A Multifaceted Evaluation Approach for Greek Native Neglected and Underutilized Forest Fruit Trees and Shrubs as Natural Sources of Antioxidants: Consolidating the Framework for Their Sustainable Agronomic Exploitation
Abstract
1. Introduction
2. Results and Discussion
2.1. Bridging Extant Research Gaps with Ex Situ Cultivation Trials
2.2. From Wild Species to Successfully Domesticated and Sustainably Managed New Crops
2.3. Stepping Forward for the Sustainable Exploitation of the Studied NUPs
3. Materials and Methods
3.1. Comparative Evaluation of the Multifaceted Potential of the Greek Native Germplasm
3.1.1. Authorized Access to the Wild-Growing Greek Native Germplasm and Documentation
3.1.2. Different Axes for the Evaluation of the Multifaceted Potential of the Focal NUPs
- Molecular authentication potential: The establishment of a distinct genetic identity as an essential part of the documentation of the collected population samples was conducted via DNA barcoding using the ITS2 barcode region and respective phylogenetic relationships [12,24,25,48]. The work resulted in the genetic fingerprint of all documented Greek genotypes compared to other known genotypes of the same species deposited at the NCBI originating from other regions [12,24,25,48].
- Phytochemical potential: The phytochemical potential of the documented Greek genotypes of each focal species was assessed on the basis of available ripe fruit samples via four basic indicators of antioxidant potency, namely total phenolic content (TPC), antioxidant activity (AA), total flavonoids (TF), and vitamin C content for R. canina [12], C. mas [25], A. ovalis [26], and S. nigra [49]. The extant data sourced herein consider antioxidant activity (AA) and total phenolic content (TPC) measured among different population samples (genotypes) of all focal NUPs (Table 3).
- Asexual propagation potential: The development of effective asexual propagation protocols was considered necessary for securing the production of initial material, safeguarding the steady transfer of the agronomical traits of each evaluated genotype. Asexual propagation via cuttings was attempted in population samples directly collected from the wild to facilitate ex situ conservation on one hand, and to secure the establishment of mother plant stock material for further experimentation, on the other hand, for all focal species [12,24,25,26]. The extant data sourced herein considers the rooting frequencies delivered by the experimentally developed protocols among different population samples (genotypes) of all focal NUPs (Table 3).
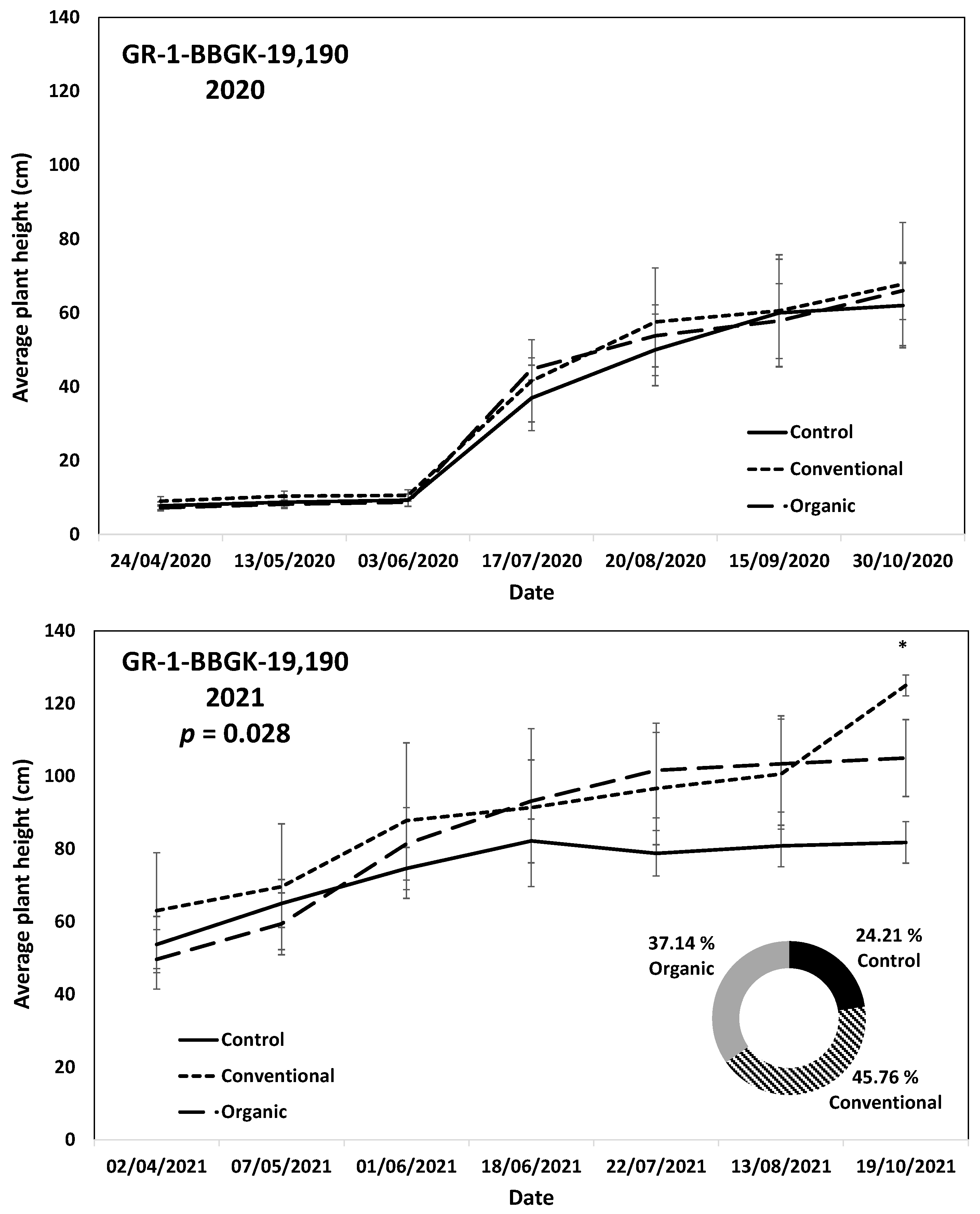
- Cultivation potential: Based on the results of the above attributes, selected genotypes from each focal species were established at an orchard-type pilot cultivation trial in 2020 [24,26], where the development of trees in terms of plant height coupled with fruit production under different fertilization regimes was assessed, aimed at the development of customized cultivation protocols for each species (Table 3). Tree growth was measured continually for three years (2020–2022) and is still ongoing for A. ovalis [26], S. nigra [24], R. canina, and C. mas. The results of the ex situ trial cultivation of R. canina and C. mas are presented for the first time herein, as well as the 2nd year’s data for S. nigra. The ex situ cultivation data for R. canina, C. mas, and S. nigra were obtained from a field cultivation trial that took place on the grounds of the IPBGR, ELGO-Dimitra in Thermi, metropolitan Thessaloniki, Greece (40.534934 N, 23.002401 E, 40 m elevation). The trial commenced in March 2020 when cutting-originated plants were planted in a medium composition loamy soil with 34% clay, 48% sand, and 1.37% organic matter. The climatic conditions at the trial site were generally Mediterranean with continental features. Four genotypes of R. canina, one genotype of C. mas, and nine genotypes of S. nigra were tested against three fertilization regimes: no fertilization (control), conventional crop fertilization rich in N, and organic crop fertilization consisting of standardized organic fertilizers containing, among others, a plethora of organic acids, amino acids, humic acid, and nitrogen, and applied gradually over each growing season. The fertilization regimes were empirically designed and were applied throughout the first two growing seasons until 18 months after planting in 2020 and 2021 (as described in Karapatzak et al. [24,26]). The juvenile growth of young trees was assessed via measurement of plant height (cm) at regular intervals during the first 18 months after planting, allowing the estimation of a growth rate (%) for a period from 6 to 18 months. In addition, the onset of fruit production was recorded. Therefore, the data on field cultivation potential herein include the following for each NUP: (a) tree establishment in terms of juvenile tree height reached at 18 months after planting coupled with juvenile tree development in terms of increase (%) in height from 6–18 months after planting, and (b) the onset of fruit production in terms of temporal distance from initial planting (i.e., after how many years or growth seasons after planting trees started to fruit).
3.1.3. Scoring of Multifaceted Potential with Attributes after Comparative Meta-Analysis
3.2. Feasibility and Readiness Timescale Evaluation for Sustainable Exploitation
4. Conclusions
Supplementary Materials
Author Contributions
Funding
Institutional Review Board Statement
Data Availability Statement
Acknowledgments
Conflicts of Interest
References
- Zhou, Y.; Jiang, Z.; Lu, H.; Xu, Z.; Tong, R.; Shi, J.; Jia, G. Recent advances of natural polyphenols activators for Keap1-Nrf2 signaling pathway. Chem. Biodivers. 2019, 16, e1900400. [Google Scholar] [CrossRef] [PubMed]
- Di Meo, S.; Venditti, P. Evolution of the knowledge of free radicals and other oxidants. Oxid. Med. Cell. Longev. 2020, 2020, 9829176. [Google Scholar] [CrossRef] [PubMed]
- Gulcin, İ. Antioxidants and antioxidant methods: An updated overview. Arch. Toxicol. 2020, 94, 651–715. [Google Scholar] [CrossRef] [PubMed]
- Ahmadinejad, F.; Geir Møller, S.; Hashemzadeh-Chaleshtori, M.; Bidkhori, G.; Jami, M.-S. Molecular mechanisms behind free radical scavengers function against oxidative stress. Antioxidants 2017, 6, 51. [Google Scholar] [CrossRef] [PubMed]
- Durazzo, A.; Lucarini, M.; Souto, E.B.; Cicala, C.; Caiazzo, E.; Izzo, A.A.; Novellino, E.; Santini, A. Polyphenols: A concise overview on the chemistry, occurrence, and human health. Phytother. Res. 2019, 33, 2221–2243. [Google Scholar] [CrossRef]
- Oyenihi, A.B.; Smith, C. Are polyphenol antioxidants at the root of medicinal plant anti-cancer success? J. Ethnopharmacol. 2019, 229, 54–72. [Google Scholar] [CrossRef]
- Gasmi, A.; Mujawdiya, P.K.; Noor, S.; Lysiuk, R.; Darmohray, R.; Piscopo, S.; Lenchyk, L.; Antonyak, H.; Dehtiarova, K.; Shanaida, M.; et al. Polyphenols in metabolic diseases. Molecules 2022, 27, 6280. [Google Scholar] [CrossRef]
- Hajkowicz, S. Global Megatrends: Seven Patterns of Change Shaping Our Future; CSIRO Publishing: Clayton, Australia, 2015. [Google Scholar]
- Cole, M.B.; Augustin, M.A.; Robertson, M.J.; Manners, J.M. The science of food security. NPJ Sci. Food 2018, 2, 14. [Google Scholar] [CrossRef]
- Botu, M.; Botu, I.; Achim, G.; Preda, S.; Scutelnicu, A.; Giura, S. Conservation of fruit tree genetic resources and their use in the breeding process. Ann. Valahia Univ. Targoviste 2017, 11, 66–69. [Google Scholar] [CrossRef]
- Libiad, M.; Khabbach, A.; El Haissoufi, M.; Anestis, I.; Lamchouri, F.; Bourgou, S.; Megdiche-Ksouri, W.; Ghrabi-Gammar, Z.; Greveniotis, V.; Tsiripidis, I.; et al. Agro-Alimentary potential of the neglected and underutilized local endemic plants of Crete (Greece), Rif-Mediterranean Coast of Morocco and Tunisia: Perspectives and challenges. Plants 2021, 10, 1770. [Google Scholar] [CrossRef]
- Maloupa, E.; Karapatzak, E.; Ganopoulos, I.; Karydas, A.; Papanastasi, K.; Kyrkas, D.; Yfanti, P.; Nikisianis, N.; Zahariadis, A.; Kosma, I.S.; et al. Molecular authentication, phytochemical evaluation and asexual propagation of wild-growing Rosa canina L. (Rosaceae) genotypes of Northern Greece for sustainable exploitation. Plants 2021, 10, 2634. [Google Scholar] [CrossRef] [PubMed]
- Pipinis, E.; Hatzilazarou, S.; Kostas, S.; Bourgou, S.; Megdiche-Ksouri, W.; Ghrabi-Gammar, Z.; Libiad, M.; Khabbach, A.; El Haissoufi, M.; Lamchouri, F.; et al. Facilitating conservation and bridging gaps for the sustainable exploitation of the Tunisian local endemic plant Marrubium aschersonii (Lamiaceae). Sustainability 2022, 14, 1637. [Google Scholar] [CrossRef]
- Krigas, N.; Tsoktouridis, G.; Anestis, I.; Khabbach, A.; Libiad, M.; Megdiche-Ksouri, W.; Ghrabi-Gammar, Z.; Lamchouri, F.; Tsiripidis, I.; Tsiafouli, M.A.; et al. Exploring the potential of neglected local endemic plants of three Mediterranean regions in the ornamental sector: Value chain feasibility and readiness timescale for their sustainable exploitation. Sustainability 2021, 13, 2539. [Google Scholar] [CrossRef]
- Piergiovanni, A.R. Ex situ conservation of plant genetic resources: An overview of chickpea (Cicer arietinum L.) and lentil (Lens culinaris Medik.) worldwide collections. Diversity 2022, 14, 941. [Google Scholar] [CrossRef]
- Eastwood, R.J.; Tambam, B.B.; Aboagye, L.M.; Akparov, Z.I.; Aladele, S.E.; Allen, R.; Amri, A.; Anglin, N.L.; Araya, R.; Arrieta-Espinoza, G.; et al. Adapting agriculture to climate change: A synopsis of coordinated national crop wild relative seed collecting programs across five continents. Plants 2022, 11, 1840. [Google Scholar] [CrossRef] [PubMed]
- Padulosi, S.; Thompson, J.; Rudebjer, P. Fighting Poverty, Hunger and Malnutrition with Neglected and Underutilized Species (NUS): Needs, Challenges and the Way forward; Biodiversity International: Rome, Italy, 2013; p. 56. ISBN 978-92-9043-941-7. [Google Scholar]
- Ebert, A.W. Potential of underutilized traditional vegetables and legume crops to contribute to food and nutritional security, income and more sustainable production systems. Sustainability 2014, 6, 319–335. [Google Scholar] [CrossRef]
- Baldermann, S.; Blagojevic, L.; Frede, K.; Klopsch, R.; Neugart, S.; Neumann, A.; Ngwene, B.; Norkeweit, J.; Schröter, D.; Schröter, A.; et al. Are neglected plants the food for the future? Crit. Rev. Plant Sci. 2016, 35, 106–119. [Google Scholar] [CrossRef]
- FAO. Promoting Neglected and Underutilized Crop Species. 2017. Available online: http://www.fao.org/news/story/en/item/1032516/icode/ (accessed on 5 February 2023).
- Czyżewski, B.; Matuszczak, A.; Miśkiewicz, R. Public goods versus the farm price-cost squeeze: Shaping the sustainability of the EU’s common agricultural policy. Technol. Econ. Dev. 2019, 25, 82–102. [Google Scholar] [CrossRef]
- Elleby, C.; Domínguez, I.P.; Adenauer, M.; Genovese, G. Impacts of the COVID-19 pandemic on the global agricultural markets. Environ. Resour. Econ. 2020, 76, 1067–1079. [Google Scholar] [CrossRef]
- Ben Hassen, T.; El Bilali, H. Impacts of the Russia-Ukraine War on global food security: Towards more sustainable and resilient food systems? Foods 2022, 11, 2301. [Google Scholar] [CrossRef]
- Karapatzak, E.; Dichala, O.; Ganopoulos, I.; Karydas, A.; Papanastasi, K.; Kyrkas, D.; Yfanti, P.; Nikisianis, N.; Fotakis, D.; Patakioutas, G.; et al. Molecular authentication, propagation trials and field establishment of Greek native genotypes of Sambucus nigra L. (Caprifoliaceae): Setting the basis for domestication and sustainable utilization. Agronomy 2022, 12, 114. [Google Scholar] [CrossRef]
- Karapatzak, E.; Krigas, N.; Ganopoulos, I.; Papanastasi, K.; Kyrkas, D.; Yfanti, P.; Nikisianis, N.; Karydas, A.; Manthos, I.; Kosma, I.S.; et al. Documenting Greek indigenous germplasm of cornelian cherry (Cornus mas L.) for sustainable utilization: Molecular authentication, asexual propagation, and phytochemical evaluation. Plants 2022, 11, 1345. [Google Scholar] [CrossRef] [PubMed]
- Karapatzak, E.; Papagrigoriou, T.; Papanastasi, K.; Dichala, O.; Karydas, A.; Nikisianis, N.; Patakioutas, G.; Lazari, D.; Krigas, N.; Maloupa, E. From the Wild to the Field: Documentation, Propagation, Pilot Cultivation, Fertilization, and Phytochemical Evaluation of the Neglected and Underutilized Amelanchier ovalis Medik. (Rosaceae). Plants 2023, 12, 1142. [Google Scholar] [CrossRef]
- Cosmulescu, S.; Trandafir, I.; Cornescu, F. Antioxidant capacity, total phenols, total flavonoids and color component of Cornelian cherry (Cornus mas L.) wild genotypes. Not. Bot. Horti Agrobot. Cluj-Napoca 2018, 47, 390–394. [Google Scholar] [CrossRef]
- Fattahi, S.; Jamei, R.; Hosseini Sarghein, S. Antioxidant and antiradical activities of Rosa canina and Rosa pimpinellifolia fruits from West Azerbaijan. Iran. J. Plant Physiol. 2012, 2, 523–529. [Google Scholar]
- Boroduske, A.; Jekabsons, K.; Riekstina, U.; Muceniece, R.; Rostoks, N.; Nakurte, I. Wild Sambucus nigra L. from north-east edge of the species range: A valuable germplasm with inhibitory capacity against SARS-CoV2 S-protein RBD and hACE2 binding in vitro. Ind. Crops Prod. 2021, 165, 113438. [Google Scholar] [CrossRef] [PubMed]
- Klymenko, S.; Kucharska, A.Z.; Sokół-Łętowska, A.; Piórecki, N.; Przybylska, D.; Grygorieva, O. Iridoids, flavonoids, and antioxidant capacity of Cornus mas, C. officinalis, and C. mas × C. officinalis fruits. Biomolecules 2021, 11, 776. [Google Scholar] [CrossRef]
- Bourgou, S.; Ben Haj Jilani, I.; Karous, O.; Megdiche-Ksouri, W.; Ghrabi-Gammar, Z.; Libiad, M.; Khabbach, A.; El Haissoufi, M.; Lamchouri, F.; Greveniotis, V.; et al. Medicinal-cosmetic potential of the local endemic plants of Crete (Greece), Northern Morocco and Tunisia: Priorities for conservation and sustainable exploitation of neglected and underutilized phytogenetic resources. Biology 2021, 10, 1344. [Google Scholar] [CrossRef]
- Kloukina, C.; Tomou, E.M.; Krigas, N.; Sarropoulou, V.; Madesis, P.; Maloupa, E.; Skaltsa, H. Non-polar secondary metabolites and essential oil of ex situ propagated and cultivated Sideritis syriaca L. subsp. syriaca (Lamiaceae) with consolidated identity (DNA Barcoding): Towards a potential new industrial crop. Ind. Crops Prod. 2020, 158, 112957. [Google Scholar] [CrossRef]
- Ochmian, I.; Kubus, M.; Dobrowolska, A. Description of plants and assessment of chemical properties of three species from the Amelanchier genus. Dendrobiology 2013, 70, 59–64. [Google Scholar] [CrossRef]
- Asyakina, L.; Atuchin, V.; Drozdova, M.; Kozlova, O.; Prosekov, A. Ex vivo and in vitro antiaging and antioxidant extract activity of the Amelanchier ovalis from Siberia. Int. J. Mol. Sci. 2022, 23, 15156. [Google Scholar] [CrossRef] [PubMed]
- Yilmaz, K.U.; Ercisli, S.; Zengin, Y.; Sengul, M.; Kafkas, E. Preliminary characterisation of cornelian cherry (Cornus mas L.) genotypes for their physico-chemical properties. Food Chem. 2009, 114, 408–412. [Google Scholar] [CrossRef]
- Bijelić, S.M.; Gološin, B.R.; Ninić Todorović, J.I.; Cerović, S.B.; Popović, B.M. Physicochemical fruit characteristics of Cornelian cherry (Cornus mas L.) genotypes from Serbia. Hortscience 2011, 46, 849–853. [Google Scholar] [CrossRef]
- Moldovan, B.; Filip, A.; Clichici, S.; Suharoschi, R.; Bolfa, P.; David, L. Antioxidant activity of Cornelian cherry (Cornus mas L.) fruits extract and the in vivo evaluation of its anti-inflammatory effects. J. Funct. Foods 2016, 26, 77–87. [Google Scholar] [CrossRef]
- Szczepaniak, O.Μ.; Kobus-Cisowska, J.; Kusek, W.; Przeor, M. Functional properties of Cornelian cherry (Cornus mas L.): A comprehensive review. Eur. Food Res. Technol. 2019, 245, 2071–2087. [Google Scholar] [CrossRef]
- Bayram, H.M.; Ozturkcan, S.A. Bioactive components and biological properties of Cornelian cherry (Cornus mas L.): A comprehensive review. J. Funct. Foods 2020, 75, 104252. [Google Scholar] [CrossRef]
- Stikoudi, M.; Maloupa, E.; Lazari, D.; Krigas, N. Aromagarden and Cooking for Wellness: Discovering Secrets of Mediterranean Plants, 1st ed.; i-Print: Thessaloniki, Greece, 2016; ISBN 978-960-93-8476-6. [Google Scholar]
- Ayati, Z.; Amiri, M.S.; Ramezani, M.; Delshad, E.; Sahebkar, A.; Emami, S.A. Phytochemistry, traditional uses and pharmacological profile of rose hip: A review. Curr. Pharm. Des. 2018, 24, 4101–4124. [Google Scholar] [CrossRef] [PubMed]
- Paunović, D.; Kalušević, A.; Petrović, T.; Urošević, T.; Djinović, D.; Nedović, V.; Popović-Djordjević, J. Assessment of chemical and antioxidant properties of fresh and dried rosehip (Rosa canina L.). Not. Bot. Horti Agrobot. Cluj-Napoca 2018, 47, 108–113. [Google Scholar] [CrossRef]
- Gruenwald, J.; Uebelhack, R.; Moré, M.I. Rosa canina—Rose hip pharmacological ingredients and molecular mechanics counteracting osteoarthritis—A systematic review. Phytomedicine 2019, 60, 152958. [Google Scholar] [CrossRef]
- Kerasioti, E.; Apostolou, A.; Kafantaris, I.; Chronis, K.; Kokka, E.; Dimitriadou, C.; Tzanetou, E.N.; Priftis, A.; Koulocheri, S.D.; Haroutounian, S.A.; et al. Polyphenolic composition of Rosa canina, Rosa sempervivens and Pyrocantha coccinea extracts and assessment of their antioxidant activity in human endothelial cells. Antioxidants 2019, 8, 92. [Google Scholar] [CrossRef]
- Hawkins, J.; Baker, C.; Cherry, L.; Dunne, E. Black elderberry (Sambucus nigra) supplementation effectively treats upper respiratory symptoms: A meta-analysis of randomized, controlled clinical trials. Complement. Ther. Med. 2019, 42, 361–365. [Google Scholar] [CrossRef] [PubMed]
- Młynarczyk, K.; Walkowiak-Tomczak, D.; Łysiak, G.P. Bioactive properties of Sambucus nigra L. as a functional ingredient for food and pharmaceutical industry. J. Funct. Foods 2018, 40, 377–390. [Google Scholar] [CrossRef] [PubMed]
- Domínguez, R.; Zhang, L.; Rocchetti, G.; Lucini, L.; Pateiro, M.; Munekata, P.E.S.; Lorenzo, J.M. Elderberry (Sambucus nigra L.) as potential source of antioxidants. Characterization, optimization of extraction parameters and bioactive properties. Food Chem. 2020, 330, 127266. [Google Scholar] [CrossRef]
- EcoVariety. Final report of Deliverable 2.11 (Genetic Authentication of Greek Native Fruit Trees and Shrubs) of the Project “Highlighting of Local Traditional and Native Wild Fruit Trees and Shrubs” (EcoVariety), Operational Program Competitiveness, Entrepreneurship and Innovation, RESEARCH—CREATE—INNOVATE Project Code: T1EDK-05434. Thessaloniki, Greece. 2022. Available online: https://ecovariety.gr/paradotea/#1623232233362-633e8ec9-8c96; https://ecovariety.gr/wp-content/uploads/2022/05/%CE%A011_Ecovariety%20%CE%95%CE%9B%CE%93%CE%9F.pdf (accessed on 11 January 2023). (In Greek).
- EcoVariety. Final Report of Deliverable 2.13 (Phytochemical Analysis of Edible Plant Parts, Leaves and Flowers of Greek Native Fruit Trees and Shrubs) of the Project “Highlighting of Local Traditional and Native Wild Fruit Trees and Shrubs” (EcoVariety), Operational Program Competitiveness, Entrepreneurship and Innovation, RESEARCH—CREATE—INNOVATE Project Code: T1EDK-05434. Thessaloniki, Greece. 2022. Available online: https://ecovariety.gr/paradotea/#1623232233362-633e8ec9-8c96; https://ecovariety.gr/wp-content/uploads/2022/05/%CE%A013_Ecovariety%20%CE%95%CE%9B%CE%93%CE%9F.pdf (accessed on 12 January 2023). (In Greek).
- Martínez-Mena, M.; Garcia-Franco, N.; Almagro, M.; Ruiz-Navarro, A.; Albaladejo, J.; de Aguilar, J.M.; Gonzalez, D.; Querejeta, J.I. Decreased foliar nitrogen and crop yield in organic rainfed almond trees during transition from reduced tillage to no-tillage in a dryland farming system. Europ. J. Agron. 2013, 49, 149–157. [Google Scholar] [CrossRef]
- Chatzistathis, T.; Papadakis, I.E.; Papaioannou, A.; Chatzissavvidis, C.; Giannakoula, A. Comparative study effects between manure application and a controlled-release fertilizer on the growth, nutrient uptake, photosystem II activity and photosynthetic rate of Olea europaea L. (cv. ‘Koroneiki’). Sci. Hortic. 2020, 264, 109176. [Google Scholar] [CrossRef]
- Arrobas, M.; Ribeiro, A.; Barreales, D.; Pereira, E.L.; Rodrigues, M.Â. Soil and foliar nitrogen and boron fertilization of almond trees grown under rainfed conditions. Europ. J. Agron. 2019, 106, 39–48. [Google Scholar] [CrossRef]
- Sete, P.B.; Comin, J.J.; Ciotta, M.N.; Salume, J.A.; Thewes, F.; Brackmann, A.; Toselli, M.; Nava, G.; Rozane, D.E.; Loss, A.; et al. Nitrogen fertilization affects yield and fruit quality in pear. Sci. Hortic. 2019, 258, 108782. [Google Scholar] [CrossRef]
- Rosati, A.; Paoletti, A.; Al Hariri, R.; Morelli, A.; Famiani, F. Resource investments in reproductive growth proportionately limit investments in whole-tree vegetative growth in young olive trees with varying crop loads. Tree Physiol. 2018, 38, 1267–1277. [Google Scholar] [CrossRef]
- Morugán-Coronado, A.; Linares, C.; Gómez-López, M.D.; Faz, Á.; Zornoza, R. The impact of intercropping, tillage and fertilizer type on soil and crop yield in fruit orchards under Mediterranean conditions: A meta-analysis of field studies. Agric. Syst. 2020, 178, 102736. [Google Scholar] [CrossRef]
- Madesis, P.; Ganopoulos, I.; Ralli, P.; Tsaftaris, A. Barcoding the major Mediterranean leguminous crops by combining universal chloroplast and nuclear DNA sequence targets. Genet. Mol. Res. 2012, 11, 2548–2558. [Google Scholar] [CrossRef]
- Medveckienė, B.; Kulaitienė, J.; Vaitkevičienė, N.; Levickienė, D.; Bunevičienė, K. Effect of harvesting in different ripening stages on the content of the mineral elements of rosehip (Rosa spp.) fruit flesh. Horticulturae 2022, 8, 467. [Google Scholar] [CrossRef]
- Cory, H.; Passarelli, S.; Szeto, J.; Tamez, M.; Mattei, J. The Role of polyphenols in human health and food systems: A mini-review. Front. Nutr. 2018, 5, 87. [Google Scholar] [CrossRef] [PubMed]
- Scoggins, H.L. Cutting propagation of perennials. In Cutting Propagation of Floral Crops; Dole, J., Gibson, J., Eds.; Ball Publishing: Batavia, IL, USA, 2006; pp. 173–185. [Google Scholar]
- Johnson, E.P.; Preece, J.E.; Aradhya, M.; Gradziel, T. Rooting response of Prunus wild relative semi-hardwood cuttings to indole-3-butyric acid potassium salt (KIBA). Sci. Hortic. 2020, 263, 109144. [Google Scholar] [CrossRef]
- Marković, M.; Grbić, M.; Djukić, M. Effects of cutting type and a method of IBA application on rooting of softwood cuttings from elite tree of cornelian cherry (Cornus mas L.) from Belgrade area. Glas. Sumar. Fak. 2014, 15, 105–120. [Google Scholar] [CrossRef]
- Koleva Gudeva, L.; Trajkova, F.; Mihajlov, L.; Troicki, J. Influence of different Auxins on rooting of rosemary, sage and elderberry. Annu. Res. Rev. Biol. 2017, 12, 1–8. [Google Scholar] [CrossRef]
- Charlebois, D.; Byers, P.L.; Finn, C.E.; Thomas, A.L. 4 Elderberry: Botany, Horticulture, Potential. Hortic. Rev. 2010, 37, 214–280. [Google Scholar] [CrossRef]
- Jarnagin, D.; Sarkhosh, A.; Popenoe, J.; Sargent, S.; Athearn, K. Elderberry and Elderflower (Sambucus spp.): A Cultivation Guide for Florida: HS1390, 10/2020. EDIS 2020, 5. Available online: https://edis.ifas.ufl.edu/publication/HS1390 (accessed on 10 February 2023).
- Jurečková, Z.; Diviš, P.; Cetkovská, J.; Vespalcová, M.; Pořízka, J.; Řezníček, V. Fruit characteristics of different varieties of cornelian cherry (Cornus mas L.) cultivated in the Czech Republic. Erwerbs-Obstbau 2021, 63, 143–149. [Google Scholar] [CrossRef]
- Foley, J.A.; Ramankutty, N.; Brauman, K.A.; Cassidy, E.S.; Gerber, J.S.; Johnston, M.; Mueller, N.D.; O’Connell, C.; Ray, D.K.; West, P.C.; et al. Solutions for a cultivated planet. Nature 2011, 478, 337–342. [Google Scholar] [CrossRef]
- Molotoks, A.; Smith, P.; Dawson, T.P. Impacts of land use, population, and climate change on global food security. Food Energy Secur. 2021, 10, e261. [Google Scholar] [CrossRef]
- Ercisli, S. A short review of the fruit germplasm resources of Turkey. Gen. Res. Crop Evol. 2004, 51, 419–435. [Google Scholar] [CrossRef]
- Verma, N.; Mohanty, A.; Lal, A. Pomegranate genetic resources and germplasm conservation: A review. Fruit Veg. Cereal Sci. Biotechnol. 2010, 4, 120–125. Available online: http://www.globalsciencebooks.info/Online/GSBOnline/images/2010/FVCSB_4(SI2)/FVCSB_4(SI2)120-125o.pdf (accessed on 31 January 2023).
- Manco, R.; Basile, B.; Capuozzo, C.; Scognamiglio, P.; Forlani, M.; Rao, R.; Corrado, G. Molecular and phenotypic diversity of traditional European plum (Prunus domestica L.) germplasm of Southern Italy. Sustainability 2019, 11, 4112. [Google Scholar] [CrossRef]
- Brindza, P.; Brindza, J.; Tóth, D.; Klimenko, S.V.; Grigorieva, O. Slovakian Cornelian cherry (Cornus mas L.): Potential for cultivation. Acta Hortic. 2007, 760, 433–437. [Google Scholar] [CrossRef]
- Kiprovski, B.; Malenčić, Đ.; Ljubojević, M.; Ognjanov, V.; Veberic, R.; Hudina, M.; Mikulic-Petkovsek, M. Quality parameters change during ripening in leaves and fruits of wild growing and cultivated elderberry (Sambucus nigra) genotypes. Sci. Hortic. 2021, 277, 109792. [Google Scholar] [CrossRef]
- Fan, C.; Pacier, C.; Martirosyan, D.M. Rose hip (Rosa canina L): A functional food perspective. J. Funct. Food Health Dis. 2014, 4, 493–509. [Google Scholar] [CrossRef]
- Nađpal, J.D.; Lesjak, M.M.; Šibul, F.S.; Anačkov, G.T.; Četojević-Simin, D.D.; Mimica-Dukić, N.M.; Beara, I.N. Comparative study of biological activities and phytochemical composition of two rose hips and their preserves: Rosa canina L. and Rosa arvensis Huds. Food Chem. 2016, 192, 907–914. [Google Scholar] [CrossRef]
- Hoşafçı, H.; Arslan, N.; Sarıhan, E.O. Propagation of dog roses (Rosa canina L.) by seed. Acta Hortic. 2004, 690, 159–164. [Google Scholar] [CrossRef]
- Alp, S.; Ipek, A.; Arslan, N. The effect of gibberellic acid on germination of rosehip seeds (Rosa canina L.). Acta Hortic. 2008, 885, 33–37. [Google Scholar] [CrossRef]
- Pawłowski, T.A.; Bujarska-Borkowska, B.; Suszka, J.; Tylkowski, T.; Chmielarz, P.; Klupczyńska, E.A.; Staszak, A.M. Temperature regulation of primary and secondary seed dormancy in Rosa canina L.: Findings from proteomic analysis. Int. J. Mol. Sci. 2020, 21, 7008. [Google Scholar] [CrossRef]
- Milosevic, T.; Zornic, B.; Glisic, I. A comparison of low-density and high-density plum plantings for differences in establishment and management costs, and in returns over the first three growing seasons–a mini-review. J. Hortic. Sci. Biotechnol. 2008, 83, 539–542. [Google Scholar] [CrossRef]
- Strano, A.; Irene De Luca, A.; Falcone, G.; Iofrida, N.; Stillitano, T.; Gulisano, G. Economic and environmental sustainability assessment of wine grape production scenarios in Southern Italy. Agric. Sci. 2013, 4, 12–20. [Google Scholar] [CrossRef]
- Roselli, L.; Casieri, A.; de Gennaro, B.C.; Sardaro, R.; Russo, G. Environmental and economic sustainability of table grape production in Italy. Sustainability 2020, 12, 3670. [Google Scholar] [CrossRef]
- Papagrigoriou, T.; Iliadi, P.; Mitic, M.; Mrmosanin, J.; Papanastasi, K.; Karapatzak, E.; Maloupa, E.; Badeka, A.V.; Krigas, N.; Lazari, D. Total phenolic content and antioxidant activity of leaves, flowers and fruits of conventionally vs organically cultivated Sambucus nigra L., and trace elements in leaves. Plants 2023. under review. [Google Scholar]
- Strid, A. Atlas of the Aegean Flora, Part 1: Text & Plates; Part 2: Maps; Englera, Volume 33; Botanic Garden and Botanical Museum Berlin, Freie Universität Berlin: Berlin, Germany, 2016; ISBN 978-3-921800-97-3/978-3-921800-98-0. [Google Scholar]




| Evaluation Attribute | Rosa canina | Sambucus nigra | Cornus mas | Amelanchier ovalis | Data Sources |
|---|---|---|---|---|---|
| Existing cultivations | 6 | 6 | 6 | 6 | [24,26,57,63,65,71,72] ex situ cultivation data furnished herein |
| Threat category | 1 | 1 | 1 | 0 | IUCN https://www.iucnredlist.org/ (accessed on 27 January 2023) |
| Protection status | 0 | 0 | 0 | 0 | Greek Presidential Decree 67/1981, EU Directive 92/43/EEC, CITES |
| Ex situ conservation | 6 | 6 | 6 | 6 | BGCI.org/Plant Search |
| Distribution | 0 | 0 | 0 | 1 | https://portal.cybertaxonomy.org/flora-greece/intro (accessed on 27 January 2023) |
| Commercial products | 6 | 6 | 5 | 1 | [38,63,73,74] |
| Known propagation | 6 | 6 | 6 | 6 | [12,24,25,26,63,75,76,77] |
| Vegetative propagation Success | 6 | 6 | 6 | 6 | [12,24,25,26] |
| Seed germination success | 6 | 5 | 0 | 0 | [63,75,76,77] |
| Cultivation needs | 6 | 6 | 6 | 6 | [24,26,57,63,64,71] ex situ cultivation data furnished herein |
| Existing cultivation protocols | 6 | 6 | 6 | 5 | [24,26,65,71,72] ex situ cultivation data furnished herein |
| Water demand | 3 | 3 | 3 | 3 | [24,26,64] |
| Total score (respective %) | 52 (72.2) | 51 (70.8) | 45 (62.5) | 40 (55.5) |
| Focal Species | Rosa canina | Sambucus nigra | Cornus mas | Amelanchier ovalis |
|---|---|---|---|---|
| Readiness timescale | Already achieved (>70%) | Already achieved (>70%) | Achievable in short-term (>55–70%) | Achievable in short-term (>55–70%) |
| Up-scaling to address commercial demand | Upon request | Upon request | Easy | Easy |
| Availability of propagation material | Readily available | Readily available | Potentially easy | Potentially easy |
| Possibility to overcome legal restrictions (in relation to interest) | No obstacle (strong) | No obstacle (strong) | Feasible (increased) | Feasible (increased) |
| Overview of extant research gaps | No research gaps | No research gaps | Minor research gaps | Minor research gaps |
| Estimated attraction of new producers-retailers | Extant | Extant | Feasible | Feasible |
| Estimated difficulty for value chain creation | Extant | Extant | Need for enhancement | Need for enhancement |
| Estimated exploitation of distribution channels | Extant | Extant | Feasible | Feasible |
| Focal Species | Documentation and Molecular Authentication Potential (Genotypes) | Phytochemical Potential (Genotypes) | Asexual (Cuttings) Reproduction Potential (Genotypes) | Ex Situ Trial Cultivation Potential/Yearly Data (Genotypes) | Sources |
|---|---|---|---|---|---|
| Amelanchier ovalis | Yes (10) | Yes (1) | Yes (1) | Yes/3 years (1) | [26,48] |
| Cornus mas | Yes (18) | Yes (14) | Yes (18) | No */(1) | [25] |
| Rosa canina | Yes (12) | Yes (7) | Yes (3) | No */(4) | [12] |
| Sambucus nigra | Yes (14) | Yes (4) | Yes (9) | Yes/1 year (9) ** | [24,49] |
| Score: Designated Potential | Molecular Authentication Potential | Asexual Propagation Potential (% Rooting) | Phytochemical Potential | Field Cultivation Potential | |||
|---|---|---|---|---|---|---|---|
| Antioxidant Activity (AA, %RSA) | Total Phenolic Content (TPC, mgGAE/100 g) | Tree Establishment: Juvenile Tree Height (m) at 18 Months after Planting | Tree Juvenile Growth Rate: (%) Increase in Height from 6–18 Months after Planting | Onset of Fruit Production | |||
| 0: No data/not evaluated | Non genetically distinct populations | <5% | <5% | <20 | Not established/failed to grow | Not established/failed to grow | No fruit production |
| 1: Very low potential | - | 5–20% | 5–20% | 20–50 | <0.5 | <5 | >5th year |
| 2: Low potential | - | >20–30% | >20–40% | >50–80 | 0.5–1 | 5–10 | 5th year |
| 3: Average or commercially accepted potential | - | >30–50% | >40–65% | >80–100 | >1–1.5 | >10–15 | >3rd year |
| 4: High potential | - | >50–70% | >65–85% | >100–150 | >1.5–2 | >15–20 | 3rd year |
| 5: Very high potential | Genetically distinct populations | >70% | >85% | >150–200 | >2 | >20 | As early as the second year |
| Possible choices | 0 or 5 | 0–5 | 0–5 | 0–5 | 0–5 | 0–5 | 0–5 |
Disclaimer/Publisher’s Note: The statements, opinions and data contained in all publications are solely those of the individual author(s) and contributor(s) and not of MDPI and/or the editor(s). MDPI and/or the editor(s) disclaim responsibility for any injury to people or property resulting from any ideas, methods, instructions or products referred to in the content. |
© 2023 by the authors. Licensee MDPI, Basel, Switzerland. This article is an open access article distributed under the terms and conditions of the Creative Commons Attribution (CC BY) license (https://creativecommons.org/licenses/by/4.0/).
Share and Cite
Karapatzak, E.; Dichala, O.; Papanastasi, K.; Manthos, I.; Ganopoulos, I.; Karydas, A.; Badeka, A.V.; Kosma, I.S.; Kyrkas, D.; Yfanti, P.; et al. A Multifaceted Evaluation Approach for Greek Native Neglected and Underutilized Forest Fruit Trees and Shrubs as Natural Sources of Antioxidants: Consolidating the Framework for Their Sustainable Agronomic Exploitation. Plants 2023, 12, 1642. https://doi.org/10.3390/plants12081642
Karapatzak E, Dichala O, Papanastasi K, Manthos I, Ganopoulos I, Karydas A, Badeka AV, Kosma IS, Kyrkas D, Yfanti P, et al. A Multifaceted Evaluation Approach for Greek Native Neglected and Underutilized Forest Fruit Trees and Shrubs as Natural Sources of Antioxidants: Consolidating the Framework for Their Sustainable Agronomic Exploitation. Plants. 2023; 12(8):1642. https://doi.org/10.3390/plants12081642
Chicago/Turabian StyleKarapatzak, Eleftherios, Olga Dichala, Katerina Papanastasi, Ioannis Manthos, Ioannis Ganopoulos, Antonis Karydas, Anastasia V. Badeka, Ioanna S. Kosma, Dimitris Kyrkas, Paraskevi Yfanti, and et al. 2023. "A Multifaceted Evaluation Approach for Greek Native Neglected and Underutilized Forest Fruit Trees and Shrubs as Natural Sources of Antioxidants: Consolidating the Framework for Their Sustainable Agronomic Exploitation" Plants 12, no. 8: 1642. https://doi.org/10.3390/plants12081642
APA StyleKarapatzak, E., Dichala, O., Papanastasi, K., Manthos, I., Ganopoulos, I., Karydas, A., Badeka, A. V., Kosma, I. S., Kyrkas, D., Yfanti, P., Nikisianis, N., Patakioutas, G., Maloupa, E., & Krigas, N. (2023). A Multifaceted Evaluation Approach for Greek Native Neglected and Underutilized Forest Fruit Trees and Shrubs as Natural Sources of Antioxidants: Consolidating the Framework for Their Sustainable Agronomic Exploitation. Plants, 12(8), 1642. https://doi.org/10.3390/plants12081642

