The Effect of Magneto-Priming on the Physiological Quality of Soybean Seeds
Abstract
1. Introduction
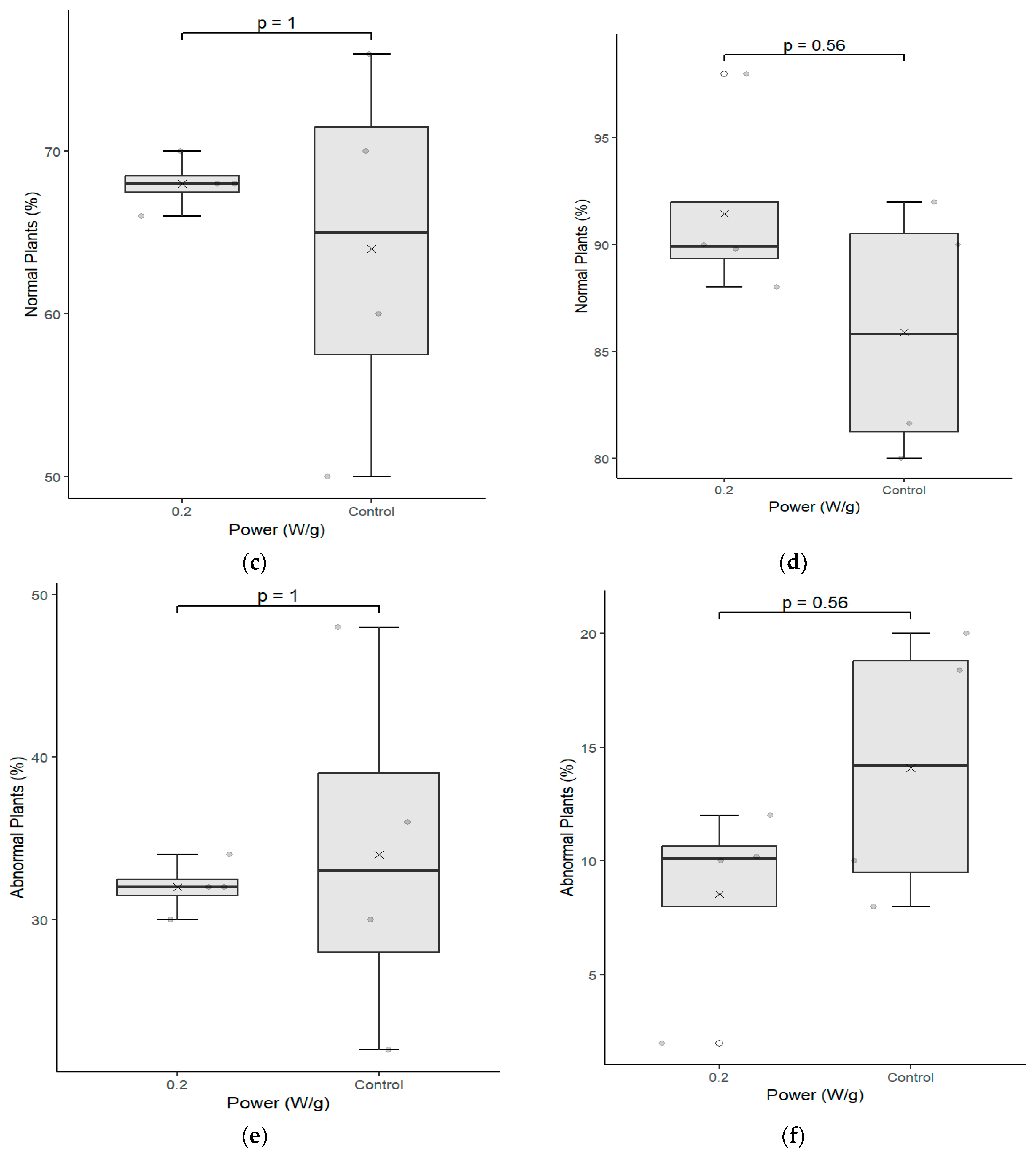
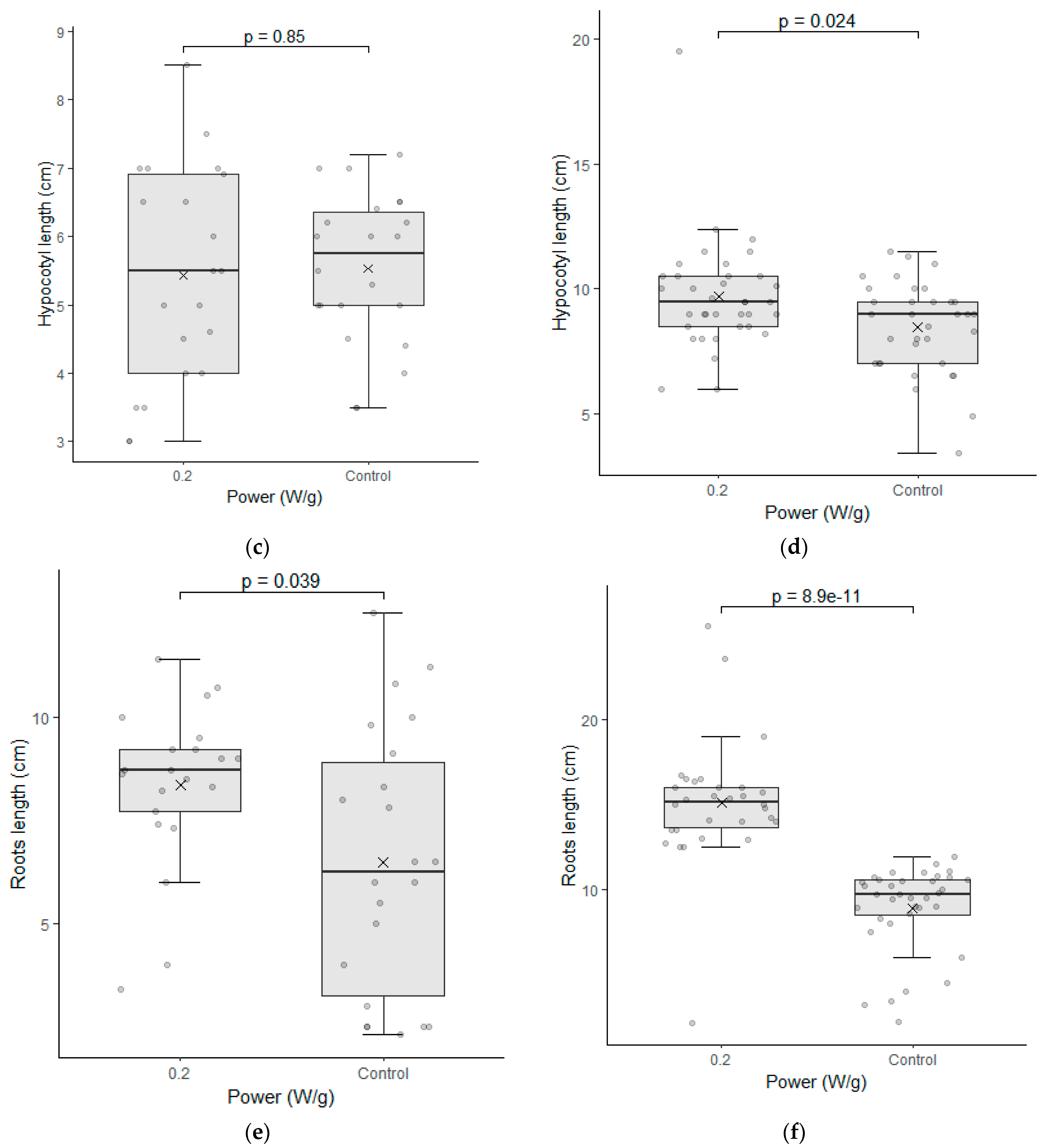
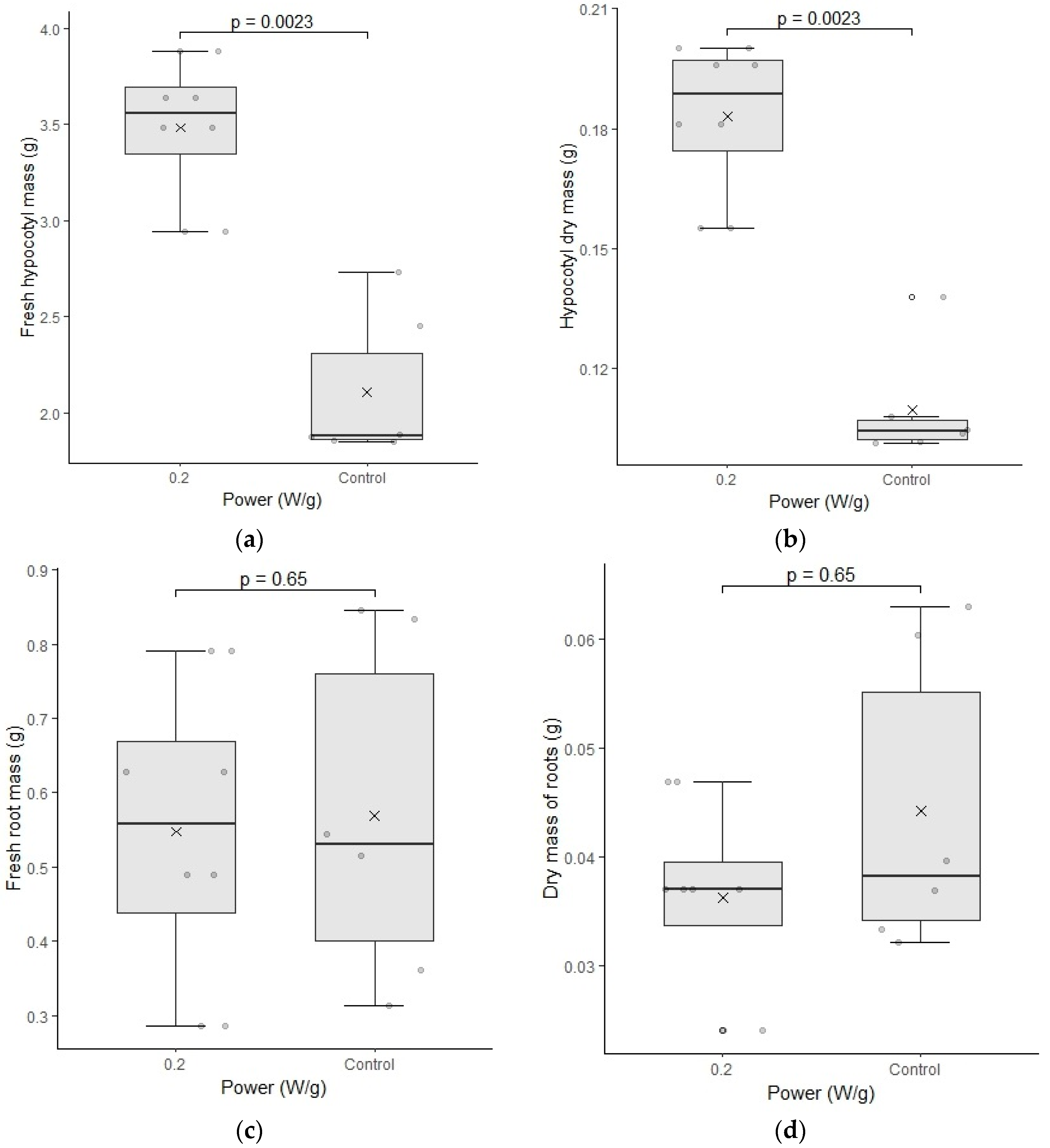
2. Results
3. Discussion
4. Materials and Methods
4.1. Preparation of Samples
4.2. Electromagnetic Biostimulation
4.3. Analysis of the Germinability and Vigor of Seeds
4.4. Seed Longevity Analysis
4.5. Molecular Analysis—Quantification of the Expression by Real-Time q-PCR
4.6. Statistical Analysis
5. Conclusions
- The procedure of electromagnetic biostimulation of seeds using microwaves at the power of 0.2 W/g during 15 min to 40 °C was able to promote the drying of seeds and, at the same time, improve their physiological quality. The parameters of germinability, seedling length, water absorption, and fresh and dry mass obtained some type of improvement after exposure to magneto-priming.
- The magneto-priming from the microwave was able to promote increments in the parameters of seed longevity.
- The genes involved in seed germination and longevity showed superior expression after microwave exposure.
Author Contributions
Funding
Data Availability Statement
Acknowledgments
Conflicts of Interest
References
- De Sousa Araújo, S.; Paparella, S.; Dondi, D.; Bentivoglio, A.; Carbonera, D.; Balestrazzi, A. Physical Methods for Seed Invigoration: Advantages and Challenges in Seed Technology. Front. Plant Sci. 2016, 7, 646. [Google Scholar] [CrossRef]
- Shivhare, U.; Raghavan, V.; Bosisio, R.; Giroux, M. Microwave Drying of Soybean at 2.45 GHz. J. Microw. Power Electromagn. Energy 1993, 28, 11–17. [Google Scholar] [CrossRef]
- Talei, D.; Valdiani, A.; Maziah, M.; Mohsenkhah, M. Germination Response of MR 219 Rice Variety to Different Exposure Times and Periods of 2450 MHz Microwave Frequency. Sci. World J. 2013, 2013, 408026. [Google Scholar] [CrossRef] [PubMed]
- Ragha, L.; Mishra, S.; Ramachandran, V.; Bhatia, M.S. Effects of low-power microwave fields on seed germination and growth rate. J. Electromagn. Anal. Appl. 2011, 3, 165–171. [Google Scholar] [CrossRef]
- Kozulina, N.S.; Vasilenko, A.A.; Shmeleva, Z.N. The development of the environmentally safe method for disinfection and biostimulation of spring wheat seeds using electro-magnetic field of super-high frequency. IOP Conf. Ser. Earth Environ. Sci. 2019, 315, 022051. [Google Scholar] [CrossRef]
- Shine, M.B.; Guruprasad, K.N.; Anand, A. Enhancement of germination, growth, and photosynthesis in soybean by pre-treatment of seeds with magnetic field. Bioelectromagnetics 2011, 32, 474–484. [Google Scholar] [CrossRef]
- Shine, M.; Guruprasad, K.; Anand, A. Effect of stationary magnetic field strengths of 150 and 200 mT on reactive oxygen species production in soybean. Bioelectromagnetics 2012, 33, 428–437. [Google Scholar] [CrossRef]
- Fatima, A.; Kataria, S.; Baghel, L.; Guruprasad, K.N.; Agrawal, A.K.; Singh, B.; Sarkar, P.S.; Shripathi, T.; Kashyap, Y. Synchrotron-based phase-sensitive imaging of leaves grown from magneto-primed seeds of soybean. J. Synchrotron Radiat. 2017, 24, 232–239. [Google Scholar] [CrossRef]
- Baghel, L.; Kataria, S.; Guruprasad, K.N. Effect of static magnetic field pretreatment on growth, photosynthetic performance and yield of soybean under water stress. Photosynthetica 2018, 56, 718–730. [Google Scholar] [CrossRef]
- Jonas, H. Some Effects of Radio Frequency Irradiations on Small Oilbearing Seeds. Physiol. Plant. 1952, 5, 41–51. [Google Scholar] [CrossRef]
- Yoshida, H.; Kajimoto, G. Effects of microwave energy on the tocopherols of soybean seeds. J. Food Sci. 1989, 54, 1591–1595. [Google Scholar] [CrossRef]
- Hemis, M.; Watson, D.G.; Gariépy, Y.; Lyew, D.; Raghavan, V. Modelling study of dielectric properties of seed to improve mathematical modelling for microwave-assisted hot-air drying. J. Microw. Power Electromagn. Energy 2019, 53, 94–114. [Google Scholar] [CrossRef]
- Cao, X.; Zhang, M.; Fang, Z.; Mujumdar, A.S.; Jiang, H.; Qian, H.; Ai, H. Drying kinetics and product quality of green soybean under different microwave drying methods. Dry. Technol. 2016, 35, 240–248. [Google Scholar] [CrossRef]
- Randhir, R.; Shetty, K. Microwave-induced stimulation of L-DOPA, phenolics and antioxidant activity in fava bean (Vicia faba) for Parkinson’s diet. Process Biochem. 2004, 39, 1775–1784. [Google Scholar] [CrossRef]
- Balint, C.; Oroian, I.; Surducan, E.; Bordeaunu, B.; Bordea, D. Testing innovative technique based on microwave irradiation, for stimulation common bean germinations and development. Bull. UASVM Agric. 2015, 72, 13–17. [Google Scholar]
- Banik, S.; Bandyopadhyay, S.; Ganguly, S. Bioeffects of microwave—A brief review. Bioresour. Technol. 2003, 87, 155–159. [Google Scholar] [CrossRef]
- Tylkowska, K.; Turek, M.; Prieto, R.B. Health, germination and vigour of common bean seeds in relation to microwave irradiation. Phytopathologia 2010, 55, 5–12. [Google Scholar]
- Aladjadjiyan, A. Influence of microwave irradiation on some vitality indices and electroconductivity or ornamental perennial crops. J. Cent. Eur. Agric. 2002, 3, 271–276. [Google Scholar]
- Amirnia, R. Effect of Microwave Radiation on Germination and Seedling Growth of Soybean (Glycine max) Seeds. Adv. Environ. Biol. 2014, 8, 311–314. [Google Scholar]
- Bewley, J.D.; Bradford, K.; Hilhorst, H. Seeds: Physiology of Development, Germination and Dormancy, 3rd ed.; Springer Science & Business Media: Berlin/Heidelberg, Germany, 2013; p. 399. [Google Scholar]
- Radhakrishnan, R.; Kumari, B.D.R. Pulsed magnetic field: A contemporary approach offers to enhance plant growth and yield of soybean. Plant Physiol. Biochem. 2012, 51, 139–144. [Google Scholar] [CrossRef]
- Halgamuge, M.N.; Yak, S.K.; Eberhardt, J.L. Reduced growth os soybean seedlings after exposure to weak microwave radiation from GSM 900 mobile phone and base station. Bioelectromagnetics 2015, 36, 87–95. [Google Scholar] [CrossRef]
- Kataria, S.; Baghel, L.; Guruprasad, K.N. Alleviation of Adverse Effects of Ambient UV Stress on Growth and Some Potential Physiological Attributes in Soybean (Glycine max) by Seed Pre-treatment with Static Magnetic Field. J. Plant Growth Regul. 2017, 35, 550–565. [Google Scholar] [CrossRef]
- Nair, R.M.; Leelapriya, T.; Dhilip, K.S.; Boddepalli, V.N.; Ledesma, D.R. Beneficial effects of Extremely Low Frequency (ELF) Sinusoidal magnetic field (SMF) exposure on mineral and protein content of mungbean seeds and sprouts. Indian J. Agric. Res. 2018, 52, 126–132. [Google Scholar] [CrossRef]
- Mildaziene, V.; Aleknavičiūtė, V.; Žūkienė, R.; Paužaitė, G.; Naučienė, Z.; Filatova, I.; Lyushkevich, V.; Haimi, P.; Tamošiūnė, I.; Baniulis, D. Treatment of Common Sunflower (Helianthus annus L.) Seeds with Radio-frequency Electromagnetic Field and Cold Plasma Induces Changes in Seed Phytohormone Balance, Seedling Development and Leaf Protein Expression. Sci. Rep. 2019, 9, 6437. [Google Scholar] [CrossRef]
- Varier, A.; Vari, A.K.; Dadlani, M. The subcellular basis of seed priming. Curr. Sci. 2010, 99, 450–456. [Google Scholar]
- Salim, N.S.M.; Gariépy, Y.; Raghavan, V. Hot Air Drying and Microwave-Assisted Hot Air Drying of Broccoli Stalk Slices (Brassica oleracea L. Var. Italica). J. Food Process. Preserv. 2016, 41, e12905. [Google Scholar] [CrossRef]
- ISTA. International Rules for Seed Testing, International Seed Testing Association; ISTA: Shenzhen, China, 2019; p. i-5-56(56). [Google Scholar] [CrossRef]
- Joosen, R.V.L.; Kodde, J.; Willems, L.A.J.; Ligterink, W.; van der Plas, L.H.W.; Hilhorst, H.W. germinator: A software package for high-throughput scoring and curve fitting of Arabidopsis seed germination. Plant J. 2009, 62, 148–159. [Google Scholar] [CrossRef]
- Newton, R.; Hay, F.; Robert, R. Protocol for comparative seed longevity testing. Technical information Sheet_01. Royal Botanic Gardens, Kew. In Millennium Seed Bank Parthership; Wakehurst Place: Ardingly, UK, 2014; Available online: https://brahmsonline.dkew.org/msbp (accessed on 1 September 2019).
- Lima, J.J.P.; Buitink, J.; Lalanne, D.; Rossi, R.F.; Pelletier, S.; de Silva, E.A.A.; Leprince, O. Molecular characterization of the acquisition of longevity during seed maturation in soybean. PLoS ONE 2017, 12, e0180282. [Google Scholar] [CrossRef]
- Ducatti, K.R.; Batista, T.B.; Hirai, W.Y.; Luccas, D.A.; Moreno, L.d.A.; Guimarães, C.C.; Bassel, G.W.; da Silva, E.A.A. Transcripts Expressed during Germination Sensu Stricto Are Associated with Vigor in Soybean Seeds. Plants 2022, 11, 1310. [Google Scholar] [CrossRef]
- Lalanne, D.; Malabarba, J.; Vu, J.L.; Hundertmark, M.; Delahaie, J.; Leprince, O.; Buitink, J.; Verdier, J. Medicago ABI3 Splicing Isoforms Regulate the Expression of Different Gene Clusters to Orchestrate Seed Maturation. Plants 2021, 10, 1710. [Google Scholar] [CrossRef]
- Schmittgen, T.D.; Livak, K.J. Analyzing real-time PCR data by the comparative CT method. Nat. Protoc. 2008, 3, 1101–1108. [Google Scholar] [CrossRef] [PubMed]
- Teixeira, R.N.; Ligterink, W.; França-Neto, J.; Hilhorst, H.W.M.; Silva, E.A.A. Gene expression. Profiling of the green seed problem in soybean. BMC Plant Biol. 2016, 16, 37. [Google Scholar] [CrossRef] [PubMed]

















| Cultivate | Temperature °C | Power W/g | a | b | c | R2 * |
|---|---|---|---|---|---|---|
| C01 | 40 | 0.2 | 1.0005 | 42.777 | 2.8802 | 97 |
| C02 | 40 | 0.2 | 1.0014 | 4.7325 | 1.6885 | 98 |
| Cultivar | Treatment | a | b | I | R2 * |
|---|---|---|---|---|---|
| C01 | Control | 7.02 × 10−2 | 1.07 × 10−2 | 1.10 | 0.99 |
| MP | 3.71 × 10−2 | 1.90 × 10−3 | 1.55 | 0.99 | |
| C02 | Control | 5.63 × 10−12 | 5.91 × 10−12 | 10.53 | 0.99 |
| MP | 1.39 × 10−11 | 1.76 × 10−17 | 8.08 | 0.99 |
| Cultivate | Treatment | GMAX (%) | T50 (h) | U8416 (h) | T10 (h) | AUC | TMG |
|---|---|---|---|---|---|---|---|
| C01 | Control | 100 a * | 23.9 a | 15.2 a | 15.8 a | 22.9 a | 24.2 a |
| MP | 100 a | 20.5 a | 15.7 a | 12.5 a | 25.8 a | 21.1 a | |
| C02 | Control | 100 a | 30.5 b | 11.6 a | 23.9 b | 16.0 a | 30.3 b |
| MP | 100 a | 22.9 a | 21.7 a | 12.6 a | 22.3 b | 21.7 a |
| Test | Cultivate | Model | Model’s Parameters | |||||||
|---|---|---|---|---|---|---|---|---|---|---|
| Control | MP | |||||||||
| a | b | c | R2 * | a | b | c | R2 * | |||
| Germination | C01 | LPw | 88.11 | 7.74 | 5.03 | 0.89 | 90.98 | 7.99 | 5.21 | 0.96 |
| C02 | LPw | 90.99 | 10.29 | 10.78 | 0.96 | 95.17 | 10.44 | 12.38 | 0.97 | |
| Longevity prediction | B | P | P50 | R2 | B | P | P50 | R2 | ||
| C01 | Logit | 2.643 | 0.332 | 7.95 | 0.66 | 2.804 | 0.317 | 8.83 | 0.68 | |
| C02 | Logit | 3.88 | 0.343 | 11.30 | 0.34 | 2.814 | 0.229 | 12.25 | 0.37 | |
| Gene | Forward (5′–3′) | Reverse (5′–3′) |
|---|---|---|
| 20S proteasome subunit * | CACCAACACACGATACAACT | TCCCAACCACCAACAATTAACC |
| Importin beta-2 subunit family protein | GATAATAAGCGGGTCCAAGAG | GTCATCAGGTGCTTCAGTATAA |
| HSP 21 | AACATGCTGGTGGTGAAG | AGGGCTATCCTGTGGTTAT |
| HSFA3 | CATCAGGTTGGTGGCAATA | GCATTAGCACACTCCTTTCT |
| HSP17.6b | TGCGGATGTGAAGGAATATC | AAGCACGTTGTCGTCTTC |
| EXP | TTCGCATTGCACAATACAGAG | TTATGAGGACCAAGTTAAAGTAGG |
| ABI3 | GCCATACCATCACCAACAA | CGAACTCGAACTAGAACTGC |
Disclaimer/Publisher’s Note: The statements, opinions and data contained in all publications are solely those of the individual author(s) and contributor(s) and not of MDPI and/or the editor(s). MDPI and/or the editor(s) disclaim responsibility for any injury to people or property resulting from any ideas, methods, instructions or products referred to in the content. |
© 2023 by the authors. Licensee MDPI, Basel, Switzerland. This article is an open access article distributed under the terms and conditions of the Creative Commons Attribution (CC BY) license (https://creativecommons.org/licenses/by/4.0/).
Share and Cite
de Faria, R.Q.; dos Santos, A.R.P.; Batista, T.B.; Gariepy, Y.; da Silva, E.A.A.; Sartori, M.M.P.; Raghavan, V. The Effect of Magneto-Priming on the Physiological Quality of Soybean Seeds. Plants 2023, 12, 1477. https://doi.org/10.3390/plants12071477
de Faria RQ, dos Santos ARP, Batista TB, Gariepy Y, da Silva EAA, Sartori MMP, Raghavan V. The Effect of Magneto-Priming on the Physiological Quality of Soybean Seeds. Plants. 2023; 12(7):1477. https://doi.org/10.3390/plants12071477
Chicago/Turabian Stylede Faria, Rute Q., Amanda R. P. dos Santos, Thiago B. Batista, Yvan Gariepy, Edvaldo A. A. da Silva, Maria M. P. Sartori, and Vijaya Raghavan. 2023. "The Effect of Magneto-Priming on the Physiological Quality of Soybean Seeds" Plants 12, no. 7: 1477. https://doi.org/10.3390/plants12071477
APA Stylede Faria, R. Q., dos Santos, A. R. P., Batista, T. B., Gariepy, Y., da Silva, E. A. A., Sartori, M. M. P., & Raghavan, V. (2023). The Effect of Magneto-Priming on the Physiological Quality of Soybean Seeds. Plants, 12(7), 1477. https://doi.org/10.3390/plants12071477

