Comparative Analysis of Growth and Physiological Responses of Sugarcane Elite Genotypes to Water Stress and Sandy Loam Soils
Abstract
1. Introduction
2. Results
2.1. Yield Traits
2.2. Photosynthetic and Transpiration Rate
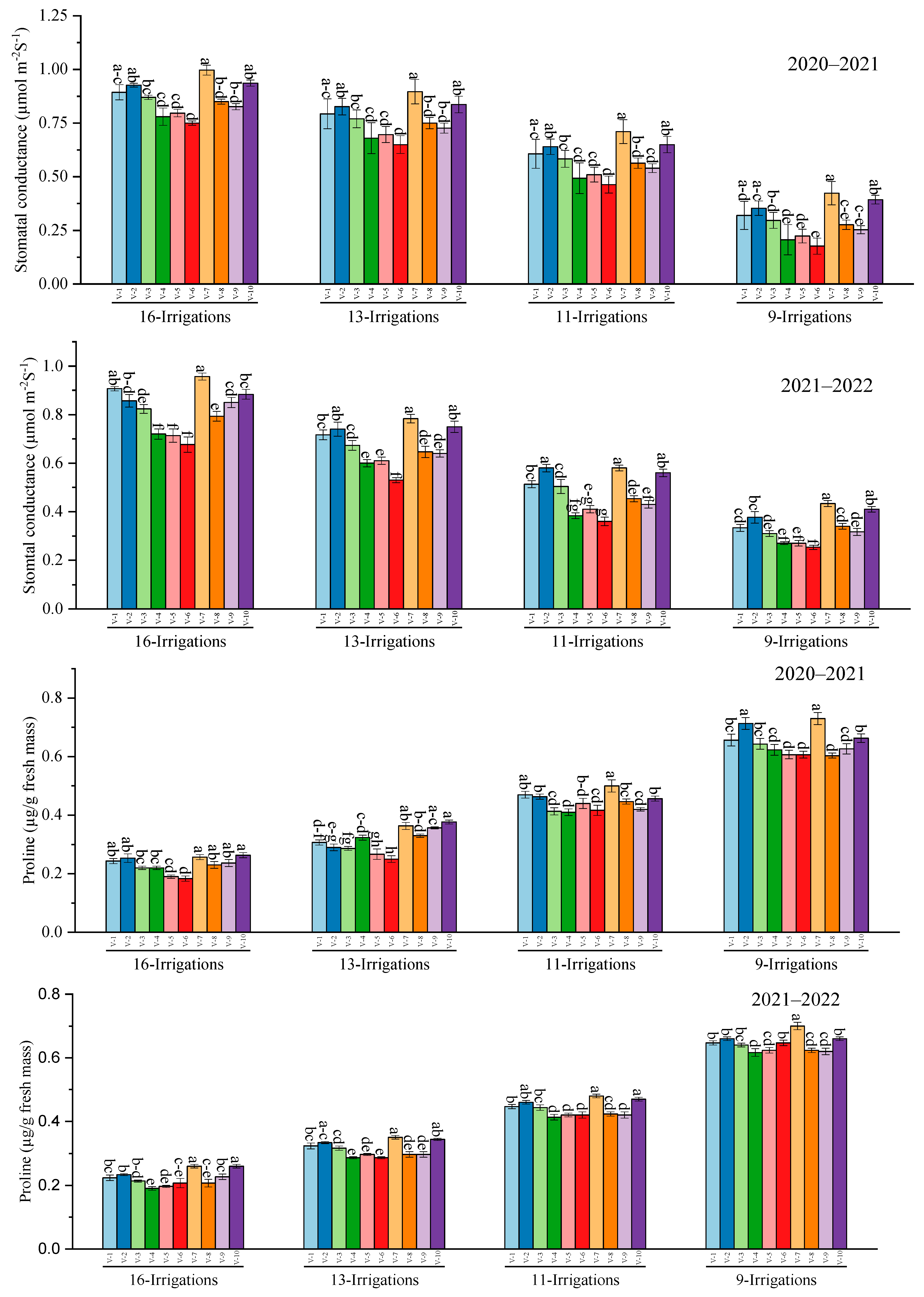
2.3. Description of Stomatal Conductance and Proline
2.4. Leaf Temperature and Osmotic Potential
2.5. Relative Water Content and Water Use Efficiency
2.6. Pearson Correlation Analysis of Physiological and Agronomic Traits of Sugarcane
2.7. Principal Component Analysis Description
3. Discussion
4. Materials and Methods
4.1. Field Preparation
4.2. Collection of Planting Material and Trial Execution
4.3. Data Collection
4.4. Statistical Analysis
5. Conclusions
Supplementary Materials
Author Contributions
Funding
Data Availability Statement
Acknowledgments
Conflicts of Interest
References
- Inman-Bamber, N.; Smith, D. Water relations in sugarcane and response to water deficits. Field Crops Res. 2005, 92, 85–202. [Google Scholar] [CrossRef]
- Alamgir, A.; Khan, M.A.; Manino, I.; Shaukat, S.S.; Shahab, S. Vulnerability to climate change of surface water resources of coastal areas of Sindh, Pakistan. Desalination Water Treat. 2016, 57, 18668–18678. [Google Scholar] [CrossRef]
- Javed, T.; Shabbir, R.; Ali, A.; Afzal, I.; Zaheer, U.; Gao, S.-J. Transcription factors in plant stress responses: Challenges and potential for sugarcane improvement. Plants 2020, 9, 491. [Google Scholar] [CrossRef]
- Javed, T.; Zhou, J.-R.; Li, J.; Hu, Z.-T.; Wang, Q.-N.; Gao, S.-J. Identification and expression profiling of WRKY family genes in sugarcane in response to bacterial pathogen infection and nitrogen implantation dosage. Front. Plant Sci. 2022, 13, 917953. [Google Scholar] [CrossRef] [PubMed]
- Ramesh, P. Effect of different levels of drought during the formative phase on growth parameters and its relationship with dry matter accumulation in sugarcane. J. Agron. Crop Sci. 2000, 185, 83–89. [Google Scholar] [CrossRef]
- Shabbir, R.; Javed, T.; Afzal, I.; Sabagh, A.E.; Ali, A.; Vicente, O.; Chen, P. Modern biotechnologies: Innovative and sustainable approaches for the improvement of sugarcane tolerance to environmental stresses. Agronomy 2021, 11, 1042. [Google Scholar] [CrossRef]
- Ali, A.; Chu, N.; Ma, P.; Javed, T.; Zaheer, U.; Huang, M.; Fu, H.; Gao, S. Genome–wide analysis of mitogen-activated protein (MAP) kinase gene family expression in response to biotic and abiotic stresses in sugarcane. Physiol. Plant. 2021, 171, 86–107. [Google Scholar] [CrossRef]
- Shabbir, R.; Singhal, R.K.; Mishra, U.N.; Chauhan, J.; Javed, T.; Hussain, S.; Kumar, S.; Anuragi, H.; Lal, D.; Chen, P. Combined abiotic stresses: Challenges and potential for crop improvement. Agronomy 2022, 12, 2795. [Google Scholar] [CrossRef]
- Silva, M.d.A.; Jifon, J.L.; dos Santos, C.M.; Jadoski, C.J.; da Silva, J.A.G. Photosynthetic capacity and water use efficiency in sugarcane genotypes subject to water deficit during early growth phase. Braz. Arch. Biol. Technol. 2013, 56, 735–748. [Google Scholar] [CrossRef]
- Lawlor, D.W.; Tezara, W. Causes of decreased photosynthetic rate and metabolic capacity in water–deficient leaf cells: A critical evaluation of mechanisms and integration of processes. Ann. Bot. 2009, 103, 561–579. [Google Scholar] [CrossRef]
- Galmés, J.; Ribas-Carbó, M.; Medrano, H.; Flexas, J. Rubisco activity in Mediterranean species is regulated by the chloroplastic CO2 concentration under water stress. J. Exp. Bot. 2011, 62, 653–665. [Google Scholar] [CrossRef] [PubMed]
- Kusvuran, S. Effects of drought and salt stresses on growth, stomatal conductance, leaf water and osmotic potentials of melon genotypes (Cucumis melo L.). Afr. J. Agric. Res. 2012, 7, 775–781. [Google Scholar]
- Silva, M.D.A.; Jifon, J.L.; Da Silva, J.A.G.; Sharma, V. Use of physiological parameters as fast tools to screen for drought tolerance in sugarcane. Braz. J. Plant Physiol. 2007, 19, 193–201. [Google Scholar] [CrossRef]
- Altinkut, A.; Kazan, K.; Ipekçi, Z.; Gozukirmizi, N. Tolerance to paraquat is correlated with the traits associated with water stress tolerance in segregating F2 populations of barley and wheat. Euphytica 2001, 121, 81. [Google Scholar] [CrossRef]
- Gonçalves, E.R.; Ferreira, V.M.; Silva, J.V.; Endres, L.; Barbosa, T.P.; Duarte, W.D.G. Gas exchange and chlorophyll a fluorescence of sugarcane varieties submitted to water stress. Rev. Bras. Eng. Agrícola Ambient. 2010, 14, 378–386. [Google Scholar] [CrossRef]
- Medeiros, D.B.; da Silva, E.C.; Nogueira, R.J.M.C.; Teixeira, M.M.; Buckeridge, M.S. Physiological limitations in two sugarcane varieties under water suppression and after recovering. Theor. Exp. Plant Physiol. 2013, 25, 213–222. [Google Scholar] [CrossRef]
- Ramzan, T.; Shahbaz, M.; Maqsood, M.F.; Zulfiqar, U.; Saman, R.U.; Lili, N.; Irshad, M.; Maqsood, S.; Haider, A.; Shahzad, B.; et al. Phenylalanine supply alleviates the drought stress in mustard (Brassica campestris) by modulating plant growth, photosynthesis and antioxidant defense system. Plant Physiol. Biochem. 2023, 201, 107828. [Google Scholar] [CrossRef] [PubMed]
- Maqsood, M.F.; Shahbaz, M.; Kanwal, S.; Kaleem, M.; Shah, S.M.R.; Luqman, M.; Iftikhar, I.; Zulfiqar, U.; Tariq, A.; Naveed, S.A.; et al. Methionine promotes the growth and yield of wheat under water deficit conditions by regulating the antioxidant enzymes, reactive oxygen species, and ions. Life 2022, 12, 969. [Google Scholar] [CrossRef]
- Randhawa, M.S.; Maqsood, M.; Shehzad, M.A.; Chattha, M.U.; Chattha, M.B.; Nawaz, F.; Yasin, S.; Abbas, T.; Nawaz, M.M.; Khan, R.D.; et al. Light interception, radiation use efficiency and biomass accumulation response of maize to integrated nutrient management under drought stress conditions. Turk J. Field Crops 2017, 22, 134–142. [Google Scholar] [CrossRef]
- Smith, D.; Inman-Bamber, N.; Thorburn, P. Growth and function of the sugarcane root system. Field Crops Res. 2005, 92, 169–183. [Google Scholar] [CrossRef]
- Hunsigi, G. Production of Sugarcane: Theory and Practice; Springer Science & Business Media: Berlin, Germany, 2012; Volume 21. [Google Scholar]
- Javed, T.; Shabbir, R.; Hussain, S.; Naseer, M.A.; Ejaz, I.; Ali, M.M.; Ahmar, S.; Yousef, A.F. Nanotechnology for endorsing abiotic stresses: A review on the role of nanoparticles and nanocompositions. Funct. Plant Biol. 2022. [Google Scholar] [CrossRef] [PubMed]
- Shabbir, R.; Javed, T.; Hussain, S.; Ahmar, S.; Naz, M.; Zafar, H.; Pandey, S.; Chauhan, J.; Siddiqui, M.H.; Pinghua, C. Calcium homeostasis and potential roles in combatting environmental stresses in plants. South Afr. J. Bot. 2022, 148, 683–693. [Google Scholar] [CrossRef]
- Quizenberry, J.E. Breeding plants for drought tolerance and plant water use efficiency. In Breeding Plants for Less Favorable Environments; Christiansen, M.N., Lewis, C.F., Eds.; Wiley–Inter–Science: New York, NY, USA, 1982; pp. 193–212. [Google Scholar]
- Smit, M.; Singels, A. The response of sugarcane canopy development to water stress. Field Crops Res. 2006, 98, 91–97. [Google Scholar] [CrossRef]
- Ali, A.; Javed, T.; Zaheer, U.; Zhou, J.-R.; Huang, M.-T.; Fu, H.-Y.; Gao, S.-J. Genome–wide identification and expression profiling of the bHLH transcription factor gene family in Saccharum spontaneum under bacterial pathogen stimuli. Trop. Plant Biol. 2021, 14, 283–294. [Google Scholar] [CrossRef]
- Silva, M.D.A.; Jifon, J.L.; DA Silva, J.A.G.; DOS Santos, C.M.; Sharma, V. Relationships between physiological traits and productivity of sugarcane in response to water deficit. J. Agric. Sci. 2014, 152, 104–118. [Google Scholar] [CrossRef]
- Silva, M.d.A.; da Silva, J.A.G.; Enciso, J.; Sharma, V.; Jifon, J. Yield components as indicators of drought tolerance of sugarcane. Sci. Agric. 2008, 65, 620–627. [Google Scholar] [CrossRef]
- Silva, M.d.A.; Soares, R.A.B.; Landell, M.G.d.A.; Campana, M.P. Agronomic performance of sugarcane families in response to water stress. Bragantia 2008, 67, 655–661. [Google Scholar] [CrossRef][Green Version]
- Inman-Bamber, N.G. Sugarcane water stress criteria for irrigation and drying off. Field Crops Res. 2004, 89, 107–122. [Google Scholar] [CrossRef]
- Filek, M.; Walas, S.; Mrowiec, H.; Rudolphy-Skórska, E.; Sieprawska, A.; Biesaga-Kościelniak, J. Membrane permeability and micro– and microelement accumulation in spring wheat cultivars during the short–term effect of salinity and PEG–induced water stress. Acta Physiol. Plant. 2012, 34, 985–995. [Google Scholar] [CrossRef]
- Bouchemal, K.; Bouldjadj, R.; Belbekri, M.N.; Ykhlef, N.; Djekoun, A. Differences in antioxidant enzyme activities and oxidative markers in ten wheat (Triticum durum) genotypes in response to drought, heat and paraquat stress. Arch. Agron. Soil Sci. 2016, 63, 710–722. [Google Scholar] [CrossRef]
- Fang, Y.; Xiong, L. General mechanisms to drought response and their application in drought resistance improvement in plants. Cell. Mol. Life Sci. 2015, 72, 673–689. [Google Scholar] [CrossRef]
- Jain, R.; Chandra, A.; Venugopalan, V.K.; Solomon, S. Physiological changes and expression of SOD and P5CS genes in response to water deficit in sugarcane. Sugar Technol. 2015, 17, 276–282. [Google Scholar] [CrossRef]
- Zhao, D.; Glaz, B.; Comstock, J.C. Sugarcane leaf photosynthesis and growth characters during development of water–deficit stress. Crop Sci. 2013, 53, 1066–1075. [Google Scholar] [CrossRef]
- Natarajan, S.; Basnayake, J.; Lakshmanan, P.; Fukai, S. Genotypic variation in intrinsic transpiration efficiency correlates with sugarcane yield under rainfed and irrigated field conditions. Physiol. Plant. 2020, 172, 976–989. [Google Scholar] [CrossRef] [PubMed]
- da Graça, J.P.; Rodrigues, F.A.; Farias, J.R.B.; de Oliveira, M.C.N.; Hoffmann-Campo, C.B.; Zingaretti, S.M. Physiological parameters in sugarcane cultivars submitted to water deficit. Braz. J. Plant Physiol. 2010, 22, 189–197. [Google Scholar] [CrossRef]
- Endres, L.; dos Santos, C.M.; Silva, J.V.; Barbosa, G.V.D.S.; Silva, A.L.J.; Froehlich, A.; Teixeira, M.M. Inter–relationship between photosynthetic efficiency, 13C, antioxidant activity and sugarcane yield under drought stress in field conditions. J. Agron. Crop Sci. 2019, 205, 433–446. [Google Scholar] [CrossRef]
- De Silva, A.; De Costa, W. Varietal variation in stomatal conductance, transpiration and photosynthesis of commercial sugarcane varieties under two contrasting water regimes. Trop. Agric. Res. Ext. 2009, 12, 97–102. [Google Scholar] [CrossRef]
- Songsri, P.; Nata, J.; Bootprom, N.-A.; Jongrungkl, N. Performances of elite sugarcane genotypes for agro–physiological traits in relation to yield potential and ratooning ability under rain–fed conditions. J. Agron. 2020, 19, 1–13. [Google Scholar] [CrossRef]
- Hemaprabha, G.; Swapna, S.; Lavanya, D.L.; Sajitha, B.; Venkataramana, S. Evaluation of drought tolerance potential of elite genotypes and progenies of sugarcane (Saccharum sp. hybrids). Sugar Technol. 2013, 15, 9–16. [Google Scholar] [CrossRef]
- Nair, N.V.; Mohanraj, K.; Sunadaravelpandian, K.; Suganya, A.; Selvi, A.; Appunu, C. Characterization of an intergeneric hybrids of Erianthus procerus × Saccharum officinarum and its backcross progenies. Euphytica 2017, 213, 267–277. [Google Scholar] [CrossRef]
- Zhou, J.-R.; Sun, H.-D.; Ali, A.; Rott, P.C.; Javed, T.; Fu, H.-Y.; Gao, S.-J. Quantitative proteomic analysis of the sugarcane defense responses incited by Acidovorax avenae subsp. avenae causing red stripe. Ind. Crops Prod. 2021, 162, 113275. [Google Scholar] [CrossRef]
- Hong, D.-K.; Talha, J.; Yao, Y.; Zou, Z.-Y.; Fu, H.-Y.; Gao, S.-J.; Xie, Y.; Wang, J.-D. Silicon enhancement for endorsement of Xanthomonas albilineans infection in sugarcane. Ecotoxicol. Environ. Saf. 2021, 220, 112380. [Google Scholar] [CrossRef]
- Cui, D.; Huang, M.T.; Hu, C.Y.; Su, J.B.; Lin, L.H.; Javed, T.; Deng, Z.H.; Gao, S.J. First report of Pantoea stewartii subsp. stewartii causing bacterial leaf wilt of sugarcane in China. Plant Dis. 2021, 105, 1190. [Google Scholar] [CrossRef] [PubMed]
- Hu, Z.T.; Ntambo, M.S.; Zhao, J.Y.; Javed, T.; Shi, Y.; Fu, H.Y.; Huang, M.T.; Gao, S.J. Genetic Divergence and Population Structure of Xanthomonas albilineans Strains Infecting Saccharum spp. Hybrid and Saccharum officinarum. Plants 2023, 12, 1937. [Google Scholar] [CrossRef]
- Shabbir, R.; Zhaoli, L.; Yueyu, X.; Zihao, S.; Pinghua, C. Transcriptome Analysis of Sugarcane Response to Sugarcane Yellow Leaf Virus Infection Transmitted by the Vector Melanaphis sacchari. Front. Plant Sci. 2022, 13, 921674. [Google Scholar] [CrossRef] [PubMed]
- Nassif, D.S.P.; Marin, F.R.; Costa, L.G. Evapotranspiration and transpiration coupling to the atmosphere of sugarcane in southern Brazil: Scaling up from leaf to field. Sugar Technol. 2014, 16, 250–254. [Google Scholar] [CrossRef]
- Jamaux, I.; Steinmetz, A.; Belhassen, E. Looking for molecular and physiological markers of osmotic adjustment in sunflower. New Phytolo. 1997, 137, 117–127. [Google Scholar] [CrossRef]
- Bates, L.S.; Waldren, R.P.; Teare, I.D. Rapid determination of free proline for water–stress studies. Plant Soil 1973, 39, 205–207. [Google Scholar] [CrossRef]












| Traits | 2020–2021 | 2021–2022 | ||||
|---|---|---|---|---|---|---|
| I | G | I × G | I | G | I × G | |
| Cane length | 406.84 ** | 96.9 ** | 7.43 ** | 833.64 ** | 100.17 ** | 6.1 ** |
| Cane girth | 4074.89 ** | 1078.04 ** | 2.08 ** | 4509.79 ** | 490.87 ** | 2.37 ** |
| Photosynthetic rate | 315.8 ** | 44.95 ** | 2.56 ** | 224.4 ** | 5.36 ** | 1.27 * |
| Transpiration rate | 213.66 ** | 74.39 ** | 2.12 ** | 1196.16 ** | 112.38 ** | 5.13 ** |
| Gas Stomatal conductance | 227.84 ** | 55.64 ** | 0.05 * | 913.81 ** | 73.92 ** | 2.12 ** |
| Proline content | 3873.95 ** | 22.43 ** | 3.73 ** | 8653.61 ** | 46.36 ** | 13.37 * |
| Yield | 24.73 ** | 8.93 ** | 3.2 ** | 19.95 ** | 8.93 ** | 3.2 ** |
| Leaf temperature | 46.03 ** | 36.34 ** | 0.22 ns | 18.3 ** | 5.53 ** | 0.08 ns |
| Relative water content | 13.95 ** | 30.75 ** | 0.08 * | 35.94 ** | 7.2 ** | 0.05 * |
| Water use efficiency | 9.66 ** | 13.64 ** | 1.16 * | 136.18 ** | 23.3 ** | 4.71 * |
| Osmotic Potential | 36,267.3 ** | 2251.26 ** | 166.01 * | 476.64 ** | 185.9 ** | 52.69 ** |
Disclaimer/Publisher’s Note: The statements, opinions and data contained in all publications are solely those of the individual author(s) and contributor(s) and not of MDPI and/or the editor(s). MDPI and/or the editor(s) disclaim responsibility for any injury to people or property resulting from any ideas, methods, instructions or products referred to in the content. |
© 2023 by the authors. Licensee MDPI, Basel, Switzerland. This article is an open access article distributed under the terms and conditions of the Creative Commons Attribution (CC BY) license (https://creativecommons.org/licenses/by/4.0/).
Share and Cite
Sajid, M.; Amjid, M.; Munir, H.; Ahmad, M.; Zulfiqar, U.; Ali, M.F.; Abul Farah, M.; Ahmed, M.A.A.; Artyszak, A. Comparative Analysis of Growth and Physiological Responses of Sugarcane Elite Genotypes to Water Stress and Sandy Loam Soils. Plants 2023, 12, 2759. https://doi.org/10.3390/plants12152759
Sajid M, Amjid M, Munir H, Ahmad M, Zulfiqar U, Ali MF, Abul Farah M, Ahmed MAA, Artyszak A. Comparative Analysis of Growth and Physiological Responses of Sugarcane Elite Genotypes to Water Stress and Sandy Loam Soils. Plants. 2023; 12(15):2759. https://doi.org/10.3390/plants12152759
Chicago/Turabian StyleSajid, Muhammad, Muhammad Amjid, Hassan Munir, Muhammad Ahmad, Usman Zulfiqar, Muhammad Fraz Ali, Mohammad Abul Farah, Mohamed A. A. Ahmed, and Arkadiusz Artyszak. 2023. "Comparative Analysis of Growth and Physiological Responses of Sugarcane Elite Genotypes to Water Stress and Sandy Loam Soils" Plants 12, no. 15: 2759. https://doi.org/10.3390/plants12152759
APA StyleSajid, M., Amjid, M., Munir, H., Ahmad, M., Zulfiqar, U., Ali, M. F., Abul Farah, M., Ahmed, M. A. A., & Artyszak, A. (2023). Comparative Analysis of Growth and Physiological Responses of Sugarcane Elite Genotypes to Water Stress and Sandy Loam Soils. Plants, 12(15), 2759. https://doi.org/10.3390/plants12152759

