Spatio-Temporal Variations in Pollen Limitation and Floral Traits of an Alpine Lousewort (Pedicularis rhinanthoides) in Relation to Pollinator Availability
Abstract
1. Introduction
2. Results
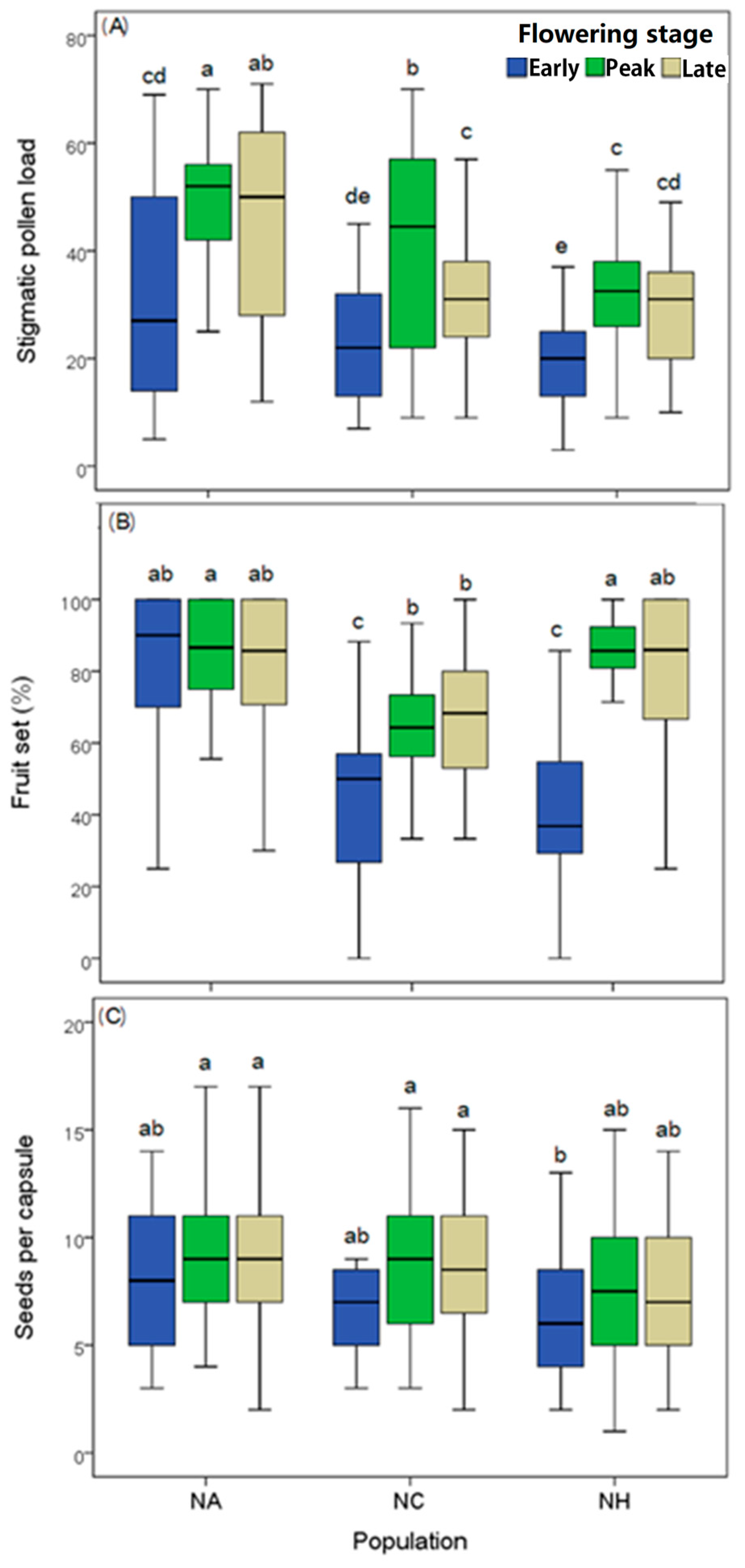
2.1. Pollination and Reproductive Success
2.2. Pollen Limitation
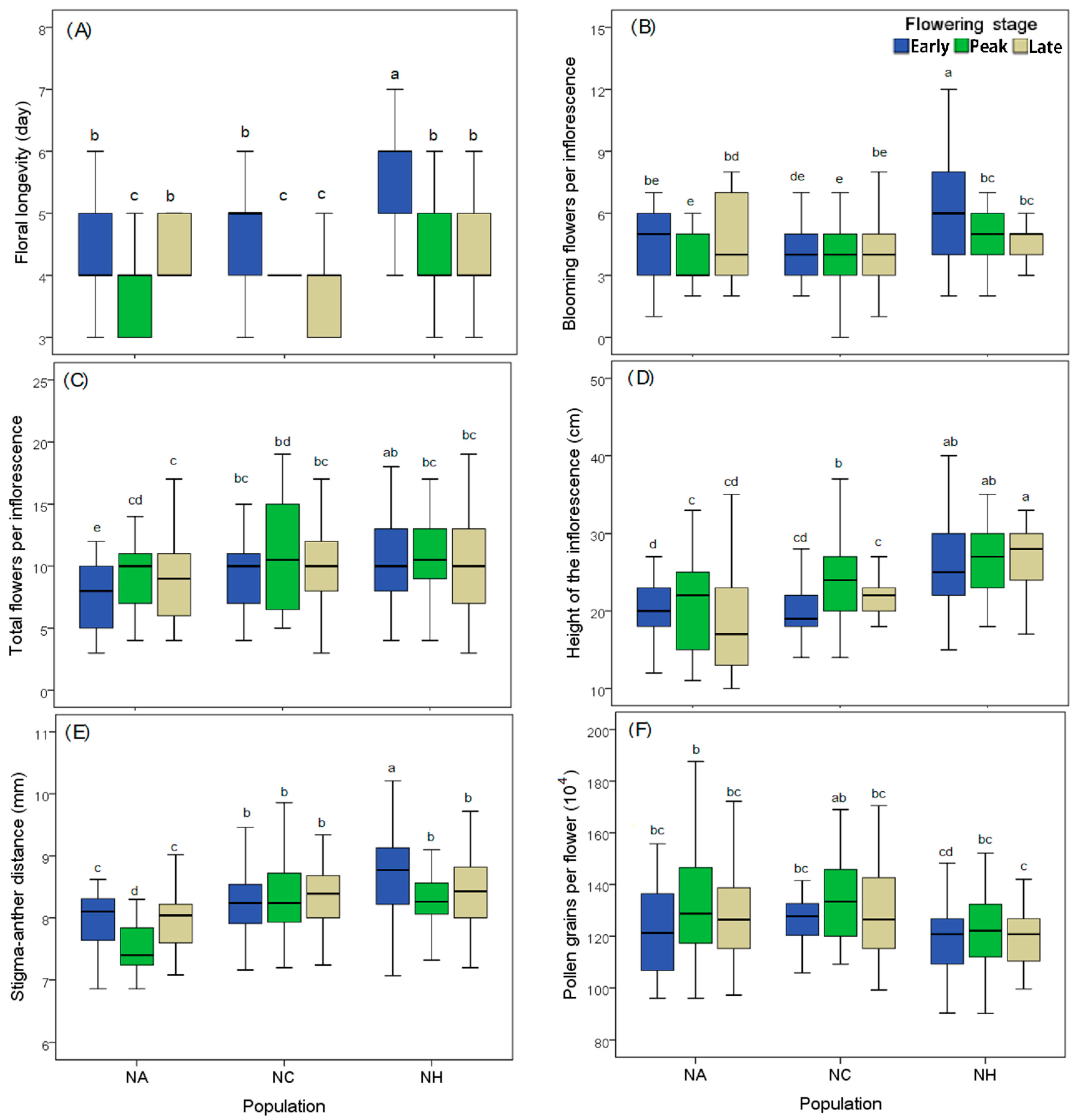
2.3. Floral Divergence
3. Discussion
3.1. Spatio-Temporal Pollen Limitation
3.2. Spatio-Temporal Variations in Floral Traits in Relation to Pollinators
4. Materials and Methods
4.1. Study Species and Sites
4.2. Pollination Observation
4.3. Estimation of Reproductive Success and Pollen Limitation
4.4. Measurement of Floral Traits
4.5. Data Analysis
5. Conclusions
Supplementary Materials
Author Contributions
Funding
Acknowledgments
Conflicts of Interest
References
- Smith-Ramirez, C.; Armesto, J.J. Flowering and Fruiting Patterns in the Temperate Rainforest of Chiloe, Chile--Ecologies and Climatic Constraints. J. Ecol. 1994, 82, 353–365. [Google Scholar] [CrossRef]
- Baylis, K.; Lichtenberg, E.M.; Lichtenberg, E. Economics of Pollination. Annu. Rev. Resour. Econ. 2021, 13, 335–354. [Google Scholar] [CrossRef]
- Totland, Ø. Environment-Dependent Pollen Limitation and Selection on Floral Traits in an Alpine Species. Ecology 2001, 82, 2233–2244. [Google Scholar] [CrossRef]
- Zhao, Z.-G.; Wang, Y.-K. Selection by Pollinators on Floral Traits in Generalized Trollius ranuncuoides (Ranunculaceae) along Altitudinal Gradients. PLoS One 2015, 10, e0118299. [Google Scholar]
- Potts, S.G.; Biesmeijer, J.C.; Kremen, C.; Neumann, P.; Schweiger, O.; Kunin, W.E. Global Pollinator Declines: Trends, Impacts and Drivers. Trends Ecol. Evol. 2010, 25, 345–353. [Google Scholar] [CrossRef]
- Thomann, M.; Imbert, E.; Devaux, C.; Cheptou, P.-O. Flowering Plants under Global Pollinator Decline. Trends Plant Sci. 2013, 18, 353–359. [Google Scholar] [CrossRef]
- Cheptou, P.-O. Pollination Strategies in the Face of Pollinator Decline. Bot. Lett. 2021, 168, 316–323. [Google Scholar] [CrossRef]
- Rodger, J.G.; Bennett, J.M.; Razanajatovo, M.; Knight, T.M.; van Kleunen, M.; Ashman, T.-L.; Steets, J.A.; Hui, C.; Arceo-Gómez, G.; Burd, M. Widespread Vulnerability of Flowering Plant Seed Production to Pollinator Declines. Sci. Adv. 2021, 7, eabd3524. [Google Scholar] [CrossRef]
- Ashman, T.L.; Knight, T.M.; Steets, J.A.; Amarasekare, P.; Burd, M.; Campbell, D.R. Pollen Limitation of Plant Reproduction: Ecological and Evolutionary Causes and Consequences. Ecology 2004, 85, 2408–2421. [Google Scholar] [CrossRef]
- Knight, T.M.; Steets, J.A.; Ashman, T.-L. A Quantitative Synthesis of Pollen Supplementation Experiments Highlights the Contribution of Resource Reallocation to Estimates of Pollen Limitation. Am. J. Bot. 2006, 93, 271–277. [Google Scholar] [CrossRef]
- Aizen, M.A.; Harder, L.D. Expanding the Limits of the Pollen-Limitation Concept: Effects of Pollen Quantity and Quality. Ecology 2007, 88, 271–281. [Google Scholar] [CrossRef] [PubMed]
- Harder, L.D.; Aizen, M.A. Floral Adaptation and Diversification under Pollen Limitation. Philos Trans. R. Soc. Lond. B Biol. Sci. 2010, 365, 529–543. [Google Scholar] [CrossRef] [PubMed]
- Vaughton, G.; Ramsey, M. Floral Emasculation Reveals Pollen Quality Limitation of Seed Output in Bulbine bulbosa (Asphodelaceae). Am. J. Bot. 2010, 97, 174–178. [Google Scholar] [CrossRef] [PubMed]
- Cosacov, A.; Nattero, J.; Cocucci, A.A. Variation of Pollinator Assemblages and Pollen Limitation in a Locally Specialized System: The Oil-Producing Nierembergia linariifolia (Solanaceae). Ann. Bot. 2008, 102, 723–734. [Google Scholar] [CrossRef]
- Hansen, V.-I.; Totland, Ø. Pollinator Visitation, Pollen Limitation, and Selection on Flower Size through Female Function in Contrasting Habitats within a Population of Campanula persicifolia. Can. J. Bot. 2006, 84, 412–420. [Google Scholar] [CrossRef]
- Fishman, L.; Willis, J.H. Pollen Limitation and Natural Selection on Floral Characters in the Yellow Monkey Flower, Mimulus guttatus. New Phytol. 2008, 177, 802–810. [Google Scholar] [CrossRef]
- Zhang, G.; Meng, L.; Wu, Z.; Zhang, Z.; Yin, L.; Yang, Y.; Duan, Y. Natural Selection on Floral Traits of Caltha scaposa (Ranunculaceae), an Alpine Perennial with Generalized Pollination System from Northwest Yunnan. Plant Divers. 2017, 39, 202–207. [Google Scholar] [CrossRef]
- Brunet, J.; Flick, A.J.; Bauer, A.A. Phenotypic Selection on Flower Color and Floral Display Size by Three Bee Species. Front. Plant Sci. 2021, 11, 587528. [Google Scholar] [CrossRef]
- Carlson, M.L.; Fulkerson, J.R. Phenotypic Selection on Floral Traits in the Arctic Plant Parrya nudicaulis (Brassicaceae). Ecol. Evol. 2022, 12, e8624. [Google Scholar] [CrossRef]
- Price, M.V.; Waser, N.M.; Irwin, R.E.; Campbell, D.R.; Brody, A.K. Temporal and Spatial Variation in Pollination of a Montane Herb—A Seven-Year Study. Ecology 2005, 86, 2106–2116. [Google Scholar] [CrossRef]
- Vanhoenacker, D.; Ågren, J.; Ehrlén, J. Spatio-temporal Variation in Pollen Limitation and Reproductive Success of Two Scape Morphs in Primula farinosa. New Phytol. 2006, 169, 615–621. [Google Scholar] [CrossRef] [PubMed]
- Lautenbach, S.; Seppelt, R.; Liebscher, J.; Dormann, C.F. Spatial and Temporal Trends of Global Pollination Benefit. PLoS ONE 2012, 7, 0035954. [Google Scholar] [CrossRef]
- Campbell, L.G.; Husband, B.C. Small Populations are Mate-poor but Pollinator-rich in a Rare, Self-incompatible Plant, Hymenoxys herbacea (Asteraceae). New Phytol. 2007, 174, 915–925. [Google Scholar] [CrossRef] [PubMed]
- Totland, Ø. Intraseasonal Variation in Pollination Intensity and Seed Set in an Alpine Population of Ranunculus acris in Southwestern Norway. Ecography 1994, 17, 159–165. [Google Scholar] [CrossRef]
- Totland, Ø. Influence of Climate, Time of Day and Season, and Flower Density on Insect Flower Visitation in Alpine Norway. Arct. Antarct. Alp. Res. 1994, 26, 66–71. [Google Scholar] [CrossRef]
- Knight, T.M. Floral Density, Pollen Limitation, and Reproductive Success in Trillium grandiflorum. Oecologia 2003, 137, 557–563. [Google Scholar] [CrossRef]
- Ruane, L.G.; Rotzin, A.T.; Congleton, P.H. Floral Display Size, Conspecific Density and Florivory Affect Fruit Set in Natural Populations of Phlox hirsuta, an Endangered Species. Ann. Bot. 2014, 113, 887–893. [Google Scholar] [CrossRef]
- Galen, C. Measuring Pollinator-Mediated Selection on Morphometric Floral Traits Bumblebees and the Alpine Sky Pilot, Polemonium viscosum. Evolution 1989, 43, 882–890. [Google Scholar]
- Mizunaga, Y.; Kudo, G. A Linkage between Flowering Phenology and Fruit-set Success of Alpine Plant Communities with Reference to the Seasonality and Pollination Effectiveness of Bees and Flies. Oecologia 2017, 185, 453–464. [Google Scholar] [CrossRef]
- Spigler, R.B.; Kalisz, S. Phenotypic Plasticity in Mating-System Traits in the Annual Collinsia verna. Botany 2013, 91, 597–604. [Google Scholar] [CrossRef]
- Herlihy, C.R.; Eckert, C.G. Evolutionary Analysis of a Key Floral Trait in Aquilegia canadensis (Ranunculaceae): Genetic Variation in Herkogamy and its Effect on the Mating System. Evolution 2007, 61, 1661–1674. [Google Scholar] [CrossRef] [PubMed]
- Forrest, J.; Inouye, D.W.; Thomson, J.D. Flowering Phenology in Subalpine Meadows: Does Climate Variation Influence Community Co-Flowering Patterns? Ecology 2010, 91, 431. [Google Scholar] [CrossRef] [PubMed]
- Brys, R.; Jacquemyn, H. Effects of Human-Mediated Pollinator Impoverishment on Floral Traits and Mating Patterns in a Short-Lived Herb: An Experimental Approach. Func. Ecol. 2012, 26, 189–197. [Google Scholar] [CrossRef]
- Arroyo, M.T.K.; Muñoz, M.S.; Henríquez, C.; Till-Bottraud, I.; Pérez, F. Erratic Pollination, High Selfing Levels and Their Correlates and Consequences in an Altitudinally Widespread Above-Tree-Line Species in the High Andes of Chile. Acta Oecol. 2006, 30, 248–257. [Google Scholar] [CrossRef]
- Benitez-Vieyra, S.; Medina, A.M.; Glinos, E.; Cocucci, A.A. Pollinator-Mediated Selection on Floral Traits and Size of Floral Display in Cyclopogon elatus, A Sweat Bee-Pollinated Orchid. Funct. Ecol. 2006, 20, 948–957. [Google Scholar] [CrossRef]
- Wu, Y.; Li, Q.-J. Phenotypic Selection on Phenology and Pollination Efficiency Traits between Primula Populations with Different Pollinator Assemblages. Ecol. Evol. 2017, 7, 7599–7608. [Google Scholar] [CrossRef]
- Eckert, C.G.; Kalisz, S.; Geber, M.A.; Sargent, R.; Elle, E.; Cheptou, P.O.; Goodwillie, C.; Johnston, M.O.; Kelly, J.K.; Moeller, D.A.; et al. Plant Mating Systems in a Changing World. Trends Ecol. Evol. 2010, 25, 35–43. [Google Scholar] [CrossRef]
- Chen, W.; Wang, L.; Wang, J.; Joshi, S.; Xiang, S.; Tariq, A.; Liu, X.; Liao, Y.; Wu, Y. Divergent Responses of Floral Traits of Lonicera nervosa to Altitudinal Gradients at the Eastern Margin of Hengduan Mountains. Front. Ecol. Evol. 2021, 9, 719838. [Google Scholar] [CrossRef]
- Li, H.-L. Evolution in the Flowers of Pedicularis. Evolution 1951, 5, 158–164. [Google Scholar]
- Wang, H.; Li, D.-Z. A Preliminary Study of Pollination Biology of Pedicularis (Scrophulariaceae) in Northwest Yunnan, China. Acta. Bot. Sin. 1998, 40, 204. [Google Scholar]
- Yang, H.-B.; Noel, H.H.; Robert, R.M. Scrophulariaceae: Pedicularis. The Flora of China. Science Press. Beijing 1998, 18, 243. [Google Scholar]
- Yang, C.-F.; Gituru, R.W.; Guo, Y.-H. Reproductive Isolation of Two Sympatric Louseworts, Pedicularis rhinanthoides and Pedicularis longiflora (Orobanchaceae): How Does the Same Pollinator Type Avoid Interspecific Pollen Transfer? Biol. J. Linn. Soc. 2007, 90, 37–48. [Google Scholar] [CrossRef]
- Huang, S.-Q.; Fenster, C.B. Absence of Long-Proboscid Pollinators for Long-Corolla-Tubed Himalayan Pedicularis species: Implications for the Evolution of Corolla Length. Int. J. Plant Sci. 2007, 168, 325–331. [Google Scholar] [CrossRef]
- Eaton, D.A.R.; Fenster, C.B.; Hereford, J.; Huang, S.-Q.; Ree, R.H. Floral Diversity and Community Structure in Pedicularis (Orobanchaceae). Ecology 2012, 93, 182–194. [Google Scholar] [CrossRef]
- Weber, A.; Kolb, A. Local Plant Density, Pollination and Trait–Fitness Relationships in a Perennial Herb. Plant Biol. 2013, 15, 335–343. [Google Scholar] [CrossRef]
- Silva, J.L.S.; Cruz-Neto, O.; Lopes, A.V. Higher Flower Number in Jatropha mutabilis (Euphorbiaceae) Increases the Frequency of Floral Visitors in the Caatinga Dry Forest. Arthropod-Plant Int. 2022, 16, 317–327. [Google Scholar] [CrossRef]
- Christopher, D.A.; Karron, J.D.; Semski, W.R.; Smallwood, P.A.; Trapnell, D.W.; Mitchell, R.J. Selfing Rates Vary with Floral Display, Pollinator Visitation and Plant Density in Natural Populations of Mimulus ringens. J. Evol. Biol. 2021, 34, 803–815. [Google Scholar] [CrossRef]
- Gómez, J.M.; Abdelaziz, M.; Lorite, J.; Jesús Muñoz-Pajares, A.; Perfectti, F. Changes in Pollinator Fauna Cause Spatial Variation in Pollen Limitation. J. Ecol. 2010, 98, 1243–1252. [Google Scholar] [CrossRef]
- Munoz, A.A.; Arroyo, M.T.K. Pollen Limitation and Spatial Variation of Reproductive Success in the Insect-Pollinated Shrub Chuquiraga oppositifolia (Asteraceae) in the Chilean Andes. Arc. Antarc. Alp. Res. 2006, 38, 608–613. [Google Scholar] [CrossRef]
- Delph, L.F.; Kelly, J.K. On the Importance of Balancing Selection in Plants. New Phytol. 2014, 201, 45–56. [Google Scholar] [CrossRef]
- Cruden, R.W. Pollen-Ovule Ratios: A Conservative Indicator of Breeding Systems in Flowering Plants. Evolution 1977, 31, 32–46. [Google Scholar]
- Dai, W.-K.; Kadiori, E.L.; Wang, Q.-F.; Yang, C.-F. Pollen Limitation, Plasticity in Floral Traits, and Mixed Mating System in an Alpine Plant Pedicularis siphonantha (Orobanchaceae) from Different Altitudes. J. Syst. Evol. 2017, 55, 192–199. [Google Scholar] [CrossRef]
- Dai, W.-K.; Amboka, G.M.; Kadiori, E.L.; Wang, Q.-F.; Yang, C.-F. Phenotypic Plasticity of Floral Traits and Pollination Adaption in an Alpine Plant Pedicularis siphonantha D. Don when Transp Journal of Mountain Science lanted from Higher to Lower Elevation in Eastern Himalaya. J. Mt. Sci. 2017, 14, 1995–2002. [Google Scholar]
- Ollerton, J.; Lack, A. Relationships between Flowering Phenology, Plant Size and Reproductive Success in Shape Lotus corniculatus (Fabaceae). Plant Ecol. 1998, 139, 35–47. [Google Scholar] [CrossRef]
- Yang, C.-F.; Wang, Q.-F. Nectarless Flowers with Deep Corolla Tubes in Pedicularis: Does Long Pistil Length Provide an Arena for Male competition? Bot. J. Linn. Soc. 2015, 179, 526–532. [Google Scholar] [CrossRef]
- Ashman, T.L.; Schoen, D. How long should flowers live? Nature 1994, 371, 788–791. [Google Scholar] [CrossRef]
- Hernandez-Villa, V.; Vibrans, H.; Uscanga-Mortera, E.; Aguirre-Jaimes, A. Floral Visitors and Pollinator dependence are Related to Floral Display Size and Plant height in Native Weeds of Central Mexico. Flora 2020, 262, 151505. [Google Scholar] [CrossRef]
- Ollerton, J.; Coulthard, E. Evolution of Animal Pollination. Science 2009, 326, 808–809. [Google Scholar] [CrossRef]
- Dafni, A. Flowering phenology. In Pollination Ecology: A Practical Approach; Oxford University Press Inc.: New York, NY, USA, 1992; Volume 21, p. 156. [Google Scholar]




| Study Population | Location | Flowering Stage | Flower Density (Mean ± SE, 2 m × 2 m) | Main Pollinators (Bombus) | Visiting Frequency (Mean ± SE, 2 m × 2 m, 30 min) | |
|---|---|---|---|---|---|---|
| B. friseanus | B. festivus | |||||
| NA | 99.71° E, 27.96° N; 3390 m | Early | 10.2 ± 1.7 | + | - | 0.195 ± 0.029 |
| Peak | 24.8 ± 3.6 | + | + | 0.285 ± 0.048 | ||
| Late | 12.0 ± 1.3 | + | + | 0.175 ± 0.035 | ||
| NC | 99.80° E, 27.82° N; 3300 m | Early | 11.4 ± 3.6 | - | - | - |
| Peak | 19.4 ± 2.4 | + | + | 0.145 ± 0.035 | ||
| Late | 9.2 ± 1.1 | + | + | 0.065 ± 0.023 | ||
| NH | 99.75° E, 27.62° N; 3280 m | Early | 11.0 ± 1.7 | - | - | - |
| Peak | 22.3 ± 5.8 | + | - | 0.035 ± 0.011 | ||
| Late | 16.8 ± 2.6 | + | - | 0.015 ± 0.008 | ||
| Variable | Bumble-Bee Visiting Frequency (2 × 2 m2, 30 min) | |||
|---|---|---|---|---|
| Effect | df | MS | F | p |
| Density (covariant) | 1 | 0.549 | 0.393 | 0.531 |
| Population | 2 | 65.635 | 47.020 | <0.001 |
| Stage | 2 | 6.175 | 4.424 | 0.013 |
| Population × stage | 4 | 2.347 | 1.681 | 0.157 |
| Error | 170 | 1.396 | ||
| Total | 180 | |||
| Variable | Stigmatic Pollen Load | Fruit Set (%) | Seeds per Capsule | |||||||||
|---|---|---|---|---|---|---|---|---|---|---|---|---|
| Effect | df | MS | F | p | df | MS | F | p | df | MS | F | p |
| Population | 2 | 4941.358 | 23.477 | <0.001 | 2 | 8359.227 | 12.413 | <0.001 | 2 | 44.446 | 4.122 | 0.017 |
| Flowering stage | 2 | 6224.111 | 29.572 | <0.001 | 2 | 11,229.09 | 16.675 | <0.001 | 2 | 52.009 | 4.823 | 0.009 |
| Population × stage | 4 | 112.286 | 0.533 | 0.711 | 4 | 1942.166 | 2.884 | 0.023 | 4 | 0.925 | 0.086 | 0.987 |
| Error | 256 | 210.476 | 239 | 673.406 | 261 | 10.784 | ||||||
| Total | 265 | 248 | 270 | |||||||||
| Variable | Floral Longevity (Day) | Floral Display | Size of Inflorescence | |||||||||
| Effect | df | MS | F | p | df | MS | F | p | df | MS | F | p |
| Population | 2 | 10.293 | 20.686 | <0.001 | 2 | 60.044 | 22.505 | <0.001 | 2 | 157.315 | 12.274 | <0.001 |
| Flowering stage | 2 | 18.426 | 37.032 | <0.001 | 2 | 18.433 | 6.909 | 0.001 | 2 | 19.937 | 1.556 | 0.213 |
| Population × stage | 4 | 4.004 | 8.046 | <0.001 | 4 | 12.844 | 4.814 | 0.001 | 4 | 32.587 | 2.543 | 0.04 |
| Error | 261 | 0.498 | 261 | 2.668 | 261 | 12.817 | ||||||
| Total | 270 | 270 | 270 | |||||||||
| Variable | Height of Inflorescence (cm) | Stigma–Anther Distance (mm) | Pollen Grains per Flower (104) | |||||||||
| Effect | df | MS | F | p | df | MS | F | p | df | MS | F | p |
| Population | 2 | 1626.844 | 71.186 | <0.001 | 2 | 17.25 | 68.456 | <0.001 | 2 | 24.744 | 8.357 | <0.001 |
| Flowering stage | 2 | 62.878 | 2.751 | 0.066 | 2 | 4.091 | 16.233 | <0.001 | 2 | 9.12.0 | 3.08 | 0.048 |
| Population × stage | 4 | 103.322 | 4.521 | 0.002 | 4 | 1.638 | 6.502 | <0.001 | 4 | 0.797 | 0.269 | 0.898 |
| Error | 261 | 22.853 | 261 | 0.252 | 261 | 2.961 | ||||||
| Total | 270 | 270 | 270 | |||||||||
Disclaimer/Publisher’s Note: The statements, opinions and data contained in all publications are solely those of the individual author(s) and contributor(s) and not of MDPI and/or the editor(s). MDPI and/or the editor(s) disclaim responsibility for any injury to people or property resulting from any ideas, methods, instructions or products referred to in the content. |
© 2022 by the authors. Licensee MDPI, Basel, Switzerland. This article is an open access article distributed under the terms and conditions of the Creative Commons Attribution (CC BY) license (https://creativecommons.org/licenses/by/4.0/).
Share and Cite
Dai, W.; Ochola, A.C.; Li, Y. Spatio-Temporal Variations in Pollen Limitation and Floral Traits of an Alpine Lousewort (Pedicularis rhinanthoides) in Relation to Pollinator Availability. Plants 2023, 12, 78. https://doi.org/10.3390/plants12010078
Dai W, Ochola AC, Li Y. Spatio-Temporal Variations in Pollen Limitation and Floral Traits of an Alpine Lousewort (Pedicularis rhinanthoides) in Relation to Pollinator Availability. Plants. 2023; 12(1):78. https://doi.org/10.3390/plants12010078
Chicago/Turabian StyleDai, Wenkui, Anne Christine Ochola, and Yongquan Li. 2023. "Spatio-Temporal Variations in Pollen Limitation and Floral Traits of an Alpine Lousewort (Pedicularis rhinanthoides) in Relation to Pollinator Availability" Plants 12, no. 1: 78. https://doi.org/10.3390/plants12010078
APA StyleDai, W., Ochola, A. C., & Li, Y. (2023). Spatio-Temporal Variations in Pollen Limitation and Floral Traits of an Alpine Lousewort (Pedicularis rhinanthoides) in Relation to Pollinator Availability. Plants, 12(1), 78. https://doi.org/10.3390/plants12010078

