Cover Crops Modulate the Response of Arbuscular Mycorrhizal Fungi to Water Supply: A Field Study in Corn
Abstract
:1. Introduction
2. Results
2.1. Corn AMF Colonization and Yield
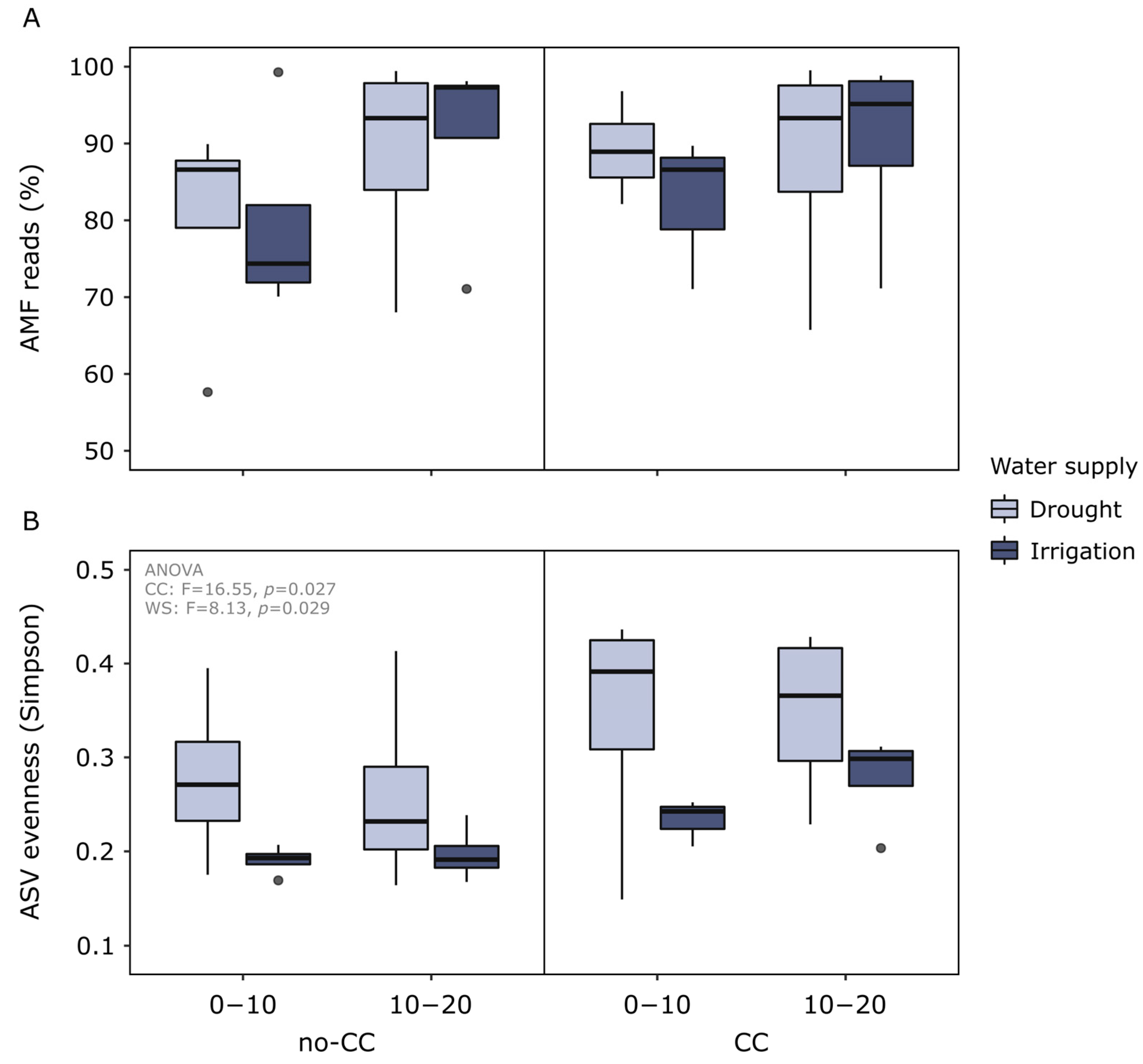
2.2. Soil AMF Diversity and Composition
2.3. Soil AMF Taxa
3. Discussion
4. Methods
4.1. Site Description and Experimental Design
4.2. Complementary Soil and Plant Data
4.3. Soil and Root Sampling for AMF Analyses
4.4. AMF Colonization of Corn Roots
4.5. Soil DNA Extraction and Illumina Sequencing
4.6. Bioinformatics
4.7. Data Analysis
Supplementary Materials
Author Contributions
Funding
Data Availability Statement
Acknowledgments
Conflicts of Interest
References
- Bowles, T.M.; Jackson, L.E.; Cavagnaro, T.R. Mycorrhizal Fungi Enhance Plant Nutrient Acquisition and Modulate Nitrogen Loss with Variable Water Regimes. Glob. Chang. Biol. 2018, 24, e171–e182. [Google Scholar] [CrossRef] [PubMed]
- Mohan, J.E.; Cowden, C.C.; Baas, P.; Dawadi, A.; Frankson, P.T.; Helmick, K.; Hughes, E.; Khan, S.; Lang, A.; Machmuller, M.; et al. Mycorrhizal Fungi Mediation of Terrestrial Ecosystem Responses to Global Change: Mini-Review. Fungal Ecol. 2014, 10, 3–19. [Google Scholar] [CrossRef]
- Gaudin, A.C.M.; Tolhurst, T.N.; Ker, A.P.; Janovicek, K.; Tortora, C.; Martin, R.C.; Deen, W. Increasing Crop Diversity Mitigates Weather Variations and Improves Yield Stability. PLoS ONE 2015, 10, e0113261. [Google Scholar] [CrossRef] [PubMed] [Green Version]
- Ogilvie, C.M.; Deen, W.; Martin, R.C. Service Crop Management to Maximize Crop Water Supply and Improve Agroecosystem Resilience: A Review. J. Soil Water Conserv. 2019, 74, 389–404. [Google Scholar] [CrossRef]
- Gaudin, A.C.M.; Tolhurst, T.; Ker, A.; Martin, R.; Deen, W. Agroecological Approaches to Mitigate Increasing Limitation of Corn Yields by Water Availability. Procedia Environ. Sci. 2015, 29, 11–12. [Google Scholar] [CrossRef] [Green Version]
- Blanco-Canqui, H.; Shaver, T.M.; Lindquist, J.L.; Shapiro, C.A.; Elmore, R.W.; Francis, C.A.; Hergert, G.W. Cover Crops and Ecosystem Services: Insights from Studies in Temperate Soils. Agron. J. 2015, 107, 2449–2474. [Google Scholar] [CrossRef] [Green Version]
- Blanco-Canqui, H.; Ruis, S.J.; Holman, J.D.; Creech, C.F.; Obour, A.K. Can Cover Crops Improve Soil Ecosystem Services in Water-Limited Environments? A Review. Soil Sci. Soc. Am. J. 2022, 86, 1–18. [Google Scholar] [CrossRef]
- Kaye, J.P.; Quemada, M. Using Cover Crops to Mitigate and Adapt to Climate Change. A Review. Agron. Sustain. Dev. 2017, 37, 4. [Google Scholar] [CrossRef] [Green Version]
- Tosi, M.; Drummelsmith, J.; Obregón, D.; Chahal, I.; Van Eerd, L.L.; Dunfield, K.E. Cover Crop-Driven Shifts in Soil Microbial Communities Could Modulate Early Tomato Biomass via Plant-Soil Feedbacks. Sci. Rep. 2022, 12, 9140. [Google Scholar] [CrossRef]
- Kim, N.; Zabaloy, M.C.; Guan, K.; Villamil, M.B. Do Cover Crops Benefit Soil Microbiome? A Meta-Analysis of Current Research. Soil Biol. Biochem. 2020, 142, 107701. [Google Scholar] [CrossRef]
- Drost, S.M.; Rutgers, M.; Wouterse, M.; de Boer, W.; Bodelier, P.L.E. Decomposition of Mixtures of Cover Crop Residues Increases Microbial Functional Diversity. Geoderma 2020, 361, 114060. [Google Scholar] [CrossRef]
- Parniske, M. Arbuscular Mycorrhiza: The Mother of Plant Root Endosymbioses. Nat. Rev. Microbiol. 2008, 6, 763–775. [Google Scholar] [CrossRef] [PubMed]
- Bowles, T.M.; Jackson, L.E.; Loeher, M.; Cavagnaro, T.R. Ecological Intensification and Arbuscular Mycorrhizas: A Meta-Analysis of Tillage and Cover Crop Effects. J. Appl. Ecol. 2017, 54, 1785–1793. [Google Scholar] [CrossRef] [Green Version]
- Verbruggen, E.; Toby Kiers, E. Evolutionary Ecology of Mycorrhizal Functional Diversity in Agricultural Systems. Evol. Appl. 2010, 3, 547–560. [Google Scholar] [CrossRef]
- Oehl, F.; Sieverding, E.; Ineichen, K.; Mäder, P.; Boller, T.; Wiemken, A. Impact of Land Use Intensity on the Species Diversity of Arbuscular Mycorrhizal Fungi in Agroecosystems of Central Europe. Appl. Environ. Microbiol. 2003, 69, 2816–2824. [Google Scholar] [CrossRef] [Green Version]
- Hontoria, C.; García-González, I.; Quemada, M.; Roldán, A.; Alguacil, M.M.M. The Cover Crop Determines the AMF Community Composition in Soil and in Roots of Maize after a Ten-Year Continuous Crop Rotation. Sci. Total Environ. 2019, 660, 913–922. [Google Scholar] [CrossRef]
- Higo, M.; Tatewaki, Y.; Gunji, K.; Kaseda, A.; Isobe, K. Cover Cropping Can Be a Stronger Determinant than Host Crop Identity for Arbuscular Mycorrhizal Fungal Communities Colonizing Maize and Soybean. PeerJ 2019, 2019, e6403. [Google Scholar] [CrossRef] [Green Version]
- Turrini, A.; Sbrana, C.; Avio, L.; Njeru, E.M.; Bocci, G.; Bàrberi, P.; Giovannetti, M. Changes in the Composition of Native Root Arbuscular Mycorrhizal Fungal Communities during a Short-Term Cover Crop-Maize Succession. Biol. Fertil. Soils 2016, 52, 643–653. [Google Scholar] [CrossRef]
- Njeru, E.M.; Avio, L.; Bocci, G.; Sbrana, C.; Turrini, A.; Bàrberi, P.; Giovannetti, M.; Oehl, F. Contrasting Effects of Cover Crops on ‘Hot Spot’ Arbuscular Mycorrhizal Fungal Communities in Organic Tomato. Biol. Fertil. Soils 2015, 51, 151–166. [Google Scholar] [CrossRef]
- García-González, I.; Quemada, M.; Gabriel, J.L.; Hontoria, C. Arbuscular Mycorrhizal Fungal Activity Responses to Winter Cover Crops in a Sunflower and Maize Cropping System. Appl. Soil Ecol. 2016, 102, 10–18. [Google Scholar] [CrossRef]
- Karasawa, T.; Ariharal, J.; Kasahara, Y. Effects of Previous Crops on Arbuscular Mycorrhizal Formation and Growth of Maize under Various Soil Moisture Conditions. Soil Sci. Plant Nutr. 2000, 46, 53–60. [Google Scholar] [CrossRef]
- Karasawa, T.; Takebe, M. Temporal or Spatial Arrangements of Cover Crops to Promote Arbuscular Mycorrhizal Colonization and P Uptake of Upland Crops Grown after Nonmycorrhizal Crops. Plant Soil 2012, 353, 355–366. [Google Scholar] [CrossRef]
- Lehman, R.M.; Osborne, S.L.; Taheri, W.I.; Buyer, J.S.; Chim, B.K. Comparative Measurements of Arbuscular Mycorrhizal Fungal Responses to Agricultural Management Practices. Mycorrhiza 2019, 29, 227–235. [Google Scholar] [CrossRef] [PubMed]
- Barbosa, L.S.; de Souza, T.A.F.; de Oliveira Lucena, E.; da Silva, L.J.R.; Laurindo, L.K.; dos Santos Nascimento, G.; Santos, D. Arbuscular Mycorrhizal Fungi Diversity and Transpiratory Rate in Long-Term Field Cover Crop Systems from Tropical Ecosystem, Northeastern Brazil. Symbiosis 2021, 85, 207–216. [Google Scholar] [CrossRef]
- Higo, M.; Isobe, K.; Kondo, T.; Yamaguchi, M.; Takeyama, S.; Drijber, R.A.; Torigoe, Y. Temporal Variation of the Molecular Diversity of Arbuscular Mycorrhizal Communities in Three Different Winter Cover Crop Rotational Systems. Biol. Fertil. Soils 2015, 51, 21–32. [Google Scholar] [CrossRef]
- Lehman, R.M.; Taheri, W.I.; Osborne, S.L.; Buyer, J.S.; Douds, D.D. Fall Cover Cropping Can Increase Arbuscular Mycorrhizae in Soils Supporting Intensive Agricultural Production. Appl. Soil Ecol. 2012, 61, 300–304. [Google Scholar] [CrossRef]
- Calderón, F.J.; Nielsen, D.; Acosta-Martínez, V.; Vigil, M.F.; Lyon, D. Cover Crop and Irrigation Effects on Soil Microbial Communities and Enzymes in Semiarid Agroecosystems of the Central Great Plains of North America. Pedosphere 2016, 26, 192–205. [Google Scholar] [CrossRef]
- Njeru, E.M.; Avio, L.; Sbrana, C.; Turrini, A.; Bocci, G.; Bàrberi, P. First Evidence for a Major Cover Crop Effect on Arbuscular Mycorrhizal Fungi and Organic Maize Growth. Agron. Sustain. Dev. 2014, 34, 841–848. [Google Scholar] [CrossRef] [Green Version]
- Rillig, M.C.; Mummey, D.L. Mycorrhizas and Soil Structure. New Phytol. 2006, 171, 41–53. [Google Scholar] [CrossRef]
- Symanczik, S.; Courty, P.E.; Boller, T.; Wiemken, A.; Al-Yahya’ei, M.N. Impact of Water Regimes on an Experimental Community of Four Desert Arbuscular Mycorrhizal Fungal (AMF) Species, as Affected by the Introduction of a Non-Native AMF Species. Mycorrhiza 2015, 25, 639–647. [Google Scholar] [CrossRef]
- Klironomos, J.N.; Hart, M.M.; Gurney, J.E.; Moutoglis, P. Interspecific Differences in the Tolerance of Arbuscular Mycorrhizal Fungi to Freezing and Drying. Can. J. Bot. 2001, 79, 1161–1166. [Google Scholar] [CrossRef]
- Kavadia, A.; Omirou, M.; Fasoula, D.; Trajanoski, S.; Andreou, E.; Ioannides, I.M. Genotype and Soil Water Availability Shape the Composition of AMF Communities at Chickpea Early Growth Stages. Appl. Soil Ecol. 2020, 150, 103443. [Google Scholar] [CrossRef]
- Deveautour, C.; Donn, S.; Power, S.A.; Bennett, A.E.; Powell, J.R. Experimentally Altered Rainfall Regimes and Host Root Traits Affect Grassland Arbuscular Mycorrhizal Fungal Communities. Mol. Ecol. 2018, 27, 2152–2163. [Google Scholar] [CrossRef]
- Li, X.; Zhu, T.; Peng, F.; Chen, Q.; Lin, S.; Christie, P.; Zhang, J. Inner Mongolian Steppe Arbuscular Mycorrhizal Fungal Communities Respond More Strongly to Water Availability than to Nitrogen Fertilization. Environ. Microbiol. 2015, 17, 3051–3068. [Google Scholar] [CrossRef] [PubMed]
- Emery, S.M.; Bell-Dereske, L.; Stahlheber, K.A.; Gross, K.L. Arbuscular Mycorrhizal Fungal Community Responses to Drought and Nitrogen Fertilization in Switchgrass Stands. Appl. Soil Ecol. 2022, 169, 104218. [Google Scholar] [CrossRef]
- Kozjek, K.; Kundel, D.; Kushwaha, S.K.; Olsson, P.A.; Ahrén, D.; Fliessbach, A.; Birkhofer, K.; Hedlund, K. Long-Term Agricultural Management Impacts Arbuscular Mycorrhizal Fungi More than Short-Term Experimental Drought. Appl. Soil Ecol. 2021, 168, 104140. [Google Scholar] [CrossRef]
- Lü, P.P.; Zheng, Y.; Chen, L.; Ji, N.N.; Yao, H.; Maitra, P.; Hu, H.W.; Li, X.C.; Guo, L.D. Irrigation and Fertilization Effects on Arbuscular Mycorrhizal Fungi Depend on Growing Season in a Dryland Maize Agroecosystem. Pedobiologia 2020, 83, 150687. [Google Scholar] [CrossRef]
- Zhang, J.; Wang, F.; Che, R.; Wang, P.; Liu, H.; Ji, B.; Cui, X. Precipitation Shapes Communities of Arbuscular Mycorrhizal Fungi in Tibetan Alpine Steppe. Sci. Rep. 2016, 6, 23488. [Google Scholar] [CrossRef] [Green Version]
- Maitra, P.; Zheng, Y.; Chen, L.; Wang, Y.L.; Ji, N.N.; Lü, P.P.; Gan, H.Y.; Li, X.C.; Sun, X.; Zhou, X.H.; et al. Effect of Drought and Season on Arbuscular Mycorrhizal Fungi in a Subtropical Secondary Forest. Fungal Ecol. 2019, 41, 107–115. [Google Scholar] [CrossRef]
- Gao, C.; Kim, Y.C.; Zheng, Y.; Yang, W.; Chen, L.; Ji, N.N.; Wan, S.Q.; Guo, L.D. Increased Precipitation, Rather than Warming, Exerts a Strong Influence on Arbuscular Mycorrhizal Fungal Community in a Semiarid Steppe Ecosystem. Botany 2016, 94, 459–469. [Google Scholar] [CrossRef]
- Habibzadeh, Y.; Jalilian, J.; Zardashti, M.R.; Pirzad, A.; Eini, O. Some Morpho-Physiological Characteristics of Mung Bean Mycorrhizal Plants under Different Irrigation Regimes in Field Condition. J. Plant Nutr. 2015, 38, 1754–1767. [Google Scholar] [CrossRef]
- Lenoir, I.; Fontaine, J.; Lounès-Hadj Sahraoui, A. Arbuscular Mycorrhizal Fungal Responses to Abiotic Stresses: A Review. Phytochemistry 2016, 123, 4–15. [Google Scholar] [CrossRef] [PubMed]
- Clark, N.M.; Rillig, M.C.; Nowak, R.S. Arbuscular Mycorrhizal Fungal Abundance in the Mojave Desert: Seasonal Dynamics and Impacts of Elevated CO2. J. Arid Environ. 2009, 73, 834–843. [Google Scholar] [CrossRef]
- Augé, R.M. Water Relations, Drought and Vesicular-Arbuscular Mycorrhizal Symbiosis. Mycorrhiza 2001, 11, 3–42. [Google Scholar] [CrossRef]
- Jansa, J.; Wiemken, A.; Frossard, E. The Effects of Agricultural Practices on Arbuscular Mycorrhizal Fungi. Geol. Soc. Spec. Publ. 2006, 266, 89–115. [Google Scholar] [CrossRef]
- Guzman, A.; Montes, M.; Hutchins, L.; DeLaCerda, G.; Yang, P.; Kakouridis, A.; Dahlquist-Willard, R.M.; Firestone, M.K.; Bowles, T.; Kremen, C. Crop Diversity Enriches Arbuscular Mycorrhizal Fungal Communities in an Intensive Agricultural Landscape. New Phytol. 2021, 231, 447–459. [Google Scholar] [CrossRef]
- Sobat, E.; Whalen, J.K. Mycorrhizal Colonization Associated with Roots of Field-Grown Maize Does Not Decline with Increasing Plant-Available Phosphorus. Soil Use Manag. 2022, 38, 1370–1379. [Google Scholar] [CrossRef]
- Kabir, Z.; Koide, R.T. Effect of Autumn and Winter Mycorrhizal Cover Crops on Soil Properties, Nutrient Uptake and Yield of Sweet Corn in Pennsylvania, USA. Plant Soil 2002, 238, 205–215. [Google Scholar] [CrossRef]
- McPherson, M.; Stengel, A.; Tosi, M.; Dunfield, K.; Deen, W.; Drijber, R. Current Season N Fertilization Rate, Not Prior N History, Dictates Extramatrical Hyphal Biomass of Arbuscular Mycorrhizal Fungi in Soil at Maize Reproduction. In Proceedings of the 2019 ASA-CSSA-SSSA International Annual Meeting, San Antonio, TX, USA, 10–13 November 2019. [Google Scholar]
- Higo, M.; Isobe, K.; Miyazawa, Y.; Matsuda, Y. Molecular Diversity and Distribution of Indigenous Arbuscular Mycorrhizal Communities Colonizing Roots of Two Different Winter Cover Crops in Response to Their Root Proliferation. J. Microbiol. 2016, 54, 86–97. [Google Scholar] [CrossRef]
- Higo, M.; Tatewaki, Y.; Iida, K.; Yokota, K.; Isobe, K. Amplicon Sequencing Analysis of Arbuscular Mycorrhizal Fungal Communities Colonizing Maize Roots in Different Cover Cropping and Tillage Systems. Sci. Rep. 2020, 10, 6039. [Google Scholar] [CrossRef] [Green Version]
- Trevizan Chiomento, J.L.; Stürmer, S.L.; Carrenho, R.; Castoldi da Costa, R.; Meredith Scheffer-Basso, S.; Corrêa Antunes, L.E.; Nienow, A.A.; Oliveira Calvete, E. Composition of Arbuscular Mycorrhizal Fungi Communities Signals Generalist Species in Soils Cultivated with Strawberry. Sci. Hortic. 2019, 253, 286–294. [Google Scholar] [CrossRef]
- Bindell, M.; Luo, J.; Walsh, E.; Wagner, N.E.; Miller, S.J.; Cai, G.; Bonos, S.A.; Zhang, N. Arbuscular Mycorrhizal Fungal Communities Associated with Switchgrass (Panicum virgatum L.) in the Acidic, Oligotrophic Pine Barrens Ecosystem. Grass Res. 2021, 1, 2. [Google Scholar] [CrossRef]
- Basiru, S.; Hijri, M. Does Commercial Inoculation Promote Arbuscular Mycorrhizal Fungi Invasion? Microorganisms 2022, 10, 404. [Google Scholar] [CrossRef] [PubMed]
- Oehl, F.; Laczko, E.; Bogenrieder, A.; Stahr, K.; Bösch, R.; van der Heijden, M.; Sieverding, E. Soil Type and Land Use Intensity Determine the Composition of Arbuscular Mycorrhizal Fungal Communities. Soil Biol. Biochem. 2010, 42, 724–738. [Google Scholar] [CrossRef]
- Wang, Y.Y.; Vestberg, M.; Walker, C.; Hurme, T.; Zhang, X.; Lindström, K. Diversity and Infectivity of Arbuscular Mycorrhizal Fungi in Agricultural Soils of the Sichuan Province of Mainland China. Mycorrhiza 2008, 18, 59–68. [Google Scholar] [CrossRef]
- Navarro Borrell, A.; Shi, Y.; Gan, Y.; Bainard, L.D.; Germida, J.J.; Hamel, C. Fungal Diversity Associated with Pulses and Its Influence on the Subsequent Wheat Crop in the Canadian Prairies. Plant Soil 2017, 414, 13–31. [Google Scholar] [CrossRef]
- Zhang, B.; Li, S.; Chen, S.; Ren, T.; Yang, Z.; Zhao, H.; Liang, Y.; Han, X. Arbuscular Mycorrhizal Fungi Regulate Soil Respiration and Its Response to Precipitation Change in a Semiarid Steppe. Sci. Rep. 2016, 6, 19990. [Google Scholar] [CrossRef] [Green Version]
- Hunter, M.C.; Kemanian, A.R.; Mortensen, D.A. Cover Crop Effects on Maize Drought Stress and Yield. Agric. Ecosyst. Environ. 2021, 311, 107294. [Google Scholar] [CrossRef]
- Berruti, A.; Lumini, E.; Balestrini, R.; Bianciotto, V. Arbuscular Mycorrhizal Fungi as Natural Biofertilizers: Let’s Benefit from Past Successes. Front. Microbiol. 2016, 6, 1559. [Google Scholar] [CrossRef] [Green Version]
- Ryan, M.H.; Van Herwaarden, A.F.; Angus, J.F.; Kirkegaard, J.A. Reduced Growth of Autumn-Sown Wheat in a Low-P Soil Is Associated with High Colonisation by Arbuscular Mycorrhizal Fungi. Plant Soil 2005, 270, 275–286. [Google Scholar] [CrossRef]
- Verbruggen, E.; Kiers, E.T.; Bakelaar, P.N.C.; Röling, W.F.M.; van der Heijden, M.G.A. Provision of Contrasting Ecosystem Services by Soil Communities from Different Agricultural Fields. Plant Soil 2012, 350, 43–55. [Google Scholar] [CrossRef] [Green Version]
- Andrew Smith, F.; Smith, S.E. What Is the Significance of the Arbuscular Mycorrhizal Colonisation of Many Economically Important Crop Plants? Plant Soil 2011, 348, 63–79. [Google Scholar] [CrossRef]
- Ogilvie, C.M.; Van Arkel, L.; Van Eerd, L.L.; Lauzon, J.D.; Deen, B.; Martin, R.C. Corn Yield and Nitrogen Recovery Following Rye (Secale Cereale L.) in Monoculture and Polyculture Service Crops. Can. J. Plant Sci. 2022, 102, 891–901. [Google Scholar] [CrossRef]
- Ogilvie, C. Impacts of Cereal Rye (Secale cereale L.) in Service Crop Monocultures and Polycultures on Water Supply to Corn; University of Guelph: Guelph, ON, Canada, 2019. [Google Scholar]
- Maynard, D.G.; Kalra, Y.P.; Crumbaugh, J.A. Nitrate and Exchageable Ammonium Nitrogen. In Soil Sampling and Methods of Analysis; Carter, M.R., Gregorich, E.G., Eds.; CRC Press: Boca Raton, FL, USA, 2007; pp. 71–80. [Google Scholar]
- Vierheilig, H.; Coughlan, A.P.; Wyss, U.; Piché, Y. Ink and Vinegar, a Simple Staining Technique for Arbuscular-Mycorrhizal Fungi. Appl. Environ. Microbiol. 1998, 64, 5004–5007. [Google Scholar] [CrossRef] [PubMed] [Green Version]
- McGonigle, T.P.; Miller, M.H.; Evans, D.G.; Fairchild, G.L.; Swan, J.A. A New Method Which Gives an Objective Measure of Colonization of Roots by Vesicular—Arbuscular Mycorrhizal Fungi. New Phytol. 1990, 115, 495–501. [Google Scholar] [CrossRef] [PubMed]
- Lee, J.; Lee, S.; Young, J.P.W. Improved PCR Primers for the Detection and Identification of Arbuscular Mycorrhizal Fungi. FEMS Microbiol. Ecol. 2008, 65, 339–349. [Google Scholar] [CrossRef] [PubMed] [Green Version]
- Dumbrell, A.J.; Ashton, P.D.; Aziz, N.; Feng, G.; Nelson, M.; Dytham, C.; Fitter, A.H.; Helgason, T. Distinct Seasonal Assemblages of Arbuscular Mycorrhizal Fungi Revealed by Massively Parallel Pyrosequencing. New Phytol. 2011, 190, 794–804. [Google Scholar] [CrossRef]
- Lekberg, Y.; Vasar, M.; Bullington, L.S.; Sepp, S.K.; Antunes, P.M.; Bunn, R.; Larkin, B.G.; Öpik, M. More Bang for the Buck? Can Arbuscular Mycorrhizal Fungal Communities Be Characterized Adequately alongside Other Fungi Using General Fungal Primers? New Phytol. 2018, 220, 971–976. [Google Scholar] [CrossRef] [Green Version]
- Bolyen, E.; Rideout, J.R.; Dillon, M.R.; Bokulich, N.A.; Abnet, C.C.; Al-Ghalith, G.A.; Alexander, H.; Alm, E.J.; Arumugam, M.; Asnicar, F.; et al. Reproducible, Interactive, Scalable and Extensible Microbiome Data Science Using QIIME 2. Nat. Biotechnol. 2019, 37, 852–857. [Google Scholar] [CrossRef]
- Callahan, B.J.; McMurdie, P.J.; Rosen, M.J.; Han, A.W.; Johnson, A.J.A.; Holmes, S.P. DADA2: High-Resolution Sample Inference from Illumina Amplicon Data. Nat. Methods 2016, 13, 581–583. [Google Scholar] [CrossRef] [Green Version]
- Öpik, M.; Vanatoa, A.; Vanatoa, E.; Moora, M.; Davison, J.; Kalwij, J.M.; Reier, Ü.; Zobel, M. The Online Database MaarjAM Reveals Global and Ecosystemic Distribution Patterns in Arbuscular Mycorrhizal Fungi (Glomeromycota). New Phytol. 2010, 188, 223–241. [Google Scholar] [CrossRef] [PubMed]
- Martin, M. Cutadapt Removes Adapter Sequences from High-Throughput Sequencing Reads. EMBnet J. 2011, 17, 10. [Google Scholar] [CrossRef]
- Robeson, M.S.; O’Rourke, D.R.; Kaehler, B.D.; Ziemski, M.; Dillon, M.R.; Foster, J.T.; Bokulich, N.A. RESCRIPt: Reproducible Sequence Taxonomy Reference Database Management. PLoS Comput. Biol. 2021, 17, e1009581. [Google Scholar] [CrossRef]
- Camacho, C.; Coulouris, G.; Avagyan, V.; Ma, N.; Papadopoulos, J.; Bealer, K.; Madden, T.L. BLAST+: Architecture and Applications. BMC Bioinform. 2009, 10, 421. [Google Scholar] [CrossRef] [Green Version]
- Sepp, S.; Davison, J.; Moora, M.; Neuenkamp, L.; Oja, J.; Roslin, T.; Vasar, M.; Öpik, M.; Zobel, M. Woody Encroachment in Grassland Elicits Complex Changes in the Functional Structure of Above- and Belowground Biota. Ecosphere 2021, 12, e03512. [Google Scholar] [CrossRef]
- Vasar, M.; Davison, J.; Neuenkamp, L.; Sepp, S.K.; Young, J.P.W.; Moora, M.; Öpik, M. User-Friendly Bioinformatics Pipeline GDAT (Graphical Downstream Analysis Tool) for Analysing RDNA Sequences. Mol. Ecol. Resour. 2021, 21, 1380–1392. [Google Scholar] [CrossRef] [PubMed]
- Rodríguez-León, C.H.; Peña-Venegas, C.P.; Sterling, A.; Muñoz-Ramirez, H.; Virguez-Díaz, Y.R. Changes in Soil-Borne Communities of Arbuscular Mycorrhizal Fungi during Natural Regrowth of Abandoned Cattle Pastures Are Indicative of Ecosystem Restoration. Agronomy 2021, 11, 2468. [Google Scholar] [CrossRef]
- Katoh, K.; Misawa, K.; Kuma, K.; Miyata, T. MAFFT: A Novel Method for Rapid Multiple Sequence Alignment Based on Fast Fourier Transform. Nucleic Acids Res. 2002, 30, 3059–3066. [Google Scholar] [CrossRef] [Green Version]
- Price, M.N.; Dehal, P.S.; Arkin, A.P. FastTree 2—Approximately Maximum-Likelihood Trees for Large Alignments. PLoS ONE 2010, 5, e9490. [Google Scholar] [CrossRef]
- R Core Team. R: A Language and Environment for Statistical Computing; R Foundation for Statistical Computing: Vienna, Austria, 2022; Available online: https://www.R-project.org/ (accessed on 14 February 2023).
- Pinheiro, J.; Bates, D.; R Core Team. Nlme: Linear and Nonlinear Mixed Effects Models, R Package Version 3.1-157; 2022. Available online: https://CRAN.R-project.org/package=nlme (accessed on 14 February 2023).
- Lozupone, C.; Knight, R. UniFrac: A New Phylogenetic Method for Comparing Microbial Communities. Appl. Environ. Microbiol. 2005, 71, 8228–8235. [Google Scholar] [CrossRef] [Green Version]
- Oksanen, J.; Simpson, G.L.; Blanchet, F.G.; Kindt, R.; Legendre, P.; Minchin, P.R.; O’Hara, R.B.; Solymos, P.; Stevens, H.H.; Szoecs, E.; et al. Vegan: Community Ecology Package, R Package Version 2.6-4; 2022. Available online: https://CRAN.R-project.org/package=vegan (accessed on 14 February 2023).
- Fernandes, A.D.; Reid, J.N.; Macklaim, J.M.; McMurrough, T.A.; Edgell, D.R.; Gloor, G.B. Unifying the Analysis of High-Throughput Sequencing Datasets: Characterizing RNA-Seq, 16S rRNA Gene Sequencing and Selective Growth Experiments by Compositional Data Analysis. Microbiome 2014, 2, 15. [Google Scholar] [CrossRef] [PubMed] [Green Version]
- Warnes, G.; Bolker, B.; Bonebakker, L.; Gentleman, R.; Huber, W.; Liaw, A.; Lumley, T.; Maechler, M.; Magnusson, A.; Moeller, S.; et al. Gplots: Various R Programming Tools for Plotting Data, R Package Version 3.1.3; 2022. Available online: https://CRAN.R-project.org/package=gplots (accessed on 14 February 2023).
- Fernandes, A.D.; Vu, M.T.H.Q.; Edward, L.-M.; Macklaim, J.M.; Gloor, G.B. A reproducible effect size is more useful than an irreproducible hypothesis test to analyze high throughput sequencing datasets. arXiv 2019, arXiv:1809.02623. [Google Scholar]
- Heberle, H.; Meirelles, G.V.; da Silva, F.R.; Telles, G.P.; Minghim, R. InteractiVenn: A Web-Based Tool for the Analysis of Sets through Venn Diagrams. BMC Bioinform. 2015, 16, 169. [Google Scholar] [CrossRef] [PubMed] [Green Version]





Disclaimer/Publisher’s Note: The statements, opinions and data contained in all publications are solely those of the individual author(s) and contributor(s) and not of MDPI and/or the editor(s). MDPI and/or the editor(s) disclaim responsibility for any injury to people or property resulting from any ideas, methods, instructions or products referred to in the content. |
© 2023 by the authors. Licensee MDPI, Basel, Switzerland. This article is an open access article distributed under the terms and conditions of the Creative Commons Attribution (CC BY) license (https://creativecommons.org/licenses/by/4.0/).
Share and Cite
Tosi, M.; Ogilvie, C.M.; Spagnoletti, F.N.; Fournier, S.; Martin, R.C.; Dunfield, K.E. Cover Crops Modulate the Response of Arbuscular Mycorrhizal Fungi to Water Supply: A Field Study in Corn. Plants 2023, 12, 1015. https://doi.org/10.3390/plants12051015
Tosi M, Ogilvie CM, Spagnoletti FN, Fournier S, Martin RC, Dunfield KE. Cover Crops Modulate the Response of Arbuscular Mycorrhizal Fungi to Water Supply: A Field Study in Corn. Plants. 2023; 12(5):1015. https://doi.org/10.3390/plants12051015
Chicago/Turabian StyleTosi, Micaela, Cameron M. Ogilvie, Federico N. Spagnoletti, Sarah Fournier, Ralph C. Martin, and Kari E. Dunfield. 2023. "Cover Crops Modulate the Response of Arbuscular Mycorrhizal Fungi to Water Supply: A Field Study in Corn" Plants 12, no. 5: 1015. https://doi.org/10.3390/plants12051015

