The Effects of Two Organic Soil Amendments, Biochar and Insect Frass Fertilizer, on Shoot Growth of Cereal Seedlings
Abstract
1. Introduction
2. Materials and Methods
2.1. General Methods
2.1.1. Fertilizers and Biochar
2.1.2. Potting Mixes
2.1.3. Test Plants, Growing Conditions, and Harvesting
2.2. The effect of HexaFrass™ on Cereal Shoot Growth: Application Rate and Basal Nutrient Conditions
2.3. Response of Four Cereals to a Combination of HexaFrass™ and Biochar
2.4. Response of Barley to Four Types of Biochar in Granular and Powdered Forms
2.5. Response of Barley and Oats to Biochar Application Rate with and without HexaFrass™
2.6. Qualitative Changes in Cereal Foliage Following Application of Biochar and HexaFrass™
2.7. Statistical Analysis
3. Results
3.1. The Effect of HexaFrass™ on Cereal Shoot Growth: Application Rate and Basal Nutrient Conditions
3.2. Response of Four Cereals to a Combination of HexaFrass™ and Biochar
3.3. Response of Barley to Four Types of Biochar in Granular and Powdered Forms
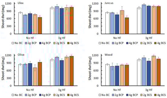
3.4. Response of Barley and Oats to Biochar Application Rate with and without HexaFrass™
3.5. Qualitative Changes in Cereal Foliage Following Application of Biochar and HexaFrass™
4. Discussion
5. Conclusions
Supplementary Materials
Author Contributions
Funding
Data Availability Statement
Acknowledgments
Conflicts of Interest
References
- Kopittke, P.M.; Menzies, N.W.; Wang, P.; McKenna, B.A.; Lombi, E. Soil and the intensification of agriculture for global food security. Environ. Int. 2019, 132, 105078. [Google Scholar] [CrossRef]
- Spiertz, J.H.J. Nitrogen, Sustainable Agriculture and Food Security: A Review. In Sustainable Agriculture; Lichtfouse, E., Navarrete, M., Debaeke, P., Véronique, S., Alberola, C., Eds.; Springer: Dordrecht, Germany, 2009. [Google Scholar] [CrossRef]
- Foley, J.A.; Ramankutty, N.; Brauman, K.A.; Cassidy, E.S.; Gerber, J.S.; Johnston, M.; Mueller, N.D.; O’Connell, C.; Ray, D.K.; West, P.C.; et al. Solutions for a cultivated planet. Nature 2011, 478, 337–342. [Google Scholar] [CrossRef] [PubMed]
- Good, A.G.; Beatty, P.H. Fertilizing nature: A tragedy of excess in the commons. PLoS Biol. 2011, 9, e1001124. [Google Scholar] [CrossRef] [PubMed]
- Robertson, M.; Macdonald, B.; Farrell, M.; Norman, H.; Macdonald, L.; Vadakattu, G.; Taylor, J. What Can Science Offer the Proponents of Regenerative Agriculture Practices? Occasional Paper No. 22.01; CSIRO Agriculture & Food, Australian Farm Institute: Eveleigh, Australia, 2022. [Google Scholar]
- Lehmann, J.; Joseph, S. Biochar for Environmental Management: An Introduction. In Biochar for Environmental Management: Science and Technology; Lehmann, J., Joseph, S., Eds.; Earthscan: London, UK, 2009; pp. 1–13. [Google Scholar]
- Taghizadeh-Toosi, A.; Clough, T.J.; Condron, L.M.; Sherlock, R.R.; Anderson, C.R.; Craigie, R.A. Biochar Incorporation into Pasture Soil Suppresses in situ Nitrous Oxide Emissions from Ruminant Urine Patches. J. Environ. Qual. 2011, 40, 468–476. [Google Scholar] [CrossRef]
- Trimble, W.H. On Charring Wood. Plough Loom Anvil. 1851, 3, 513–516. [Google Scholar]
- Jeffery, S.; Verheijen, F.G.A.; van der Velde, M.; Bastos, A.C. A quantitative review of the effects of biochar application to soils on crop productivity using meta-analysis. Agric. Ecosyst. Environ. 2011, 144, 175–187. [Google Scholar] [CrossRef]
- Yuan, J.H.; Xu, R.K. The amelioration effects of low temperature biochar generated from nine crop residues on an acidic Ultisol. Soil Use Manag. 2011, 27, 110–115. [Google Scholar] [CrossRef]
- Biederman, L.A.; Harpole, W.S. Biochar and its effects on plant productivity and nutrient cycling: A meta-analysis. Global. Change Biol. Bioenergy 2013, 5, 202–214. [Google Scholar] [CrossRef]
- Schulz, H.; Dunst, G.; Glaser, B. Positive effects of composted biochar on plant growth and soil fertility. Agron. Sustain. Dev. 2013, 33, 817–827. [Google Scholar] [CrossRef]
- Thangarajan, R.; Bolan, N.S.; Kunhikrishnan, A.; Wijesekara, H.; Xu, Y.; Tsang, D.C.; Song, H.; Ok, Y.S.; Hou, D. The potential value of biochar in the mitigation of gaseous emission of nitrogen. Sci. Total Environ. 2018, 612, 226–257. [Google Scholar] [CrossRef]
- Osman, A.I.; Fawzy, S.; Farghali, M.; El-Azazy, M.; Elgarahy, A.M.; Fahim, R.A.; Maksoud, M.I.A.A.; Ajlan, A.A.; Yousry, M.; Saleem, Y.; et al. Biochar for agronomy, animal farming, anaerobic digestion, composting, water treatment, soil remediation, construction, energy storage, and carbon sequestration: A review. Environ. Chem. Lett. 2022, 20, 2385–2485. [Google Scholar] [CrossRef]
- Shinogi, Y.; Kanri, Y. Pyrolysis of plant, animal and human waste: Physical and chemical characterization of the pyrolytic products. Bioresour. Technol. 2003, 90, 241–247. [Google Scholar] [CrossRef]
- Kammann, C.I.; Linsel, S.; Gößling, J.W.; Koyro, H. Influence of biochar on drought tolerance of Chenopodium quinoa Willd and on soil–plant relations. Plant Soil 2011, 345, 195–210. [Google Scholar] [CrossRef]
- Uzoma, K.C.; Inoue, M.; Andry, H.; Fujimaki, H.; Zahoor, A.; Nishihara, E. Effect of cow manure biochar on maize productivity under sandy soil condition: Cow manure biochar agronomic effects in sandy soil. Soil Use Manag. 2011, 27, 205–212. [Google Scholar] [CrossRef]
- Bruun, E.W.; Petersen, C.T.; Hansen, E.; Holm, J.K.; Hauggaard-Nielsen, H. Biochar amendment to coarse sandy subsoil improves root growth and increases water retention. Soil Use Manag. 2014, 30, 109–118. [Google Scholar] [CrossRef]
- Steiner, C.; Glaser, B.; Geraldes Teixeira, W.; Lehmann, J.; Blum, W.E.H.; Zech, W. Nitrogen retention and plant uptake on a highly weathered central Amazonian Ferralsol amended with compost and charcoal. J. Plant Nutr. Soil Sci. 2008, 171, 893–899. [Google Scholar] [CrossRef]
- Ippolito, J.A.; Stromberger, M.E.; Lentz, R.D.; Dungan, R.S. Hardwood biochar influences calcareous soil physicochemical and microbiological status. J. Environ. Qual. 2014, 43, 681–689. [Google Scholar] [CrossRef]
- Jones, D.L.; Rousk, J.; Edwards-Jones, G.; DeLuca, T.H.; Murphy, D.V. Biochar-mediated changes in soil quality and plant growth in a three-year field trial. Soil Biol. Biochem. 2012, 45, 113–124. [Google Scholar] [CrossRef]
- Wang, Y.; Villamil, M.B.; Davidson, P.C.; Akdeniz, N. A quantitative understanding of the role of co-composted biochar in plant growth using meta-analysis. Sci. Total Environ. 2019, 685, 741–752. [Google Scholar] [CrossRef]
- Barragán-Fonseca, K.Y.; Nurfikari, A.; van de Zande, E.M.; Wantulla, M.; van Loon, J.J.; de Boer, W.; Dicke, M. Insect frass and exuviae to promote plant growth and health. Trends Plant Sci. 2022, 27, 646–654. [Google Scholar] [CrossRef]
- Borkent, S.; Hodge, S. Glasshouse evaluation of the Black Soldier Fly waste product HexaFrass™ as an organic fertilizer. Insects 2021, 12, 977. [Google Scholar] [CrossRef]
- Smitt, E.; de Vries, W. Potential benefits of using Hermetia illucens frass as a soil amendment on food production and for environmental impact reduction. Opin. Green Sustain. Chem. 2020, 25, 100335. [Google Scholar] [CrossRef]
- Menino, R.; Felizes, F.; Castelo-Branco, M.A.; Fareleira, P.; Moreira, O.; Nunes, R.; Murta, D. Agricultural value of Black Soldier Fly larvae frass as organic fertilizer on ryegrass. Heliyon 2021, 7, e05855. [Google Scholar] [CrossRef] [PubMed]
- Poveda, J. Insect frass in the development of sustainable agriculture: A review. Agron. Sustain. Dev. 2021, 41, 1–10. [Google Scholar] [CrossRef]
- Hodge, S. Beetles for sale: Could insect farming feed us all and help save the planet? Wētā 2022, 56, 1–12. [Google Scholar]
- Choi, Y.; Choi, J.; Kim, J.; Kim, M.; Kim, W.; Park, K.; Bae, S.; Jeong, G. Potential usage of food waste as a natural fertilizer after digestion by Hermetial Illucens (Diptera: Stratiomyidae). Int. J. Ind. Entomol. 2009, 19, 171–174. [Google Scholar]
- Quilliam, R.; Nuku-Adeku, C.; Maquart, P.-O.; Little, D.; Newton, R.; Murray, F. Integrating insect frass biofertilisers into sustainable peri-urban agro-food systems. J. Insects Food Feed 2020, 6, 1–8. [Google Scholar] [CrossRef]
- Tanga, C.; Beesigamukama, D.; Kassie, M.; Egonyu, P.; Ghemoh, C.J.; Nkoba, K.; Subramanian, S.; Anyega, A.; Ekesi, S. Performance of black soldier fly frass fertiliser on maize (Zea mays L.) growth, yield, nutritional quality, and economic returns. J. Insects Food Feed 2022, 8, 185–196. [Google Scholar] [CrossRef]
- van Huis, A.; Rumpold, B.A.; van der Fels-Klerx, H.J.; Tomberlin, J.K. Advancing edible insects as food and feed in a circular economy. J. Insects Food Feed 2021, 7, 935–948. [Google Scholar] [CrossRef]
- Diener, S.; Lalander, C.; Zurbruegg, C.; Vinnerås, B. Opportunities and constraints for medium-scale organic waste treatment with fly larvae composting. In Proceedings of the Fifteenth International Waste Management and Landfill Symposium, Cagliari, Italy, 5–9 October 2015. [Google Scholar]
- Tan, J.K.N.; Lee, J.T.E.; Chiam, Z.; Song, S.; Arora, S.; Tong, Y.W.; Tan, H.T.W. Applications of food waste-derived black soldier fly larval frass as incorporated compost, side-dress fertilizer and frass-tea drench for soilless cultivation of leafy vegetables in biochar-based growing media. Waste Manag. 2021, 130, 155–166. [Google Scholar] [CrossRef]
- Hodge, S.; Conway, J. The Effects of Insect Frass Fertilizer and Biochar on the Shoot Growth of Chicory and Plantain, Two Forage Herbs Commonly Used in Multispecies Swards. Agronomy 2022, 12, 2459. [Google Scholar] [CrossRef]
- Butnan, S.; Deenik, J.L.; Toomsan, B.; Antal, M.J.; Vityakon, P. Biochar characteristics and application rates affecting corn growth and properties of soils contrasting in texture and mineralogy. Geoderma 2015, 237–238, 105–116. [Google Scholar] [CrossRef]
- Houben, D.; Daoulas, G.; Faucon, M.-P.; Dulaurent, A.-M. Potential use of mealworm frass as a fertilizer: Impact on crop growth and soil properties. Sci. Rep. 2020, 10, 4659. [Google Scholar] [CrossRef] [PubMed]
- Gebremikael, M.T.; Wickeren, N.; Hosseini, P.S.; De Neve, S. The impacts of Black Soldier Fly frass on nitrogen availability, microbial activities, C sequestration, and plant growth. Front. Sustain. Food Syst. 2022, 6, 795950. [Google Scholar] [CrossRef]
- Gathorne-Hardy, A.; Knight, J.; Woods, J. Biochar as a soil amendment positively interacts with nitrogen fertiliser to improve barley yields in the UK. Earth Environ. Sci. 2009, 6, 372052. [Google Scholar] [CrossRef]
- Laird, D.; Novak, J.; Collins, H.; Ippolito, J.; Karlen, D.; Lentz, R.; Sistani, K.; Spokas, K.; Van Pelt, R. Multi-year and multi-location soil quality and crop biomass yield responses to hardwood fast pyrolysis biocha. Geoderma 2017, 289, 46–53. [Google Scholar] [CrossRef]
- Hackett, R. Agronomy of Triticale under Irish Conditions; Teagasc Technology Updates: Oak Park, IL, USA, 2012. [Google Scholar]
- McClatchie, M. A long tradition of cereal production. Seanda 2011, 6, 8–11. [Google Scholar]
- Kozak, M.; Piepho, H.-P. What’s normal anyway? Residual plots are more telling than significance tests when checking ANOVA assumptions. J. Agron. Crop. Sci. 2018, 204, 86–98. [Google Scholar] [CrossRef]
- Chiam, Z.; Lee, J.T.E.; Tan, J.K.N.; Song, S.; Arora, S.; Tong, Y.W.; Tan, H.T.W. Evaluating the potential of okara-derived black soldier fly larval frass as a soil amendment. J. Environ. Manag. 2021, 286, 112163. [Google Scholar] [CrossRef] [PubMed]
- Song, S.; Wei, A.; Koon, J.; Cheong, J.C.; Chiam, Z.; Arora, S.; Lam, W.N.; Tan, H.T.W. Upcycling food waste using black soldier fly larvae: Effects of further composting on frass quality, fertilising effect and its global warming potential. J. Clean. Prod. 2021, 288, 125664. [Google Scholar] [CrossRef]
- Andrews, M.; Condron, L.M.; Kemp, P.D.; Topping, J.F.; Lindsey, K.; Hodge, S.; Raven, J.A. Effects of elevated atmospheric [CO2] on nitrogen (N) assimilation and growth of C3 vascular plants will be similar regardless of N-form assimilated. J. Exper. Bot. 2018, 70, 683–690. [Google Scholar] [CrossRef] [PubMed]
- Ali, K.; Wang, X.; Riaz, M.; Islam, B.; Khan, Z.H.; Shah, F.; Munsif, F.; Haq, S.I.U. Biochar: An eco-friendly approach to improve wheat yield and associated soil properties on sustainable basis. Pak. J. Bot. 2019, 54, 1255–1261. [Google Scholar] [CrossRef]
- Ochiai, S.; Iwabuchi, K.; Itoh, T.; Watanabe, T.; Osaki, M.; Taniguro, K. Effects of Different Feedstock Type and Carbonization Temperature of Biochar on Oat Growth and Nitrogen Uptake in Coapplication with Compost. J. Soil Sci. Plant Nutrit. 2021, 21, 276–285. [Google Scholar] [CrossRef]
- Edmeades, D.C. The effects of liquid fertilisers derived from natural products on crop, pasture, and animal production: A review. Aust. J. Agric. Res. 2002, 53, 965–976. [Google Scholar] [CrossRef]
- Hodge, S.; Merfield, C.N.; Creasy, G.L. The effect of organically derived fertilisers on early growth of Pinot noir cuttings under glasshouse conditions. N. Z. J. Crop Hort Sci. 2017, 45, 223–231. [Google Scholar] [CrossRef]
- Hodge, S.; Merfield, C.N.; Liu, W.Y.Y.; Tan, H.W. Seedling responses to organically-derived plant growth promoters: An effects-based approach. Plants 2021, 10, 660. [Google Scholar] [CrossRef]
- Nicksy, J.; Amiro, B.; Entz, M. Recycled nutrients supply phosphorus for organically-managed wheat and forage crops. Nutr. Cycl. Agroecosyst 2022, 123, 37–151. [Google Scholar] [CrossRef]
- Castells, L.I.; Bach, A.; Araujo, G.; Montoro, C.; Terré, M. Effect of different forage sources on performance and feeding behavior of Holstein calves. J. Dairy Sci. 2012, 9, 286–293. [Google Scholar] [CrossRef]
- Agustiyani, D.; Agandi, R.; Arinafril; Nugroho, A.A.; Antonius, S. The effect of application of compost and frass from Black Soldier Fly Larvae (Hermetia illucens L.) on growth of Pakchoi (Brassica rapa L.). Earth Environ. Sci. 2021, 762, 012036. [Google Scholar] [CrossRef]
- Beesigamukama, D.; Mochoge, B.; Korir, N.K.; Fiaboe, K.K.M.; Nakimbugwe, D.; Khamis, F.M.; Subramanian, S.; Dubois, T.; Musyoka, M.W.; Ekesi, S.; et al. Exploring black soldier fly frass as novel fertilizer for improved growth, yield, and nitrogen use efficiency of maize under field conditions. Front. Plant Sci. 2020, 11, 574592. [Google Scholar] [CrossRef]
- Behie, S.W.; Bidochka, M.J. Insects as a nitrogen source for plants. Insects 2013, 4, 413–424. [Google Scholar] [CrossRef]
- Sun, H.; Zhang, H.; Shi, W.; Zhou, M.; Ma, X. Effect of biochar on nitrogen use efficiency, grain yield and amino acid content of wheat cultivated on saline soil. Plant Soil Environ. 2019, 65, 83–89. [Google Scholar] [CrossRef]
- Asai, H.; Samson, B.K.; Stephan, H.M.; Songyikhangsuthor, K.; Homma, K.; Kiyono, Y.; Inoue, Y.; Shiraiwa, T.; Horie, T. Biochar amendment techniques for upland rice production in Northern Laos. 1. Soil physical properties, leaf SPAD and grain yield. Field Crops Res. 2009, 111, 81–84. [Google Scholar] [CrossRef]
- Huang, L.; Niu, G.; Feagley, S.E.; Gu, M. Evaluation of a hardwood biochar and two composts mixes as replacements for a peat-based commercial substrate. Ind. Crops Prod. 2019, 129, 549–560. [Google Scholar] [CrossRef]
- Houben, D.; Daoulas, G.; Dulaurent, A.-M. Assessment of the Short-Term Fertilizer Potential of Mealworm Frass Using a Pot Experiment. Front. Sustain. Food Syst. 2021, 5, 714596. [Google Scholar] [CrossRef]







Disclaimer/Publisher’s Note: The statements, opinions and data contained in all publications are solely those of the individual author(s) and contributor(s) and not of MDPI and/or the editor(s). MDPI and/or the editor(s) disclaim responsibility for any injury to people or property resulting from any ideas, methods, instructions or products referred to in the content. |
© 2023 by the authors. Licensee MDPI, Basel, Switzerland. This article is an open access article distributed under the terms and conditions of the Creative Commons Attribution (CC BY) license (https://creativecommons.org/licenses/by/4.0/).
Share and Cite
Carroll, A.; Fitzpatrick, M.; Hodge, S. The Effects of Two Organic Soil Amendments, Biochar and Insect Frass Fertilizer, on Shoot Growth of Cereal Seedlings. Plants 2023, 12, 1071. https://doi.org/10.3390/plants12051071
Carroll A, Fitzpatrick M, Hodge S. The Effects of Two Organic Soil Amendments, Biochar and Insect Frass Fertilizer, on Shoot Growth of Cereal Seedlings. Plants. 2023; 12(5):1071. https://doi.org/10.3390/plants12051071
Chicago/Turabian StyleCarroll, Aaron, Mark Fitzpatrick, and Simon Hodge. 2023. "The Effects of Two Organic Soil Amendments, Biochar and Insect Frass Fertilizer, on Shoot Growth of Cereal Seedlings" Plants 12, no. 5: 1071. https://doi.org/10.3390/plants12051071
APA StyleCarroll, A., Fitzpatrick, M., & Hodge, S. (2023). The Effects of Two Organic Soil Amendments, Biochar and Insect Frass Fertilizer, on Shoot Growth of Cereal Seedlings. Plants, 12(5), 1071. https://doi.org/10.3390/plants12051071

