Elemental Composition and Implications on Brown Rice Flour Biofortified with Selenium
Abstract
1. Introduction
2. Materials and Methods
2.1. Experimental Fields
2.2. Selenium Biofortification
2.3. Quantification of Macro- and Micronutrients and Tissues Location of Selenium in the Brown Rice Grains
2.4. Colorimetry Analysis and Crude Protein Content
2.5. Statistical Analysis
3. Results
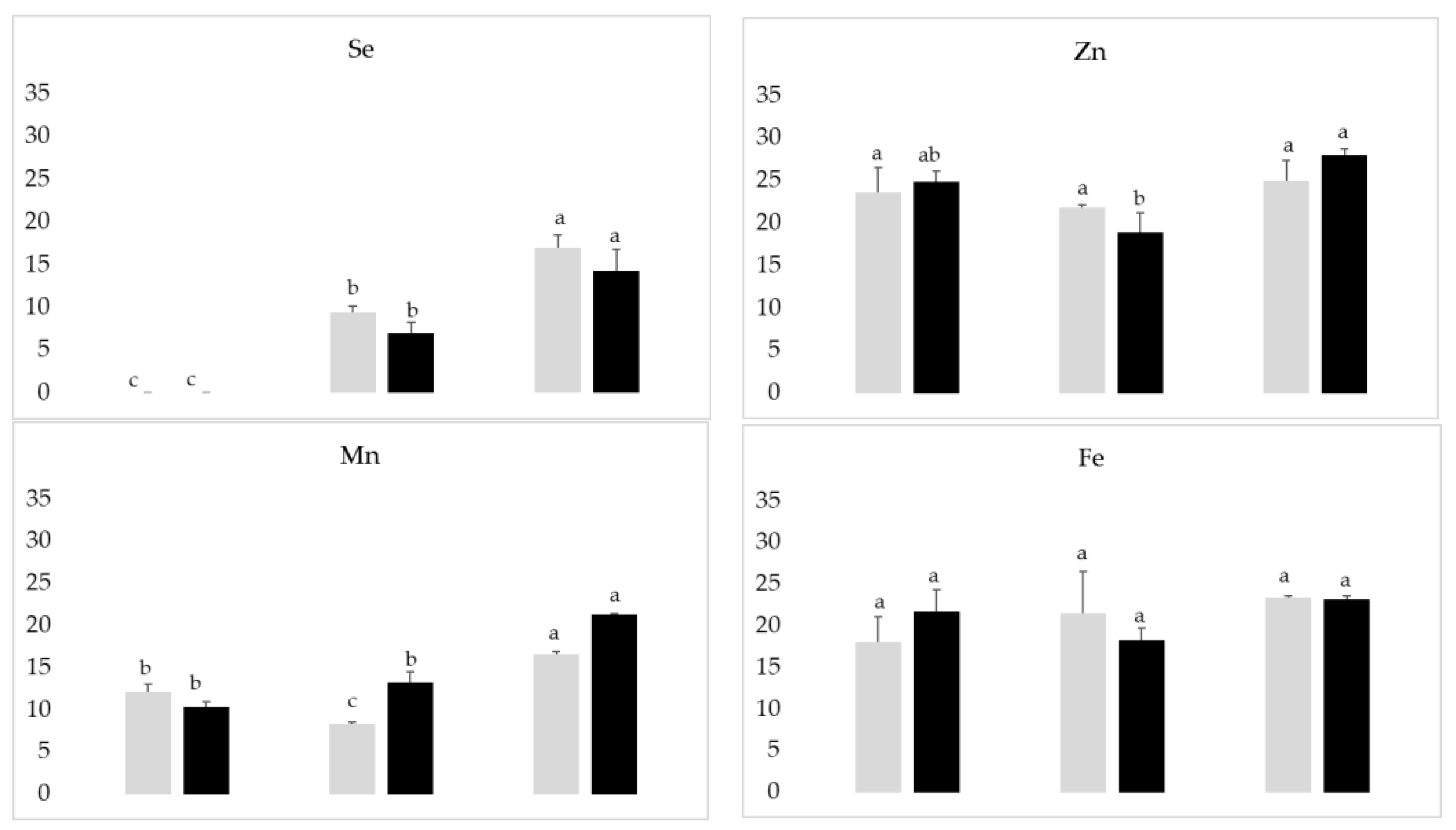
3.1. Nutrients Accumulation in the Rice Grain
3.2. Selenium Localization in Rice Grains
3.3. Colorimetry Analysis
3.4. Crude Protein Content
4. Discussion
5. Conclusions
Author Contributions
Funding
Institutional Review Board Statement
Informed Consent Statement
Acknowledgments
Conflicts of Interest
References
- Batool, K.; Ramzan, M.; Qurban, A.; Babar, M.; Ameen, A.; Rasul, H.; Aslam, M.; Irfan, M.; Hasnain, M. Biofortification: A New Approach to Enhance the Nutrition in Maize Crop. Ann. Rom. Soc. Cell Biol. 2022, 26, 1283–1295. [Google Scholar]
- White, P.; Broadley, M. Biofortification of crops with seven mineral elements often lacking in human diets—Iron, zinc, copper, calcium, magnesium, selenium and iodine. New Phytol. 2009, 182, 49–84. [Google Scholar] [CrossRef] [PubMed]
- De Lima Lessa, J.; Araujo, A.; Ferreira, L.; da Silva Júnior, E.; de Oliveira, C.; Corguinha, A.; Martins, F.A.D.; de Carvalho, H.W.P.; Guilherme, L.R.G.; Lopes, G. Agronomic biofortification of rice (Oryza sativa L.) with selenium and its effect on element distributions in biofortified grains. Plant Soil 2019, 444, 331–342. [Google Scholar] [CrossRef]
- Praharaj, S.; Skalicky, M.; Maitra, S.; Bhadra, P.; Shankar, T.; Brestic, M.; Hejnak, V.; Vachova, P.; Hossain, A. Zinc Biofortification in Food Crops Could Alleviate the Zinc Malnutrition in Human Health. Molecules 2021, 26, 3509. [Google Scholar] [CrossRef] [PubMed]
- Peramaiyan, P.; Craufurd, P.; Kumar, V.; Seelan, L.P.; McDonald, A.J.; Balwinder-Singh; Kishore, A.; Singh, S. Agronomic Biofortification of Zinc in Rice for Diminishing Malnutrition in South Asia. Sustainability 2022, 14, 7747. [Google Scholar] [CrossRef]
- Wang, Y.D.; Wang, X.; Wong, Y.S. Generation of selenium-enriched rice with enhanced grain yield, selenium content and bioavailability through fertilisation with selenite. Food Chem. 2013, 141, 2385–2393. [Google Scholar] [CrossRef]
- Mutaya, S.; Sugimoto, J.D.; Montgomery, S.; Maberly, G. AN overview of global rice production, supply, trade, and consumption. Ann. N. Y. Acad. Sci. 2014, 1324, 7–14. [Google Scholar] [CrossRef]
- Yunus, M.; Rashid, S.; Chowdhury, S. Per Capita Rice Consumption in Bangladesh: Available Estimates and IFPRIs Validation Survey Results; IFPRP Working Paper 3; International Food Policy Research Institute (IFPRI): Washington, DC, USA, 2019. [Google Scholar] [CrossRef]
- Instituto Nacional de Estatística (INE). Rice. 2021. Available online: https://www.ine.pt/xportal/xmain?xpid=INE&xpgid=ine_indicadores&indOcorrCod=0000186&contexto=bd&selTab=tab2&xlang=pt (accessed on 10 March 2023).
- Fukagawa, N.K.; Ziska, L.H. Rice: Importance for Global Nutrition. J. Nutr. Sci. Vitam. 2019, 65, 2–3. [Google Scholar] [CrossRef]
- Hansen, T.H.; Lombi, E.; Fitzgerald, M.; Laursen, K.H.; Frydenvang, J.; Husted, S.; Boualaphanh, C.; Resurreccion, A.; Howard, D.L.; de Jonge, M.D.; et al. Losses of essential mineral nutrients by polishing of rice differ among genotypes due to contrasting grain hardness and mineral distribution. J. Cereal Sci. 2012, 56, 307–315. [Google Scholar] [CrossRef]
- Gui, J.-Y.; Rao, S.; Gou, Y.; Xu, F.; Cheng, S. Comparative Study of the Effects of Selenium Yeast and Sodium Selenite on Selenium Content and Nutrient Quality in Broccoli Florets (Brassica oleracea L. Var. Italica). J. Sci. Food Agric. 2021, 102, 1707–1718. [Google Scholar] [CrossRef]
- Williams, P.; Lombi, E.; Sun, G.; Schecke, K.; Zhu, Y.; Feng, X.; Zhu, J.; Carey, A.; Adomako, E.; Lawgali, Y.; et al. Selenium Characterization in the Global Rice Supply Chain. Env. Sci. Tech. 2009, 43, 6024–6030. [Google Scholar] [CrossRef]
- Bulgari, R.; Cocetta, G.; Trivellini, A.; Vernieri, P.; Ferrante, A. Biostimulants and crop responses: A review. Biol. Agric. Hortic. 2015, 31, 1–17. [Google Scholar] [CrossRef]
- Colla, G.; Rouphael, Y. Biostimulants in horticulture. Sci. Hortic. 2015, 196, 1–134. [Google Scholar] [CrossRef]
- du Jardin, P. Plant biostimulants: Definition, concept, main categories and regulation. Sci. Hortic. 2015, 196, 3–14. [Google Scholar] [CrossRef]
- Rouphael, Y.; Colla, G. Biostimulants in Agriculture. Rationale, State of the art and Evolution. Front. Plant Sci. 2020, 11, 40. [Google Scholar] [CrossRef]
- EU. Regulation of the European Parliament and of the Council Laying Down Rules on the Making Available on the Market of EU Fertilising Products and Amending Regulations (EC) No 1069/2009 and (EC) No 1107/2009 and Repealing Regulation (EC) No 2003/2003. 2019. Available online: https://eur-lex.europa.eu/legal-content/EN/TXT/?uri=OJ:L:2019:170:TOC (accessed on 14 March 2023).
- Nawaz, F.; Ashraf, M.Y.; Ahmad, R.; Waraich, E.A.; Shabbir, R.N.; Hussain, R.A. Selenium supply methods and time of application influence spring wheat (Triticum aestivum L.) yield under water deficit conditions. J. Agric. Sci. 2016, 155, 643–656. [Google Scholar] [CrossRef]
- Li, H.F.; McGrath, S.P.; Zhao, F.J. Selenium uptake, translocation and speciation in wheat supplied with selenate or selenite. New Phytol. 2008, 178, 92–102. [Google Scholar] [CrossRef]
- Ros, G.; Rotterdam, A.; Bussink, D.; Bindraban, P. Selenium fertilization strategies for biofortification of food: An agro-ecosystem approach. Plant Soil 2016, 404, 99–112. [Google Scholar] [CrossRef]
- Ramkissoon, C.; Degryse, F.; da Silva, R.C.; Baird, R.; Young, S.D.; Bailey, E.H.; McLaughlin, M.J. Improving the efficacy of selenium fertilizers for wheat biofortification. Sci. Rep. 2019, 9, 19520. [Google Scholar] [CrossRef]
- Mangueze, A.; Pessoa, M.; Silva, M.; Ndayiragije, A.; Magaia, H.; Cossa, V.; Reboredo, F.; Carvalho, M.; Santos, J.; Guerra, M. Simultaneous zinc and selenium biofortification in rice accumulation, localization and implications on the overall mineral content of the flour. J. Cereal Sci. 2018, 82, 34–41. [Google Scholar] [CrossRef]
- Hartikainen, H.; Xue, T.; Piironen, V. Selenium as an anti-oxidant and pro-oxidant in ryegrass. Plant Soil 2000, 225, 193–200. [Google Scholar] [CrossRef]
- Ray, M. Influence of Different Weather Parameters on Rice Production-A Review. ALS 2016, 5, 5776–5782. [Google Scholar]
- Reboredo, F. Zinc compartmentation in Halimione portulacoides (L.) Aellen and some effects on leaf ultrastructure. Environ. Sci. Pollut. R 2012, 19, 2644–2657. [Google Scholar] [CrossRef] [PubMed]
- Marques, A.C.; Lidon, F.C.; Coelho, A.R.F.; Pessoa, C.C.; Luís, I.C.; Campos, P.S.; Simões, M.; Almeida, A.S.; Pessoa, M.F.; Galhano, C.; et al. Effect of Rice Grain (Oryza sativa L.) Enrichment with selenium on foliar leaf gas exchanges and accumulation of nutrients. Plants 2021, 10, 288. [Google Scholar] [CrossRef] [PubMed]
- Reboredo, F. Copper and zinc uptake by Halimione portulacoides (L.) Aellen. A long-term accumulation experiment. Bull. Environ. Contam. Toxicol. 1991, 46, 442–449. [Google Scholar] [CrossRef]
- Reboredo, F. The interaction between copper and zinc and their uptake by Halimione portulacoides (L.) Aellen. Bull. Environ. Contam. Toxicol. 1994, 52, 598–605. [Google Scholar] [CrossRef]
- Koç, E.; Karayiğit, B. Assessment of biofortifcation approaches used to improve micronutrient-dense plants that are a sustainable solution to combat hidden hunger. J. Soil. Sci. Plant Nutr. 2022, 22, 475–500. [Google Scholar] [CrossRef]
- Guerrero, B.; Llugany, M.; Palacios, O.; Valiente, M. Dual effects of different selenium species on wheat. Plant Physiol. Bioch. 2014, 83, 300–307. [Google Scholar] [CrossRef]
- Goufo, P.; Ferreira, L.M.M.; Trindade, H.; Rosa, E.A.S. Distribution of antioxidant compounds in the grain of the Mediteranean rice variety ‘Ariete’. J. Food Sci. 2015, 13, 140–150. [Google Scholar] [CrossRef]
- Garcia, C.M.G. Influência de Diferentes Variedades de Arroz Carolino no seu Comportamento em Cozedura. Master’s Thesis, Escola Superior Agrária de Coimbra, Coimbra, Portugal, 2017. [Google Scholar]
- Almeida, A.S.; Coutinho, J.; Brites, C.; Maçãs, B.; Marques, P.; Silva, C.; Jordão, A. Variedades Portuguesas de Arroz—Presente e Future. Doss. Técnico-Vida Rural 2020, 42–45. Available online: https://www.drapc.gov.pt/base/documentos/vr_variedades_portuguesas_%20arroz.pdf (accessed on 19 January 2023).
- Cardoso, P.; Mateus, T.; Velu, G.; Singh, R.P.; Santos, J.P.; Carvalho, M.L.; Lourenço, V.M.; Lidon, F.; Reboredo, F.; Guerra, M. Localization and distribution of Zn and Fe in grains of biofortified bread wheat lines through micro and triaxial-X-ray spectrometry. Spectrochim. Acta B 2018, 141, 70–79. [Google Scholar] [CrossRef]
- Reboredo, F.; Simões, M.; Jorge, C.; Mancuso, M.; Martinez, J.; Guerra, M.; Ramalho, J.C.; Pessoa, M.F.; Lidon, F. Metal content in edible crops and agricultural soils due to intensive use of fertilizers and pesticides in Terras da Costa de Caparica (Portugal). Environ. Sci. Pollut. Res. 2019, 26, 2512–2522. [Google Scholar] [CrossRef]
- Ramalho, J.C.; Pais, I.P.; Leitão, A.E.; Guerra, M.; Reboredo, F.H.; Máguas, C.M.; Carvalho, M.L.; Scotti-Campos, P.; Ribeiro-Barros, A.I.; Lidon, F.J.C.; et al. Can elevated air [CO2] conditions mitigate the predicted warming impact on the quality of coffee bean? Front. Plant Sci. 2018, 9, 287. [Google Scholar] [CrossRef]
- Lidon, F.C.; Daccak, D.; Scotti-Campos, P.; Silva, M.M.; Bagulho, A.S.; Pais, I.; Galhano, C.; Ramalho, J.C.; Moreira, J.; Pessoa, M.F.; et al. An Integrated Chemical and Technological Approach for Assessing Portuguese Wheat Flours Quality and Lengthening Bread Shelf-Life. Emir. J. Food Agric. 2019, 31, 884–894. [Google Scholar] [CrossRef]
- Carey, A.M.; Scheckel, K.G.; Lombi, E.; Newville, M.; Choi, Y.; Norton, G.J.; Price, A.H.; Meharg, A.A. Grain accumulation of selenium species in rice (Oryza sativa L.). Environ. Sci. Technol. 2012, 46, 5557–5564. [Google Scholar] [CrossRef]
- Wassmann, R.; Dobermann, A. Climate change adaptation through rice production in regions with high poverty levels. ICRISAT 2007, 4, 54960368. [Google Scholar]
- Pais, I.P.; Reboredo, F.H.; Ramalho, J.C.; Pessoa, M.F.; Lidon, F.C.; Silva, M.M. Potential impacts of climate change on agriculture—A review. Emir. J. Food Agric. 2020, 32, 397–407. [Google Scholar] [CrossRef]
- Semedo, J.N.; Rodrigues, A.P.; Lidon, F.C.; Pais, I.P.; Marques, I.; Gouveia, D.; Armengaud, J.; Silva, M.J.; Martins, S.; Semedo, M.C.; et al. Intrinsic non-stomatal resilience to drought of the photosynthetic apparatus in Coffea spp. is strengthened by elevated air [CO2]. Tree Physiol. 2021, 41, 708–727. [Google Scholar] [CrossRef]
- Lidon, F.; Oliveira, K.; Galhano, C.; Guerra, M.; Ribeiro, M.; Pelica, J.; Pataco, I.; Ramalho, J.; Leitão, A.; Almeida, A.; et al. Selenium biofortification of rice through foliar application with selenite and selenate. Exp. Agric. 2018, 55, 528–542. [Google Scholar] [CrossRef]
- Li, Y.; Liu, K.; Chen, F. Effect of selenium enrichment on the quality of germinated brown rice during storage. Food Chem. 2016, 207, 20–26. [Google Scholar] [CrossRef]
- Shinmachi, F.; Buchner, P.; Stroud, J.L.; Parmar, S.; Zhao, F.J.; McGrath, S.P. Influence of sulfur deficiency on the expression of specific sulfate transporters and the distribution of sulfur, selenium, and molybdenum in wheat. Plant Physiol. 2010, 53, 327–336. [Google Scholar] [CrossRef] [PubMed]
- Chen, L.; Yang, F.; Xu, J.; Yun, H.; Hu, Q.; Zhang, Y.; Pan, G. Determination of selenium concentration of rice in China and effect of fertilization of selenite and selenate on Se content of rice. J. Agric. Food Chem. 2002, 50, 5128–5130. [Google Scholar] [CrossRef] [PubMed]
- Terry, N.; Zayed, A.M.; De Souza, M.P.; Tarun, A.S. Selenium in higher plants. Annu. Rev. Plant Biol. 2000, 51, 401–432. [Google Scholar] [CrossRef] [PubMed]
- Hawkesford, M. Transporter gene families in plants: The sulphate transporter gene family—Redundancy or specialization? Physiol. Plant 2003, 117, 155–163. [Google Scholar] [CrossRef]
- Sors, T.G.; Ellis, D.R.; Salt, D.E. Selenium uptake, translocation, assimilation and metabolic fate in plants. Photosynth Res. 2005, 86, 373–389. [Google Scholar] [CrossRef]
- Zhang, L.; Chu, C. Selenium Uptake, Transport, Metabolism, Reutilization, and Biofortification in Rice. Rice 2022, 15, 30. [Google Scholar] [CrossRef]
- Marques, A.C.; Lidon, F.C.; Coelho, A.R.F.; Pessoa, C.C.; Luís, I.C.; Scotti-Campos, P.; Simões, M.; Almeida, A.S.; Legoinha, P.; Pessoa, M.F.; et al. Quantification and Tissue Localization of Selenium in Rice (Oryza sativa L., Poaceae) Grains: A Perspective of Agronomic Biofortification. Plants 2020, 9, 1670. [Google Scholar] [CrossRef]
- Dos Reis, A.R.; Boleta, E.H.M.; Alves, C.Z.; Cotrim, M.F.; Barbosa, J.Z.; Silva, V.M.; Porto, R.L.; Lanza, M.G.D.B.; Lavres, J.; Gomes, M.H.F.; et al. Selenium toxicity in upland field-grown rice: Seed physiology responses and nutrient distribution using the μ-XRF technique. Ecotox. Environ. Saf. 2020, 190, 110147. [Google Scholar] [CrossRef]
- Golubkina, N.; Zamana, S.; Seredin, T.; Poluboyarinov, P.; Sokolov, S.; Baranova, H.; Krivenkov, L.; Pietrantonio, L.; Caruso, G. Effect of Selenium Biofortification and Beneficial Microorganism Inoculation on Yield, Quality and Antioxidant Properties of Shallot Bulbs. Plants 2019, 8, 102. [Google Scholar] [CrossRef]
- Hawrylak-Nowak, B. Effect of selenium on selected macronutrients in maize plants. J. Elem. 2008, 13, 513–519. [Google Scholar]
- Lamberts, L.; Bie, E.D.; Greet, E.; Vandeputte, W.S.; Veraverbeke, V.; Man, W.; Delcour, J.A. Effect of milling on colour and nutritional properties of rice. Food Chem. 2007, 100, 1496–1503. [Google Scholar] [CrossRef]
- Carcea, M. Value of wholegrain rice in a healthy human nutrition. Agriculture 2021, 11, 720. [Google Scholar] [CrossRef]
- Wang, K.M.; Wu, J.G.; Li, G.; Zhang, D.P.; Yang, Z.W.; Shi, C.H. Distribution of phytic acid and mineral elements in three indica rice (Oryza sativa L.) cultivars. J. Cereal Sci. 2011, 54, 116–121. [Google Scholar] [CrossRef]
- Takahashi, M.; Nozoye, T.; Kitajima, N.; Fukuda, N.; Hokura, A.; Terada, Y.; Nishizawa, N.K. In vivo analysis of metal distribution and expression of metal transporters in rice seed during germination process by microrray and X-ray fluorescence imaging of Fe, Zn, Mn, and Cu. Plant Soil. 2009, 325, 39–51. [Google Scholar] [CrossRef]
- Cakmak, I. Enrichment of cereal grains with zinc: Agronomic or genetic biofortification? Plant Soil. 2007, 302, 1–17. [Google Scholar] [CrossRef]
- Sreenivasulu, N.; Zhang, C.; Tiozon, R.; Liu, Q. Post-genomics revolution in the design of premium quality rice in a high-yielding background to meet consumer demands in the 21st century. Plant Commun. 2022, 3, 100271. [Google Scholar] [CrossRef]
- Mancebo, C.; Rodriguez, P.; Gomez, M. Assessing rice flour-starch- protein mixtures to produce gluten free sugar-snap cookies. J. Food Sci. Technol. 2009, 67, 127–132. [Google Scholar] [CrossRef]





| Color Parameters | ||||
|---|---|---|---|---|
| Treatments | L | a* | b* | |
| Brown Grains | ||||
| Ariete | Control | 61.53 ± 2.805 a 1 | 5.353 ± 0.882 a | 25.55 ± 1.828 a |
| Selenate | 64.34 ± 1.921 a | 4.506 ± 0.353 a | 24.24 ± 0.389 a | |
| Selenite | 61.94 ± 1.014 a | 4.877 ± 0.163 a | 24.00 ± 0.604 a | |
| Ceres | Control | 61.49 ± 3.314 a | 3.047 ± 1.751 a | 25.07 ± 1.701 a |
| Selenate | 58.43 ± 1.367 a | 3.236 ± 0.808 a | 23.30 ± 1.452 a | |
| Selenite | 62.10 ± 1.339 a | 4.517 ± 0.203 a | 24.09 ± 0.510 a | |
| Whole Flour | ||||
| Ariete | Control | 76.74 ± 1.837 a | 2.031 ± 0.175 a | 14.69 ± 0.473 a |
| Selenate | 75.79 ± 0.853 a | 1.921 ± 0.107 a | 14.35 ± 0.399 a | |
| Selenite | 74.40 ± 1.261 a | 2.217 ± 0.176 a | 14.47 ± 0.590 a | |
| Ceres | Control | 76.68 ± 2.259 a | 1.306 ± 0.358 a | 15.12 ± 0.822 a |
| Selenate | 77.05 ± 1.288 a | 1.657 ± 0.244 a | 15.82 ± 0.189 a | |
| Selenite | 71.99 ± 0.899 a | 1.953 ± 0.177 a | 15.09 ± 0.195 a | |
| Total Protein Content | |||
|---|---|---|---|
| Treatments | Control | Selenate | Selenite |
| Ariete | 6.323 ± 0.047 b 1 | 6.121 ± 0.034 b | 6.902 ± 0.133 a |
| Ceres | 6.113 ± 0.163 a | 5.899 ± 0.069 b | 5.983 ± 0.170 a |
Disclaimer/Publisher’s Note: The statements, opinions and data contained in all publications are solely those of the individual author(s) and contributor(s) and not of MDPI and/or the editor(s). MDPI and/or the editor(s) disclaim responsibility for any injury to people or property resulting from any ideas, methods, instructions or products referred to in the content. |
© 2023 by the authors. Licensee MDPI, Basel, Switzerland. This article is an open access article distributed under the terms and conditions of the Creative Commons Attribution (CC BY) license (https://creativecommons.org/licenses/by/4.0/).
Share and Cite
Marques, A.C.; Lidon, F.C.; Coelho, A.R.F.; Pessoa, C.C.; Daccak, D.; Luís, I.C.; Simões, M.; Scotti-Campos, P.; Almeida, A.S.; Guerra, M.; et al. Elemental Composition and Implications on Brown Rice Flour Biofortified with Selenium. Plants 2023, 12, 1611. https://doi.org/10.3390/plants12081611
Marques AC, Lidon FC, Coelho ARF, Pessoa CC, Daccak D, Luís IC, Simões M, Scotti-Campos P, Almeida AS, Guerra M, et al. Elemental Composition and Implications on Brown Rice Flour Biofortified with Selenium. Plants. 2023; 12(8):1611. https://doi.org/10.3390/plants12081611
Chicago/Turabian StyleMarques, Ana Coelho, Fernando C. Lidon, Ana Rita F. Coelho, Cláudia Campos Pessoa, Diana Daccak, Inês Carmo Luís, Manuela Simões, Paula Scotti-Campos, Ana Sofia Almeida, Mauro Guerra, and et al. 2023. "Elemental Composition and Implications on Brown Rice Flour Biofortified with Selenium" Plants 12, no. 8: 1611. https://doi.org/10.3390/plants12081611
APA StyleMarques, A. C., Lidon, F. C., Coelho, A. R. F., Pessoa, C. C., Daccak, D., Luís, I. C., Simões, M., Scotti-Campos, P., Almeida, A. S., Guerra, M., Leitão, R. G., Bagulho, A., Moreira, J., Pessoa, M. F., Legoinha, P., Ramalho, J. C., Semedo, J. N., Palha, L., Silva, C., ... Reboredo, F. H. (2023). Elemental Composition and Implications on Brown Rice Flour Biofortified with Selenium. Plants, 12(8), 1611. https://doi.org/10.3390/plants12081611

