The Effect of Dwarfing Interstocks on Vegetative Growth, Fruit Quality and Ionome Nutrition of ‘Fuji’ Apple Cultivar ‘Tianhong 2’—A One-Year Study
Abstract
1. Introduction
2. Results
2.1. Growth Parameters
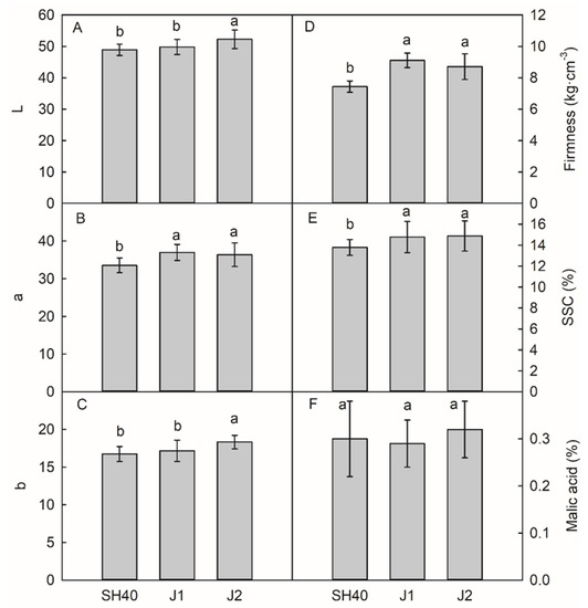
2.2. Fruit Yield and Quality
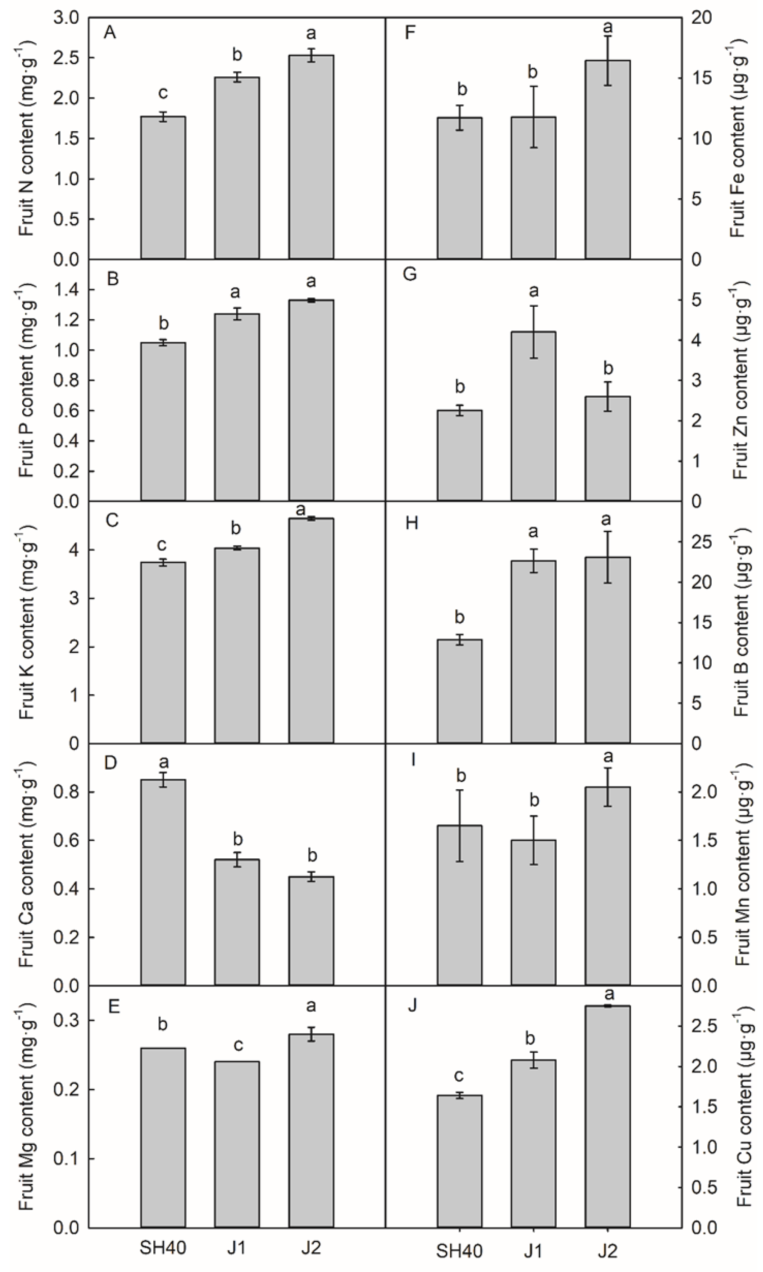
2.3. Fruit Nutrient Concentrations
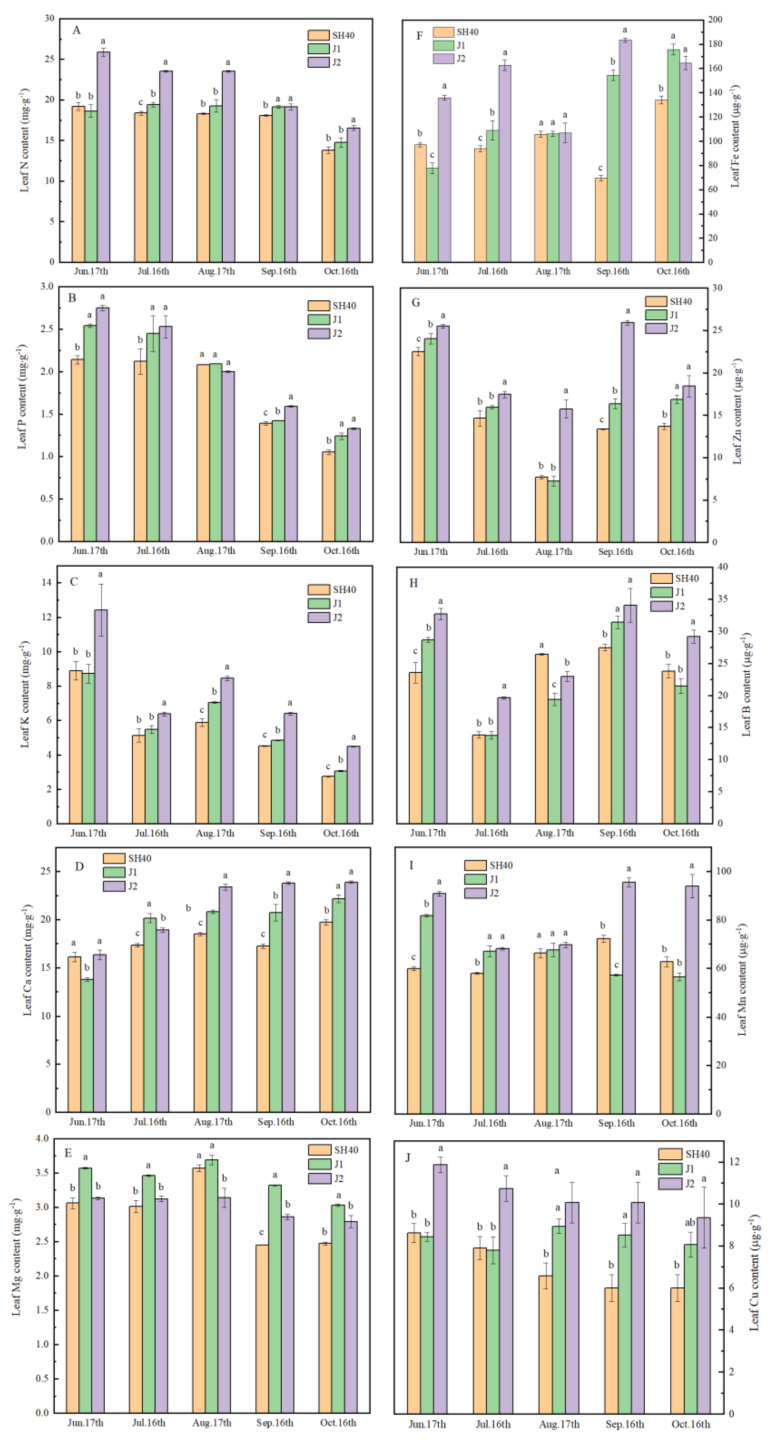
2.4. Leaf Nutrient Concentrations
2.5. Correlation between the Mineral Element Contents of Leaves and Fruit of Apple Grafted on Different Interstocks
3. Materials and Methods
3.1. Plant Material and Growing Conditions
3.2. Growth Parameters
3.3. Fruit Yield and Quality
3.4. Nutrient Analysis
3.5. Statistical Analysis
4. Discussion
4.1. Effects of the Dwarfing Interstocks on Branch Composition and Fruit Yield
4.2. Effects of Dwarfing Interstocks on Apple Quality
4.3. Effects of the Dwarfing Interstocks on Ionome Nutrient Concentrations in Fruit Dry Matter
4.4. Effects of Dwarfing Interstocks on Ionome Nutrient Concentrations in Leaf Dry Matter
4.5. Correlations between Leaf and Fruit Mineral Elements
5. Conclusions
Author Contributions
Funding
Institutional Review Board Statement
Informed Consent Statement
Data Availability Statement
Conflicts of Interest
References
- Amiri, M.E.; Fallahi, E.; Safi-Songhorabad, M. Influence of rootstock on mineral uptake and scion growth of ‘golden delicious’ and ‘royal gala’ apples. J. Plant Nutr. 2014, 37, 16–29. [Google Scholar] [CrossRef]
- Cline, J.A.; Autio, W.; Clements, J.; Cowgill, W.; Crassweller, R.; Einhorn, T.; Fallahi, E.; Francescatto, P.; Hoover, E.; Lang, G.; et al. Early performance of ‘Honeycrisp’ apple trees on several size-controlling rootstocks in the 2014 NC-140 rootstock trial. J. Am. Pomol. Soc. 2021, 75, 189–202. [Google Scholar]
- Dubey, A.K.; Sharma, R.M. Effect of rootstocks on tree growth, yield, quality and leaf mineral composition of lemon (Citrus limon (L.) Burm.). Sci. Hortic. 2016, 200, 131–136. [Google Scholar] [CrossRef]
- Lauzike, K.; Uselis, N.; Samuoliene, G. The influence of rootstock and high-density planting on apple cv. Auksis fruit quality. Plants 2021, 10, 1253. [Google Scholar] [CrossRef]
- Nava, G.; Ciotta, M.N.; Pasa, M.D.; Boneti, J.I.D. Mineral composition of leaves and fruits of apple ‘Fuji’ on different rootstocks in the region of Sao Joaquim-SC. Rev. Bras. Frutic. 2018, 40, 685. [Google Scholar] [CrossRef]
- Sosna, I.; Gudarowska, E.; Spiak, Z. Effect of rootstock on leaf nutrient concentration and productive value of ‘Mutsu’ apple trees. J. Elementol. 2020, 25, 1581–1593. [Google Scholar] [CrossRef]
- Iglesias, I.; Gine-Bordonaba, J.; Garanto, X.; Reig, G. Rootstock affects quality and phytochemical composition of ‘Big Top’ nectarine fruits grown under hot climatic conditions. Sci. Hortic. 2019, 256, 108586. [Google Scholar] [CrossRef]
- Di Vaio, C.; Cirillo, C.; Buccheri, M.; Limongelli, F. Effect of interstock (M.9 and M.27) on vegetative growth and yield of apple trees (cv ‘Annurca’). Sci. Hortic. 2009, 119, 270–274. [Google Scholar] [CrossRef]
- Karlıdag, H.R.; Aslantas, R.; Esitken, A. Effects of interstock (M9) length grafted onto MM106 rootstock on sylleptic shoot formation, growth and yield in some apple cultivars. J. Agric. Sci.-Tarim Bili 2014, 20, 331–336. [Google Scholar] [CrossRef]
- Marcon, J.L.; Kretzschmar, A.A.; Hipólito, J.D.S.; Rufato, A.D.R.; Rufato, L.; Wurz, D.A. Increasing the length of EM-9 interstock enhances production efficiency in Imperial Gala apples. Revista Ceres 2019, 66, 178–183. [Google Scholar] [CrossRef]
- Shi, J.; Li, F.F.; Ma, H.; Li, Z.Y.; Xu, J.Z. Effects of different dwarfing interstocks on key enzyme activities and the expression of genes related to malic acid metabolism in Red Fuji apples. Genet. Mol. Res. 2015, 14, 17673–17683. [Google Scholar] [CrossRef] [PubMed]
- Milosevic, T.; Milosevic, N. Seasonal changes in micronutrients concentrations in leaves of apricot trees influenced by different interstocks. Agrochimica 2011, 55, 1–14. [Google Scholar]
- Ebel, R.C.; Caylor, A.W.; Pitts, J.A.; Wilkins, B.S. Mineral nutrition during establishment of golden delicious ‘smoothee’ apples on dwarfing rootstocks and interstems. J. Plant Nutr. 2000, 23, 1179–1192. [Google Scholar] [CrossRef]
- Zhang, X.Y.; Li, Z.Y.; Shao, J.Z.; Chen, H.J.; Xu, J.Z. A new apple dwarfing rootstock cultivar ‘Jizhen 1’. Acta Hortic. Sin. 2020, 47, 195–196. [Google Scholar]
- Zhang, X.Y.; Li, Z.Y.; Shao, J.Z.; Chen, H.J.; Xu, J.Z. A new apple dwarfing rootstock cultivar ‘Jizhen 2’. Acta Hortic. Sin. 2020, 47, 1625–1626. [Google Scholar]
- Fanwoua, J.; Bairam, E.; Delaire, M.; Buck-Sorlin, G. The role of branch architecture in assimilate production and partitioning: The example of apple (Malus domestica). Front. Plant Sci. 2014, 5, 338. [Google Scholar] [CrossRef]
- Yang, S.J.; Mao, J.; Zuo, C.W.; Tian, F.J.; Li, W.F.; Dawuda, M.M.; Ma, Z.H.; Chen, B.H. Branch age and angle as crucial drivers of leaf photosynthetic performance and fruiting in high-density planting: A study case in spur-type apple ‘Vallee Spur’ (Malus domestica). Sci. Hortic. 2019, 246, 898–906. [Google Scholar] [CrossRef]
- Oosthuyse, S.A.; Jacobs, G. Relationship between branching frequency, and growth, cropping and structural strength of 2-year-old mango trees. Sci. Hortic. 1995, 64, 85–93. [Google Scholar] [CrossRef]
- Jung, S.K.; Ryu, H.U.; Gu, M.; Choi, H.S.; Ryu, J.H.; Cho, Y.K. Growth and fruit production in young ‘Fuji’ apple trees as affected by time of downward bending of branches. J. Hortic. Sci. Biotech. 2012, 87, 519–523. [Google Scholar] [CrossRef]
- Sha, J.C.; Wang, F.; Chen, Q.; Jia, Z.H.; Du, X.; Ge, S.F.; Zhu, Z.L.; Jiang, Y.M. Characteristics of photoassimilates transportation and distribution to the fruits from leaves at different branch positions in apple. J. Plant Growth Regul. 2021, 40, 1222–1232. [Google Scholar] [CrossRef]
- Zheng, W.W.; Kim, Y.J.; Myoung, O.S.; Chun, I.J. Anatomical analysis of fruit development of different-sized ‘Hongro’ and ‘Fuji’ apple fruits. Hortic. Environ. Biote 2009, 50, 160–165. [Google Scholar]
- Zhou, Y.M.; Hayat, F.; Yao, J.J.; Tian, X.; Wang, Y.; Zhang, X.Z.; Li, W.; Wu, T.; Wu, T.; Xu, X.F. Size-controlling interstocks affect growth vigour by downregulating photosynthesis in eight-year-old ‘Red Fuji’ apple trees. Eur. J. Hortic. Sci. 2021, 86, 146–155. [Google Scholar] [CrossRef]
- Khankahdani, H.H.; Rastegar, S.; Golein, B.; Golmohammadi, M.; Jahromi, A.A. Effect of rootstock on vegetative growth and mineral elements in scion of different persian lime (citrus latifolia tanaka) genotypes. Sci. Hortic. 2018, 246, 136–145. [Google Scholar] [CrossRef]
- Reig, G.; Lordan, J.; Fazio, G.; Grusak, M.A.; Hoying, S.; Cheng, L.L.; Francescatto, P.; Robinson, T. Horticultural performance and elemental nutrient concentrations on ‘Fuji’ grafted on apple rootstocks under new york state climatic conditions. Sci. Hortic. 2017, 227, 22–37. [Google Scholar] [CrossRef]
- Fallahi, E.; Westwood, M.N.; Chaplin, M.H.; Richardson, D.G. Influence of apple rootstocks and K and N fertilizers on leaf mineral composition and yield in a high density orchard. J. Plant Nutr. 1984, 7, 1161–1177. [Google Scholar] [CrossRef]
- Sharma, U.; Bhandari, A.R. Survey of the nutrient status of apple orchards in himachal pradesh. Indian J. Hortic. 1992, 49, 234–241. [Google Scholar]
- Mamgain, S.; Verma, H.S.; Kumar, J. Relationship between fruit yield, and foliar and soil nutrient status in apple. Indian J. Hortic. 1998, 55, 226–231. [Google Scholar]
- Samuoliene, G.; Viskeliene, A.; Sirtautas, R.; Kviklys, D. Relationships between apple tree rootstock, crop-load, plant nutritional status and yield. Sci. Hortic. 2016, 211, 167–173. [Google Scholar] [CrossRef]
- Dris, R.; Niskanen, R.; Fallahi, E. Relationships between leaf and fruit minerals and fruit quality attributes of apples grown under northern conditions. J. Plant Nutr. 1999, 22, 1839–1851. [Google Scholar] [CrossRef]
- Haghshenas, M.; Arshad, M.; Nazarideljou, M.J. Different K:Ca ratios affected fruit color and quality of strawberry ‘selva’ in soilless system. J. Plant Nutr. 2018, 41, 243–252. [Google Scholar] [CrossRef]
- Casero, T.; Benavides, A.; Puy, J.; Recasens, I. Relationships between leaf and fruit nutrients and fruit quality attributes in golden smoothee apples using multivariate regression techniques. J. Plant Nutr. 2005, 27, 313–324. [Google Scholar] [CrossRef]
- Zarcinas, B.A.; Cartwright, B.; Spouncer, L.R. Nitric acid digestion and multi-element analysis of plant material by inductively coupled plasma spectrometry. Commun. Soil Sci. Plan. 1987, 18, 131–146. [Google Scholar] [CrossRef]
- Nachtigall, G.R.; Dechen, A.R. Seasonality of nutrients in leaves and fruits of apple trees. Sci. Agric. 2006, 63, 493–501. [Google Scholar] [CrossRef]
- Cruz, A.F.; de Almeida, G.M.; Wadt, P.G.S.; Pires, M.D.; Ramos, M.L.G. Seasonal variation of plant mineral nutrition in fruit trees. Braz. Arch. Biol. Technol. 2019, 62, e19180340. [Google Scholar] [CrossRef]
- Fallahi, E.; Richardson, D.G.; Westwood, M.N.; Chaplin, M.H. Relationships among mineral nutrition, ethylene and post-harvest physiology in apples on six rootstocks. Sci. Hortic. 1985, 25, 163–175. [Google Scholar] [CrossRef]








Disclaimer/Publisher’s Note: The statements, opinions and data contained in all publications are solely those of the individual author(s) and contributor(s) and not of MDPI and/or the editor(s). MDPI and/or the editor(s) disclaim responsibility for any injury to people or property resulting from any ideas, methods, instructions or products referred to in the content. |
© 2023 by the authors. Licensee MDPI, Basel, Switzerland. This article is an open access article distributed under the terms and conditions of the Creative Commons Attribution (CC BY) license (https://creativecommons.org/licenses/by/4.0/).
Share and Cite
Li, S.; Zhang, Y.; Chen, H.; Li, B.; Liang, B.; Xu, J. The Effect of Dwarfing Interstocks on Vegetative Growth, Fruit Quality and Ionome Nutrition of ‘Fuji’ Apple Cultivar ‘Tianhong 2’—A One-Year Study. Plants 2023, 12, 2158. https://doi.org/10.3390/plants12112158
Li S, Zhang Y, Chen H, Li B, Liang B, Xu J. The Effect of Dwarfing Interstocks on Vegetative Growth, Fruit Quality and Ionome Nutrition of ‘Fuji’ Apple Cultivar ‘Tianhong 2’—A One-Year Study. Plants. 2023; 12(11):2158. https://doi.org/10.3390/plants12112158
Chicago/Turabian StyleLi, Shuang, Yanghong Zhang, Haowei Chen, Boyang Li, Bowen Liang, and Jizhong Xu. 2023. "The Effect of Dwarfing Interstocks on Vegetative Growth, Fruit Quality and Ionome Nutrition of ‘Fuji’ Apple Cultivar ‘Tianhong 2’—A One-Year Study" Plants 12, no. 11: 2158. https://doi.org/10.3390/plants12112158
APA StyleLi, S., Zhang, Y., Chen, H., Li, B., Liang, B., & Xu, J. (2023). The Effect of Dwarfing Interstocks on Vegetative Growth, Fruit Quality and Ionome Nutrition of ‘Fuji’ Apple Cultivar ‘Tianhong 2’—A One-Year Study. Plants, 12(11), 2158. https://doi.org/10.3390/plants12112158
