Biotechnological Approach to Increase Oxyresveratrol Production in Mulberry In Vitro Plants under Elicitation
Abstract
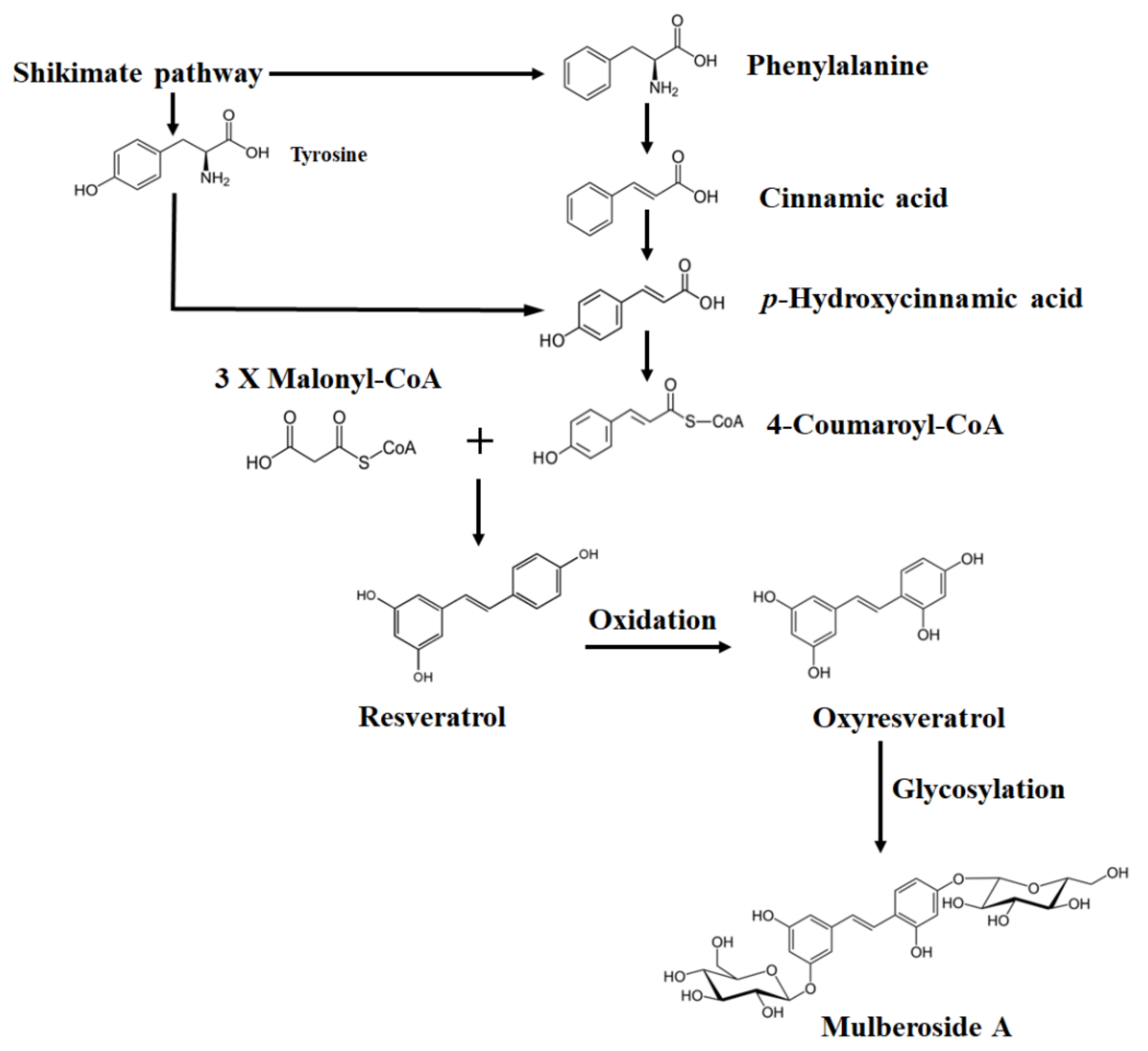
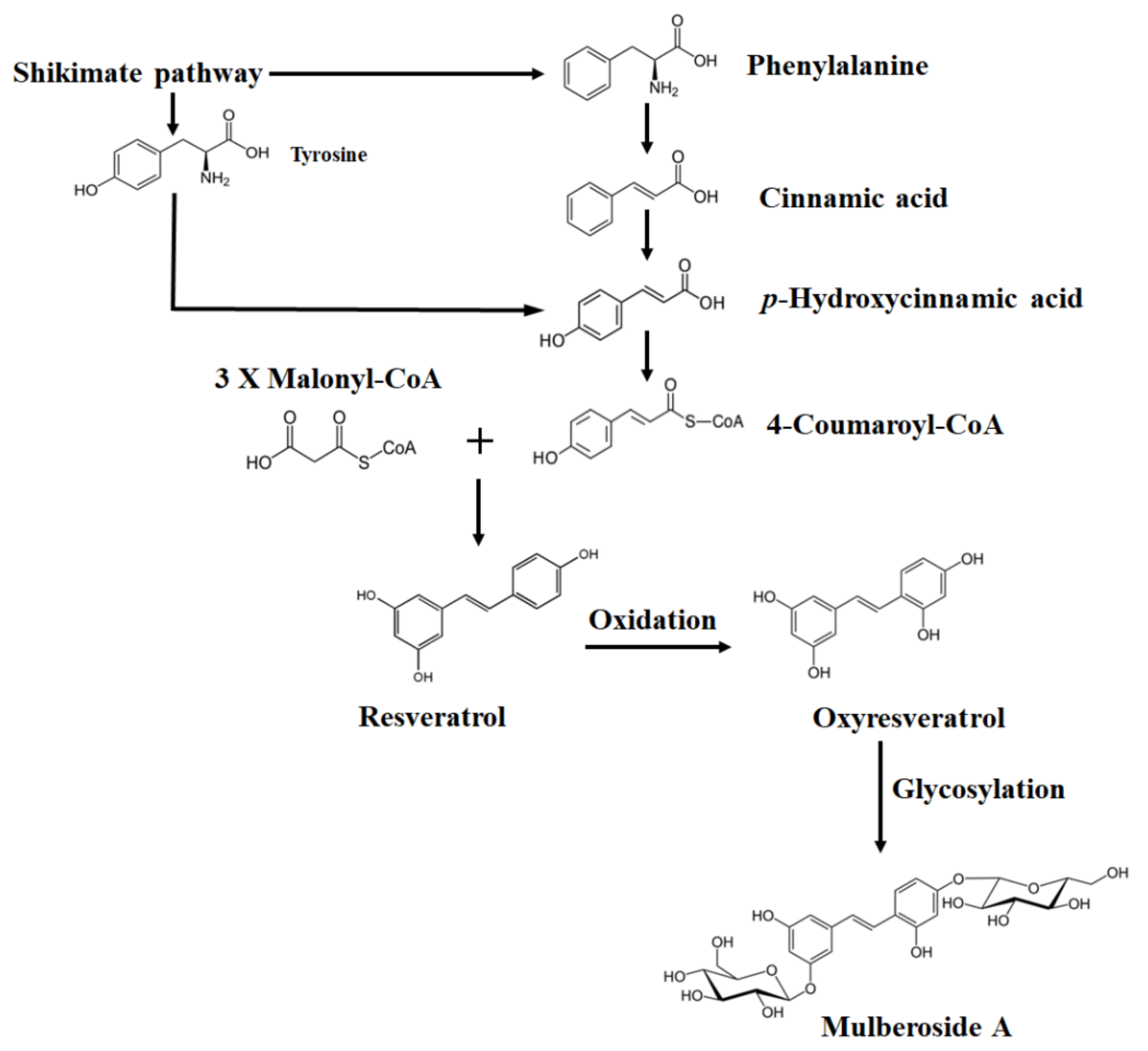
1. Introduction
2. Results and Discussion
2.1. Effect of Elicitors on Growth of M. alba In Vitro Plants
2.2. Effect of Elicitors on the Total Phenolic Content in the Culture Medium of M. alba In Vitro Plants
2.3. Stilbene Accumulation in the Culture Medium of Elicited M. alba In Vitro Plants
2.4. Effect of Different Elicitor Concentrations on the Growth of M. alba In Vitro Plants
2.5. Effect of 5 mM CDs and/or 10 µM MJ on Total Phenolic Content in Elicited M. alba In Vitro Plants
3. Materials and Methods
3.1. Plant Materials
3.2. Elicitation Treatments of M. alba In Vitro Plants
Optimization of Stilbene Production in M. alba In Vitro Plants Treated with Cyclodextrins and Methyl Jasmonate
3.3. Extraction of Stilbenes
3.4. Identification and Quantification of Stilbenes
3.4.1. Total Phenolic Content
3.4.2. HPLC-DAD Analysis of Stilbenes
3.5. Antioxidant Activity
3.6. Statistical Analysis
4. Conclusions
Author Contributions
Funding
Institutional Review Board Statement
Informed Consent Statement
Data Availability Statement
Conflicts of Interest
References
- Vijayan, K.; Tikader, A.; Weiguo, Z.; Nair, C.V.; Ercisli, S.; Tsou, C.H. Morus. In Wild Crop Relatives: Genomic and Breeding Resources; Springer: Berlin/Heidelberg, Germany, 2011; pp. 75–95. [Google Scholar]
- Vijayan, K.; Raju, P.J.; Tikader, A.; Saratchnadra, B. Biotechnology of mulberry (Morus L.)—A review. Emir. J. Food. Agric. 2014, 26, 472. [Google Scholar] [CrossRef]
- Hao, M.; Huang, P.; Ruan, J.; Sun, F.; Han, L.; Liu, M.; Wang, T. Bioactive flavonoids and stilbenes from the leaf of Morus alba var. multicaulis. Fitoterapia 2021, 154, 105018. [Google Scholar] [CrossRef]
- Radojković, M.M.; Zeković, Z.P.; Vidović, S.S.; Kočar, D.D.; Mašković, P.Z. Free radical scavenging activity and total phenolic and flavonoid contents of mulberry (Morus spp. L., Moraceae) extracts. Hem. Ind. 2012, 66, 547–552. [Google Scholar] [CrossRef]
- Chan, K.C.; Yang, M.Y.; Lin, M.C.; Lee, Y.J.; Chang, W.C.; Wang, C.J. Mulberry leaf extract inhibits the development of atherosclerosis in cholesterol-fed rabbits and in cultured aortic vascular smooth muscle cells. J. Agric. Food Chem. 2013, 61, 2780–2788. [Google Scholar] [CrossRef] [PubMed]
- Huang, H.J.; Yuan, X.Z.; Zhu, H.N.; Li, H.; Liu, Y.; Wang, X.L.; Zeng, G.M. Comparative studies of thermochemical liquefaction characteristics of microalgae, lignocellulosic biomass and sewage sludge. Energy 2013, 56, 52–60. [Google Scholar] [CrossRef]
- Zafar, M.S.; Muhammad, F.; Javed, I.; Akhtar, M.; Khaliq, T.; Aslam, B.; Zafar, H. White mulberry (Morus alba): A brief phytochemical and pharmacological evaluations account. Int. J. Agric. Biol. Eng. 2013, 15, 612–620. [Google Scholar]
- Chan, C.L.; Gan, R.Y.; Corke, H. The phenolic composition and antioxidant capacity of soluble and bound extracts in selected dietary spices and medicinal herbs. Int. J. Food Sci. 2016, 51, 565–573. [Google Scholar] [CrossRef]
- Jeszka-Skowron, M.; Flaczyk, E.; Jeszka, J.; Krejpcio, Z.; Król, E.; Buchowski, M.S. Mulberry leaf extract intake reduces hyperglycaemia in streptozotocin (STZ)-induced diabetic rats fed high-fat diet. J. Funct. Foods 2014, 8, 9–17. [Google Scholar] [CrossRef]
- Tang, C.C.; Huang, H.P.; Lee, Y.J.; Tang, Y.H.; Wang, C.J. Hepatoprotective effect of mulberry water extracts on ethanol induced liver injury via anti-inflammation and inhibition of lipogenesis in C57BL/6Jmice. Food Chem. Toxicol. 2013, 62, 786–796. [Google Scholar] [CrossRef]
- Peng, C.H.; Liu, L.K.; Chuang, C.M.; Chyau, C.C.; Huang, C.N.; Wang, C.J. Mulberry water extracts possess an anti-obesity effect and ability to inhibit hepatic lipogenesis and promote lipolysis. J. Agric. Food Chem. 2011, 59, 2663–2671. [Google Scholar] [CrossRef] [PubMed]
- Chang, L.W.; Juang, L.J.; Wang, B.S.; Wang, M.Y.; Tai, H.M.; Hung, W.J.; Chen, Y.J.; Huang, M.H. Antioxidant and antityrosinase activity of mulberry (Morus alba L.) twigs and root bark. Food Chem. Toxicol. 2011, 49, 785–790. [Google Scholar] [CrossRef]
- Baxter, R.A. Anti-aging properties of resveratrol: Review and report of a potent new antioxidant skin care formulation. J. Cosmet. Dermatol. 2008, 7, 2–7. [Google Scholar] [CrossRef] [PubMed]
- Boo, Y.C. Human skin lightening efficacy of resveratrol and its analogs: From in vitro studies to cosmetic applications. Antioxidants 2019, 8, 332. [Google Scholar] [CrossRef] [PubMed]
- Igielska-Kalwat, J.; Firlej, M.; Lewandowska, A.; Biedziak, B. In vivo studies of resveratrol contained in cosmetic emulsions. Acta Biochim. Pol. 2019, 66, 371–374. [Google Scholar] [CrossRef] [PubMed]
- Ratz-Łyko, A.; Arct, J. Resveratrol as an active ingredient for cosmetic and dermatological applications: A review. J. Cosmet. Laser Ther. 2019, 21, 84–90. [Google Scholar] [CrossRef]
- Wahedi, H.M.; Ahmad, S. Stilbene-based natural compounds as promising drug candidates against COVID-19. J. Biomol. Struct. Dyn. 2021, 39, 3225–3234. [Google Scholar] [CrossRef]
- Filardo, S.; Di Pietro, M.; Mastromarino, P.; Sessa, R. Therapeutic potential of resveratrol against emerging respiratory viral infections. Pharmacol. Ther. 2020, 214, 107613. [Google Scholar] [CrossRef]
- Choi, K.H.; Lee, H.A.; Park, M.H.; Han, J.S. Mulberry (Morus alba L.) fruit extract containing anthocyanins improves glycemic control and insulin sensitivity via activation of AMP-activated protein kinase in diabetic C57BL/Ksj-db/db mice. J. Med. Food 2016, 19, 737–745. [Google Scholar] [CrossRef]
- Tassoni, A.; Fornalè, S.; Franceschetti, M.; Musiani, F.; Michael, A.J.; Perry, B.; Bagni, N. Jasmonates and Na-orthovanadate promote resveratrol production in Vitis vinifera cv. Barbera cell cultures. New Phytol. 2005, 166, 895–906. [Google Scholar] [CrossRef]
- Ferri, M.; Tassoni, A.; Franceschetti, M.; Righetti, L.; Naldrett, M.J.; Bagni, N. Chitosan treatment induces changes of protein expression profile and stilbene distribution in Vitis vinifera cell suspensions. Proteomics 2009, 9, 610–624. [Google Scholar] [CrossRef]
- Gutiérrez-Gamboa, G.; Mateluna-Cuadra, R.; Díaz-Gálvez, I.; Mejía, N.; Verdugo-Vásquez, N. Methyl jasmonate applications in viticulture: A tool to increase the content of flavonoids and stilbenes in grapes and wines. Horticulturae 2021, 7, 133. [Google Scholar] [CrossRef]
- Belchí-Navarro, S.; Almagro, L.; Lijavetzky, D.; Bru, R.; Pedreño, M.A. Enhanced extracellular production of trans-resveratrol in Vitis vinifera suspension cultured cells by using cyclodextrins and methyljasmonate. Plant Cell Rep. 2012, 31, 81–89. [Google Scholar] [CrossRef]
- Almagro, L.; Carbonell-Bejerano, P.; Belchí-Navarro, S.; Bru, R.; Martínez-Zapater, J.M.; Lijavetzky, D.; Pedreño, M.A. Dissecting the transcriptional response to elicitors in Vitis vinifera cells. PLoS ONE 2014, 9, e109777. [Google Scholar] [CrossRef] [PubMed]
- Almagro, L.; Gutierrez, J.; Pedreño, M.A.; Sottomayor, M. Synergistic and additive influence of cyclodextrins and methyl jasmonate on the expression of the terpenoid indole alkaloid pathway genes and metabolites in Catharanthus roseus cell cultures. Plant Cell Tiss. Org. Cult. 2014, 119, 543–551. [Google Scholar] [CrossRef]
- Sabater-Jara, A.B.; Onrubia, M.; Moyano, E.; Bonfill, M.; Palazón, J.; Pedreño, M.A.; Cusidó, R.M. Synergistic effect of cyclodextrins and methyl jasmonate on taxane production in Taxus x medium cell cultures. Plant Biotechnol. J. 2014, 12, 1075–1084. [Google Scholar] [CrossRef] [PubMed]
- Sabater-Jara, A.B.; Pedreño, M.A. Use of β-cyclodextrins to enhance phytosterol production in cell suspension cultures of carrot (Daucus carota L.). Plant Cell Tissue Organ Cult. 2013, 114, 249–258. [Google Scholar] [CrossRef]
- Lijavetzky, D.; Almagro, L.; Belchi-Navarro, S.; Martínez-Zapater, J.M.; Bru, R.; Pedreño, M.A. Synergistic effect of methyljasmonate and cyclodextrin on stilbene biosynthesis pathway gene expression and resveratrol production in Monastrell grapevine cell cultures. BMC Res Notes 2008, 1, 132. [Google Scholar] [CrossRef]
- Almagro, L.; Belchí-Navarro, S.; Martínez-Márquez, A.; Bru, R.; Pedreño, M.A. Enhanced extracellular production of trans-resveratrol in Vitis vinifera suspension cultured cells by using cyclodextrins and coronatine. Plant Physiol. Biochem. 2015, 97, 361–367. [Google Scholar] [CrossRef]
- Almagro, L.; García-Pérez, P.; Belchí-Navarro, S.; Sánchez-Pujante, P.J.; Pedreño, M.A. New strategies for the use of Linum usitatissimum cell factories for the production of bioactive compounds. Plant Physiol. Biochem. 2016, 99, 73–78. [Google Scholar] [CrossRef]
- Komaikul, J.; Mangmool, S.; Putalun, W.; Kitisripanya, T. preparation of readily-to-use stilbenoids extract from Morus alba callus using a natural deep eutectic solvent. Cosmetics 2021, 8, 91. [Google Scholar] [CrossRef]
- Inyai, C.; Yusakul, G.; Komaikul, J.; Kitisripanya, T.; Likhitwitayawuid, K.; Sritularak, B.; Putalun, W. Improvement of stilbene production by mulberry Morus alba root culture via precursor feeding and co-elicitation. Bioprocess Biosyst. Eng. 2021, 44, 653–660. [Google Scholar] [CrossRef] [PubMed]
- Inyai, C.; Boonsnongcheep, P.; Komaikul, J.; Sritularak, B.; Tanaka, H.; Putalun, W. Alginate immobilization of Morus alba L. cell suspension cultures improved the accumulation and secretion of stilbenoids. Bioprocess Biosyst. Eng. 2019, 42, 131–141. [Google Scholar] [CrossRef] [PubMed]
- Komaikul, J.; Kitisripanya, T.; Likhitwitayawuid, K.; Sritularak, B.; Tanaka, H.; Putalun, W. Improvement of stilbenoid production by 2-hydroxypropyl-β-cyclodextrin in white mulberry (Morus alba L.) callus cultures. Nat. Prod. Res. 2019, 33, 2762–2769. [Google Scholar] [CrossRef] [PubMed]
- Shabani, L.; Ehsanpour, A.A.; Asghari, G.; Emami, J. Glycyrrhizin production by in vitro cultured Glycyrrhiza glabra elicited by methyl jasmonate and salicylic acid. Russ. J. Plant Physiol. 2009, 56, 621–626. [Google Scholar] [CrossRef]
- Sharma, P.; Yadav, S.; Srivastava, A.; Shrivastava, N. Methyl jasmonate mediumtes upregulation of bacoside A production in shoot cultures of Bacopa monnieri. Biotechnol. Let. 2013, 35, 1121–1125. [Google Scholar] [CrossRef] [PubMed]
- Aoyagi, H.; Kobayashi, Y.; Yamada, K.; Yokoyama, M.; Kusakari, K.; Tanaka, H. Efficient production of saikosaponins in Bupleurum falcatum root fragments combined with signal transducers. Appl. Microbiol. Biotechnol. 2001, 57, 482–488. [Google Scholar] [PubMed]
- Lu, M.B.; Wong, H.L.; Teng, W.L. Effects of elicitation on the production of saponin in cell cultures of Panax ginseng. Plant Cell Rep. 2001, 20, 674–677. [Google Scholar] [CrossRef]
- Mangas, S.; Bonfill, M.; Osuna, L.; Moyano, E.; Tortoriello, J.; Cusido, R.M.; Palazón, J. The effect of methyl jasmonate on triterpene and sterol metabolisms of Centella asiatica, Ruscus aculeatus and Galphimia glauca cultured plants. Phytochemistry 2006, 67, 2041–2049. [Google Scholar] [CrossRef] [PubMed]
- Fiorucci, A.S. To Grow or Defend? More on the Plant Cornelian Dilemma. Plant Physiol. 2020, 183, 437–438. [Google Scholar] [CrossRef]
- Pauwels, L.; Morreel, K.; De Witte, E.; Lammertyn, F.; Van Montagu, M.; Boerjan, W.; Inze, D.; Goossens, A. Mapping methyl jasmonate-mediumted transcriptional reprogramming of metabolism and cell cycle progression in cultured Arabidopsis cells. Proc. Natl. Acad. Sci. USA 2008, 105, 1380–1385. [Google Scholar] [CrossRef]
- Miras-Moreno, B.; Almagro, L.; Pedreño, M.A.; Sabater-Jara, A.B. Enhanced accumulation of phytosterols and phenolic compounds in cyclodextrin-elicited cell suspension culture of Daucus carota. Plant Sci. 2016, 250, 154–164. [Google Scholar] [CrossRef]
- García-Pérez, P.; Losada-Barreiro, S.; Gallego, P.P.; Bravo-Díaz, C. Cyclodextrin-elicited bryophyllum suspension cultured cells: Enhancement of the production of bioactive compounds. Int. J. Mol. Sci. 2019, 20, 5180. [Google Scholar] [CrossRef]
- Almagro, L.; Calderón, A.A.; Pedreño, M.A.; Ferrer, M.A. Differential response of phenol metabolism associated with antioxidative network in elicited grapevine suspension cultured cells under saline conditions. Antioxidants 2022, 11, 388. [Google Scholar] [CrossRef]
- Murashige, T.; Skoog, F. A revised medium for rapid growth and bioassays with tobacco tissue cultures. Physiol. Plant 1962, 15, 473–497. [Google Scholar] [CrossRef]
- Morel, G.; Wetmore, R.H. Fern callus tissue culture. Am. J. Bot. 1951, 38, 141–143. [Google Scholar] [CrossRef]
- Briceño, Z.; Almagro, L.; Sabater-Jara, A.B.; Calderón, A.A.; Pedreño, M.A.; Ferrer, M.A. Enhancement of phytosterols, taraxasterol and induction of extracellular pathogenesis-related proteins in cell cultures of Solanum lycopersicum cv Micro-Tom elicited with cyclodextrins and methyl jasmonate. J. Plant Physiol. 2012, 169, 1050–1058. [Google Scholar] [CrossRef] [PubMed]
- Soto-Argel, C.; Hidalgo, D.; Palazon, J.; Corchete, P. Extracellular chromone derivatives in cell cultures of Pimpinella anisum. Influence of elicitation with methyl jasmonate and 2β-methyl cyclodextrins. Biotechnol. Let. 2018, 40, 413–418. [Google Scholar] [CrossRef] [PubMed]
- López-Orenes, A.; Bueso, M.C.; Párraga-Aguado, I.M.; Calderón, A.A.; Ferrer, M.A. Coordinated role of soluble and cell wall bound phenols is a key feature of the metabolic adjustment in a mining woody fleabane (Dittrichia viscosa L.) population under semi-arid conditions. Sci. Total Environ. 2018, 618, 1139–1151. [Google Scholar] [CrossRef]
- Gandía-Herrero, F.; Cabanes, J.; Escribano, J.; García-Carmona, F.; Jiménez-Atiénzar, M. Encapsulation of the most potent antioxidant betalains in edible matrixes as powders of different colors. J. Agric. Food Chem. 2013, 61, 4294–4302. [Google Scholar] [CrossRef]
- Gandía-Herrero, F.; Escribano, J.; García-Carmona, F. Structural implications on color, fluorescence, and antiradical activity in betalains. Planta 2010, 232, 449–460. [Google Scholar] [CrossRef]




| Elicitation time (d) | Treatment | oxyresveratrol (µg/L) | trans-resveratrol (µg/L) |
|---|---|---|---|
| 7 | Control | nd | nd |
| MJ | 162.63 ± 37.71 b | nd | |
| CD | 948.56 ± 146.81 b | nd | |
| CDMJ | 4180.48 ± 1552.17 a | 62.24 ± 18.99 | |
| 14 | Control | 103.27 ± 9.98 c | nd |
| MJ | 323.52 ± 139.80 c | nd | |
| CD | 3301.93 ± 392.78 b | 40.03 ± 8.22 a | |
| CDMJ | 9542.87 ± 230.82 a | 47.69 ± 3.16 a | |
| 21 | Control | nd | nd |
| MJ | 682.70 ± 13.98 b | nd | |
| CD | 5621.95 ± 502.48 a | 109.30 ± 15.97 b | |
| CDMJ | 7738.85 ± 1624.53 a | 246.39 ± 13.26 a |
| (a) | Treatment | mgGAE/L | µg oxyresveratrol/L | mM Trolox/L |
|---|---|---|---|---|
| Culture media | Control | 5.65 ± 0.72 c | nd | 65.84 ± 4.10 d |
| MJ | 10.62 ± 1.48 b | nd | 160.27 ± 20.57 c | |
| CD | 34.13 ± 2.26 a | 231.66 ± 78.63 b | 684.49 ± 55.39 a | |
| CDMJ | 33.48 ± 4.49 a | 316.98 ± 13.83 a | 486.70 ± 4.45 b | |
| (b) | Treatment | µgGAE/gFW | µg oxyresveratrol/g FW | mM Trolox/g FW |
| Leaves | Control | 259.91± 16.18 b | nd | 10.07 ± 2.36 c |
| MJ | 362.69 ± 31.41 b | nd | 4.91 ± 0.59 d | |
| CD | 2112.79 ± 174.22 a | 16.90 ± 3.43 a | 23.26 ± 1.89 b | |
| CDMJ | 1818.20 ± 414.94a | 20.70 ± 6.29 a | 28.70 ± 2.29 a | |
| Roots | Control | 1148.83 ± 228.83 a | nd | 35.76 ± 3.90 a |
| MJ | 1325.79 ± 249.13 a | nd | 30.26 ± 2.23 a.b | |
| CD | 738.40 ± 232.09 b | nd | 1.86 ± 0.13 c | |
| CDMJ | 122.10 ± 22.76 c | nd | 25.70 ± 9.82 b |
Disclaimer/Publisher’s Note: The statements, opinions and data contained in all publications are solely those of the individual author(s) and contributor(s) and not of MDPI and/or the editor(s). MDPI and/or the editor(s) disclaim responsibility for any injury to people or property resulting from any ideas, methods, instructions or products referred to in the content. |
© 2023 by the authors. Licensee MDPI, Basel, Switzerland. This article is an open access article distributed under the terms and conditions of the Creative Commons Attribution (CC BY) license (https://creativecommons.org/licenses/by/4.0/).
Share and Cite
Sabater-Jara, A.B.; Almagro, L.; Nicolás Sánchez, I.; Pedreño, M.Á. Biotechnological Approach to Increase Oxyresveratrol Production in Mulberry In Vitro Plants under Elicitation. Plants 2023, 12, 546. https://doi.org/10.3390/plants12030546
Sabater-Jara AB, Almagro L, Nicolás Sánchez I, Pedreño MÁ. Biotechnological Approach to Increase Oxyresveratrol Production in Mulberry In Vitro Plants under Elicitation. Plants. 2023; 12(3):546. https://doi.org/10.3390/plants12030546
Chicago/Turabian StyleSabater-Jara, Ana Belén, Lorena Almagro, Isabel Nicolás Sánchez, and María Ángeles Pedreño. 2023. "Biotechnological Approach to Increase Oxyresveratrol Production in Mulberry In Vitro Plants under Elicitation" Plants 12, no. 3: 546. https://doi.org/10.3390/plants12030546
APA StyleSabater-Jara, A. B., Almagro, L., Nicolás Sánchez, I., & Pedreño, M. Á. (2023). Biotechnological Approach to Increase Oxyresveratrol Production in Mulberry In Vitro Plants under Elicitation. Plants, 12(3), 546. https://doi.org/10.3390/plants12030546

