nigam, S.N.; Guo, B.; Varshney, R.K. Molecular mapping of oil content and fatty acids using dense genetic maps in groundnut (Arachis hypogaea L.). Front. Plant Sci. 2017, 8, 794. [Google Scholar] [CrossRef]
- Liu, H. Inheritance of Main Traits Related to Yield and Quality, and Their QTL Mapping in Peanut (Arachis hypogaea L.). Master’s Thesis, Henan Agricultural University, Zhengzhou, China, 2011. [Google Scholar]
- Zhang, X.Y.; Han, S.Y.; Xu, J.; Yan, M.; Liu, H.; Tang, F.S.; Dong, W.Z.; Huang, B.Y. Identification of QTLs for important quality traits in cultivated peanut (Arachis hypogaea L.). Chin. J. Oil Crop Sci. 2012, 34, 311–315. (In Chinese) [Google Scholar]
- Li, X.P.; Xu, X.J.; Cai, Y.; Guo, J.B.; Huang, L.; Ren, X.P.; Li, Z.D.; Chen, W.G.; Luo, H.Y.; Zhou, X.J.; et al. Quantitative trait locus analysis for main quality traits in cultivated peanut (Arachis hypogaea L.). Chin. J. Oil Crop Sci. 2016, 38, 415–422. (In Chinese) [Google Scholar]
- Zhang, X.G.; Zhang, J.H.; He, X.Y.; Wang, Y.; Ma, X.L.; Yin, D.M. Genome-wide association study of major agronomic traits related to domestication in Peanut. Plant Sci. 2017, 8, 1611. [Google Scholar] [CrossRef]
- Li, L.; Cui, S.L.; Mu, G.J.; Yang, X.L.; Hou, M.Y.; Li, W.P.; Liu, F.Q.; Liu, L.F. Research progress of peanut breeding with high oleic acid. Chin. J. Oil Crop Sci. 2019, 41, 986–997. (In Chinese) [Google Scholar] [CrossRef]
- Ruan, J.; Shan, L.; Li, X.G.; Guo, F.; Meng, J.J.; Wan, S.B.; Peng, Z.Y. Genome-wide identification and expression pattern analysis of peanut FAD gene family. Shandong Agric. Sci. 2018, 50, 1–9. (In Chinese) [Google Scholar]
- Wang, Y.; Zhang, X.G.; Zhao, Y.L.; Prakash, C.S.; He, G.H.; Yin, D.M. Insights into the novel members of the FAD2 gene family involved in high-oleate fluxes in peanut. Genome 2015, 58, 375–383. [Google Scholar] [CrossRef]
- Duan, S.W.; Jin, C.Y.; Li, D.; Gao, C.H.; Qi, S.H.; Liu, K.G.; Hai, J.B.; Ma, H.L.; Chen, M.X. MYB76 Inhibits seed fatty acid accumulation in Arabidopsis. Front. Plant Sci. 2017, 8, 226. [Google Scholar] [CrossRef]
- Li, D.; Jin, C.Y.; Duan, S.W.; Zhu, Y.N.; Qi, S.H.; Liu, K.G.; Gao, C.H.; Ma, H.L.; Zhang, M.; Liao, Y.H. MYB89 transcription factor represses seed oil accumulation. Plant Physiol. 2017, 173, 1211–1225. [Google Scholar] [CrossRef]
- Jung, S.; Powell, G.; Moore, K.; Abbott, A. The high oleate trait in the cultivated peanut (Arachis hypogaea L.). II. Molecular basis and genetics of the trait. Mol. Gen. Genet. 2000, 263, 806–811. [Google Scholar] [CrossRef]
- Chu, Y.; Holbrook, C.C.; Peggy, Q.A. Two alleles of ah FAD2B control the high oleic acid trait in cultivated peanut. Crop Sci. 2009, 49, 2029–2036. [Google Scholar] [CrossRef]
- Zhang, J. Identification and Phylogenetic Analysis of the JmjC Domain-Containing Histone Demethylase Gene Family in Plants. Master of Thesis, Zhengzhou University, Zhengzhou, China, 2021. [Google Scholar]
- Wan, Y.S.; Li, X.D.; Fan, H. Relationship between arachidonic acid/linoleic acid ratio and sowing time and temperature. Shandong Agric. Sci. 1995, 2, 6–8. (In Chinese) [Google Scholar]
- Klose, R.J.; Kallin, E.M.; Zhang, Y. JmjC-domain-containing proteins and histone demethylation. Nat. Rev. Genet. 2006, 7, 715–727. [Google Scholar] [CrossRef]
- Han, Y.; Li, X.; Cheng, L.; Liu, Y.; Wang, H.; Ke, D.; Yuan, H.; Zhang, L.; Wang, L. Genome-wide analysis of soybean JmjC domain-containing proteins suggests evolutionary conservation following whole-genome duplication. Front. Plant Sci. 2016, 7, 1800. [Google Scholar] [CrossRef]
- Zhang, H.; Yu, Y.; Wang, M.; Dang, P.; Chen, C. Effect of genotype-by-environment interaction on oil and oleic fatty acid contents of cultivated peanuts. Horticulturae 2023, 9, 1272. [Google Scholar] [CrossRef]
- Wu, B.; Liu, N.; Huang, L.; Luo, H.Y.; Zhou, X.J.; Chen, W.G.; Guo, J.B.; Huai, D.X.; Xia, Y.F.; Lei, Y.; et al. Identification of markers stably associated with different fatty acid content in peanut through association analysis. J. Oil Crop Sci. 2022, 44, 818–825. [Google Scholar]
- Wang, C.H.; Wang, X.Q.; Li, J.X.; Guan, J.H.; Tan, Z.J.; Zhang, Z.; Shi, G.R. Genome-wide identification and transcript analysis reveal potential roles of oligopeptide transporter genes in iron deficiency induced cadmium accumulation in peanut. Front. Plant Sci. 2022, 13, 894848. [Google Scholar] [CrossRef]
- Fang, Q.; Zhou, F.L.; Zhang, Y.; Singh, S.; Huang, C.F. Degradation of STOP1 mediated by the F-box proteins RAH1 and RAE1 balances aluminum resistance and plant growth in Arabidopsis thaliana. Plant J. 2021, 106, 493–506. [Google Scholar] [CrossRef]
- Xu, K.H.; Zhao, Y.; Zhao, Y.; Feng, C.; Zhang, Y.H.; Wang, F.W.; Li, X.W.; Gao, H.T.; Liu, W.C.; Jing, Y.; et al. Soybean F-box-like protein GmFBL144 interacts with small heat shock protein and negatively regulates plant drought stress tolerance. Front. Plant Sci. 2022, 13, 823529. [Google Scholar] [CrossRef]
- Min, T.; Liu, C.E.; Xie, J.; Yi, Y.; Wang, L.M.; Ai, Y.W.; Wang, H.X. Effects of vacuum packaging on enzymatic browning and ethylene response factor (ERF) gene expression of fresh-cut lotus root. HortScience 2019, 54, 331–336. [Google Scholar] [CrossRef]
- Xu, S.D.; Geng, X.M.; Wang, L.L. A review of the structure, function and expression regulation of ethylene response factors (ERF) in plant. J. Zhejiang AF Univ. 2021, 38, 624–633. [Google Scholar]
- Gao, Y.; Yang, Y.L.; Li, M.Z.; He, L.X.; Li, H. Cloning, bioinformatic analysis and expression vector construction of broccoli WRI4 gene. Jiangsu Agric. Sci. 2021, 37, 710–717. (In Chinese) [Google Scholar]
- Sharma, V.; Gupta, S.K.; Verma, M. Dihydropyrimidine dehydrogenase in the metabolism of the anticancer drugs. Cancer Chemother. Pharm. 2019, 84, 1157–1166. [Google Scholar] [CrossRef]
- Davey, J.W.; Hohenlohe, P.A.; Etter, P.D.; Boone, J.Q.; Catchen, J.M.; Blaxter, M.L. Genome-wide genetic marker discovery and genotyping using next-generation sequencing. Nat. Rev. Genet. 2011, 12, 499–510. [Google Scholar] [CrossRef]
- Bradbury, P.J.; Zhang, Z.; Kroon, D.E.; Casstevens, T.M.; Ramdoss, Y.; Buckler, E.S. Tassel: Software for association mapping of complex traits in diverse samples. Bioinformatics 2007, 23, 2633–2635. [Google Scholar] [CrossRef]
- Kang, H.M.; Sul, J.H.; Service, S.K.; Zaitlen, N.A.; Kong, S.Y.; Freimer, N.B.; Sabatti, C.; Eskin, E. Variance component model to account for sample structure in genome-wide association studies. Nat. Genet. 2010, 42, 348–354. [Google Scholar] [CrossRef]
- Hardy, O.J.; Vekemans, X. Spagedi: A versatile computer program to analyse spatial genetic structure at the individual or population levels. Mol. Ecol. Notes 2002, 2, 618–620. [Google Scholar] [CrossRef]
- Dong, S.S.; He, W.M.; Ji, J.J.; Zhang, C.; Guo, Y.; Yang, T.L. LDBlockShow: A fast and convenient tool for visualizing linkage disequilibrium and haplotype blocks based on variant call format files. Brief. Bioinform. 2021, 2, bbaa227. [Google Scholar] [CrossRef]
- Lu, J.; Hou, J.; Ouyang, Y.; Luo, H.; Zhao, J.H.; Mao, C.; Han, M.; Wang, L.; Xiao, J.H.; Yang, Y.Y.; et al. A direct PCR-based SNP marker–assisted selection system (D-MAS) for different crops. Mol. Breed. 2020, 40, 9. [Google Scholar] [CrossRef]
- Boote, K.J. Growth stages of peanut (Arachis hypogaea L.). Peanut Sci. 1982, 9, 35–40. [Google Scholar] [CrossRef]












| Traits | Environment | Maximum | Minimum | Mean | SD | CV | H2 |
|---|---|---|---|---|---|---|---|
| Palmitic acid (%) | LX | 19.67 | 11.81 | 16.17 | 1.35 | 5.53 | 0.84 |
| DY | 18.74 | 11.26 | 15.63 | 1.2 | |||
| HZ | 18.81 | 10.94 | 14.52 | 1.71 | |||
| BLUP | 18.38 | 13.13 | 15.46 | 0.84 | |||
| Stearic acid (%) | LX | 6.71 | 2.18 | 4.52 | 0.86 | 7.96 | 0.85 |
| DY | 6.79 | 1.95 | 4.39 | 0.83 | |||
| HZ | 6.47 | 1.98 | 4.45 | 0.85 | |||
| BLUP | 5.91 | 2.98 | 4.48 | 0.35 | |||
| Oleic acid (%) | LX | 52.02 | 28.89 | 38.97 | 5.36 | 5.22 | 0.92 |
| DY | 47.32 | 28.76 | 36.18 | 4.61 | |||
| HZ | 49.58 | 29.75 | 38.85 | 5.62 | |||
| BLUP | 48.13 | 30.8 | 37.97 | 2 | |||
| Linoleic acid (%) | LX | 42.48 | 23.06 | 34.65 | 4.38 | 5.24 | 0.92 |
| DY | 45.14 | 30.29 | 37.84 | 3.83 | |||
| HZ | 45.84 | 26.09 | 36.52 | 5.05 | |||
| BLUP | 43.03 | 28.53 | 36.35 | 1.87 | |||
| Arachidic acid (%) | LX | 2.42 | 1.07 | 1.74 | 0.25 | 5.69 | 0.84 |
| DY | 2.38 | 1.06 | 1.72 | 0.23 | |||
| HZ | 2.36 | 1.06 | 1.76 | 0.23 | |||
| BLUP | 2.24 | 1.2 | 1.74 | 0.1 | |||
| Arachidonic acid (%) | LX | 1.45 | 0.2 | 0.61 | 0.2 | 10.05 | 0.85 |
| DY | 1.33 | 0.41 | 0.67 | 0.19 | |||
| HZ | 1.14 | 0.31 | 0.62 | 0.17 | |||
| BLUP | 1.19 | 0.41 | 0.63 | 0.06 | |||
| Behenic acid (%) | LX | 3.68 | 1.26 | 2.64 | 0.46 | 8.03 | 0.79 |
| DY | 4.28 | 1.58 | 2.64 | 0.53 | |||
| HZ | 3.78 | 1.36 | 2.49 | 0.46 | |||
| BLUP | 3.4 | 1.77 | 2.58 | 0.21 | |||
| Lignoceric acid (%) | LX | 1.09 | 0.2 | 0.59 | 0.17 | 13.06 | 0.74 |
| DY | 1.2 | 0.25 | 0.69 | 0.2 | |||
| HZ | 1.13 | 0.31 | 0.65 | 0.15 | |||
| BLUP | 0.89 | 0.43 | 0.65 | 0.09 | |||
| Heptadecanoic acid (%) | LX | 0.16 | 0.00 | 0.06 | 0.04 | 4.65 | 0.71 |
| DY | 0.28 | 0.01 | 0.10 | 0.04 | |||
| HZ | 0.13 | 0.00 | 0.06 | 0.03 | |||
| BLUP | 0.02 | −0.01 | 0.000008 | 0.004 |
| Traits | Formula | Chromosome | SNP Marker | −log10P | Candidate Gene | Regions |
|---|---|---|---|---|---|---|
| Palmitic acid | C16:0 | 05 | 29837874 | 6.01 | Z0ELT9_29894459_29894933; 94M007_29703175_29707896 | intergenic_region; intergenic_region |
| Heptadecanoic acid | C17:0 | 13 | 76312411 | 7.11 | 19YNSD_75079855_75095251; 4AY3MY_76555084_76557170 | intergenic_region; intergenic_region |
| Oleic acid | C18:1 | 09 | 114431906 | 18.91 | Q6VS78_114441903_114454826; EZ44CQ_114398207_114402961 | intergenic_region; intergenic_region |
| Oleic acid | C18:1 | 09 | 114195009 | 16.51 | 42CZAS_114192195_114195899; NEG1KJ_114197025_114199514 | missense_variant; upstream_gene_variant |
| Oleic acid | C18:1 | 09 | 114966251 | 11.53 | JYC97M_114964545_114971892 | missense_variant |
| Oleic acid | C18:1 | 09 | 113238925 | 11.36 | W8BHQ1_113237385_113243056 | missense_variant |
| Oleic acid | C18:1 | 19 | 155180119 | 13.01 | X7PJ8H_155166355_155175712; 27N6DD_155178523_155181610 | upstream_gene_variant; missense_variant |
| Oleic acid | C18:1 | 19 | 155129095 | 12.52 | MZJT69_155128975_155136731; 96PB6J_155123874_155125079 | missense_variant; upstream_gene_variant |
| Oleic acid | C18:1 | 19 | 155194719 | 11.81 | M9I28E_155193126_155195795 | missense_variant |
| Oleic acid | C18:1 | 19 | 155097696 | 7.86 | HNK57V_155093492_155094611; H41NY2_155096003_155098040; 2TIK4C_155088309_155093083 | upstream_gene_variant; missense_variant; upstream_gene_variant |
| Linoleic acid | C18:2 | 09 | 114150503 | 16.86 | 04JNDX_114163849_114165495; HL6BNW_114136486_114141437 | intergenic_region; intergenic_region |
| Linoleic acid | C18:2 | 09 | 114038775 | 16.52 | BKP6F9_114036941_114040904; MQG1NS_114028309_114036421; DNVP1U_114042573_114046728 | intron_variant; downstream_gene_variant; downstream_gene_variant |
| Stearic acid/arachidic acid | C18:0/C20:0 | 17 | 2012490 | 6.93 | ZV39IJ_2005402_2013748 | intron_variant |
| Stearic acid/arachidic acid | C18:0/C20:0 | 14 | 93225212 | 6.57 | 1D7P49_4778370_4784309 | upstream_gene_variant |
| Gadoleic acid | C20:1 | 18 | 47706703 | 6.33 | BHV928_48473410_48481907; F9E3EA_47603978_47613948 | intergenic_region; intergenic_region |
| Behenic acid | C22:0 | 02 | 11398245 | 7.55 | RVN5Z1_11401650_11402727 | upstream_gene_variant |
| Behenic acid | C22:0 | 03 | 89552794 | 5.12 | U2P2B1_89414239_89414749; RT27P1_89571644_89576434 | intergenic_region; intergenic_region |
| Lignoceric acid | C24:0 | 08 | 47143843 | 6.17 | X9ZZC1_47160111_47162179; CJP1WL_47130716_47133118 | intergenic_region; intergenic_region |
| Lignoceric acid | C24:0 | 15 | 139394619 | 6.51 | U6RNCV_139428034_139433066; 4KZ99U_139272115_139273282 | intergenic_region; intergenic_region |
| Chr. | SNP Position | Associated Traits | WGRS Genotypes | Genotypes No. | PARMS Genotype | Fluorescent Labels | p-Values (Phenotypic Differences between Genotypes) | Correlation (r) between WGRS and PARMS Genotyping |
|---|---|---|---|---|---|---|---|---|
| 09 | 114195009 | oleic acid (C18:1)/linoleic acid (C18:2) | Absent; AG; AA; GG | 13; 1; 69; 75 | AA/GG | FAM(76H)/HEX(83L) | 3.58586 × 10−46/ 1.01058 × 10−38 | 0.942617367 |
| 09 | 114966251 | oleic acid (C18:1)/linoleic acid (C18:2) | Absent; GA; AA; GG | 10; 1; 73; 74 | GG/AA | FAM (82L)/HEX(77H) | 4.58 × 10−38 | 0.812028955 |
| 05 | 29837874 | palmitic acid (C16:0) | Absent; GA; AA; GG | 0; 1; 66; 91 | GG/AA | FAM | -- | 2.52572E-34 |
| 01 | 100102638 | heptadecanoic acid (C17:0) | Absent; CT; TC; TT; CC | 0; 1; 3; 56; 98 | CC/TT | FAM (101L)/HEX (57H) | 8.65 × 10−5 | 0.958436351 |
| 17 | 2012490 | arachidic acid (C20:0) | Absent; TC; TT; CC | 0; 2; 55; 101 | CC/TT | FAM (72H)/HEX (85L) | 0.469692082 | 0.900815724 |
| 18 | 47706703 | gadoleic acid (C20:1) | Absent; AG; GA; GG; AA | 0; 1; 1; 67; 89 | GG/AA | FAM (72H)/HEX (85L) | 0.007222919 | 0.767613482 |
| 03 | 89552794 | behenic acid (C22:0) | Absent; TT; CC | 0; 75; 83 | CC/TT | FAM (83H)/HEX(76L) | 0.038232227 | 0.718998755 |
| 08 | 47143843 | lignoceric acid (C24:0) | Absent; GA; GG; AA | 0; 1; 60; 97 | AA/GG | FAM (97H)/HEX(62L) | 4.10 × 10−7 | 0.941170491 |
| 15 | 139394619 | lignoceric acid (C24:0) | Absent; GG; AA | 0; 63; 95 | AA/GG | FAM(94H)/HEX(65L) | 7.00 × 10−6 | 0.680423542 |
Disclaimer/Publisher’s Note: The statements, opinions and data contained in all publications are solely those of the individual author(s) and contributor(s) and not of MDPI and/or the editor(s). MDPI and/or the editor(s) disclaim responsibility for any injury to people or property resulting from any ideas, methods, instructions or products referred to in the content. |
© 2023 by the authors. Licensee MDPI, Basel, Switzerland. This article is an open access article distributed under the terms and conditions of the Creative Commons Attribution (CC BY) license (https://creativecommons.org/licenses/by/4.0/).
Share and Cite
Wang, J.; Chen, H.; Li, Y.; Shi, D.; Wang, W.; Yan, C.; Yuan, M.; Sun, Q.; Chen, J.; Mou, Y.; et al. Identification of Quantitative Trait Nucleotides and Development of Diagnostic Markers for Nine Fatty Acids in the Peanut. Plants 2024, 13, 16. https://doi.org/10.3390/plants13010016
Wang J, Chen H, Li Y, Shi D, Wang W, Yan C, Yuan M, Sun Q, Chen J, Mou Y, et al. Identification of Quantitative Trait Nucleotides and Development of Diagnostic Markers for Nine Fatty Acids in the Peanut. Plants. 2024; 13(1):16. https://doi.org/10.3390/plants13010016
Chicago/Turabian StyleWang, Juan, Haoning Chen, Yuan Li, Dachuan Shi, Wenjiao Wang, Caixia Yan, Mei Yuan, Quanxi Sun, Jing Chen, Yifei Mou, and et al. 2024. "Identification of Quantitative Trait Nucleotides and Development of Diagnostic Markers for Nine Fatty Acids in the Peanut" Plants 13, no. 1: 16. https://doi.org/10.3390/plants13010016
APA StyleWang, J., Chen, H., Li, Y., Shi, D., Wang, W., Yan, C., Yuan, M., Sun, Q., Chen, J., Mou, Y., Qu, C., & Shan, S. (2024). Identification of Quantitative Trait Nucleotides and Development of Diagnostic Markers for Nine Fatty Acids in the Peanut. Plants, 13(1), 16. https://doi.org/10.3390/plants13010016

